The Impact of Multilevel Coaching on Pre-Service Teachers’ Fidelity of Implementation of an Evidence-Based Reading Intervention
Abstract
1. Introduction
- What are the effects of multilevel coaching support on PSTs’ fidelity of implementation of an evidence-based reading intervention?
- What are PSTs’ perceptions of the feasibility, effectiveness, and future impact of the multilevel coaching intervention?
2. Materials and Methods
2.1. Participants
2.2. Setting and Context
2.2.1. Elementary School
2.2.2. Student Participants
2.2.3. Reading Tutoring Intervention and Coaching Context
2.3. Materials
2.3.1. Reading Curriculum
2.3.2. Asynchronous and Synchronous Training Materials
2.3.3. Coaching Materials
2.4. Dependent Variables
2.4.1. Fidelity of Implementation Checklist
2.4.2. Social Validity Questionnaire
2.5. Experimental Design
2.5.1. Baseline
2.5.2. Intervention
2.6. Interobserver Agreement
2.7. Procedural Fidelity
3. Results
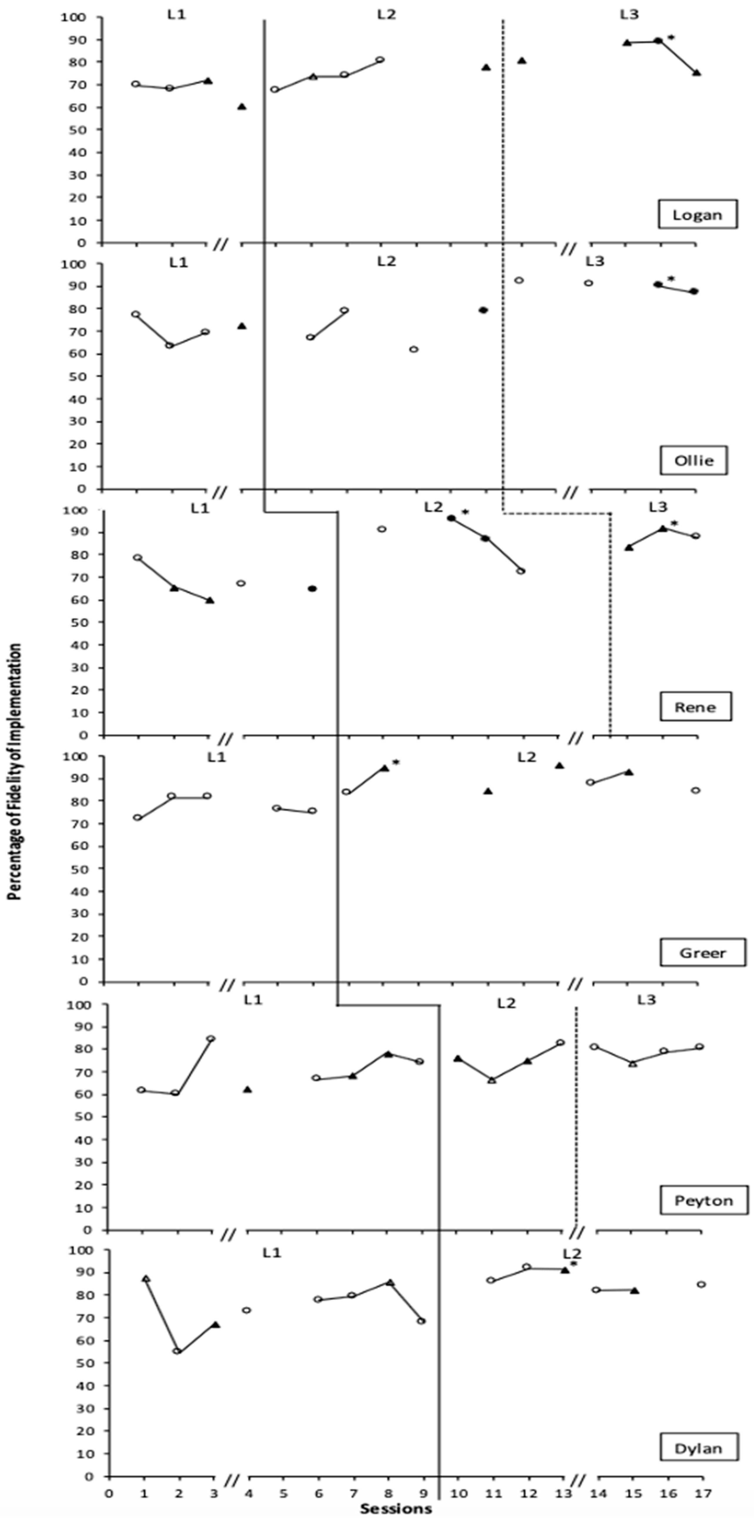
3.1. Fidelity of Implementation Results
3.2. Social Validity Questionnaire Results
4. Discussion
5. Limitations and Future Research
6. Conclusions
Author Contributions
Funding
Institutional Review Board Statement
Informed Consent Statement
Data Availability Statement
Acknowledgments
Conflicts of Interest
References
- Al Otaiba, S., & Fuchs, D. (2006). Who are the young children for whom best practices in reading are ineffective? An experimental and longitudinal study. Journal of Learning Disabilities, 39, 414–431. [Google Scholar] [CrossRef]
- Benner, G. J., Nelson, J. R., Stage, S. A., & Ralston, N. C. (2011). The influence of fidelity of implementation on the reading outcomes of middle school students experiencing reading difficulties. Remedial and Special Education, 32(1), 79–88. [Google Scholar] [CrossRef]
- Binks-Cantrell, E., Washburn, E. K., Joshi, R. M., & Hougen, M. (2012). Peter effect in the preparation of reading teachers. Scientific Studies of Reading, 16(6), 526–536. [Google Scholar] [CrossRef]
- Blachman, B. A., Tangel, D. M., Ball, E. W., Black, R., & McGraw, C. K. (1999). Developing phonological awareness and word recognition skills: A two-year intervention with low-income, inner-city children. Reading and Writing, 11, 239–273. [Google Scholar] [CrossRef]
- Boardman, A. G., Buckley, P., Vaughn, S., Roberts, G., Scornavacco, K., & Klingner, J. K. (2016). Relationship between implementation of collaborative strategic reading and student outcomes for adolescents with disabilities. Journal of Learning Disabilities, 49(6), 644–657. [Google Scholar] [CrossRef] [PubMed]
- Brady, S., & Moats, L. (1997). Informed instruction for reading success: Foundations for teacher preparation. International Dyslexia Association. Available online: https://files.eric.ed.gov/fulltext/ED411646.pdf (accessed on 1 August 2023).
