Using Self-Management to Teach Social Interactions to Preschoolers with Autism Spectrum Disorder During Recess in School Settings
Abstract
1. Introduction
2. Materials and Methods
2.1. Participants
2.2. Settings and Therapists
2.3. Response Definitions for the Dependent Variables
2.4. Experimental Design and Procedure
2.5. Data Collection Procedure
2.6. Inter-Observer Agreement
2.7. Procedural Fidelity
2.8. Social Validity
2.9. Data Analysis
3. Results
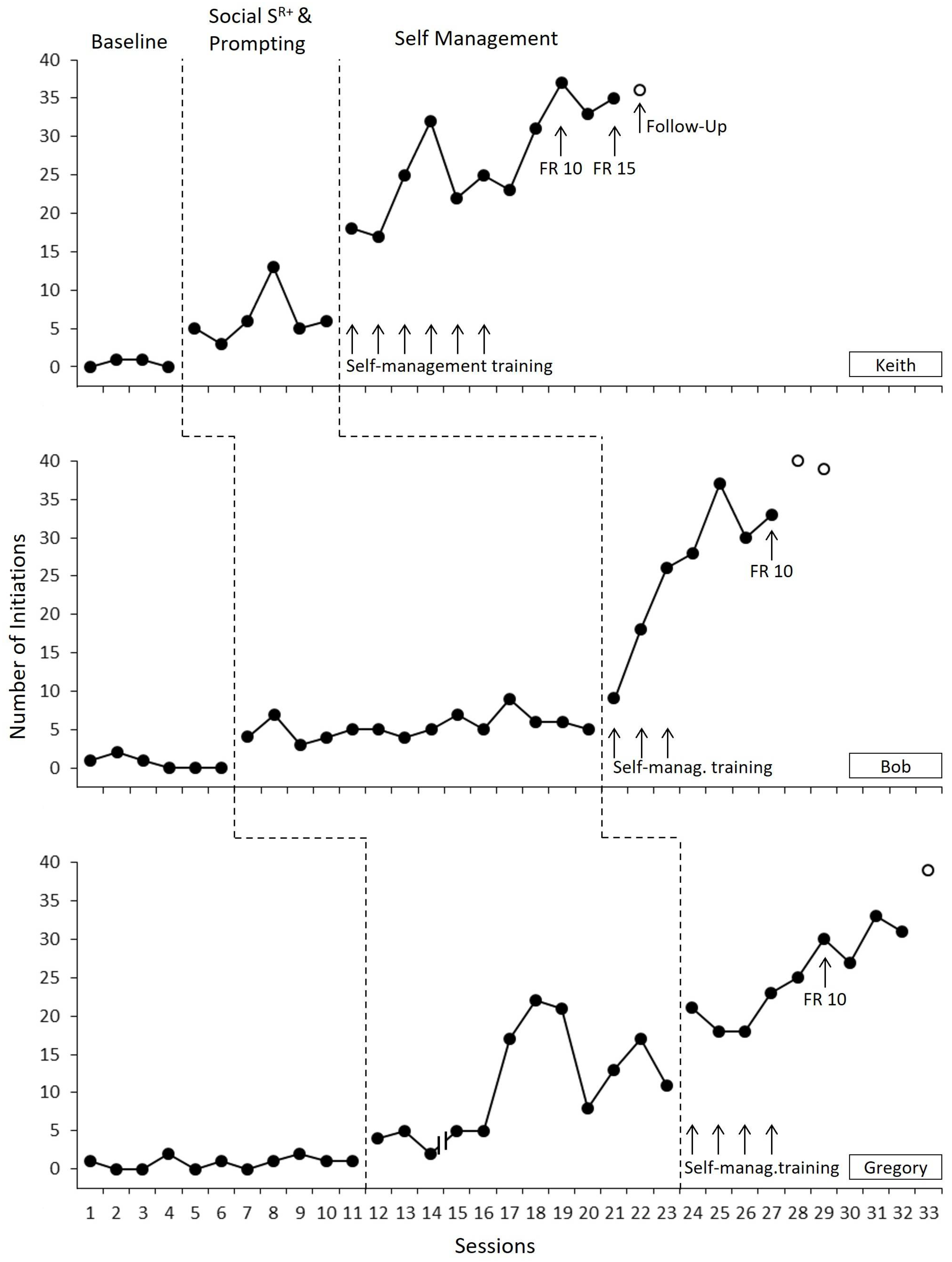
3.1. Initiations for Interaction
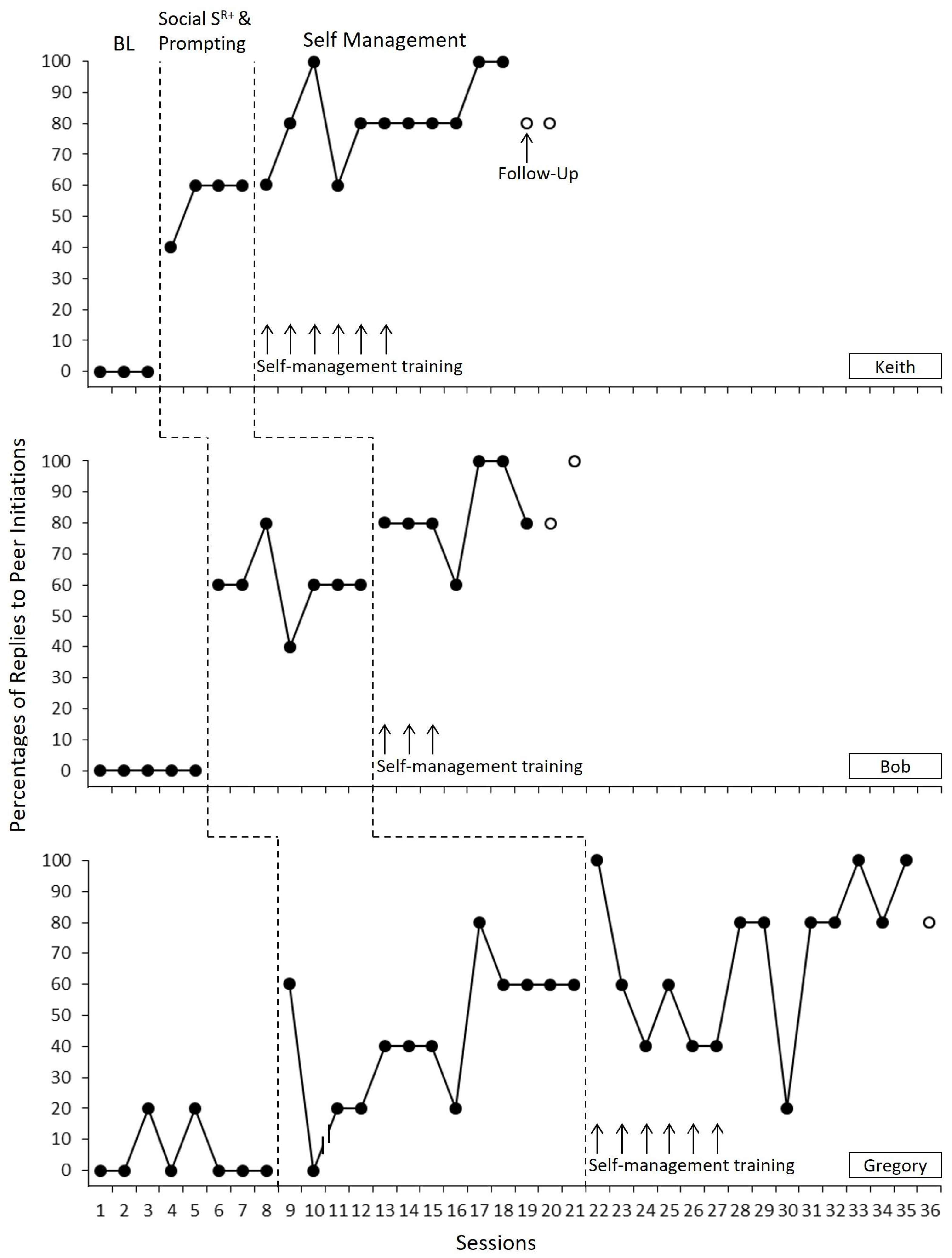
3.2. Replies to Peers’ Initiations for Interaction
3.3. Frequency of Prompting
3.4. Self-Monitoring Accuracy
3.5. Social Validation of the Results
4. Discussion
Limitations and Recommendations for Future Research
5. Conclusions
Author Contributions
Funding
Institutional Review Board Statement
Informed Consent Statement
Data Availability Statement
Conflicts of Interest
References
- Agran, M., Sinclair, T., Alper, S., Cavin, M., Wehmeyer, M., & Hughes, C. (2005). Using self-monitoring to increase following-direction skills of students with moderate to severe disabilities in general education. Education and Training in Developmental Disabilities, 40(1), 3–13. Available online: https://www.jstor.org/stable/23879767 (accessed on 10 June 2010).
