Next Article in Journal
Practice or Praxis? A Theoretical Classification System for STEAM Education
Next Article in Special Issue
Transforming Self-Identity in EMI: The Interplay of Behavioral Engagement, Motivational Intensity, and Self-Efficacy
Previous Article in Journal
Analyzing Barriers to Mentee Activity in a School-Based Talent Mentoring Program: A Mixed-Method Study
Previous Article in Special Issue
Exploring the Role of Mind Mapping Tools in Scaffolding Narrative Writing in English for Middle-School EFL Students
 
 
Font Type:
Arial Georgia Verdana
Font Size:
Aa Aa Aa
Line Spacing:
Column Width:
Background:
Article

Second Language Trajectories in Immigrant Children: Latent Class Growth Analysis

1
Institute of Primary Education, Bern University of Teacher Education, 3012 Bern, Switzerland
2
Department of Psychology, University of Basel, 4055 Basel, Switzerland
*
Author to whom correspondence should be addressed.
Educ. Sci. 2025, 15(2), 163; https://doi.org/10.3390/educsci15020163
Submission received: 3 July 2024 / Revised: 8 January 2025 / Accepted: 20 January 2025 / Published: 30 January 2025
(This article belongs to the Special Issue Second Language Learning: Theories and Practices)

Abstract

The present study aims to investigate whether there are different second language trajectories among immigrant children and what influences these trajectories. This longitudinal study included 443 children all learning German as a second language (49.9% girls). On average, at T1, the children were 3;6; at T2, 4;9; at T3, 6;2; and at T4, 7;3 years old. Discontinuous piecewise latent class growth analysis revealed four classes: improvement to low-level proficiency, improvement to medium-level proficiency, improvement to high-level proficiency, and permanent high-level proficiency. Class membership was predicted by early childcare attendance, the duration of the parents’ residence in Switzerland, contact with German speakers, the child’s cognitive abilities, and the parental socioeconomic status.

1. Introduction

Due to globalization, economic and geopolitical hardship, and climate change, more and more people are migrating to safer and wealthier regions. Hence, more children worldwide are growing up bilingual (Grosjean, 2022). Growing up with multiple languages is associated with advantages, for example, in cognitive development, such as metacognition and working memory (Adesope et al., 2010; Bialystok, 2017; Gunnerud et al., 2020). Further, bilinguals have been found to have advantages over monolinguals in linguistic and social domains. For example, multilingual children have competencies in at least two languages, allowing them access to various cultures and sensitivity in perspective-taking (Guan et al., 2014; Tannenbaum & Howie, 2002). Finally, evidence exists indicating that bilinguals are better able to learn new languages (Hirosh & Degani, 2018; Montanari, 2019).
Along with these advantages, however, are factual disadvantages related to bilingualism. For example, children from minority-language-speaking homes are less proficient in the majority language than monolinguals (Hoff, 2013). This difference has been found in children as young as preschool age and has been shown to continue into school age (Schmerse, 2021; Van Druten-Frietman et al., 2015). Bilingual children are also often unable to catch up linguistically during their school years (Marx & Stanat, 2012). However, not all bilingual children, or children with a migration background, struggle with the acquisition of the majority language, which is usually their second language (L2). Evidence exists showing that some bilingual children have comparable competency in the majority language as that of monolingual children, or are able to catch up to monolinguals upon school entry (Grob et al., 2014; C. S. Hammer et al., 2014). This evidence suggests that there might be different patterns in L2 language trajectories. Hence, one main goal of the current study was to identify the differential L2 development patterns. Another aim was to identify the key characteristics that are associated with these L2 development patterns with reference to individual and contextual predictors. Other studies show differences in L2 trajectories that could be related to the heterogeneity of DLL characteristics (Halle et al., 2014). Understanding the differences in the key characteristics associated with L2 trajectories is critical to identifying the children at risk of poor L2 skills upon starting school and creating teaching programs that address the specific needs of these at-risk subgroups. Educators can implement targeted strategies that address each subgroup’s challenges by recognizing these central characteristics.

1.1. Patterns of Second Language Acquisition

Oral language proficiency is a multifaceted construct comprising phonological, lexical, morphological, syntactic, and communicative aspects (Bockmann et al., 2020). Bilingual children differ significantly in L2 proficiency levels and the development of L2 competences (C. S. Hammer et al., 2014; Hoff, 2018). However, not all children develop in the same way. This raises questions about whether different patterns exist in the L2 trajectories of immigrant children. Recent studies have investigated the various patterns of oral language proficiency in dual-language learners (DLLs) cross-sectionally (e.g., D.-H. Kim et al., 2018), but only a few have examined and identified the different L2 trajectory patterns (Collins et al., 2014; Francot et al., 2021; López & Foster, 2021; Subban et al., 2022). These studies investigated first language (L1) and L2 proficiency in Spanish–English DLLs in the USA and Turkish–Dutch DLLs in the Netherlands and provided information about how language dominance changes over time. However, the question of whether there are indeed patterns in the L2 trajectories (alone, without considering L1) remains unanswered.

1.2. Predictors of Second Language Trajectories

Various theoretical approaches and studies have been proposed to explain individual differences in early L2 acquisition. These can be categorized into three overarching frameworks, but appear almost synonymous in psycho- and sociolinguistic theories: inside out versus outside in, child-internal versus child-external, and i-language versus e-language (Chomsky, 2007; Hockema & Smith, 2009; Paradis, 2011; Schöler, 2020). Psycholinguistic theories (e.g., Cummins, 1979) focus on the importance of individual conditions and abilities for L2 acquisition, whereas sociolinguistic theories (e.g., Vygotsky, 1962) focus on social factors in language development, such as the number of interaction partners, or the contexts in which the interactions occur. Both these frameworks contribute to the language development of bilingual children. Some examples of individual factors are age, cognitive skills, temperament, and the development and transfer of L1 skills (Cummins, 2016; Goodrich & Lonigan, 2017; Keller et al., 2013; Lauro et al., 2020). At the contextual level, the quality and quantity of language input are also considered to play a key role in L2 acquisition (C. S. Hammer et al., 2020; Lauro et al., 2020; Paradis, 2011). Several American studies have shown that socioeconomic status (SES) and associated parental stimulation are relevant for L1 and L2 acquisition (Fernald et al., 2013; Gonzalez et al., 2017; Pace et al., 2017). Contrastingly, some European studies showed that extra-familial activities such as attending early care settings are important (Troesch et al., 2021), even more important than familial language input and activities (Becker, 2010; Keller et al., 2015).
Research in recent decades has thus identified several key predictors of early L2 acquisition. However, since few studies have addressed the extent to which the patterns in L2 trajectories differ, our understanding of what determines these patterns is limited. An American study on Latino DLLs that Collins et al. (2014) conducted showed that factors in the linguistic environments at school (language use at school) and home (mothers’ language proficiency and use of Spanish), as well as other familial (the mother’s years of education) and child (nonverbal IQ) factors, are associated with language classes (competency classes, such as dual proficiency, Spanish proficiency, and English proficiency; low-performing classes, including borderline proficiency and limited proficiency). Gender has not been associated with class categorization though. A study by Francot et al. (2021) confirmed that the SES of the family and nonverbal IQ are relevant for class membership (dominant L1 use, high-level L1 and L2 proficiency; dominant L1 use, low-level L1 and L2 proficiency; dual L1 and L2 use, average L1 and L2 proficiency; dominant L2 use, high-level L2 proficiency). Contrastingly, the extent to which other factors, like early childcare attendance or contact with people who speak the majority language, are relevant to the L2 patterns has not been investigated.

1.3. The Current Study

The first aim (Research Question 1, RQ1) of this paper was to identify the patterns in L2 trajectories. Based on other studies on the language trajectories of DLLs (e.g., Collins et al., 2014), we hypothesized that there are different classes of L2 trajectory.
The second aim (Research Question 2, RQ2) of our study was to examine whether these patterns can be predicted by contextual and individual factors. At the individual level, age, gender, and cognitive ability were considered. Based on the previous findings (Collins et al., 2014; Francot et al., 2021), we hypothesized that aging and cognitive ability, but not gender, are correlated with class membership. At the contextual level, attendance at early education institutions, parental language use, contact with L2 interaction partners, parental SES, and the parental duration of residence in the host country were included as the predictors of L2 trajectory patterns. We assumed that all these factors are correlated with class membership (Collins et al., 2014; Francot et al., 2021).