- Brownell, M. T., Kiely, M. T., Haager, D., Boardman, A., Corbett, N., Algina, J., Dingle, M. P., & Urbach, J. (2017). Literacy learning cohorts: Content-focused approach to improving special education teachers’ reading instruction. Exceptional Children, 83(2), 143–164. [Google Scholar] [CrossRef]
- Brownell, M. T., Jones, N. D., Sohn, H., & Stark, K. (2020). Improving teaching quality for students with disabilities: Establishing a warrant for teacher education practice. Teacher Education and Special Education, 43(1), 28–44. [Google Scholar] [CrossRef]
- Brownell, M. T., Sindelar, P. T., Kiely, M. T., & Danielson, L. C. (2010). Special education teacher quality and preparation: Exposing foundations, constructing a new model. Exceptional Children, 76(3), 357–377. [Google Scholar] [CrossRef]
- Bursuck, W. D., Smith, T., Munk, D., Damer, M., Mehlig, L., & Perry, J. (2004). Evaluating the impact of a prevention-based model of reading on children who are at risk. Remedial and Special Education, 25(5), 303–313. [Google Scholar] [CrossRef]
- Capin, P., Roberts, G., Clemens, N. H., & Vaughn, S. (2022). When treatment adherence matters: Interactions among treatment adherence, instructional quality, and student characteristics on reading outcomes. Reading Research Quarterly, 57(2), 753–774. [Google Scholar] [CrossRef] [PubMed]
- Capizzi, A. M., Wehby, J. H., & Sandmel, K. N. (2010). Enhancing mentoring of teacher candidates through consultative feedback and self-evaluation of instructional delivery. Teacher Education and Special Education, 33(3), 191–212. [Google Scholar] [CrossRef]
- Carroll, C., Patterson, M., Wood, S., Booth, A., Rick, J., & Balain, S. (2007). A conceptual framework for implementation fidelity. Implementation Science, 2(40), 1–9. [Google Scholar] [CrossRef]
- Castles, A., Rastle, K., & Nation, K. (2018). Ending the reading wars: Reading acquisition from novice to expert. Psychological Science in the Public Interest, 19(1), 5–51. [Google Scholar] [CrossRef] [PubMed]
- Connor, C. M., Morrison, F. J., Fishman, B. J., Schatschneider, C., & Underwood, P. (2007). Algorithm-guided individualized reading instruction. Science, 315(5811), 464–465. [Google Scholar] [CrossRef] [PubMed]
- Cook, B. G., & Odom, S. L. (2013). Evidence-based practices and implementation science in special education. Exceptional Children, 79(2), 135–144. [Google Scholar] [CrossRef]
- Cook, B. G., Collins, L. W., Cook, S. C., & Cook, L. (2019). Evidence-based reviews: How evidence-based practices are systematically identified. Learning Disabilities Research and Practice, 35(1), 6–13. [Google Scholar] [CrossRef]
- Cornelius, K. E., & Nagro, S. A. (2014). Evaluating the evidence base of performance feedback in preservice special education teacher training. Teacher Education and Special Education, 37(2), 133–146. [Google Scholar] [CrossRef]
- Cunningham, A. E., Zibulsky, J., Stanovich, K. E., & Stanovich, P. J. (2009). How teachers would spend their time teaching language arts: The mismatch between self-reported and best practices. Journal of Learning Disabilities, 42(5), 418–430. [Google Scholar] [CrossRef] [PubMed]
- Cutting, L. E., & Levine, T. M. (2010). Cognitive profile of children with neurofibromatosis and reading disabilities. Child Neuropsychology, 16(5), 417–432. [Google Scholar] [CrossRef] [PubMed]
- D’Angiulli, A., Siegel, L. S., & Maggi, S. (2004). Literacy instruction, SES, and word-reading achievement in English-language learners and children with English as a first language: A longitudinal study. Learning Disabilities Research and Practice, 19(4), 202–213. [Google Scholar] [CrossRef]
- Dawkins, S., Ritz, M. E., & Louden, W. (2009a). Evaluating the practicability and sustainability of a reading intervention programme, using preservice teachers as trained volunteers. Australian Journal of Language and Literacy, 32, 136–147. [Google Scholar] [CrossRef]
- Dawkins, S., Ritz, M. E., & Louden, W. (2009b). Learning by doing: Preservice teachers as reading tutors. Australian Journal of Teacher Education, 34(2), 40–49. [Google Scholar] [CrossRef][Green Version]
- DePaoli, J. L., Fox, J. H., Ingram, E. S., Maushard, M., Bridgeland, J. M., & Balfanz, R. (2015). Building a grad nation: Progress and challenge in ending the high school dropout epidemic. Civic Enterprises. Available online: http://gradnation.americaspromise.org/sites/default/files/d8/18006_CE_BGN_Full_vFNL.pdf (accessed on 1 August 2023).