- Alber, S. R., & Heward, W. L. (2000). Teaching students to recruit positive attention: A review and recommendations. Journal of Behavioral Education, 10(4), 4. [Google Scholar] [CrossRef]
- Apple, A. L., Billingsley, F., Schwartz, I. S., & Carr, E. G. (2005). Effects of video modeling alone and with self-management on compliment-giving behaviors of children with high-functioning ASD. Journal of Positive Behavior Interventions, 7(1), 33–46. [Google Scholar] [CrossRef]
- Baer, D. M. (1984). Does research on self-control need more control? Analysis and Intervention in Developmental Disabilities, 4(2), 211–218. [Google Scholar] [CrossRef]
- Barton, E. E., Lloyd, B. P., Spriggs, A. D., & Gast, D. L. (2018). Visual analysis of graphic data. In J. R. Ledford, & D. L. Gast (Eds.), Single case research methodology: Applications in special education and behavioral sciences (3rd ed., pp. 179–214). Routledge. [Google Scholar]
- Bellini, S., Peters, J. K., Benner, L., & Hopf, A. (2007). A meta-analysis of school-based social skills interventions for children with autism spectrum disorders. Remedial and Special Education, 28(3), 153–162. [Google Scholar] [CrossRef]
- Blackwell, W., & Stockall, N. (2021). Incidental teaching of conversational skills for students with autism spectrum disorder. TEACHING Exceptional Children, 54(2), 116–123. [Google Scholar] [CrossRef]
- Briesch, A. M., Daniels, B., & Beneville, M. (2018). Unpacking the term “self-management”: Understanding intervention applications within the school-based literature. Journal of Behavioral Education, 28(1), 1. [Google Scholar] [CrossRef]
- Camargo, S. P. H., Rispoli, M., Ganz, J., Hong, E. R., Davis, H., & Mason, R. (2015). Behaviorally based interventions for teaching social interaction skills to children with ASD in inclusive settings: A meta-analysis. Journal of Behavioral Education, 25(2), 2. [Google Scholar] [CrossRef]
- Chevallier, C., Kohls, G., Troiani, V., Brodkin, E. S., & Schultz, R. T. (2012). The social motivation theory of autism. Trends in Cognitive Sciences, 16(4), 231–239. [Google Scholar] [CrossRef]
- Cohen, S., Koegel, R., Koegel, L. K., Engstrom, E., Young, K., & Quach, A. (2022). Using self-management and visual cues to improve responses to nonverbal social cues in adults with autism spectrum disorder. Behavior Modification, 46(3), 529–552. [Google Scholar] [CrossRef]
- Cooper, J., Heron, T., & Heward, W. (2020). Applied Behavior Analysis (3rd ed.). Pearson. [Google Scholar]
- Davis, J. L., Mason, B. A., Davis, H. S., Mason, R. A., & Crutchfield, S. A. (2016). Self-monitoring interventions for students with ASD: A meta-analysis of school-based research. Review Journal of Autism and Developmental Disorders, 3(3), 3. [Google Scholar] [CrossRef]
- Gast, D. L., Lloyd, B. P., & Ledford, J. R. (2018). Multiple baseline and multiple probe designs. In J. R. Ledford, & D. L. Gast (Eds.), Single case research methodology: Applications in special education and behavioral sciences (3rd ed., pp. 239–281). Routledge. [Google Scholar]
- Gena, A. (2006). The effects of prompting and social reinforcement on establishing social interactions with peers during the inclusion of four children with autism in preschool. International Journal of Psychology, 41(6), 541–554. [Google Scholar] [CrossRef]
- Gena, A., & Kymissis, E. (2001). Assessing and setting goals for the attending and communicative behavior of three preschoolers with autism in inclusive kindergarten settings. Journal of Developmental and Physical Disabilities, 13(1), 1. [Google Scholar] [CrossRef]
- Gena, A., Galanis, P., & Ala’i-Rosales, S. (2014). Self-management from a behavior analytic standpoint: Theoretical advancements and applications in autism spectrum disorder. Hellenic Journal of Cognitive Behavior Research and Therapy, 1(1), 35–40. [Google Scholar]
- Gilmore, S., Frederick, L. K., Santillan, L., & Locke, J. (2019). The games they play: Observations of children with autism spectrum disorder on the school playground. Autism, 23(6), 1343–1353. [Google Scholar] [CrossRef]
- Hume, K., Steinbrenner, J. R., Odom, S. L., Morin, K. L., Nowell, S. W., Tomaszewski, B., Szendrey, S., McIntyre, N. S., Yücesoy-Özkan, S., & Savage, M. N. (2021). Evidence-based practices for children, youth, and young adults with autism: Third generation review. Journal of Autism and Developmental Disorders, 51(11), 11. [Google Scholar] [CrossRef]
