Evaluating the Effectiveness of Video-Based Hybrid Learning in Architecture and Engineering: A Mixed-Methods Approach
Abstract
1. Introduction
- (i).
- Accessibility: Assesses technical barriers, given that difficulties in this area can compromise the effectiveness of the approach (El Mansour & Mupinga, 2007; Peceño-Capilla et al., 2022).
- (ii).
- Knowledge: Analyzes whether video instruction enhances the comprehension of complex concepts, thereby mitigating information overload (Merkt et al., 2011).
- (iii).
- Perspective: Measures student interest in the methodology, drawing upon previous studies from other fields such as chemistry (Jihad et al., 2018).
- (iv).
- Feeling: Evaluates student emotional satisfaction beyond examination performance (Bekteshi et al., 2023).
2. Materials and Methods
2.1. Case Study and Research Design
2.2. Pedagogical Intervention: The Video-Based Hybrid Model
2.3. Data Collection Instruments
2.3.1. Learning Analytics (Quantitative)
- Impressions (Count loads). A count of the number of times a student loads the video’s page (they do not have to play the video). Through this indicator, the aim is to evaluate the reach that the video has and the potential number of plays it may have. To evaluate the latter, the results had to be compared with the count plays.
- Engagement (Count plays). A count of the number of times a student plays the video (when they click on the option to play the video).
- Retention (Average completion rate %). Average completion percentage of the video. This value is also evaluated partially, at 25, 50, and 75% of the video viewing time. With this, it can be seen whether the videos were watched completely by the students or only in part.
- Reach (Percentage of unique known users %). The percentage of the number of students over the total who viewed the video. In the number of students, the same student cannot appear two or more times. Through this variable, it can be controlled whether the videos were viewed by most of the students in the cohort.
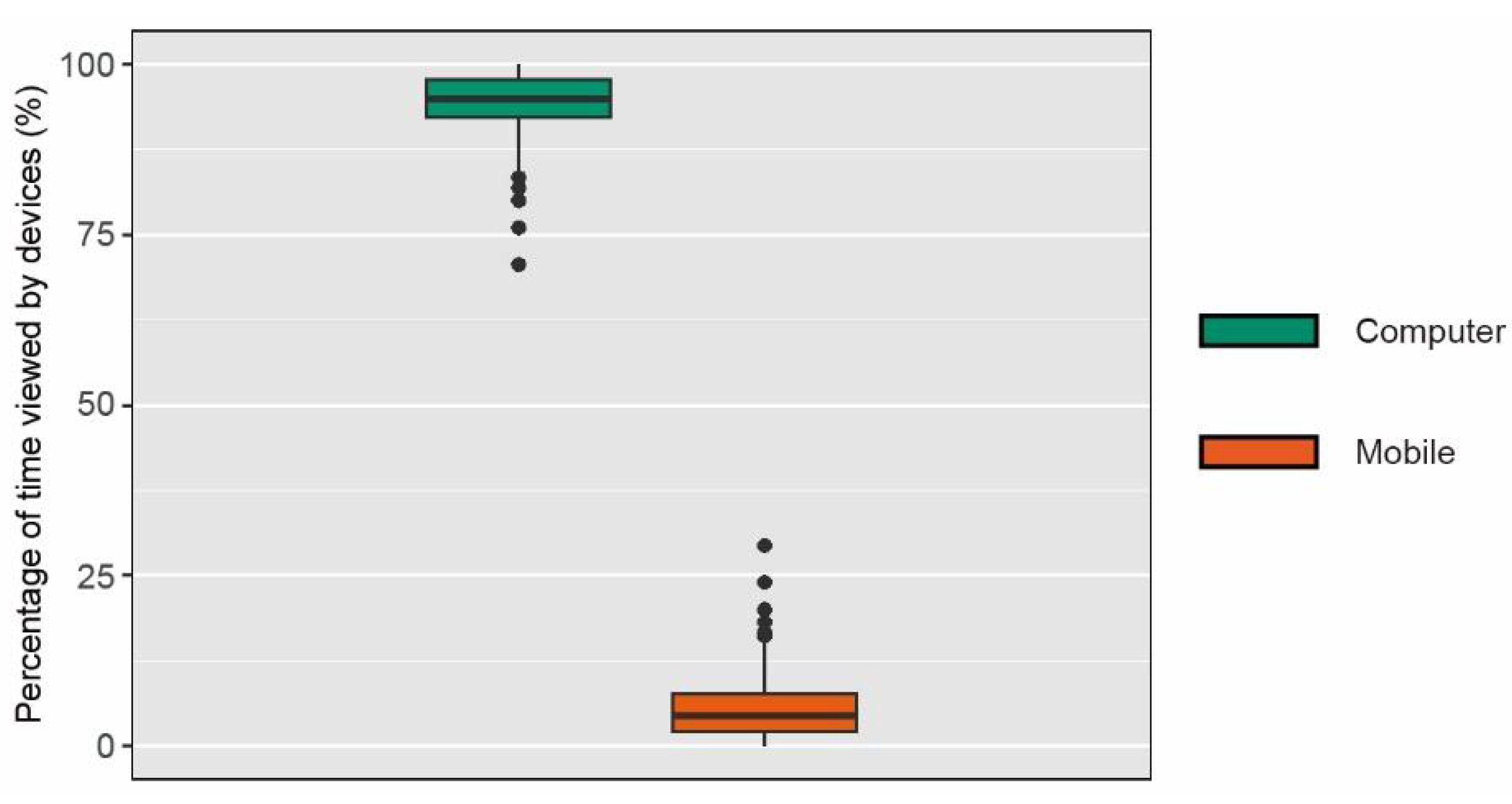
- Access modality (Device used). The number of times the video was played on a computer or mobile device. This allows evaluating the need to design videos to be watched on one device or another.