- DeWalt, D. A., & Hink, A. (2009). Health literacy and child health outcomes: A systematic review of the literature. Pediatrics, 124(S3), S265–S274. [Google Scholar] [CrossRef]
- DiGennaro, F. D., Martens, B. K., & Kleinmann, A. E. (2007). A comparison of performance feedback procedures on teachers’ treatment implementation integrity and students’ inappropriate behavior in special education classrooms. Journal of Applied Behavior Analysis, 40(3), 447–461. [Google Scholar] [CrossRef] [PubMed]
- du Plessis, A. E., Cullinan, M., Gramotnev, G., Gramotnev, D. K., Hoang, N. T., Mertens, L., Roy, K., & Schmidt, A. (2020). The multilayered effects of initial teacher education programs on the beginning teacher workforce and workplace: Perceptions of beginning teachers and their school leaders. International Journal of Educational Research, 99, 101488. [Google Scholar] [CrossRef]
- Durlak, J. A. (2010). The importance of doing well in whatever you do: A commentary on the special section, “implementation research in early childhood education”. Early Childhood Research Quarterly, 25(3), 348–357. [Google Scholar] [CrossRef]
- Durlak, J. A., & DuPre, E. P. (2008). Implementation matters: A review of research on the influence of implementation on program outcomes and the factors affecting implementation. American Journal of Community Psychology, 41(3–4), 327–350. [Google Scholar] [CrossRef]
- Englert, C. S., Mariage, T. V., Truckenmiller, A. J., Brehmer, J., Hicks, K., & Chamberlain, C. (2020). Preparing special education preservice teachers to teach phonics to struggling readers: Reducing the gap between expert and novice performance. Teacher Education and Special Education, 43(3), 235–256. [Google Scholar] [CrossRef]
- Every Student Succeeds Act. (2015). Public law no. 114-95 § 114 stat. 1177. Available online: https://www.congress.gov/114/plaws/publ95/PLAW-114publ95.pdf (accessed on 14 January 2025).
- Foorman, B. R., Schatschneider, C., Eakin, M. N., Fletcher, J. M., Moats, L. C., & Francis, D. J. (2006). The impact of instructional practices in Grades 1 and 2 on reading and spelling achievement in high poverty schools. Contemporary Educational Psychology, 31(1), 1–29. [Google Scholar] [CrossRef]
- Freeman, J., Sugai, G., Simonsen, B., & Everett, S. (2017). MTSS coaching: Bridging knowing to doing. Theory into Practice, 56(1), 29–37. [Google Scholar] [CrossRef]
- Gersten, R., Fuchs, L. S., Compton, D., Coyne, M., Greenwood, C., & Innocenti, M. S. (2005). Quality indicators for group experimental and quasi-experimental research in special education. Exceptional Children, 71(2), 149–164. [Google Scholar] [CrossRef]
- Gersten, R., Haymond, K., Newman-Gonchar, R., Dimino, J., & Jayanthi, M. (2020). Meta-analysis of the impact of reading interventions for students in the primary grades. Journal of Research on Educational Effectiveness, 13(2), 401–427. [Google Scholar] [CrossRef]
- Gettinger, M., & Stoiber, K. C. (2016). Coaching and demonstration of evidence-based book-reading practices: Effects on Head Start teachers’ literacy-related behaviors and classroom environment. Journal of Early Childhood Teacher Education, 37(2), 117–141. [Google Scholar] [CrossRef]
- Gilmour, A. F., Fuchs, D., & Wehby, J. H. (2019). Are students with disabilities accessing the curriculum? A meta-analysis of the reading achievement gap between students with and without disabilities. Exceptional Children, 85(3), 329–346. [Google Scholar] [CrossRef]
- Goodnight, C. I., Wood, C. L., & Thompson, J. L. (2020). Effects of in-service and coaching to increase teachers’ use of research-based strategies in beginning reading. Preventing School Failure, 64(1), 67–76. [Google Scholar] [CrossRef]
- Gormley, S., & Ruhl, K. L. (2007). Language structure knowledge of preservice teachers: Connecting speech to print. Teacher Education and Special Education, 30(2), 83–92. [Google Scholar] [CrossRef]
- Greenberg, J., McKee, A., & Walsh, K. (2013, June 1). Teacher prep review: A review of the nation’s teacher preparation programs. National Council on Teacher Quality. Available online: https://papers.ssrn.com/sol3/papers.cfm?abstract_id=2353894 (accessed on 14 January 2025).