2. Materials and Methods

2.1. Participants

The data for this study were drawn from a project ZWEITSPRACHE that aimed to investigate language trajectories in L2 children. The project ZWEITSPRACHE was conducted in the German-speaking part of Switzerland and comprised four waves: one and a half years before compulsory kindergarten entry, at the beginning of the first kindergarten year, at the end of the second kindergarten year, and at the end of first grade in primary school. Notably, in Switzerland, attendance in early childcare is optional, while kindergarten attendance is compulsory (Staatssekretariat für Bildung, Forschung und Innovation SBFI, 2023) and follows a specified curriculum. There was an average of 15.44 months (SD = 1.78) between T1 and T2, 16.61 months (SD = 1.18) between T2 and T3, and an average of 13.30 months (SD = 1.48) between T3 and T4.
Families were recruited with the help of the Ministry of Education of Basel-Stadt. A letter was sent home to all the parents of children aged 3 years to assess their German language skills. The letter also asked whether the families were interested in participating in the project. Of the families who returned the completed questionnaire, significantly more parents (30.3%) gave their consent for us to contact them than we were able to test. As the ZWEITSPRACHE project focuses on families with German as a L2, multilingual families in particular were selected for this study. The aim was to achieve as representative a linguistic distribution as possible among the multilingual families. The aim was to recruit families primarily in the municipality of Basel-Stadt. It was noticeable that a relatively large number of English-speaking and Turkish-speaking families agreed to participate. On the other hand, we had more difficulty recruiting Italian, Portuguese, and Albanian families for this project. For this reason, these language groups were not only recruited in the municipality of Basel-Stadt, but also families in the municipality of Riehen, which also belongs to the canton Basel-Stadt. As a result, the selected sample was representative of multilingual families in this area (Staatssekretariat für Bildung, Forschung und Innovation SBFI, 2023; Staatssekretariat für Migration SEM, 2018; Statistisches Amt des Kantons Basel-Stadt, 2018).
Through the aforementioned procedure, the parents gave their written consent to participate in this project. However, the children could end the tests at any time. This project was approved by the ethics committee Basel-Stadt and Basel-Landschaft (EKBB).
The sample included 443 children with German as their L2 (49.9% girls). The age of the children was 41.88 months (SD = 4.34) at T1, 57.51 months (SD = 3.81) at T2, 74.02 months (SD = 3.90) at T3, and 87.20 months (SD = 3.79) at T4.
The sample included 51 different L1s, the most common of which were Turkish (n = 85), Tamil (n = 46), Albanian (n = 45), Spanish (n = 39), Italian, and English (both n = 38). Most of the children were born in Switzerland (89.0%). Most mothers were foreign-born (92.2%) and had been in Switzerland for an average of 11.63 years (SD = 10.23). Most fathers were also foreign-born (88.3%) and had been in Switzerland for 16.08 years (SD = 11.59). Furthermore, 3.2% of the mothers reported that they had not completed compulsory education, 25.0% had only completed compulsory education, 18.8% had completed vocational school or apprenticeship, 17.8% had completed high school, and 34.9% had graduated from a college or university. The fathers reported similarly; 3.3% of the fathers reported that they had not completed compulsory education, 22.7% had only completed compulsory education, 23.5% had completed vocational school or an apprenticeship, 14.8% had completed high school, and 35.7% had graduated from a college or university.
The monthly household income of our sample was a mean of CHF 5300 (SD = 2595), equal to approximately USD 5940 (exchange rate on 21 June 2024).

2.2. Measures

2.2.1. Language Measures

The various trajectories of language competencies were captured using the language test data collected from the children in individual settings at their homes. Since this ZWEITSPRACHE project aimed to assess the language factors of children with a broad age range (from 3–8 years), there was no validated instrument available at the time of the survey that covered all the age groups investigated. Therefore, the instruments were changed between T2 and T3, i.e., the same instrument was used at T1 and T2, while another was used at T3 and T4. However, receptive and productive German language competence was measured at all waves.
At T1 and T2, German language competence was assessed with the standardized language development test Sprachentwicklungstest für zweijährige Kinder (SETK-2) (Grimm, 2000). SETK-2 measures children’s German vocabulary comprehension and production, as well as morphological and syntactical aspects of the German language. SETK-2 was originally designed for monolingual, German-speaking children aged 2 years, but a pilot study indicated a very low level of German language competence in DLLs (Keller, 2009). To avoid floor effects in the DLLs’ German language skills, SETK-2 was applied despite the higher chronological age of the DLL sample compared to test norms. The test consists of four subtests: Word Comprehension (WC), Sentence Comprehension (SC), Word Production (WP), and Sentence Production (SP). In both the language comprehension subtests, the children were shown four colored pictures from which they must choose the correct form when orally presented with a word or sentence. In both the language production subtests, the children were shown picture cards that depict either objects or actions that must be named or described. Children could score the following on the four subtests (WC, SC, WP, and SP), 0–9 points, 0–8 points, 0–24 points, or 0–28 points, respectively. In the present study, raw scores were used; for each subtest, the proportion of attained scores relative to the possible score was used to build the total German language score, which could reach values ranging from 0 (no points attained) to 1 (all points attained). The internal consistencies of these subtests were Cronbach’sαWC = 0.70, αSC = 0.56, αWP = 0.89, and αSP = 0.95 respectively, and the inter-rater reliability was reported to be at a level of 90% (Grimm, 2000). In the present study, Cronbach’s α for all the four subtests was 0.87 at T1 and α = 0.81 at T2.
At T3 and T4, language competence was measured with two subtests of Sprachstandserhebungstest für Kinder im Alter zwischen 5 und 10 Jahren (SET 5–10; Tellegen et al., 2007), a language development test for children aged 5–10 years. In the present study, the subtests of Language Comprehension (LC) and Picture Naming (PN) were applied. LC measures the child’s comprehension of complex sentence structures (main and subordinate clauses). Here, the children were read 12 sentences that had to be re-enacted with toys. PN measures vocabulary production, so the children were shown 40 picture cards displaying objects or actions that had to be named (e.g., a stamp, a thermometer, or painting a wall). Again, raw scores were used and converted into a total score representing the proportion of attained points relative to the possible points attainable. Internal consistency was α = 0.77 for the LC subtest and α = 0.91 for the PN subtest (Petermann, 2010). In the present study, the reliability of the two subtests was measured using the Spearman–Brown coefficient (recommended for a test with two items (Walther, 2023)), and the scores were 0.79 at T3 and 0.75 at T4.

2.2.2. Predictors

Predictors for the language trajectory classes were the child’s gender, the duration of residence of both parents in Switzerland (in years), and the SES of the parents, which comprised the family’s equivalized income and the highest educational level attained by both parents (we first z-standardized each variable, and then we averaged them). Language contact variables included the family’s language (mainly other than German or mainly German), the frequency of contact with German speakers, and attendance at an early childhood educational institution before T1 (yes or no). These variables were assessed using parents’ questionnaires at T1. The frequency of contact with German speakers was assessed using two items: how often the child was in contact with German-speaking children outside of the playgroup or daycare (1 = hardly ever; 2 = once a week; 3 = multiple times per week; 4 = daily) and how often the child was in contact with German-speaking adults (1 = hardly ever; 2 = once a week; 3 = multiple times per week; 4 = daily). The correlation between these two items was r = 0.60 (p < 0.001). Both the items were averaged to form a score representing contact with German speakers.
Furthermore, cognitive abilities were included as a predictor of language trajectory class membership. Cognitive abilities were assessed at T1 using the categories subtest of the Snijders–Oomen Nonverbal Intelligence Test (SON-R; Tellegen et al., 2007). This subtest measures abstract thinking. In easier tasks, cards of the same category are quite similar, but cards in different categories are significantly different. In more difficult tasks, cards in different categories are less different. Instructions are given verbally in German and nonverbally using hand signals. Additionally, the difficulty of the tasks increases with an increasing degree of abstraction. A maximum of 15 points can be achieved on the categories subtest. Cronbach’s α of the subtest categories was given as 0.73 (Tellegen et al., 2007).
Table 1 reports the descriptive statistics for all the variables, while Table 2 shows the correlations among the study variables. In Appendix A, Table A1 compares the predictors at measurements T2, T3, and T4 between the participants that dropped out and those who participated at these time points.