- Hustyi, K. M., Ryan, A. H., & Hall, S. S. (2023). A scoping review of behavioral interventions for promoting social gaze in individuals with autism spectrum disorder and other developmental disabilities. Research in Autism Spectrum Disorders, 100, 102074. [Google Scholar] [CrossRef]
- Kasari, C., Locke, J., Gulsrud, A., & Rotheram-Fuller, E. (2011). Social networks and friendships at school: Comparing children with and without ASD. Journal of Autism and Developmental Disorders, 41(5), 533–544. [Google Scholar] [CrossRef]
- Kauffman, J. M., Ahrbeck, B., Anastasiou, D., Felder, M., Hornby, G., & Lopes, J. (2023). The Unintended consequences of the full inclusion movement. Global Journal of Intellectual & Developmental Disabilities, 11(4), 555819. [Google Scholar] [CrossRef]
- Kauffman, J. M., Anastasiou, D., Hornby, G., Lopes, J., Burke, M. D., Felder, M., Ahrbeck, B., & Wiley, A. (2022). Imagining and reimagining the future of special and inclusive education. Education Sciences, 12(12), 12. [Google Scholar] [CrossRef]
- Kefallinou, A., Symeonidou, S., & Meijer, C. J. W. (2020). Understanding the value of inclusive education and its implementation: A review of the literature. Prospects, 49(3), 3. [Google Scholar] [CrossRef]
- Koegel, L. K., Koegel, R. L., & Parks, D. R. (1992). How to teach self-management to people with severe disabilities. A training manual. University of California. Available online: https://eric.ed.gov/?id=ED336880 (accessed on 15 December 2018).
- Koegel, L. K., Park, M. N., & Koegel, R. L. (2014). Using self-management to improve the reciprocal social conversation of children with autism spectrum disorder. Journal of Autism and Developmental Disorders, 44(5), 1055–1063. [Google Scholar] [CrossRef] [PubMed]
- Lang, R., Kuriakose, S., Lyons, G., Mulloy, A., Boutot, A., Britt, C., Caruthers, S., Ortega, L., O’Reilly, M., & Lancioni, G. (2011). Use of school recess time in the education and treatment of children with autism spectrum disorders: A systematic review. Research in Autism Spectrum Disorders, 5(4), 1296–1305. [Google Scholar] [CrossRef]
- Lee, S.-H., Simpson, R. L., & Shogren, K. A. (2007). Effects and implications of self-management for students with autism: A meta-analysis. Focus on Autism and Other Developmental Disabilities, 22(1), 2–13. [Google Scholar] [CrossRef]
- Locke, J., Shih, W., Kretzmann, M., & Kasari, C. (2016). Examining playground engagement between elementary school children with and without autism spectrum disorder. Autism, 20(6), 653–662. [Google Scholar] [CrossRef]
- Loftin, R. L., Odom, S. L., & Lantz, J. F. (2007). Social interaction and repetitive motor behaviors. Journal of Autism and Developmental Disorders, 38(6), 6. [Google Scholar] [CrossRef]
- Malott, R. W. (1984). Rule-governed behavior, self-management, and the developmentally disabled: A theoretical analysis. Analysis and Intervention in Developmental Disabilities, 4(2), 199–209. [Google Scholar] [CrossRef]
- McDougall, D., Heine, R. C., Wiley, L. A., Sheehey, M. D., Sakanashi, K. K., Cook, B. G., & Cook, L. (2017). Meta-analysis of behavioral self-management techniques used by students with disabilities in inclusive settings. Behavioral Interventions, 32(4), 399–417. [Google Scholar] [CrossRef]
- Morrison, L., Kamps, D., Garcia, J., & Parker, D. (2001). Peer mediation and monitoring strategies to improve initiations and social skills for students with autism. Journal of Positive Behavior Interventions, 3(4), 237–250. [Google Scholar] [CrossRef]
- Parker, R. I., & Vannest, K. (2009). An improved effect size for single-case research: Nonoverlap of all pairs. Behavior Therapy, 40(4), 357–367. [Google Scholar] [CrossRef]
- Parker, R. I., Vannest, K. J., Davis, J. L., & Sauber, S. B. (2011). Combining nonoverlap and trend for single-case research: Tau-U. Behavior Therapy, 42(2), 284–299. [Google Scholar] [CrossRef] [PubMed]
- Reinecke, D. R., Krokowski, A., & Newman, B. (2018). Self-management for building independence: Research and future directions. International Journal of Educational Research, 87, 119–126. [Google Scholar] [CrossRef]
- Shearer, D. D., Kohler, F. W., Buchan, K. A., & McCullough, K. M. (1996). Promoting independent interactions between preschoolers with autism and their nondisabled peers: An analysis of self-monitoring. Early Education and Development, 7(3), 205–220. [Google Scholar] [CrossRef]
- Snyder, T. D., de Brey, C., & Dillow, S. A. (2019). Digest of education statistics 2018 (NCES 2020-009). National Center for Education Statistics, Institute of Education Sciences, U.S. Department of Education. Available online: https://nces.ed.gov/pubs2020/2020009.pdf (accessed on 8 May 2021).