- Hamre, B. K., Justice, L. M., Pianta, R. C., Kilday, C., Sweeney, B., Downer, J. T., & Leach, A. (2010). Implementation fidelity of MyTeacherPartner literacy and language activities: Association with preschoolers’ language and literacy growth. Early Childhood Research Quarterly, 25(3), 329–347. [Google Scholar] [CrossRef]
- Hanford, E. (Host). (2019). At a loss for words: How a flawed idea is teaching millions of kids to be poor readers [Audio podcast]. APM Reports. Available online: https://www.apmreports.org/episode/2019/08/22/whats-wrong-how-schools-teach-reading (accessed on 1 August 2023).
- Harn, B., Parisi, D., & Stoolmiller, M. (2013). Balancing fidelity with flexibility and fit: What do we really know about fidelity of implementation in schools? Exceptional Children, 79(2), 181–193. [Google Scholar] [CrossRef]
- Heineke, S. F. (2013). Coaching discourse: Supporting teachers’ professional learning. The Elementary School Journal, 113(3), 409–433. [Google Scholar] [CrossRef]
- Hindman, A. H., Morrison, F. J., Connor, C. M., & Connor, J. A. (2020). Bringing the science of reading to preservice elementary teachers: Tools that bridge research and practice. Reading Research Quarterly, 55(S1), S197–S206. [Google Scholar] [CrossRef]
- Hsieh, W.-Y., Hemmeter, M. L., McCollum, J. A., & Ostrosky, M. M. (2009). Using coaching to increase preschool teachers’ use of emergent literacy teaching strategies. Early Childhood Research Quarterly, 24(3), 229–247. [Google Scholar] [CrossRef]
- Hudson, A. K., Moore, K. A., Han, B., Wee Koh, P., Binks-Cantrell, E., & Malatesha Joshi, R. (2021). Elementary teachers’ knowledge of foundational literacy skills: A critical piece of the puzzle in the science of reading. Reading Research Quarterly, 56(S1), S287–S315. [Google Scholar] [CrossRef]
- IDEA. (2004). Individuals with disabilities education act, 20 U.S.C. § 1400 et seq. Available online: https://sites.ed.gov/idea/statute-chapter-33/subchapter-i/1400 (accessed on 14 January 2025).
- International Literacy Association. (2020). What’s hot in literacy: 2020 report. Available online: https://www.literacyworldwide.org/docs/default-source/resource-documents/whatshotreport_2020_final.pdf (accessed on 1 July 2023).
- Irwin, V., De La Rosa, J., Wang, K., Hein, S., Zhang, J., Burr, R., Roberts, A., Barmer, A., Bullock Mann, F., Dilig, R., & Parker, S. (2022, May). Report on the condition of education 2022 (NCES 2022-144). National Center for Education Statistics, U.S. Department of Education. Available online: https://nces.ed.gov/pubs2022/2022144.pdf (accessed on 1 July 2023).
- Irwin, V., Zhang, J., Wang, X., Hein, S., Wang, K., Roberts, A., York, C., Barmer, A., Bullock Mann, F., Dilig, R., & Parker, S. (2021, May). Report on the condition of education 2021 (NCES 2021-144). National Center for Education Statistics, U.S. Department of Education. Available online: https://nces.ed.gov/pubs2021/2021144.pdf (accessed on 1 July 2023).
- Jager, B., Reezigt, G. J., & Creemers, B. P. (2002). The effects of teacher training on new instructional behaviour in reading comprehension. Teaching and Teacher Education, 18(7), 831–842. [Google Scholar] [CrossRef]
- Joshi, R. M., Binks, E., Hougen, M. C., Dean, E. O., Graham, L., & Smith, D. L. (2009). The role of teacher education programs in preparing teachers for implementing evidence-based reading practices. In S. Rosenfield, & V. Berninger (Eds.), Implementing evidence based academic interventions in school settings (pp. 605–625). Oxford University Press. [Google Scholar] [CrossRef]
- Joyce, B. R., & Showers, B. (2002). Student achievement through staff development (Vol. 3). Association for Supervision and Curriculum Development. [Google Scholar]
- Justice, L. M., Mashburn, A. J., Hamre, B. K., & Pianra, R. C. (2008). Quality of language and literacy instruction in preschool classrooms serving at-risk pupils. Early Childhood Research Quarterly, 23(1), 51–68. [Google Scholar] [CrossRef] [PubMed]
- Kaderavek, J. N., & Justice, L. M. (2010). Fidelity: An essential component of evidence-based practice in speech-language pathology. American Journal of Speech Language Pathology, 19(4), 369–379. [Google Scholar] [CrossRef] [PubMed]
- Klingner, J. K., Urbach, J., Golos, D., Brownell, M., & Menon, S. (2010). Teaching reading in the 21st century: A glimpse at how special education teachers promote reading comprehension. Learning Disability Quarterly, 33(2), 59–74. [Google Scholar] [CrossRef]
- Kraft, M. A., Blazar, D., & Hogan, D. (2018). The effect of teacher coaching on instruction and achievement: A meta-analysis of the causal evidence. Review of Educational Research, 88(4), 547–588. [Google Scholar] [CrossRef]
- Kretlow, A. G., & Bartholomew, C. C. (2010). Using coaching to improve the fidelity of evidence-based practices: A review of studies. Teacher Education and Special Education, 33(4), 279–299. [Google Scholar] [CrossRef]
- Kretlow, A. G., Wood, C. L., & Cooke, N. L. (2009). Using in-service and coaching to increase kindergarten teachers’ accurate delivery of group instructional units. The Journal of Special Education, 44(4), 234–246. [Google Scholar] [CrossRef]
- L’Allier, S. K., & Brown, E. M. (2021). Teachers’ questions about coaching: Pathways to productive collaborations. The Reading Teacher, 75(2), 197–206. [Google Scholar] [CrossRef]
- Ledford, J. R., & Gast, D. L. (2018). Single case research methodology: Applications in special education and behavioral sciences (3rd ed.). Routledge. [Google Scholar]
- Ledford, J. R., & Wolery, M. (2013). The effects of graphing a second observer’s data on judgments of functional relations when observer bias may be present. Journal of Behavioral Education, 22(4), 312–324. Available online: https://www.jstor.org/stable/43551353 (accessed on 1 August 2023). [CrossRef]
- Leko, M. M., Brownell, M. T., Sindelar, P. T., & Kiely, M. T. (2015). Envisioning the future of special education personnel preparation in a standards-based era. Exceptional Children, 82(1), 25–43. [Google Scholar] [CrossRef]
- Levine, A. (2006). Educating school teachers. The Education Schools Project. Available online: https://files.eric.ed.gov/fulltext/ED504144.pdf (accessed on 1 August 2023).