2.3. Analytic Strategy

Calculations were performed in MPlus version 8.7 (L. K. Muthén & Muthén, 1998).
To answer RQ1, latent class growth analysis (LCGA) was performed. This method is a person-centered approach. In contrast to variable-centered approaches, the person-centered approach examine whether distinct groups or classes of individuals with similar characteristics can be found (e.g., Berlin et al., 2014). In LCGA, classes of different growth patterns over time are identified (Jung & Wickrama, 2008). In this study, the language variables from T1 to T4 were used to determine the classes, wherein two different German tests were used for T1 and T2 and for T3 and T4 to measure language competence in children within the age range of 3–8 years. To account for the necessary change in instruments, discontinuous piecewise LCGA was applied (S.-Y. Kim & Kim, 2012). For each German test, a distinct growth model with its own intercept (starting point) and slope (growth parameter) was set up. Despite needing two growth models due to the different instruments, language development was conceived as one process, so one common class parameter was estimated for both the pieces. Since each piece consisted of only two measurement time points, the estimated slope parameters represented the difference from T1 to T2 and from T3 to T4. To determine the best-fitting class solution, one should consider statistical fit values, as well as theoretical and content-related considerations (e.g., Spurk et al., 2020). The following statistical criteria were thus applied (Nylund et al., 2007; Wickrama et al., 2016): Bayesian Information Criteria (BIC), and especially for multiphase models (S.-Y. Kim, 2014), sample-size-adjusted BIC (SSABIC); for both information criteria, lower values indicate a better fit. Additionally, we applied entropy, as well as average posterior probabilities to the assigned class (values > 0.80 indicate high class separation). The Lo–Mendell–Rubin likelihood ratio test (LMR-LRT) and the Bootstrapped Likelihood Ratio Test (BLRT) were used; the latter tests compare a model with k number of classes, with a model with a k − 1 number of classes and a significant test result indicating that the solution with k classes fits the data better. Furthermore, the size of the smallest class was considered, following the recommendation that solutions with classes at less than 5% and/or n = 25 should only be retained for good content-related reasons (Jung & Wickrama, 2008). Notably, the BLRT was run with 100 bootstrap samples. Following the selection of the best-fit solution, differences among the classes in terms of estimated means of the German test scores within each time point (from T1 to T4) were tested with the auxiliary function of MPlus (Berlin et al., 2014). In addition, differences in the slope parameters within each piece of the model were tested by employing Wald tests.
To depict language development over time, total scores for the language test from T1 to T4 were utilized in analysis without standardization, but they were transformed to represent the proportion of the attained relative to the possible total German language score (ranging from 0 = no points attained to 1 = all points attained). While language scores could be directly contrasted within each of the two pieces to determine development, comparison across the pieces was not appropriate, as the proportional scores related to the specific instruments. Mplus’ default robust maximum likelihood estimator MLR was thus employed. Missing data due to dropouts over time (Table 1) were handled with the full information maximum likelihood (FIML) approach in MPlus. FIML results in unbiased estimates under the missing-at-random assumption and still provides better estimates than the other techniques, even when the data are not missing at random (Newman, 2014). However, we explored whether dropouts over time were associated with the classes and conducted sensitivity analyses with an extended pattern-mixture model (Muthén–Roy approach; B. Muthén et al., 2011). The results were comparable to those of the FIML solution. Therefore, only the FIML results are reported herein. For more information about our dropout analyses, see Appendix B.
To answer RQ2, the variables of the child’s age at T1, gender, cognitive ability (abstract thinking), duration of residence of both parents in Switzerland, SES, the family’s language, contact with German speakers (adults and children), and early childcare attendance before T1 were related to the classes in multinomial logistic regression, with the classes as dependent variables. For this purpose, the three-step procedure R3STEP in MPlus was used (Asparouhov & Muthén, 2014). Notably, all the predictors were analyzed together in one analysis. Since FIML does not apply to auxiliary variables (predictors are defined as auxiliary variables in the R3STEP procedure), the missing data for the predictors were imputed beforehand per White et al. (2011), who recommended imputing the number of datasets equal to the percentage of missing cases. Since 19.4% of cases had missing data for the predictors, 20 datasets were imputed for analysis to answer RQ2. All the variables included to test RQ2 were used to impute the missing data for the predictors.

3. Results

During the first preparatory step, the longitudinal measurement invariance of the German language tests was assessed. The baseline model included separate measurement models for T1 and T2 and for T3 and T4. This was necessary because different language tests are used based on children’s age range. The configural measurement invariance model showed a good fit: χ2(14) = 48.17, p < 0.001, CFI = 0.983, TLI = 0.966, RMSEA = 0.074 (90% CI = 0.052, 0.098), and SRMR = 0.032. However, the inclusion of correlations between the indicator residuals at T3 and T4 over time resulted in an improved fit, χ2(12) = 12.60, p = 0.399, CFI = 1.000, TLI = 0.999, RMSEA = 0.011 (90% CI = 0.000, 0.050), SRMR = 0.015 (χ2diff(2) = 35.57, p < 0.001, indicating the better fit of the model with correlations. Next, restrictions on metric invariance and scalar invariance were imposed, resulting in models with an excellent fit (metric: χ2(14) = 17.54, p = 0.229, CFI = 0.998, TLI = 0.996, RMSEA = 0.024 (90% CI = 0.000, 0.055), SRMR = 0.030; scalar: χ2(16) = 24.64, p = 0.077, CFI = 0.996, TLI = 0.992, RMSEA = 0.035 (90% CI = 0.000, 0.061), and SRMR = 0.055). Moreover, the comparison of nested models showed that scalar invariance was given (configural vs metric: χ2diff(2) = 4.94, p = 0.08; ΔCFI = 0.002; ΔRMSEA = 0.013; metric vs. scalar: χ2diff(2) = 7.10, p = 0.029; ΔCFI = 0.002; and ΔRMSEA = 0.011).

3.1. Research Question 1: Latent Classes of Growth Trajectories

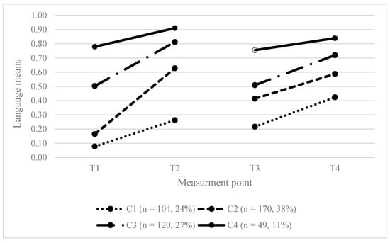
The fit indices of the piecewise LCGA solutions rom one to six classes are shown in Table 3. Based on statistical considerations, the solutions with five and six classes were discarded as they showed the lowest entropies (class separation) and non-significant adjusted LRM-LRT results, indicating that these additional classes were not needed. Although both the BIC and SSABIC values decreased for these solutions, the reductions were less substantial than those in the solutions with fewer classes. In the solutions from two to four classes, the adjusted LRM-LRT results indicated the need for up to four classes, and the BIC and SABIC values showed a substantial decrease until the four-class solution. Only entropy favored the two- over the four-class solution. The four-class solution was also favored in terms of content. While the two-class solution presented differences in levels with parallel trajectories, the solutions with three and four classes displayed progressively distinguishable growth patterns. Consequently, the four-class solution was chosen for further examination.
The discontinuous piecewise growth trajectories of the four classes are shown in Figure 1. The four classes could be differentiated primarily by their differing levels. The first class (C1, 23.5% of the children, “improvement to low-level proficiency”) started with very little German knowledge (T1: 8% attained score) and improved moderately until the second measurement (slope = 0.19). Additionally, in the second piece of the model, the participants attained only a 42% German language test score at T4, which was markedly below those of the other groups. The second class was the largest group (C2, 38.4% of the children; “improvement to medium-level proficiency”) and started with relatively little German knowledge (17% German test score attained at T1). However, following a steep increase in the first piece (slope = 0.46), they gained markedly more knowledge than those in C1. At T4, they attained a 59% German test score. The third class (C3, 27.0% of the children, “improvement to high-level proficiency”) started with 50% attainment scores, which increased up to 81% at T2 (slope = 0.31). At T4, they achieved a 72% German test score. The last group was the smallest (C4, 11.1% of the children, “permanent high-level proficiency”) and started with much German knowledge (78% attained scores) and improved until they achieved 91% at T2. At T4, they reached 84% on the respective German language test. Overall, however, rank stability remained the same among the classes and across the measurement times.
The tests of equality of the estimated means of the German test scores from T1 to T4 showed that all the scores differed significantly among the classes within each time point (overall tests for the four classes, T1 χ2(3) = 2147.42, p < 0.001; T2 χ2(3) = 1420.41, p < 0.001; T3 χ2(3) = 402.12, p < 0.001; T4 χ2(3) = 230.44, < 0.001, with Bonferroni correction for multiple tests).
Comparisons of the slopes in the first piece (between T1 and T2) revealed significant differences among the classes, except between the slopes of the lowest and highest classes (Wald (1) = 4.24, p = 0.040, critical alpha value with Bonferroni correction = 0.004). C2 (slope = 0.46) showed the largest increase between T1 and T2, followed by C3 (slope = 0.31), while C1 (slope = 0.19) and C4 (0.13) increased the least. In the second piece of the model, the increases were more similar, with C1 (slope = 0.21), C2 (slope = 0.17), and C3 (slope = 0.21) showing comparable language gains between T3 and T4 (all p-values not significant). However, all these gains were significantly higher than the increase in C4 (slope = 0.08; all p-values < 0.004).
Overall, although the four classes differed primarily in terms of their German language levels, different development patterns were also found. Notably, the two classes with the lowest initial scores showed divergent language gains between T1 and T2, with C2 increasing more than twice as much as C1. Between T3 and T4, contrastingly, the increases were more homogenous. Finally, possibly due to ceiling effects, the lowest increments were found in C4, the class with the highest German scores.