2.3.2. Student Satisfaction Survey (Qualitative/Quantitative)
- (i).
- D1—Accessibility, to evaluate the accessibility of videos (5 questions). This dimension was suggested since, as reflected upon by El Mansour and Mupinga (2007) and Peceño-Capilla et al. (2022), technical difficulties in watching videos could decrease the effectiveness of the approach.
- (ii).
- D2—Knowledge, to evaluate the perception of the level of learning with the videos and the focus of the subject (4 questions). This aspect is considered key because even if students have an online resource that they can view as often as necessary, information overload can be counterproductive (Merkt et al., 2011).
- (iii).
- D3—Perspective, to evaluate the interest in using this methodology, both for the subject under analysis and in others (3 questions). This dimension is proposed following the approach of online content studies of other areas of knowledge, such as chemistry (Jihad et al., 2018).
- (iv).
- D4—Feeling, to evaluate the students’ feelings with the focus adopted (8 questions). This allowed evaluating whether the feeling and assessment of the students was positive, beyond performance in exams (Bekteshi et al., 2023).
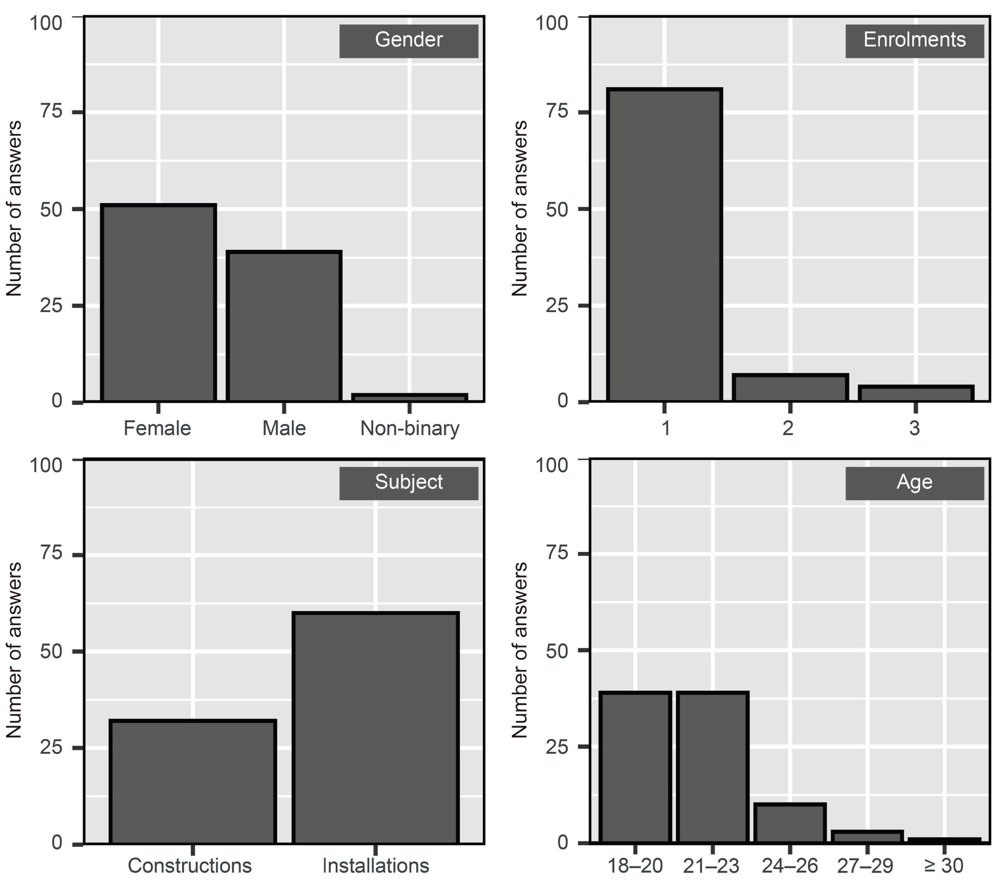
- Gender: This variable was included to analyze potential gender gaps in technical engagement, given the traditional underrepresentation of women in STEM fields.