- Lignugaris-Kraft, B., & Marchand-Martella, N. (1993). Evaluation of pre-service teachers’ interactive teaching skills in a direct instruction practicum using student teachers as supervisors. Teacher Education and Special Education, 16(4), 309–318. [Google Scholar] [CrossRef]
- Lyon, G., & Weiser, B. (2009). Teacher knowledge, instructional expertise, and the development of reading proficiency. Journal of Learning Disabilities, 42(5), 475–480. [Google Scholar] [CrossRef] [PubMed]
- Maheady, L., Smith, C., & Jabot, M. (2013). Utilizing evidence-based practice in teacher preparation. In B. G. Cook, M. Tankersley, & T. J. Landrum (Eds.), Evidence-based practices (pp. 121–147). Emerald. [Google Scholar] [CrossRef]
- Mallette, B., Maheady, L., & Harper, G. F. (1999). The effects of reciprocal peer coaching on preservice general educators’ instruction of students with special learning needs. Teacher Education and Special Education, 22(4), 201–216. [Google Scholar] [CrossRef]
- McFarland, J., Hussar, B., de Brey, C., Snyder, T., Wang, X., Wilkinson-Flicker, S., Gebrekristos, S., Zhang, J., Rathbun, A., Barmer, A., Bullock Mann, F., & Hinz, S. (2017, May). The condition of education 2017 (NCES 2017-144). National Center for Education Statistics, U.S. Department of Education. Available online: https://nces.ed.gov/pubs2017/2017144.pdf (accessed on 1 July 2023).
- McFarland, J., Hussar, B., Zhang, J., Wang, X., Wang, K., Hein, S., Diliberti, M., Forrest Cataldi, E., Bullock Mann, F., & Barmer, A. (2019, May). The condition of education 2019 (NCES 2019-144). National Center for Education Statistics, U.S. Department of Education. Available online: https://nces.ed.gov/pubs2019/2019144.pdf (accessed on 1 July 2023).
- McKenna, J. W., Flower, A., & Ciullo, S. (2014). Measuring fidelity to improve intervention effectiveness. Intervention in School and Clinic, 50(1), 15–21. [Google Scholar] [CrossRef]
- Meeks, L., Madelaine, A., & Stephenson, J. (2020). New teachers talk about their preparation to teach early literacy. Australian Journal of Learning Difficulties, 25(2), 161–181. [Google Scholar] [CrossRef]
- Meisner, J. (2020). Understanding pre-service teachers’ perceptions of instructional coaching during student teaching [Doctoral dissertation, Utah State University]. ProQuest Dissertations and Theses Global. Available online: https://www.proquest.com/dissertations-theses/understanding-preservice-teachers-perceptions/docview/2455935765/se-2 (accessed on 1 February 2023).
- Moats, L. (2009). Knowledge foundations for teaching reading and spelling. Reading and Writing, 22(4), 379–399. [Google Scholar] [CrossRef]
- Moats, L. C. (2014). What teachers don’t know and why they aren’t learning it: Addressing the need for content and pedagogy in teacher education. Australian Journal of Learning Difficulties, 19(2), 75–91. [Google Scholar] [CrossRef]
- Moats, L. C. (2020). Teaching reading is rocket science: What expert teachers of reading should know and be able to do. American Educator, 44(2), 4. Available online: https://link.gale.com/apps/doc/A627507679/AONE?u=char69915&sid=bookmark-AONE&xid=106f9f94 (accessed on 1 February 2023).