3.2. Research Question 2: Predicting Class Membership

To examine whether a predictor was associated with a certain class, two classes were compared. The reference category chosen for this comparison was the class with the lowest level of proficiency (C1, “improvement to low-level proficiency”; Table 4). Comparisons using the other reference categories are shown in Appendix C, but are not discussed in this section. In addition, for ease of interpretation, the results are represented as expected probabilities belonging to the four latent classes depending on the different values of the predictors (Appendix D, Table A5).
As assumed, gender was not associated with class membership. Additionally, age and familial language were not significant predictors of class membership either. The children who demonstrated higher levels of abstract thinking were more likely to belong to class C3 (“improvement to high-level proficiency”) or C4 (“permanent high-level proficiency”) than class C1. However, abstract thinking did not differentiate C2 and C1 membership. The strongest factor in determining class membership was early childcare attendance before T1. The children in the other three classes attended these more frequently than the children in class C1. Moreover, the duration of the parents’ residence in Switzerland was associated with class membership. The children with parents who had lived longer in Switzerland showed a better language trajectory; differences were found here between C1 and all the other classes. The frequency of contact with German speakers was also associated with class membership, but differences were only found between C1 and C3 and C4. Finally, SES was associated with class membership. However, only the children in classes C1 and C4 had different SESs, with the latter having a higher SES overall.

4. Discussion

In this study, we investigated which L2 growth trajectory classes exist and with what variables the trajectories are correlated. Our linguistically and socially diverse sample of 443 preschool children, all of whom spoke German as an L2, reflected diversity in the population of bilinguals. Our longitudinal design, which encompassed four measurement time points over a span of approximately four years, was another strength of this study.

4.1. Patterns of Second Language Acquisition

Through analyses, four classes were identified based on the degree and development of L2 skills. These classes were improvement to low-level proficiency (C1), improvement to medium-level proficiency (C2), improvement to high-level proficiency (C3), and permanent high-level proficiency (C4). In accordance with our hypotheses, the discovery of diverse classes of L2 development aligns with the findings in previous research on L1 and L2 acquisition (Collins et al., 2014).
The weakest L2 class (C1; 23% of the children) showed an improvement in L2 skills, but had permanently poorer skills than the other classes. Interestingly, the largest class (C2; 38% of the children) had a starting score comparable to that of the weakest group, but the increase between T1 and T2 was more than twice as great as the increase in the weakest group. The second largest class (C3; 27% of the children) showed better initial German skills and also a relatively high increase from T1 to T2. Only 11% of the children belong to the fourth class (C4), which was distinguished by its consistently strong L2 skills. In the sequences between T3 and T4, the increases are more uniform, with the group that had the highest initial scores displaying the smallest improvement.
The findings also indicate that some classes of children had a more favorable L2 competency progression than the others. Possible explanations can be found in the following section, where different predictors for class membership are discussed. However, the order of the levels of the classes remained consistent throughout the observed period. That language skills are relatively stable has already been established in previous investigations (C. S. Hammer et al., 2011; Troesch et al., 2021; Van Druten-Frietman et al., 2015). This aligns with the cumulative nature of language development. It requires time to compile a solid (vocabulary) basis in order to achieve greater language proficiency. In addition, some factors relevant to language acquisition remain relatively stable throughout early childhood and beyond. The indications of what those might be and which factors are particularly correlated with L2 development class membership are discussed in the following section.

4.2. Predictors of Second Language Patterns

To determine the predictors of class membership was another aim of this study. To achieve this, the higher classes were compared with the lowest class. We also assumed that both the contextual and individual factors were decisive. Based on the previous findings (Collins et al., 2014; Francot et al., 2021), it was hypothesized that the considered individual factors of age and cognitive ability, but not gender, would be correlated with class membership. These assumptions were partially confirmed. The higher classes did not show a different gender constellation than that of the lowest class. Cognitive abilities were a distinguishing factor that differed between the two highest classes and the lowest class, but not between the two lowest classes. The two highest classes also differed markedly from the lowest class in their initial L2 competency, while the second lowest class showed a more comparable initial level of L2 competency. This may have been because cognitive abilities strongly influence the development of L2 skills from a young age or during the initial stages of language acquisition, resulting in varying levels of L2 proficiency by the age of three and a half years. Subsequently, the correlation between cognitive abilities and the L2 trajectory diminished, or the L2 trajectory was more strongly conditioned by the other factors.
Contrary to our assumption, age did not correlate with class membership. Nevertheless, the correlations showed that there were significant relationships between age and L2 competency at T1 and T2. This indicates that the influence of age was outweighed by other factors related to the L2 development patterns. For instance, the correlations between L2 competency and age can be explained by significant variations in exposure to the German language; at a young age, slightly older children may be more interested in and better able to interact with peers, which, in turn, promotes language development. Simultaneously, opportunities for engaging with German-speaking peers may be strongly influenced by whether the child attends early childhood educational institutions. This factor, which was less contingent upon age, could potentially have outweighed the correlation between age and the L2 development patterns.
In terms of contextual factors, besides attendance at an early childhood educational institution, parental language use, contact with L2 interaction partners, parental SES, and the duration of parental residence in the host country were included as predictors of the L2 trajectory patterns in this study. We assumed that all these predictors would be related to class membership (Collins et al., 2014; Francot et al., 2021), but this assumption was only partially confirmed. While there were significant differences between the highest classes and the lowest class concerning early childcare attendance, contact with L2 interaction partners, parental SES, and the parental duration of residence in the host country of Switzerland, parental language use was not relevant to class membership. Familial language being irrelevant may seem surprising, especially since the previous studies have indicated the importance of the familial language for L2 acquisition and usage (Collins et al., 2014; C. S. Hammer et al., 2011). This may have occurred because parents who also speak German with their children do not have a great enough knowledge of German to provide their children with such high-quality linguistic input that would benefit their L2 skills. However, a study by Troesch et al. (2017) showed that using the majority language in addition to the minority language does not have a positive effect on children’s L2 skills, even with good parental knowledge of the majority language. This non-significant finding could also have been found because this variable was only recorded dichotomously, and thus did not differentiate sufficiently.
The greatest effect predicting class membership was early childcare attendance. The children of the lowest class attended such institutions significantly less often. Early childcare attendance seemed—apart from the duration of residence in the host country—to explain why children in the class “improvement to medium-level proficiency” showed a greater L2 improvement from T1 to T2 than that of the children in the class “improvement to low-level proficiency,” even though their German competency levels at T1 were similar. By attending early educational institutions, children receive quantitatively, but also qualitatively more input in the majority language, both of which are crucial for L2 acquisition (Aukrust & Rydland, 2011; Becker, 2010; Bihler et al., 2018; Keller et al., 2015). Attending early educational institutions, however, showed a large correlation, especially between T1 and T2. During this phase, attendance at educational institutions is generally voluntary in Switzerland. However, there have been efforts to make attendance compulsory for children with poor L2 competency in some regions (e.g., Grob et al., 2014) based on the awareness that early childcare attendance is highly beneficial for L2 acquisition. Contrastingly, kindergarten entry is compulsory from T2 onwards (from the age of 4 years) (Grob et al., 2014). The apparent equalization of the slopes between T3 and T4 could be partly explained by the unification of the learning environment. That is, in childcare and playgroups, children learn in small groups with a lenient curriculum, as well as much playtime. In kindergarten and primary school, children must adapt to a more structured curriculum and learn within a larger peer group.
In addition to attendance at early educational institutions, the parental duration of residence in Switzerland was correlated with class membership. The families of the children in the lowest class lived in the host country of Switzerland for less time than the families of the children in the other classes. After migration, it takes time to assimilate to the employment environments (Fernández & Ortega, 2008), and parents’ participation in the labor market is an important factor for their children’s daycare attendance (Homuth et al., 2021; Kingsbury et al., 2021). Therefore, the duration of residence can be confounded with integration into the labor market, which, in turn, influences daycare attendance. How long the parents have been in Switzerland could also be related to parental L2 skills. Consequently, the L2 skills of the parents could also be related to the L2 skills of the children. To what extent the parents’ language skills are related to the L2 acquisition patterns and offer an explanation via the duration of residence could be the subject of further research.
No significant difference in contact with German speakers (adults and children) in the family’s environment was found between the two groups with lower-level L2 competency. It can be assumed, however, that the children in the second lowest class had more contact with German-speaking peers due to their daycare attendance.
In line with previous research (Collins et al., 2014; Francot et al., 2021; Hoff, 2013), in this study, SES was associated with L2 skills and class membership. However, this was only a distinguishing criterion between the highest and lowest classes. Since the highest class differed from the lowest class mainly in the starting level of L2 competency from the age of 3.5 years and less in terms of the trajectory of L2 competency, this could be an indication that SES is mainly significant for the development of L2 skills at younger ages. However, the correlations of the current study revealed that SES was related to L2 competency at all the time points. Therefore, it is more likely that the effect of SES was outweighed by other factors like L2 exposure (Hoff, 2018).