- Age: This variable was necessary to control the maturity of the student and its correlation with autonomous learning capacity.
- Number of enrollments: This variable was used to distinguish between novice students and those repeating the course, as previous academic failure may influence the acceptance of new teaching models.
2.4. Sample Description and Participant
2.5. Data Analysis
3. Results and Discussion
3.1. Phase 1: Student Behavior and Performance
3.2. Phase 2: Student Perceptions and Survey Valuations (Qualitative and Quantitative Analysis)
3.2.1. Dimension 1: Accessibility (D1)
3.2.2. Dimension 2: Knowledge (D2)
3.2.3. Dimension 3: Perspective (D3)
3.2.4. Dimension 4: Feeling (D4)
3.2.5. Dependence Analysis of Evaluated Variables
3.3. Phase 3: The Influence of Video Length and Additional Design Considerations
4. Conclusions
Author Contributions
Funding
Institutional Review Board Statement
Informed Consent Statement
Data Availability Statement
Conflicts of Interest
References
- Bekteshi, E., Gollopeni, B., & Avdiu, E. (2023). The challenges of conducting online inquiry-based learning among tertiary level education. Journal of Technology and Science Education, 13(1), 92–103. [Google Scholar] [CrossRef]
- Bienvenido Huertas, D., Rubio Bellido, C., & León Muñoz, M. Á. (2023). Analysis of the effectiveness of using Kahoot! In university degrees in building engineering. JOTSE: Journal of Technology and Science Education, 13(1), 288–300. [Google Scholar] [CrossRef]
- Birgili, B., & Demir, Ö. (2022). An explanatory sequential mixed-method research on the full-scale implementation of flipped learning in the first years of the world’s first fully flipped university: Departmental differences. Computers & Education, 176, 104352. [Google Scholar]
- Broadbent, J. (2017). Comparing online and blended learner’s self-regulated learning strategies and academic performance. The Internet and Higher Education, 33, 24–32. [Google Scholar] [CrossRef]
- Chen, C. M., & Wu, C. H. (2015). Effects of different video lecture types on sustained attention, emotion, cognitive load, and learning performance. Computers and Education, 80, 108–121. [Google Scholar] [CrossRef]
- Divjak, B., Rienties, B., Iniesto, F., Vondra, P., & Žižak, M. (2022). Flipped classrooms in higher education during the COVID-19 pandemic: Findings and future research recommendations. International Journal of Educational Technology in Higher Education, 19(1), 9. [Google Scholar] [CrossRef] [PubMed]
- El Mansour, B., & Mupinga, D. M. (2007). Students’ positive and negative experiences in hybrid and online classes. College Student Journal, 41(1), 242. [Google Scholar]
- Fiadotau, M., Sillaots, M., & Ibrus, I. (2019). Education on screens: Histories of co-innovation and convergence between audiovisual media and education sectors. In Emergence of cross-innovation systems. Emerald Publishing Limited. [Google Scholar]
- Giannakos, M. N. (2013). Exploring the video-based learning research: A review of the literature. British Journal of Educational Technology, 44(6), E191–E195. [Google Scholar] [CrossRef]
- Gilbert, B. (2015). Online learning: Revealing the benefits and challenges [Master’s thesis, St. John Fisher University]. Available online: https://fisherpub.sjf.edu/education_ETD_masters/303 (accessed on 2 April 2026).