- Moats, L. C., & Foorman, B. R. (2003). Measuring teachers’ content knowledge of language and reading. Annals of Dyslexia, 53(1), 23–45. [Google Scholar] [CrossRef]
- Morgan, P. L., Farkas, G., & Wu, Q. (2011). Kindergarten children’s growth trajectories in reading and mathematics: Who falls increasingly behind? Journal of Learning Disabilities, 44(5), 472–488. [Google Scholar] [CrossRef] [PubMed]
- Morgan, R. L., Menlove, R., Salzberg, C. L., & Hudson, P. (1994). Effects of peer coaching on the acquisition of direct instruction skills by low-performing pre-service teachers. The Journal of Special Education, 28(1), 59–76. [Google Scholar] [CrossRef]
- Mowbray, C. T., Holter, M. C., Teague, G. B., & Bybee, D. B. (2003). Fidelity criteria: Development, measurement, and validation. American Journal of Evaluation, 24(3), 315–340. [Google Scholar] [CrossRef]
- Myers, D. M., Simonsen, B., & Sugai, G. M. (2011). Increasing teachers’ use of praise with a Response-to-Intervention approach. Education and Treatment of Children, 34(1), 35–59. [Google Scholar] [CrossRef]
- Neugebauer, S., Coyne, M., McCoach, B., & Ware, S. (2017). Teaching beyond the intervention: The contribution of teacher language extensions to vocabulary learning in urban kindergarten classrooms. Reading and Writing Quarterly, 30(3), 543–567. [Google Scholar] [CrossRef]
- Odom, S. L., Fleming, K., Diamond, K., Lieber, J., Hanson, M., Butera, G., Horn, E., Palmer, S., & Marquis, J. (2010). Examining different forms of implementation and in early childhood curriculum research. Early Childhood Research Quarterly, 25(3), 314–328. [Google Scholar] [CrossRef] [PubMed]
- O’Donnell, C. L. (2008). Defining, conceptualizing, and measuring fidelity of implementation and its relationship to outcomes in K-12 curriculum intervention research. Review of Educational Research, 78, 33–84. [Google Scholar] [CrossRef]
- Peeples, K. N., Hirsch, S. E., Gardner, S. J., Keeley, R. G., Sherrow, B. L., McKenzie, J. M., Randall, K. N., Romig, J. E., & Kennedy, M. J. (2019). Using multimedia instruction and performance feedback to improve preservice teachers’ vocabulary instruction. Teacher Education and Special Education, 42(3), 227–245. [Google Scholar] [CrossRef]
- Petscher, Y., Cabell, S. Q., Catts, H. W., Compton, D. L., Foorman, B. R., Hart, S. A., Lonigan, C. J., Phillips, B. M., Schatschneider, C., Steacy, L. M., Terry, N. P., & Wagner, R. K. (2020). How the science of reading informs 21st-century education. Reading Research Quarterly, 55(S1), S267–S282. [Google Scholar] [CrossRef]
- Pittman, R. T., Zhang, S., Binks-Cantrell, E., Hudson, A., & Joshi, R. M. (2020). Teachers’ knowledge about language constructs related to literacy skills and student achievement in low socio-economic status schools. Dyslexia, 26(2), 200–219. [Google Scholar] [CrossRef] [PubMed]
- Podhajski, B., Mather, N., Nathan, J., & Sammons, J. (2009). Professional development in scientifically based reading instruction: Teacher knowledge and reading outcomes. Journal of Learning Disabilities, 42(5), 403–417. [Google Scholar] [CrossRef] [PubMed]
- Power, T. J., Blom-Hoffman, J., Clarke, A. T., Riley-Tillman, T. C., Kelleher, C., & Manz, P. H. (2005). Reconceptualizing intervention integrity: A partnership-based framework for linking research with practice. Psychology in the Schools, 42(5), 495–507. [Google Scholar] [CrossRef]
- Quick, H. E., Holtzman, D. J., & Chaney, K. R. (2009). Professional development and instructional practice: Conceptions and evidence of effectiveness. Journal of Education for Students Placed at Risk, 14(1), 45–71. [Google Scholar] [CrossRef]
- Quinn, D. M., & Kim, J. S. (2017). Scaffolding fidelity and adaptation in educational program implementation: Experimental evidence from a literacy intervention. American Educational Research Journal, 54(6), 1187–1220. [Google Scholar] [CrossRef]
- Rayner, K., Foorman, B. R., Perfetti, C. A., Pesetsky, D., & Seidenberg, M. S. (2001). How psychological science informs the teaching of reading. Psychological Science in the Public Interest, 2(2), 31–74. [Google Scholar] [CrossRef] [PubMed]
- Sailors, M., & Price, L. R. (2010). Professional development that supports the teaching of cognitive reading strategy instruction. The Elementary School Journal, 110(3), 301–322. [Google Scholar] [CrossRef]
- Scheeler, M. C., & Lee, D. L. (2002). Using technology to deliver immediate corrective feedback to preservice teachers. Journal of Behavioral Education, 11(4), 231–241. [Google Scholar] [CrossRef]
- Scheeler, M. C., McKinnon, K., & Stout, J. (2012). Effects of immediate feedback delivered via webcam and bug-in-ear technology on preservice teacher performance. Teacher Education and Special Education, 35(1), 77–90. [Google Scholar] [CrossRef]