4.3. Implications

Our results show that early childcare attendance is associated with L2 competency. Therefore, it would be crucial to provide information about childcare as early as possible after immigration and allocate resources to establish the necessary infrastructure (e.g., cultural mediators, more childcare options, and training for early childcare teachers). Opportunities to participate in early childcare institutions should be available regardless of the parents’ employment situation to promote children’s L2 competency. Sufficient educational language proficiency has repeatedly been found to be associated with school achievements (e.g., Whiteside et al., 2017). Hence, fostering L2 competency helps equalize school and professional career opportunities for developing bilingual children in their country of residence.
This study also showed that the parental duration of residence in the host country is important for how children’s L2 skills develop. Although the duration of residence cannot be changed, it can represent how well the family has integrated into the host country (Millán-Franco et al., 2019). Accordingly, to accelerate the process, the social integration of families into their host country can be strengthened by, for example, promoting contact with speakers of the majority language, the parents learning the majority language (K. Hammer, 2017; Troesch et al., 2021), or the parents integrating into the labor market (Fernández & Ortega, 2008; Homuth et al., 2021). Additionally, through parenting and educational counseling, parents can learn about the positive effects of early daycare attendance, and families can be given opportunities for language-rich activity participation in their local area.

4.4. Strengths, Limitations, and Future Research

A strength of our study was the longitudinal structure of the study, which allowed us to draw conclusions about individual trajectories over a period during which two major transitions occur. Children were assessed before and during compulsory kindergarten attendance and first grade, so their learning settings changed. These changes applied to all the children at the ages studied and were very likely to influence their language learning. While this true-to-life aspect was a strength, our inability to consider the differential effects of these setting changes could be seen as a weakness.
The limitations of this study can inform future research. First, the number of linguistic interactions was captured, but the quality of linguistic interactions and the language skills of interaction partners were not (Fibla et al., 2022; Schmerse, 2021).
Second, even though a relatively extensive set of predictors of language trajectories was examined, this set was incomplete. Other variables like L1 skills would also be interesting to investigate. However, due to the heterogeneity of the L1s included in the sample and the absence of appropriate validated instruments, we did not measure the children’s L1 skills. Likewise, the language richness of the activities in the children’s familial environment was not considered in this study, but may clarify the differences associated with the influence of the duration of residence on L2 competency (Paradis et al., 2020). Future research can thus focus on these and other variables and investigate their significance for language progression.
Third, due to the change in instruments between T2 and T3, language development could only be captured to a limited extent, as there was no validated German language instrument that captured different language aspects in the age range of 3–8 years available at the time of the survey.
Fourth, the present results suggest the assumption that certain factors like cognitive abilities and age are more impactful in the L2 trajectories of younger children. Accordingly, it would be interesting to investigate the trajectories and predictors of L2 skill progression before the age of three and a half years.

5. Conclusions

In the present study, we showed that there are different language trajectories for L2 speakers. Simultaneously, the order of L2 classes remains the same, indicating the relative stability of L2 competency. Our findings can be used to make supportive resources available to bilingual children with low-level L2 proficiency. Specifically, attending early childcare has much potential for explaining why children who start with low-level proficiency make significantly more gains in their L2 competency within one and a half years.

Author Contributions

Conceptualization, L.M.T.; methodology, L.T. and L.M.T.; software, L.T. and L.M.T.; validation, L.T.; formal analysis, L.T. and L.M.T.; investigation, A.G. and L.M.T.; resources, A.G.; data curation, L.M.T. and L.T.; writing—original draft preparation, L.M.T., L.T. and S.H.; writing—review and editing, S.H.; visualization, L.T. and L.M.T.; supervision, A.G.; project administration, A.G.; funding acquisition, A.G. All authors have read and agreed to the published version of the manuscript.

Funding

This research was funded by the Jacobs Foundation Zurich and the Ministry of Education of the Canton of Basel-Stadt to Alexander Grob, Principal Investigator. Published with the support of the Bern University of Teacher Education.

Institutional Review Board Statement

The study was conducted in accordance with the Declaration of Helsinki, and approved by ethics committee Basel-Stadt and Basel-Landschaft (EK 75/11, February 2011).

Informed Consent Statement

Informed consent was obtained from all subjects involved in the study.

Data Availability Statement

The data necessary to reproduce the analyses presented here are not publicly accessible. The analytic code necessary to reproduce the analyses presented in this paper is not publicly accessible. The materials necessary to attempt to replicate the findings presented here are not publicly accessible. The analyses presented here were not preregistered.

Acknowledgments

The authors would like to thank the research assistants and the families for their collaboration during data collection. During the preparation of this work, the authors used “Grammarly” in order to improve the readability and language. After using this tool, the authors reviewed and edited the content as needed and take full responsibility for the content of the publication.

Conflicts of Interest

The authors declare no conflicts of interest.

Appendix A

To explore whether the predictor variables differed between the participants that dropped out and the participants that took part in the measurements, the differences were analyzed at T2, T3, and T4. As the continuous variables were not normally distributed, Mann–Whitney tests were applied. The dichotomous predictors were analyzed by Χ2-tests. Only a few significant differences were found. The children that dropped out showed a lower SES at T3 and at T4 (Cohens’ d: T3 = 0.22, T4 = 0.26) and less contact with German-speaking persons (Cohens’ d: T3 = 0.25, T4 = 0.31) than those who participated. As the effect sizes of these differences are small, it is unlikely that they are the cause of concern.
Table A1. Comparison of predictor variables between participants that dropped out and those that participated at measurements T2, T3, and T4.
Table A1. Comparison of predictor variables between participants that dropped out and those that participated at measurements T2, T3, and T4.
PredictorM (SD)/n (%) T2 Participated (n = 295–325)M (SD)/n (%) T2 Dropped Out (n = 96–118)M (SD)/n (%) T3 Participated (n = 250–278)M (SD)/n (%) T3 Dropped Out (n = 140–165)M (SD)/n (%) T4 Participated (n = 202–222)M (SD)/n (%) T4 Dropped Out (n = 195–221)
T1 Age (in months)42.03 (4.26)41.47 (4.17)41.90 (4.16)41.87 (4.37)41.76 (4.14)42.02 (4.33)
SES0.02 (0.87)−0.13 (0.82)0.05 (0.86)−0.15 (0.84)0.09 (0.85)−0.13 (0.85)
T1 Duration (years) of parents’ residence in Switzerland 13.86 (9.03)13.69 (7.96)14.01 (9.05)13.49 (8.24)14.45 (9.07)13.17 (8.40)
T1 Contact with German speaking persons2.25 (1.02)2.09 (1.09)2.30 (1.01)2.05 (1.07)2.37 (1.01)2.05 (1.04)
T1 Abstract thinking4.92 (2.41)4.50 (2.46)4.96 (2.43)4.54 (2.41)4.93 (2.40)4.68 (2.40)
Gender (female)157 (48.31)64 (54.24)134 (48.20)87 (52.73)116 (52.25)105 (47.51)
Attendance of early childcare before T1 (yes)195 (60.37)64 (54.71)171 (61.96)88 (53.66)139 (63.18)120 (54.55)
Familial language: mainly other than German (yes)275 (85.14)99 (84.62)235 (85.15)139 (84.76)183 (83.18)191 (86.82)
SES = socioeconomic status. Mann–Whitney test was applied to continuous predictors, and Χ2-test to dichotomous predictors. Significant differences (p < 0.05) between children that participated and those who dropped out are presented in bold.