- Goedert, J. D., & Rokooei, S. (2016). Project-based construction education with simulations in a gaming environment. International Journal of Construction Education and Research, 12(3), 208–223. [Google Scholar] [CrossRef]
- Gorghiu, G., Gorghiu, L. M., Bîzoi, M., & Suduc, A. M. (2010). Setting up of a web educational video-clips exhibition related to the implementation of virtual experiments in Sciences education. Procedia—Social and Behavioral Sciences, 2(2), 2906–2910. [Google Scholar] [CrossRef][Green Version]
- Halim, A., Mahzum, E., Yacob, M., Irwandi, I., & Halim, L. (2021). The impact of narrative feedback, e-learning modules and realistic video and the reduction of misconception. Education Sciences, 11(4), 158. [Google Scholar] [CrossRef]
- Jihad, T., Klementowicz, E., Gryczka, P., Sharrock, C., Maxfield, M., Lee, Y., & Montclare, J. K. (2018). Perspectives on blended learning through the on-line platform, lablessons, for chemistry. Journal of Technology and Science Education, 8(1), 34–44. [Google Scholar] [CrossRef]
- Kegley, M. D., Toteva, M. T., & Wolf, J. S. (2016). Hybrids, hassles, and hiccups: Interdisciplinary perspectives on the challenges and advantages of hybrid classes. AURCO Journal, 22, 111–133. [Google Scholar]
- Kinash, S., Knight, D., & Mclean, M. (2015). Does digital scholarship through online lectures affect student learning? Journal of Educational Technology & Society, 18(2), 129–139. [Google Scholar]
- Lancellotti, M., Thomas, S., & Kohli, C. (2016). Online video modules for improvement in student learning. Journal of Education for Business, 91(1), 19–22. [Google Scholar] [CrossRef]
- Lei, S. A., & Lei, S. Y. (2019). Evaluating benefits and drawbacks of hybrid courses: Perspectives of college instructors. Education, 140(1), 1–8. [Google Scholar]
- Lorente, M., & Pulido-Montes, C. (2022). Use of digital resources in higher education during COVID-19: A literature review. Education Sciences, 12, 612. [Google Scholar] [CrossRef]
- Louten, J., & Daws, L. B. (2022). Interdisciplinary differences in hybrid courses: A study in biology & communication. Internet and Higher Education, 53, 100847. [Google Scholar] [CrossRef]
- Mao, B. P., Teichroeb, M. L., Lee, T., Wong, G., Pang, T., & Pleass, H. (2022). Is online video-based education an effective method to teach basic surgical skills to students and surgical trainees? A systematic review and meta-analysis. Journal of Surgical Education, 79(6), 1536–1545. [Google Scholar] [CrossRef]
- Masland, L., & Gizdarska, S. (2018). “Then what am I paying you for?” Student attitudes regarding pre-class activities for the flipped classroom. International Journal of Teaching and Learning in Higher Education, 30(2), 234–244. [Google Scholar]
- Mayer, R. E., Fiorella, L., & Stull, A. (2020). Five ways to increase the effectiveness of instructional video. Educational Technology Research and Development, 68(3), 837–852. [Google Scholar] [CrossRef]
- Merkt, M., Weigand, S., Heier, A., & Schwan, S. (2011). Learning with videos vs. learning with print: The role of interactive features. Learning and Instruction, 21(6), 687–704. [Google Scholar] [CrossRef]
- Ministry of Universities (Spain). (2022). Facts and numbers of the Spanish university system. Publication 2021–2022. Available online: https://cpage.mpr.gob.es/producto/datos-y-cifras-del-sistema-universitario-espanol-11/ (accessed on 2 April 2026).
- Mukhopadhyay, S., Booth, A. L., Calkins, S. M., Doxtader, E. E., Fine, S. W., Gardner, J. M., Gonzalez, R. S., Mirza, K. M., & Jiang, X. (2020). Leveraging technology for remote learning in the era of COVID-19 and social distancing. Archives of Pathology and Laboratory Medicine, 144(9), 1027–1036. [Google Scholar] [CrossRef]