- Schles, R. A., & Robertson, R. E. (2019). The role of performance feedback and implementation of evidence-based practices for preservice special education teachers and student outcomes: A review of the literature. Teacher Education and Special Education, 42(1), 36–48. [Google Scholar] [CrossRef]
- Schnorr, C. I. (2013). Effects of multilevel support on first-grade teachers’ use of research-based strategies during beginning reading instruction [Doctoral dissertation, University of North Carolina at Charlotte]. [Google Scholar]
- Sindelar, P. T., Brownell, M. T., & Billingsley, B. (2010). Special education teacher education research: Current status and future directions. Teacher Education and Special Education, 33(1), 8–24. [Google Scholar] [CrossRef]
- Spear-Swerling, L. (2019). Structured literacy and typical literacy practices: Understanding differences to create instructional opportunities. Teaching Exceptional Children, 51(3), 201–211. [Google Scholar] [CrossRef]
- Spear-Swerling, L., & Cheesman, E. (2012). Teachers’ knowledge base for implementing Response-to-Intervention models in reading. Reading and Writing, 25(7), 1691–1723. [Google Scholar] [CrossRef]
- Stein, M. L., Berends, M., Fuchs, D., McMaster, K., Sáenz, L., Yen, L., Fuchs, L. S., & Compton, D. L. (2008). Scaling up an early reading program: Relationships among teacher support, fidelity of implementation, and student performance across different sites and years. Educational Evaluation and Policy Analysis, 30(4), 368–388. [Google Scholar] [CrossRef]
- Sutherland, K. S., McLeod, B. D., Conroy, M. A., & Cox, J. R. (2013). Measuring implementation of evidence-based programs targeting young children at risk for emotional/behavioral disorders: Conceptual issues and recommendations. Journal of Early Intervention, 35(2), 129–149. [Google Scholar] [CrossRef]
- Sweigart, C. A., Collins, L. W., Evanovich, L. L., & Cook, S. C. (2016). An evaluation of the evidence base for performance feedback to improve teacher praise using CEC’s quality indicators. Education and Treatment of Children, 39(4), 419–444. Available online: https://www.jstor.org/stable/44684119 (accessed on 1 August 2023). [CrossRef]
- Torgesen, J. K., Alexander, A. W., Wagner, R. K., Rashotte, C. A., Voeller, K. K. S., & Conway, T. (2001). Intensive remedial instruction for children with severe reading disabilities: Immediate and long-term outcomes from two instructional approaches. Journal of Learning Disabilities, 34(1), 33–58. [Google Scholar] [CrossRef] [PubMed]
- Tschannen-Moran, M., & McMaster, P. (2009). Sources of self-efficacy: Four professional development formats and their relationship to self-efficacy and implementation of a new teaching strategy. The Elementary School Journal, 110(2), 228–245. [Google Scholar] [CrossRef]
- Vadasy, P. F., Wayne, S. K., O’Connor, R. E., Jenkins, J. R., Pool, K., Firebaugh, M., & Peyton, J. (2004). Sound Partners: A supplementary, one-to-one tutoring program in phonics-based early reading skills. Sopris West. [Google Scholar]
- van Dijk, W., Huggins-Manley, A. C., Gage, N. A., Lane, H. B., & Coyne, M. (2022). Why does construct validity matter in measuring implementation fidelity? A methodological case study. Assessment for Effective Intervention, 47(2), 67–78. [Google Scholar] [CrossRef]
- Varghese, C., Bratsch-Hines, M., Aiken, H., & Vernon-Feagans, L. (2021). Elementary teachers’ intervention fidelity in relation to reading and vocabulary outcomes for students at risk for reading-related disabilities. Journal of Learning Disabilities, 54(6), 484–496. [Google Scholar] [CrossRef] [PubMed]
- Vaughn, S., & Wanzek, J. (2014). Intensive interventions in reading for students with reading disabilities: Meaningful impacts. Learning Disabilities Research and Practice, 29(2), 46–53. [Google Scholar] [CrossRef] [PubMed]
- Vaughn, S., Roberts, G., Swanson, E. A., Wanzek, J., Fall, A.-M., & Stillman-Spisak, S. J. (2015). Improving middle-school students’ knowledge and comprehension in social studies: A replication. Educational Psychology Review, 27(1), 31–50. [Google Scholar] [CrossRef]
- Washburn, E. K., Binks-Cantrell, E. S., Joshi, R. M., Martin-Chang, S., & Arrow, A. (2016). Preservice teacher knowledge of basic language constructs in Canada, England, New Zealand, and the USA. Annals of Dyslexia, 66(1), 7–27. [Google Scholar] [CrossRef]
- What Works Clearinghouse. (2022, August). What works clearinghouse procedures and standards handbook. version 5.0. U. S. Department of Education, Institute of Education Sciences, National Center for Education Evaluation and Regional Assistance. Available online: https://ies.ed.gov/ncee/wwc/Handbooks (accessed on 1 July 2023).
- Will, M. (2019, December 3). Will the Science of Reading Catch on in Teacher Prep? Education Week. Available online: https://www.edweek.org/teaching-learning/will-the-science-of-reading-catch-on-in-teacher-prep/2019/12 (accessed on 1 February 2023).