Appendix B

Sensitivity analysis with the Muthén–Roy approach (B. Muthén et al., 2011), a not-missing-at-random (NMAR) technique, was carried out to explore the impact of dropouts on the profiles. In this approach, two latent class parameters are estimated: one for the profiles, and one for the dropouts. As in mixture modeling, a series of models with different amounts of classes, both for the trajectory profiles and for the dropouts, were estimated and compared by the BIC. The best BIC was shown by the model with four trajectory profiles and two dropout classes (stronger versus weaker tendency to drop out). This means that each of the four trajectory profiles can be further differentiated into two classes, one with more and one with fewer dropouts (hereafter called “dropouts” and “stayers”, respectively). The overall classification quality was good (entropy = 0.76), as were the average posterior probabilities for the assigned class (dropout class = 0.84, stayer class = 0.94; low-level profiles C1 = 0.79, improvement to medium-level profile C2 = 0.87, improvement to high-level profile C3 = 0.88, permanent high-level profile C4 = 0.93). The estimated means of the eight classes are shown and compared to the corresponding means of FIML analysis. To simplify interpretation, the eight Muthén–Roy (NMAR) classes plus the four corresponding FIML (MAR) classes are depicted in four figures.
Figure A1 shows the classes with the lowest profiles (C1, improvement to low-level proficiency). While the NMAR dropout class (triangles) closely parallels the trajectory of the MAR class (rectangles), the NMAR stayer class (circles) shows a more favorable course. However, only a small amount of children (n = 12, 3%) pertained to this class. Thus, while in this low-level proficiency profile C1 dropout seems eminent, the MAR trajectory is consistent with the NMAR dropout class.
Figure A1. Illustration of estimated means for class C1 (improvement to low-level proficiency) comparing NMAR (stayers and dropouts) and MAR solutions.
Figure A1. Illustration of estimated means for class C1 (improvement to low-level proficiency) comparing NMAR (stayers and dropouts) and MAR solutions.
Education 15 00163 g0a1
Figure A2 shows the classes that start with low language means, and after a steep increase, achieve medium-level proficiency (C2, improvement to medium-level proficiency). While the number of children is almost evenly distributed between the NMAR stayers and dropouts, the MAR profile more closely follows the trajectory of the stayers (with the biggest discrepancy in dropouts at T2).
Figure A2. Illustration of estimated means for class C2 (improvement to medium-level proficiency) comparing NMAR (stayers and dropouts) and MAR solutions.
Figure A2. Illustration of estimated means for class C2 (improvement to medium-level proficiency) comparing NMAR (stayers and dropouts) and MAR solutions.
Education 15 00163 g0a2
Figure A3 shows the classes that start at medium-level proficiency and improve to high-level proficiency (C3, improvement to high-level proficiency). The NMAR stayers and the MAR profiles are identical, and only 4% of the children are classified as NMAR dropouts, with a markedly lower trajectory.
Figure A3. Illustration of estimated means for class C3 (improvement to high-level proficiency) comparing NMAR (stayers and dropouts) and MAR solutions.
Figure A3. Illustration of estimated means for class C3 (improvement to high-level proficiency) comparing NMAR (stayers and dropouts) and MAR solutions.
Education 15 00163 g0a3
Finally, Figure A4 shows the permanent high-level proficiency classes (C4). Here, only one child is considered a dropout, and the NMAR stayers and the MAR profiles are again identical.
Figure A4. Illustration of estimated means for class C3 (permanent high-level proficiency) comparing NMAR (stayers and dropouts) and MAR solutions.
Figure A4. Illustration of estimated means for class C3 (permanent high-level proficiency) comparing NMAR (stayers and dropouts) and MAR solutions.
Education 15 00163 g0a4
Taken together, though in the lower-level proficiency classes C1 and C2, there appears to be a higher tendency for dropouts than in the higher proficiency classes C3 and C4, the NMAR results do not contradict the MAR profiles.

Appendix C

Table A2. Results of multinominal regression analysis predicting language profiles (reference profile: C2, 38%).
Table A2. Results of multinominal regression analysis predicting language profiles (reference profile: C2, 38%).
Predictor VariableProfile C1 (23%)Profile C3 (27%)Profile C4 (11%)
bSEORpbSEORpbSEORp
Intercept0.743.11 0.81−4.481.72 <0.01−16.914.13 <0.001
T1 Age 0.080.071.080.270.060.041.060.180.260.091.29<0.01
Gender0.210.541.230.700.230.321.260.470.300.501.350.55
T1 Abstract thinking−0.300.190.740.120.090.081.090.250.330.121.39<0.01
T1 duration of parents’ residence in Switzerland−0.150.060.86<0.010.010.021.010.810.050.031.050.07
T1 Contact with German speakers0.000.251.001.000.520.161.63<0.010.720.292.05<0.05
Attendance of early childcare before T1−2.000.650.14<0.010.780.392.18<0.051.860.786.45<0.05
Familial language: mainly other than German−0.741.080.480.49−0.600.530.550.25−2.150.730.12<0.01
SES−0.140.360.870.700.260.221.300.231.130.333.09<0.01
Imputed data. SES: socioeconomic status. SE: standard error. OR: odds ratio.
Table A3. Results of multinominal regression analysis predicting language profiles (reference profile: C3, 27%).
Table A3. Results of multinominal regression analysis predicting language profiles (reference profile: C3, 27%).
Predictor VariableProfile C1 (23%)Profile C2 (38%)Profile C4 (11%)
bSEORpbSEORpbSEORp
Intercept5.232.63 <0.054.481.72 <0.01−12.434.14 <0.01
T1 Age −0.020.061.020.73−0.060.040.950.180.200.091.22<0.05
Gender−0.020.490.980.96−0.230.320.790.470.070.511.070.90
T1 Abstract thinking−0.390.160.68<0.05−0.090.080.920.250.240.121.270.05
T1 duration of parents’ residence in Switzerland−0.160.050.86<0.01−0.010.021.000.810.050.031.050.11
T1 Contact with German speakers−0.520.240.59<0.05−0.520.160.59<0.010.200.291.220.50
Attendance of early childcare before T1−2.780.590.06<0.001−0.780.390.46<0.051.090.802.970.17
Familial language: mainly other than German−0.140.840.870.870.600.531.830.25−1.550.700.21<0.05
SES−0.400.320.670.21−0.260.220.770.230.870.332.38<0.01
Imputed data. SES: socioeconomic status. SE: standard error. OR: odds ratio.
Table A4. Results of multinominal regression analysis predicting language profiles (reference profile: C4, 11%).
Table A4. Results of multinominal regression analysis predicting language profiles (reference profile: C4, 11%).
Predictor VariableProfile C1 (23%)Profile C2 (38%)Profile C3 (27%)
bSEORpbSEORpbSEORp
Intercept17.664.77 <0.00116.914.13 <0.00112.434.13 <0.01
T1 Age −0.180.100.840.08−0.260.090.77<0.01−0.200.090.82<0.05
Gender−0.090.640.920.89−0.300.500.740.55−0.070.510.940.90
T1 Abstract thinking−0.630.200. 53<0.01−0.330.120.72<0.01−0.240.120.790.05
T1 duration of parents’ residence in Switzerland−0.200.060.82<0.001−0.050.030.950.07−0.050.030.950.11
T1 Contact with German speakers−0.720.350.49<0.05−0.720.290.49<0.05−0.200.290.820.50
Attendance of early childcare before T1−3.860.910.02<0.001−2.150.730.16<0.01−1.090.800.340.17
Familial language: mainly other than German1.411.034.090.172.150.738.60<0.011.550.704.70<0.05
SES−1.270.430.28<0.01−1.230.330.32<0.01−0.870.220.42<0.01
Imputed data. SES: socioeconomic status. SE: standard error. OR: odds ratio.