- Nagy, J. T. (2018). Evaluation of online video usage and learning satisfaction: An extension of the technology acceptance model. International Review of Research in Open and Distributed Learning, 19(1), 160–185. [Google Scholar] [CrossRef]
- Nicolaou, C. (2021). Media trends and prospects in educational activities and techniques for online learning and teaching through television content: Technological and digital socio-cultural environment, generations, and audiovisual media communications in education. Education Sciences, 11(11), 685. [Google Scholar] [CrossRef]
- Noetel, M., Griffith, S., Delaney, O., Sanders, T., Parker, P., del Pozo Cruz, B., & Lonsdale, C. (2021). Video improves learning in higher education: A systematic review. Review of Educational Research, 91(2), 204–236. [Google Scholar] [CrossRef]
- Pappas, M. A., Demertzi, E., Papagerasimou, Y., Koukianakis, L., Kouremenos, D., Loukidis, I., & Drigas, A. S. (2018). E-learning for deaf adults from a user-centered perspective. Education Sciences, 8(4), 206. [Google Scholar] [CrossRef]
- Paris, B., Reynolds, R., & McGowan, C. (2022). Sins of omission: Critical informatics perspectives on privacy in e-learning systems in higher education. Journal of the Association for Information Science and Technology, 73(5), 708–725. [Google Scholar] [CrossRef]
- Pattier, D. (2021). Teachers and YouTube: The use of video as an educational resource. Ricerche Di Pedagogia e Didattica. Journal of Theories and Research in Education, 16(1), 59–77. [Google Scholar]
- Peceño-Capilla, B., Lluch-Molins, L., Bonilla-Pérez, E., Bakit, J., & Cortés-Pizarro, N. (2022). Students’ perception of digital tools used with online teaching methodologies in a pandemic context: A case study in northern Chile. Journal of Technology and Science Education, 12(3), 596–610. [Google Scholar] [CrossRef]
- Pisarenko, V. (2017). Teaching a foreign language using videos. Social Sciences, 6(4), 125. [Google Scholar] [CrossRef]
- Princes, E., Soeryanto, N., & Romprasert, S. (2024). Exploring gen-z learning preferences: A comparative study of traditional, online, and blended learning models. Journal of Multidisciplinary Issues, 4(1), 30–47. [Google Scholar] [CrossRef]
- Rubio-Bellido, C., León-Muñoz, M., Canivell, J., Martínez-Rocamora, A., & Bienvenido-Huertas, D. (2021, March 24–31). Implementation of the subject building installations i during confinement period: Facts and results. 5th International Conference of Educational Innovation in Building CINIE 2021 (pp. 83–84), Madrid, Spain. [Google Scholar]
- Sablić, M., Mirosavljević, A., & Škugor, A. (2021). Video-based learning (VBL)—Past, present and future: An overview of the research published from 2008 to 2019. Technology, Knowledge and Learning, 26(4), 1061–1077. [Google Scholar] [CrossRef]
- Seo, K., Dodson, S., Harandi, N. M., Roberson, N., Fels, S., & Roll, I. (2021). Active learning with online video: The impact of learning context on engagement. Computers & Education, 165, 104132. [Google Scholar] [CrossRef]
- Shiau, S., Kahn, L. G., Platt, J., Li, C., Guzman, J. T., Kornhauser, Z. G., Keyes, K. M., & Martins, S. S. (2018). Evaluation of a flipped classroom approach to learning introductory epidemiology. BMC Medical Education, 18(1), 63. [Google Scholar] [CrossRef] [PubMed]
- Sturman, N., Mitchell, B., & Mitchell, A. (2018). Nice to watch? Students evaluate online lectures. The Clinical Teacher, 15(1), 19–23. [Google Scholar] [CrossRef]