- Southall, C., & Gast, D. (2011). Self-management procedures: A comparison across the autism spectrum. Education and Training in Autism and Developmental Disabilities, 46(2), 155–171. Available online: http://www.jstor.org/stable/23879688 (accessed on 12 February 2023).
- Sparrow, S., Balla, D., & Cicchetti, D. (1984). Vineland adaptive behavior scales. American Guidance Service. [Google Scholar]
- Stokes, T. F., & Osnes, P. G. (1986). Programming the generalization of children’s social behavior. In P. S. Strain, M. J. Guralnick, & H. M. Walker (Eds.), Children’s social behavior: Development, assessment, and modification (pp. 407–443). Academic Press. [Google Scholar]
- Strain, P. S., Kohler, F. W., Storey, K., & Danko, C. D. (1994). Teaching preschoolers with autism to self-monitor their social interactions: An analysis of results in home and school settings. Journal of Emotional and Behavioral Disorders, 2(2), 78–88. [Google Scholar] [CrossRef]
- Vannest, K. J., Parker, R. I., Gonen, O., & Adiguzel, T. (2016). Single case research: Web based calculators for SCR analysis. (Version 2.0) [Web-based application]. Available online: https://singlecaseresearch.org/ (accessed on 6 October 2024).
- Wichnick-Gillis, A. M., Vener, S. M., & Poulson, C. L. (2019). Script fading for children with autism: Generalization of social initiation skills from school to home. Journal of Applied Behavior Analysis, 52(2), 451–466. [Google Scholar] [CrossRef]
- Wolfe, K., Pound, S., McCammon, M. N., Chezan, L. C., & Drasgow, E. (2019). A systematic review of interventions to promote varied social-communication behavior in individuals with autism spectrum disorder. Behavior Modification, 43(6), 790–818. [Google Scholar] [CrossRef]


| Age | VABS | Duration and Intensity of ABA Therapy Prior to Study | Duration of Attendance in Preschool Prior to Study | |||
|---|---|---|---|---|---|---|
| Comp. | Com. | Soc. | ||||
| Keith | 4.11 | 51 | 62 | 55 | 2 months, 9 h per week, one-on-one intervention | 2 years without shadow teacher |
| Bob | 4.4 | 78 | 79 | 82 | 10 months, 12 h per week, one-on-one intervention | 7 months with shadow teacher |
| Gregory | 4.3 | 53 | 64 | 53 | 1 year, 20 h per week, one-on-one intervention | 5 months with shadow teacher |
Disclaimer/Publisher’s Note: The statements, opinions and data contained in all publications are solely those of the individual author(s) and contributor(s) and not of MDPI and/or the editor(s). MDPI and/or the editor(s) disclaim responsibility for any injury to people or property resulting from any ideas, methods, instructions or products referred to in the content. |
© 2025 by the authors. Licensee MDPI, Basel, Switzerland. This article is an open access article distributed under the terms and conditions of the Creative Commons Attribution (CC BY) license (https://creativecommons.org/licenses/by/4.0/).
Share and Cite
Galanis, P.; Gena, A. Using Self-Management to Teach Social Interactions to Preschoolers with Autism Spectrum Disorder During Recess in School Settings. Educ. Sci. 2025, 15, 587. https://doi.org/10.3390/educsci15050587
Galanis P, Gena A. Using Self-Management to Teach Social Interactions to Preschoolers with Autism Spectrum Disorder During Recess in School Settings. Education Sciences. 2025; 15(5):587. https://doi.org/10.3390/educsci15050587
Chicago/Turabian StyleGalanis, Petros, and Angeliki Gena. 2025. "Using Self-Management to Teach Social Interactions to Preschoolers with Autism Spectrum Disorder During Recess in School Settings" Education Sciences 15, no. 5: 587. https://doi.org/10.3390/educsci15050587
APA StyleGalanis, P., & Gena, A. (2025). Using Self-Management to Teach Social Interactions to Preschoolers with Autism Spectrum Disorder During Recess in School Settings. Education Sciences, 15(5), 587. https://doi.org/10.3390/educsci15050587