Appendix D

Table A5. The expected probabilities for the four latent classes depending on the different values of predictors of multinominal regression analysis.
Table A5. The expected probabilities for the four latent classes depending on the different values of predictors of multinominal regression analysis.
Class 1 (Improvement to Low-Level Proficiency)Class 2 (Improvement to Medium-Level Proficiency)Class 3 (Improvement to High-Level Proficiency)Class 4 (Permanent High-Level Proficiency)
Age T1Low0.320.520.170.00
Mean0.380.440.180.01
High0.430.360.190.01
GenderMale0.380.440.180.01
Female0.410.390.200.01
Abstract thinking T1Low0.570.320.110.00
Mean0.380.440.180.01
High0.210.510.260.01
Duration of parents’ residence in Switzerland T1Low0.700.220.080.00
Mean0.380.440.180.01
High0.140.590.270.01
Contact with German speakers T1Low0.410.480.120.00
Mean0.380.440.180.01
High0.330.390.270.01
Attendance of early childcare before T1No0.380.440.180.01
Yes0.060.480.430.04
Familial languageMainly German0.490.270.210.03
Mainly other than German0.380.440.180.01
SESLow0.420.430.140.00
Mean0.380.440.180.01
High0.330.430.220.01
The expected probabilities for the different values of the predictors are computed by holding the other continuous predictors constant at the mean and holding the dichotomous predictors constant for the male gender, those who did not attend an early childcare facility before T1, and those with a family who mainly speak a language other than German. Low = 1 standard deviation below the mean; high = 1 standard deviation above the mean. SES = socioeconomic status.