- Tahat, K. M., Al-Sarayrah, W., Salloum, S. A., Habes, M., & Ali, S. (2022). The influence of YouTube videos on the learning experience of disabled people during the COVID-19 outbreak. In Advances in data science and intelligent data communication technologies for COVID-19 (pp. 239–252). Springer. [Google Scholar]
- Tiahrt, T., & Porter, J. C. (2016). What do I do with this flipping classroom: Ideas for effectively using class time in a flipped course. Business Education Innovation Journal, 8(2), 85–91. [Google Scholar]
- Todd, E. M., Watts, L. L., Mulhearn, T. J., Torrence, B. S., Turner, M. R., Connelly, S., & Mumford, M. D. (2017). A meta-analytic comparison of face-to-face and online delivery in ethics instruction: The case for a hybrid approach. Science and Engineering Ethics, 23, 1719–1754. [Google Scholar] [CrossRef]
- Valenti, E., Feldbush, T., & Mandernach, J. (2019). Comparison of faculty and student perceptions of videos in the online classroom. Journal of University Teaching & Learning Practice, 16(3), 6. [Google Scholar]
- Wiens, P. D., Hessberg, K., LoCasale-Crouch, J., & DeCoster, J. (2013). Using a standardized video-based assessment in a university teacher education program to examine preservice teachers knowledge related to effective teaching. Teaching and Teacher Education, 33, 24–33. [Google Scholar] [CrossRef]
- Yang, H. (2021). Epistemic agency, a double-stimulation, and video-based learning: A formative intervention study in language teacher education. System, 96, 102401. [Google Scholar] [CrossRef]









| Subject | Bachelor’s Degree | Course | Semester | Type | Number of Students |
|---|---|---|---|---|---|
| Installations | Building Engineering | 2 | 2 | Compulsory | 21 |
| Installations | Architecture | 3 | 1 | Compulsory | 65 |
| Construction | Architecture | 3 | 2 | Compulsory | 33 |
| Dimension | Question | |
|---|---|---|
| D1. Accessibility | Q01 | The image quality of the video is adequate. |
| Q02 | The audio quality of the videos is adequate. | |
| Q03 | The length of the videos is adequate. | |
| Q04 | Using videos in the course material gives me more control and flexibility when studying (i.e., I can watch the videos when I prefer). | |
| Q05 | I have the technical tools needed (computer, mobile phone, internet access) to watch videos. | |
| D2. Knowledge | Q06 | By watching videos, I gain more knowledge. |
| Q07 | I learn better with videos compared to the subject’s PDF documents. | |
| Q08 | Watching videos in lessons allows me to better learn the concepts taught in class. | |
| Q09 | The use of videos in lessons significantly contributed to acquiring relevant knowledge in the specialized topic of the lesson. | |
| D3. Perspective | Q10 | In the future, I will continue to use the videos provided on the subject. |
| Q11 | In the future, I may look for other short videos from different sources related to the course topic to gain more knowledge. | |
| Q12 | In the future, I may look for longer online video conferences on the subject topic (MOOC, YouTube, TEDx) | |
| D4. Feeling | Q13 | The videos facilitate reflection, analysis, and critical thinking in the subject area. |
| Q14 | The videos are useful during the lessons and meet my learning needs. | |
| Q15 | Videos save me time compared to studying PDF material. | |
| Q16 | Using videos in lessons or when studying material is useful in the learning process. | |
| Q17 | Using videos in lessons or when studying material increases my productivity (I learn more). | |
| Q18 | I am satisfied with the learning process using videos for the subject. | |