- Wood, C. L., Goodnight, C. I., Bethune, K. S., Preston, A. I., & Cleaver, S. L. (2016). Role of professional development and multi-level coaching in promoting evidence-based practice in education. Learning Disabilities: A Contemporary Journal, 14(2), 159–170. [Google Scholar]



| PST | Gender | Age | Ethnicity | Race | Self-Reported GPA |
|---|---|---|---|---|---|
| Logan | Woman | 20 | Not Hispanic or Latino | White | 3.78 |
| Ollie | Woman | 24 | Hispanic or Latino | White | 4.0 |
| Rene | Woman | 21 | Hispanic or Latino | Black or African American | 3.4 |
| Greer | Woman | 20 | Not Hispanic or Latino | White | 3.86 |
| Peyton | Woman | 23 | Not Hispanic or Latino | White | 3.7 |
| Dylan | Woman | 21 | Not Hispanic or Latino | White | 4.0 |
| Level 1 | Level 2 | Level 3 | |
|---|---|---|---|
| Logan | Range: 71.05–100% Mean: 82.35% | Range: 83.33–92.86% Mean: 85.94% | Range: 81.25–96.88% Mean: 90.58% |
| Ollie | Range: 75.00–100% Mean: 85.63% | Range: 81.25–100% Mean: 90.26% | Range: 96.15–100% Mean: 99.04% |
| Rene | Range: 64.29–78.57% Mean: 71.69% | Range: 87.50–100% Mean: 95.49% | Range: 85.71–92.11% Mean: 89.27% |
| Greer | Range: 68.75–87.50% Mean: 77.54% | Range: 75.00–100% Mean: 92.51% | N/A |
| Peyton | Range: 50.00–100% Mean: 74.08% | Range: 75.00–100% Mean: 84.90% | Range: 76.92–88.46% Mean: 85.10% |
| Dylan | Range: 64.29–100% Mean: 90.54% | Range: 87.50–100% Mean: 93.85% | N/A |
| Level 1 | Level 2 | Level 3 | |
|---|---|---|---|
| Logan | Range: 50.00–65.38% Mean: 59.91% | Range: 53.57–72.73% Mean: 64.88% | Range: 61.76–82.35% Mean: 76.57% |
| Ollie | Range: 55.56–68.75% Mean: 60.88% | Range: 42.32–70.00% Mean: 57.45% | Range: 78.57–88.89% Mean: 83.61% |
| Rene | Range: 56.25–77.78% Mean: 63.33% | Range: 54.55–96.43% Mean: 80.77% | Range: 76.67–91.67% Mean: 85.74% |
| Greer | Range: 67.86–86.36% Mean: 77.11% | Range: 77.27–100% Mean: 87.53% | N/A |
| Peyton | Range:46.43–82.14% Mean: 65.00% | Range: 56.67–81.82% Mean: 67.81% | Range: 70.00–75.00% Mean: 72.86% |
| Dylan | Range: 44.44–90.00% Mean: 64.95% | Range: 75.00–91.67% Mean: 80.32% | N/A |
| Questions | Range of Ratings | Mean Rating |
|---|---|---|
| Supervisory Coaching | ||
| I enjoyed receiving supervisory coaching (i.e., video observations with email feedback) during the reading tutoring program. | 4–5 | 4.83 |
| Having a coach observe video recorded sessions and send email feedback during the reading tutoring program improved my knowledge and skills of teaching reading. | 5 | 5 |
| Having a coach observe video recorded sessions and send email feedback during the reading tutoring program improved my instructional behaviors. | 5 | 5 |
| Side-by-Side Coaching | ||
| I enjoyed receiving side-by-side coaching (i.e., when my coach supported me in the moment) during the reading tutoring program. | 3–5 | 4.25 |
| Having a coach model strategies in the moment during the reading tutoring program improved my knowledge and skills of teaching reading. | 4–5 | 4.75 |
| Having a coach model strategies in the moment during the reading tutoring program improved my instructional behaviors when teaching reading. | 3–5 | 4.5 |
| General Coaching Support | ||
| I enjoyed receiving feedback from a coach as a part of the reading tutoring program. | 5 | 5 |
| I will use reading strategies that I learned from my coach in my future teaching experiences. | 5 | 5 |
| I will use instructional behaviors (e.g., pacing, positive behavior supports) that I learned from my coach in my future teaching experiences. | 5 | 5 |
| Receiving coaching support in the reading tutoring program has helped prepare me for my future teaching experiences. | 5 | 5 |
| I would like to have coaching support in my future teaching experiences. | 4–5 | 4.67 |
| I would recommend coaching support during the reading tutoring program to my peers. | 5 | 5 |
Disclaimer/Publisher’s Note: The statements, opinions and data contained in all publications are solely those of the individual author(s) and contributor(s) and not of MDPI and/or the editor(s). MDPI and/or the editor(s) disclaim responsibility for any injury to people or property resulting from any ideas, methods, instructions or products referred to in the content. |
© 2025 by the authors. Licensee MDPI, Basel, Switzerland. This article is an open access article distributed under the terms and conditions of the Creative Commons Attribution (CC BY) license (https://creativecommons.org/licenses/by/4.0/).
Share and Cite
Kingsbery, C.R.; Beach, K.D.; Gesel, S.A.; Wood, C.L.; Washburn, E.K.; Connors, T. The Impact of Multilevel Coaching on Pre-Service Teachers’ Fidelity of Implementation of an Evidence-Based Reading Intervention. Educ. Sci. 2025, 15, 244. https://doi.org/10.3390/educsci15020244
Kingsbery CR, Beach KD, Gesel SA, Wood CL, Washburn EK, Connors T. The Impact of Multilevel Coaching on Pre-Service Teachers’ Fidelity of Implementation of an Evidence-Based Reading Intervention. Education Sciences. 2025; 15(2):244. https://doi.org/10.3390/educsci15020244
Chicago/Turabian StyleKingsbery, Corinne R., Kristen D. Beach, Samantha A. Gesel, Charles L. Wood, Erin K. Washburn, and Thomas Connors. 2025. "The Impact of Multilevel Coaching on Pre-Service Teachers’ Fidelity of Implementation of an Evidence-Based Reading Intervention" Education Sciences 15, no. 2: 244. https://doi.org/10.3390/educsci15020244
APA StyleKingsbery, C. R., Beach, K. D., Gesel, S. A., Wood, C. L., Washburn, E. K., & Connors, T. (2025). The Impact of Multilevel Coaching on Pre-Service Teachers’ Fidelity of Implementation of an Evidence-Based Reading Intervention. Education Sciences, 15(2), 244. https://doi.org/10.3390/educsci15020244