| Q19 | Watching videos helps me to achieve the subject’s objectives faster. | |
| Q20 | I would recommend other students to take subjects when online videos are used to improve learning. | |
| Subject | Bachelor’s Degree | Pass Percentage (2021/2022) | Pass Percentage (2022/2023) |
|---|---|---|---|
| Construction | Architecture | 70.3% | 81.8% |
| Installations | Architecture | 44.4% | 69.2% |
| Installations | Building Engineering | 15.4% | 90.5% |
| Question | Chi-Square | ||||||||||||||||||
|---|---|---|---|---|---|---|---|---|---|---|---|---|---|---|---|---|---|---|---|
| Q02 | Q03 | Q04 | Q05 | Q06 | Q07 | Q08 | Q09 | Q10 | Q11 | Q12 | Q13 | Q14 | Q15 | Q16 | Q17 | Q18 | Q19 | Q20 | |
| Q01 | 144 | 131 | 154 | 152 | 85 | 169 | 140 | 100 | 67 | 52 | 41 | 150 | 70 | 51 | 132 | 113 | 116 | 125 | 120 |
| Q02 | 116 | 128 | 142 | 74 | 109 | 123 | 80 | 60 | 40 | 26 | 100 | 54 | 51 | 139 | 107 | 120 | 106 | 104 | |
| Q03 | 132 | 113 | 86 | 90 | 120 | 71 | 73 | 52 | 31 | 97 | 72 | 46 | 118 | 109 | 121 | 135 | 128 | ||
| Q04 | 169 | 119 | 147 | 174 | 134 | 100 | 83 | 39 | 103 | 71 | 95 | 164 | 142 | 150 | 179 | 122 | |||
| Q05 | 94 | 121 | 147 | 107 | 75 | 58 | 35 | 91 | 87 | 60 | 147 | 141 | 127 | 128 | 120 | ||||
| Q06 | 127 | 138 | 115 | 85 | 66 | 26 | 88 | 194 | 87 | 121 | 131 | 127 | 123 | 104 | |||||
| Q07 | 115 | 91 | 58 | 46 | 31 | 128 | 114 | 66 | 96 | 92 | 86 | 90 | 77 | ||||||
| Q08 | 123 | 98 | 65 | 49 | 116 | 118 | 99 | 207 | 186 | 189 | 156 | 139 | |||||||
| Q09 | 84 | 98 | 24 | 146 | 146 | 113 | 155 | 140 | 141 | 148 | 82 | ||||||||
| Q10 | 64 | 60 | 64 | 82 | 65 | 132 | 114 | 115 | 104 | 125 | |||||||||
| Q11 | 36 | 91 | 64 | 50 | 61 | 58 | 53 | 60 | 66 | ||||||||||
| Q12 | 34 | 34 | 46 | 52 | 65 | 45 | 30 | 54 | |||||||||||
| Q13 | 142 | 79 | 104 | 100 | 93 | 88 | 92 | ||||||||||||
| Q14 | 108 | 139 | 132 | 147 | 82 | 95 | |||||||||||||
| Q15 | 98 | 101 | 131 | 87 | 59 | ||||||||||||||
| Q16 | 197 | 214 | 141 | 158 | |||||||||||||||
| Q17 | 225 | 172 | 157 | ||||||||||||||||
| Q18 | 153 | 150 | |||||||||||||||||
| Q19 | 130 | ||||||||||||||||||
| Question | Adjusted Contingency Coefficient | ||||||||||||||||||
|---|---|---|---|---|---|---|---|---|---|---|---|---|---|---|---|---|---|---|---|
| Q02 | Q03 | Q04 | Q05 | Q06 | Q07 | Q08 | Q09 | Q10 | Q11 | Q12 | Q13 | Q14 | Q15 | Q16 | Q17 | Q18 | Q19 | Q20 | |
| Q01 | 0.87 | 0.86 | 0.88 | 0.88 | 0.77 | 0.90 | 0.87 | 0.81 | 0.72 | 0.67 | 0.62 | 0.88 | 0.73 | 0.66 | 0.86 | 0.83 | 0.83 | 0.85 | 0.84 |
| Q02 | 0.83 | 0.85 | 0.87 | 0.75 | 0.82 | 0.84 | 0.76 | 0.70 | 0.62 | 0.53 | 0.81 | 0.68 | 0.66 | 0.87 | 0.82 | 0.84 | 0.82 | 0.81 | |
| Q03 | 0.86 | 0.83 | 0.78 | 0.78 | 0.84 | 0.74 | 0.74 | 0.67 | 0.56 | 0.80 | 0.74 | 0.64 | 0.84 | 0.82 | 0.84 | 0.86 | 0.85 | ||
| Q04 | 0.90 | 0.84 | 0.88 | 0.90 | 0.86 | 0.81 | 0.77 | 0.61 | 0.81 | 0.74 | 0.80 | 0.89 | 0.87 | 0.88 | 0.91 | 0.84 | |||
| Q05 | 0.79 | 0.84 | 0.88 | 0.82 | 0.75 | 0.69 | 0.58 | 0.79 | 0.78 | 0.70 | 0.88 | 0.87 | 0.85 | 0.85 | 0.84 | ||||
| Q06 | 0.85 | 0.87 | 0.83 | 0.77 | 0.72 | 0.52 | 0.78 | 0.92 | 0.78 | 0.84 | 0.86 | 0.85 | 0.84 | 0.81 | |||||
| Q07 | 0.83 | 0.79 | 0.69 | 0.64 | 0.56 | 0.85 | 0.83 | 0.72 | 0.80 | 0.79 | 0.78 | 0.79 | 0.75 | ||||||
| Q08 | 0.85 | 0.80 | 0.72 | 0.65 | 0.83 | 0.84 | 0.80 | 0.93 | 0.91 | 0.92 | 0.89 | 0.87 | |||||||
| Q09 | 0.77 | 0.80 | 0.51 | 0.87 | 0.88 | 0.83 | 0.89 | 0.87 | 0.87 | 0.88 | 0.77 | ||||||||
| Q10 | 0.71 | 0.70 | 0.71 | 0.77 | 0.72 | 0.86 | 0.83 | 0.83 | 0.81 | 0.85 | |||||||||
| Q11 | 0.59 | 0.79 | 0.71 | 0.66 | 0.70 | 0.69 | 0.67 | 0.70 | 0.72 | ||||||||||
| Q12 | 0.58 | 0.58 | 0.64 | 0.67 | 0.72 | 0.64 | 0.55 | 0.68 | |||||||||||
| Q13 | 0.87 | 0.76 | 0.81 | 0.81 | 0.79 | 0.78 | 0.79 | ||||||||||||
| Q14 | 0.82 | 0.87 | 0.86 | 0.88 | 0.77 | 0.80 | |||||||||||||
| Q15 | 0.80 | 0.81 | 0.86 | 0.78 | 0.70 | ||||||||||||||
| Q16 | 0.92 | 0.93 | 0.87 | 0.89 | |||||||||||||||
| Q17 | 0.94 | 0.90 | 0.89 | ||||||||||||||||
| Q18 | 0.88 | 0.88 | |||||||||||||||||
| Q19 | 0.85 | ||||||||||||||||||
| Question | Age | Gender | Number of Enrollments | Subject | ||||
|---|---|---|---|---|---|---|---|---|
| Chi-Square | C | Chi-Square | C | Chi-Square | C | Chi-Square | C | |
| Q01 | 25.93 | 0.52 | 7.22 | 0.40 | 2.09 | 0.21 | 13.93 | 0.55 |
| Q02 | 25.38 | 0.52 | 2.12 | 0.21 | 6.02 | 0.36 | 9.14 | 0.45 |
| Q03 | 15.66 | 0.43 | 10.99 | 0.49 | 2.29 | 0.22 | 3.65 | 0.28 |
| Q04 | 21.83 | 0.49 | 5.40 | 0.34 | 11.07 | 0.49 | 5.46 | 0.34 |
| Q05 | 99.03 | 0.80 | 4.87 | 0.33 | 15.43 | 0.50 | 8.31 | 0.43 |
| Q06 | 32.51 | 0.57 | 5.44 | 0.34 | 8.89 | 0.44 | 1.59 | 0.19 |
| Q07 | 25.24 | 0.52 | 4.44 | 0.31 | 9.44 | 0.45 | 5.58 | 0.35 |
| Q08 | 18.78 | 0.46 | 3.66 | 0.28 | 3.11 | 0.26 | 3.39 | 0.27 |
| Q09 | 24.33 | 0.51 | 3.25 | 0.27 | 3.99 | 0.29 | 3.23 | 0.26 |
| Q10 | 14.37 | 0.41 | 9.95 | 0.46 | 7.36 | 0.40 | 1.66 | 0.19 |
| Q11 | 33.21 | 0.58 | 4.21 | 0.30 | 11.69 | 0.50 | 2.62 | 0.24 |
| Q12 | 10.83 | 0.36 | 10.81 | 0.48 | 6.39 | 0.37 | 1.91 | 0.20 |
| Q13 | 23.17 | 0.50 | 3.43 | 0.27 | 9.21 | 0.45 | 4.64 | 0.32 |
| Q14 | 38.04 | 0.60 | 5.78 | 0.35 | 3.99 | 0.29 | 2.36 | 0.23 |
| Q15 | 20.31 | 0.48 | 5.02 | 0.33 | 10.99 | 0.49 | 1.43 | 0.18 |
| Q16 | 25.40 | 0.52 | 4.29 | 0.31 | 6.37 | 0.37 | 3.32 | 0.27 |
| Q17 | 21.63 | 0.49 | 5.45 | 0.34 | 6.79 | 0.38 | 6.65 | 0.38 |
| Q18 | 26.95 | 0.53 | 3.32 | 0.27 | 11.41 | 0.50 | 5.81 | 0.36 |
| Q19 | 16.67 | 0.44 | 5.68 | 0.35 | 2.47 | 0.23 | 3.16 | 0.26 |
| Q20 | 20.29 | 0.48 | 9.15 | 0.45 | 2.06 | 0.21 | 4.02 | 0.30 |
Disclaimer/Publisher’s Note: The statements, opinions and data contained in all publications are solely those of the individual author(s) and contributor(s) and not of MDPI and/or the editor(s). MDPI and/or the editor(s) disclaim responsibility for any injury to people or property resulting from any ideas, methods, instructions or products referred to in the content. |
© 2026 by the authors. Licensee MDPI, Basel, Switzerland. This article is an open access article distributed under the terms and conditions of the Creative Commons Attribution (CC BY) license.
Share and Cite
Bienvenido-Huertas, D.; de la Hoz-Torres, M.L.; Aguilar, A.J.; Pérez-Fargallo, A. Evaluating the Effectiveness of Video-Based Hybrid Learning in Architecture and Engineering: A Mixed-Methods Approach. Educ. Sci. 2026, 16, 625. https://doi.org/10.3390/educsci16040625
Bienvenido-Huertas D, de la Hoz-Torres ML, Aguilar AJ, Pérez-Fargallo A. Evaluating the Effectiveness of Video-Based Hybrid Learning in Architecture and Engineering: A Mixed-Methods Approach. Education Sciences. 2026; 16(4):625. https://doi.org/10.3390/educsci16040625
Chicago/Turabian StyleBienvenido-Huertas, David, María Luisa de la Hoz-Torres, Antonio J. Aguilar, and Alexis Pérez-Fargallo. 2026. "Evaluating the Effectiveness of Video-Based Hybrid Learning in Architecture and Engineering: A Mixed-Methods Approach" Education Sciences 16, no. 4: 625. https://doi.org/10.3390/educsci16040625
APA StyleBienvenido-Huertas, D., de la Hoz-Torres, M. L., Aguilar, A. J., & Pérez-Fargallo, A. (2026). Evaluating the Effectiveness of Video-Based Hybrid Learning in Architecture and Engineering: A Mixed-Methods Approach. Education Sciences, 16(4), 625. https://doi.org/10.3390/educsci16040625