References

  1. Adesope, O. O., Lavin, T., Thompson, T., & Ungerleider, C. (2010). A systematic review and meta-analysis of the cognitive correlates of bilingualism. Review of Educational Research, 80(2), 207–245. [Google Scholar] [CrossRef]
  2. Asparouhov, T., & Muthén, B. O. (2014). Auxiliary variables in mixture modeling: 3-step approaches using mplus. Structural Equation Modeling: A Multidisciplinary Journal, 21, 329–341. [Google Scholar] [CrossRef]
  3. Aukrust, V. G., & Rydland, V. (2011). Preschool classroom conversations as long-term resources for second language and literacy acquisition. Journal of Applied Developmental Psychology, 32(4), 198–207. [Google Scholar] [CrossRef]
  4. Becker, R. (2010). Soziale ungleichheit im schweizer bildungssystem und was man dagegen tun könnte. In H.-U. Grunder, & M. Neuenschwander (Hrsg.) (Eds.), Schulübergang und selektion—Forschungsbefunde, praxisbeispiele, umsetzungsperspektiven (pp. 91–108). Rüegger. Available online: https://boris.unibe.ch/4235/ (accessed on 13 June 2024).
  5. Berlin, K. S., Parra, G. R., & Williams, N. A. (2014). An introduction to latent variable mixture modeling (part 2): Longitudinal latent class growth analysis and growth mixture models. Journal of Pediatric Psychology, 39(2), 188–203. [Google Scholar] [CrossRef]
  6. Bialystok, E. (2017). The bilingual adaptation: How minds accommodate experience. Psychological Bulletin, 143(3), 233–262. [Google Scholar] [CrossRef] [PubMed]
  7. Bihler, L.-M., Agache, A., Kohl, K., Willard, J. A., & Leyendecker, B. (2018). Factor analysis of the classroom assessment scoring system replicates the three domain structure and reveals no support for the bifactor model in german preschools. Frontiers in Psychology, 9, 1232. [Google Scholar] [CrossRef] [PubMed]
  8. Bockmann, A.-K., Sachse, S., & Buschmann, A. (2020). Sprachentwicklung im überblick. In S. Sachse, A.-K. Bockmann, & A. Buschmann (Hrsg.) (Eds.), Sprachentwicklung (pp. 3–44). Springer. [Google Scholar] [CrossRef]
  9. Chomsky, N. (2007). New horizons in the study of language and mind (7. print). Cambridge University Press. [Google Scholar]
  10. Collins, B. A., O’Connor, E. E., Suárez-Orozco, C., Nieto-Castañon, A., & Toppelberg, C. O. (2014). Dual language profiles of Latino children of immigrants: Stability and change over the early school years. Applied Psycholinguistics, 35(3), 581–620. [Google Scholar] [CrossRef]
  11. Cummins, J. (1979). Linguistic interdependence and the educational development of bilingual children. Review of Educational Research, 49(2), 222–251. [Google Scholar] [CrossRef]
  12. Cummins, J. (2016). Reflections on cummins (1980), “The cross-lingual dimensions of language proficiency: Implications for bilingual education and the optimal age issue”. TESOL Quarterly, 50(4), 940–944. [Google Scholar] [CrossRef]
  13. Fernald, A., Marchman, V. A., & Weisleder, A. (2013). SES differences in language processing skill and vocabulary are evident at 18 months. Developmental Science, 16(2), 234–248. [Google Scholar] [CrossRef]
  14. Fernández, C., & Ortega, C. (2008). Labor market assimilation of immigrants in Spain: Employment at the expense of bad job-matches? Spanish Economic Review, 10(2), 83–107. [Google Scholar] [CrossRef]
  15. Fibla, L., Kosie, J. E., Kircher, R., Lew-Williams, C., & Byers-Heinlein, K. (2022). Bilingual language development in infancy: What can we do to support bilingual families? Policy Insights from the Behavioral and Brain Sciences, 9(1), 35–43. [Google Scholar] [CrossRef] [PubMed]
  16. Francot, R., Blom, E., Broekhuizen, M., & Leseman, P. (2021). Profiles of bilingualism in early childhood: A person-centred latent profile transition approach. Bilingualism: Language and Cognition, 24(3), 569–582. [Google Scholar] [CrossRef]
  17. Gonzalez, A. M., Steele, J. R., & Baron, A. S. (2017). Reducing children’s implicit racial bias through exposure to positive out-group exemplars. Child Development, 88(1), 123–130. [Google Scholar] [CrossRef]
  18. Goodrich, J. M., & Lonigan, C. J. (2017). Language-independent and language-specific aspects of early literacy: An evaluation of the common underlying proficiency model. Journal of Educational Psychology, 109(6), 782–793. [Google Scholar] [CrossRef]
  19. Grimm, H. (2000). Sprachentwicklungstest für zweijährige Kinder (SETK-2). Hogrefe. [Google Scholar]
  20. Grob, A., Keller, K., & Trösch, L. M. (2014). ZweitSprache. Mit ausreichenden Deutschkenntnissen in den Kindergarten. Abschlussbericht. University of Basel. [Google Scholar]
  21. Grosjean, F. (2022). The mysteries of bilingualism. John Wiley & Sons, Inc. [Google Scholar]
  22. Guan, S.-S. A., Greenfield, P. M., & Orellana, M. F. (2014). Translating into understanding: Language brokering and prosocial development in emerging adults from immigrant families. Journal of Adolescent Research, 29(3), 331–355. [Google Scholar] [CrossRef]
  23. Gunnerud, H. L., Ten Braak, D., Reikerås, E. K. L., Donolato, E., & Melby-Lervåg, M. (2020). Is bilingualism related to a cognitive advantage in children? A systematic review and meta-analysis. Psychological Bulletin, 146(12), 1059–1083. [Google Scholar] [CrossRef]
  24. Halle, T. G., Whittaker, J. V., Zepeda, M., Rothenberg, L., Anderson, R., Daneri, P., Wessel, J., & Buysse, V. (2014). The social–emotional development of dual language learners: Looking back at existing research and moving forward with purpose. Early Childhood Research Quarterly, 29(4), 734–749. [Google Scholar] [CrossRef]
  25. Hammer, C. S., Burchinal, M., Hong, S. S., LaForett, D. R., Páez, M., Buysse, V., Espinosa, L., Castro, D., & López, L. M. (2020). Change in language and literacy knowledge for Spanish–English dual language learners at school-entry: Analyses from three studies. Early Childhood Research Quarterly, 51, 81–92. [Google Scholar] [CrossRef]
  26. Hammer, C. S., Hoff, E., Uchikoshi, Y., Gillanders, C., Castro, D. C., & Sandilos, L. E. (2014). The language and literacy development of young dual language learners: A critical review. Early Childhood Research Quarterly, 29(4), 715–733. [Google Scholar] [CrossRef] [PubMed]
  27. Hammer, C. S., Lawrence, F., Rodriguez, B., Davison, M. D., & Miccio, A. W. (2011). Changes in language usage of Puerto Rican mothers and their children: Do gender and timing of exposure to English matter? Applied Psycholinguistics, 32(2), 275–297. [Google Scholar] [CrossRef] [PubMed]
  28. Hammer, K. (2017). Sociocultural integration and second language proficiency following migration. In J.-C. Beacco, H.-J. Krumm, D. Little, & P. Thalgott (Hrsg.) (Eds.), The linguistic integration of adult migrants/L’intégration linguistique des migrants adultes (pp. 91–96). De Gruyter Mouton. [Google Scholar]
  29. Hirosh, Z., & Degani, T. (2018). Direct and indirect effects of multilingualism on novel language learning: An integrative review. Psychonomic Bulletin & Review, 25(3), 892–916. [Google Scholar] [CrossRef]
  30. Hockema, S. A., & Smith, L. B. (2009). Learning your language, outside-in and inside-out. Linguistics, 47(2), 453–479. [Google Scholar] [CrossRef]
  31. Hoff, E. (2013). Interpreting the early language trajectories of children from low-SES and language minority homes: Implications for closing achievement gaps. Developmental Psychology, 49(1), 4–14. [Google Scholar] [CrossRef]
  32. Hoff, E. (2018). Bilingual development in children of immigrant families. Child Development Perspectives, 12(2), 80–86. [Google Scholar] [CrossRef] [PubMed]
  33. Homuth, C., Liebau, E., & Will, G. (2021). The role of socioeconomic, cultural, and structural factors in daycare attendance among refugee children. Journal for Educational Research Online, 2021(1), 16–77. [Google Scholar] [CrossRef]
  34. Jung, T., & Wickrama, K. A. S. (2008). An introduction to latent class growth analysis and growth mixture modeling. Social and Personality Psychology Compass, 2(1), 302–317. [Google Scholar] [CrossRef]
  35. Keller, K. (2009). Relevance of child-care services for bilingual children in Basel [Unpublished master’s thesis]. University of Basel.
  36. Keller, K., Troesch, L. M., & Grob, A. (2013). Shyness as a risk factor for second language acquisition of immigrant preschoolers. Journal of Applied Developmental Psychology, 34(6), 328–335. [Google Scholar] [CrossRef]
  37. Keller, K., Troesch, L. M., Loher, S., & Grob, A. (2015). Deutschkenntnisse von Kindern statusniedriger und statushoher Einwanderergruppen: Der Einfluss des familialen und extrafamilialen Sprachkontexts. Frühe Bildung, 4(3), 144–152. [Google Scholar] [CrossRef]
  38. Kim, D.-H., Lambert, R. G., & Burts, D. C. (2018). Are young dual language learners homogeneous? Identifying subgroups using latent class analysis. The Journal of Educational Research, 111(1), 43–57. [Google Scholar] [CrossRef]
  39. Kim, S.-Y. (2014). Determining the number of latent classes in single- and multiphase growth mixture models. Structural Equation Modeling: A Multidisciplinary Journal, 21(2), 263–279. [Google Scholar] [CrossRef] [PubMed]
  40. Kim, S.-Y., & Kim, J.-S. (2012). Investigating stage-sequential growth mixture models with multiphase longitudinal data. Structural Equation Modeling: A Multidisciplinary Journal, 19(2), 293–319. [Google Scholar] [CrossRef]
  41. Kingsbury, M., Findlay, L., Arim, R., & Wei, L. (2021). Differences in child care participation between immigrant and nonimmigrant families. Journal of Childhood Studies, 46(4), 46–58. [Google Scholar] [CrossRef]
  42. Lauro, J., Core, C., & Hoff, E. (2020). Explaining individual differences in trajectories of simultaneous bilingual development: Contributions of child and environmental factors. Child Development, 91(6), 2063–2082. [Google Scholar] [CrossRef] [PubMed]
  43. López, L. M., & Foster, M. E. (2021). Examining heterogeneity among Latino dual language learners’ school readiness profiles of English and Spanish at the end of Head Start. Journal of Applied Developmental Psychology, 73, 101239. [Google Scholar] [CrossRef]
  44. Marx, A. E., & Stanat, P. (2012). Reading comprehension of immigrant students in Germany: Research evidence on determinants and target points for intervention. Reading and Writing, 25(8), 1929–1945. [Google Scholar] [CrossRef]
  45. Millán-Franco, M., Gómez-Jacinto, L., Hombrados-Mendieta, I., González-Castro, F., & García-Cid, A. (2019). The effect of length of residence and geographical origin on the social inclusion of immigrants. Psychosocial Intervention, 28(3), 119–130. [Google Scholar] [CrossRef]
  46. Montanari, S. (2019). 14. Facilitated language learning in multilinguals. In S. Montanari, & S. Quay (Hrsg.) (Eds.), Multidisciplinary perspectives on multilingualism: The fundamentals (pp. 299–324). De Gruyter Mouton. [Google Scholar]
  47. Muthén, B., Asparouhov, T., Hunter, A. M., & Leuchter, A. F. (2011). Growth modeling with nonignorable dropout: Alternative analyses of the STAR*D antidepressant trial. Psychological Methods, 16(1), 17–33. [Google Scholar] [CrossRef]
  48. Muthén, L. K., & Muthén, B. O. (1998). Mplus User’s Guide (8. Aufl.). Muthén & Muthén. [Google Scholar]
  49. Newman, D. A. (2014). Missing Data: Five Practical Guidelines. Organizational Research Methods, 17(4), 372–411. [Google Scholar] [CrossRef]
  50. Nylund, K. L., Asparouhov, T., & Muthén, B. O. (2007). Deciding on the number of classes in latent class analysis and growth mixture modeling: A monte carlo simulation study. Structural Equation Modeling: A Multidisciplinary Journal, 14(4), 535–569. [Google Scholar] [CrossRef]
  51. Pace, A., Luo, R., Hirsh-Pasek, K., & Golinkoff, R. M. (2017). Identifying pathways between socioeconomic status and language development. Annual Review of Linguistics, 3(1), 285–308. [Google Scholar] [CrossRef]
  52. Paradis, J. (2011). Individual differences in child English second language acquisition: Comparing child-internal and child-external factors. Linguistic Approaches to Bilingualism, 1(3), 213–237. [Google Scholar] [CrossRef]
  53. Paradis, J., Soto-Corominas, A., Chen, X., & Gottardo, A. (2020). How language environment, age, and cognitive capacity support the bilingual development of Syrian refugee children recently arrived in Canada. Applied Psycholinguistics, 41(6), 1255–1281. [Google Scholar] [CrossRef]
  54. Petermann, F. (2010). Sprachstandserhebungstest für Fünf- bis Zehnjährige (SET 5-10). Hogrefe. [Google Scholar]
  55. Schmerse, D. (2021). Peer effects on early language development in dual language learners. Child Development, 92(5), 2153–2169. [Google Scholar] [CrossRef]
  56. Schöler, H. (2020). Spracherwerbstheorien. In S. Sachse, A.-K. Bockmann, & A. Buschmann (Hrsg.) (Eds.), Sprachentwicklung (pp. 65–87). Springer. [Google Scholar] [CrossRef]
  57. Spurk, D., Hirschi, A., Wang, M., Valero, D., & Kauffeld, S. (2020). Latent profile analysis: A review and “how to” guide of its application within vocational behavior research. Journal of Vocational Behavior, 120, 103445. [Google Scholar] [CrossRef]
  58. Staatssekretariat für Bildung, Forschung und Innovation SBFI. (2023). Bildungsbericht Schweiz 2023. Schweizerische Koordinationsstelle für Bildungsforschung. Available online: https://www.skbf-csre.ch/fileadmin/files/pdf/bildungsberichte/2023/BiBer_2023_D.pdf (accessed on 12 October 2024).
  59. Staatssekretariat für Migration SEM. (2018). Ausländerstatistik 2014. Staatssekretariat für Migration SEM. Available online: https://www.admin.ch/gov/de/start/dokumentation/medienmitteilungen.msg-id-56988.html (accessed on 12 October 2024).
  60. Statistisches Amt des Kantons Basel-Stadt. (2018). Bevölkerungsstatistik. Available online: https://statistik.bs.ch/ (accessed on 12 October 2024).
  61. Subban, P., Bradford, B., Sharma, U., Loreman, T., Avramidis, E., Kullmann, H., Sahli Lozano, C., Romano, A., & Woodcock, S. (2022). Does it really take a village to raise a child? Reflections on the need for collective responsibility in inclusive education. European Journal of Special Needs Education, 38(2), 291–302. [Google Scholar] [CrossRef]
  62. Tannenbaum, M., & Howie, P. (2002). The Association between Language Maintenance and Family Relations: Chinese Immigrant Children in Australia. Journal of Multilingual and Multicultural Development, 23(5), 408–424. [Google Scholar] [CrossRef]
  63. Tellegen, P., Laros, J., & Petermann, F. (2007). Snijders-Oomen non-verbaler Intelligenztest von 2, 5 bis 7 Jahre (SON-R 2, 5–7): Testbatterie zur sprachfreien Messung der allgemeinen Intelligent. Hogrefe. [Google Scholar]
  64. Troesch, L. M., Keller, K., Loher, S., & Grob, A. (2017). Umgebungs- und Herkunftssprache: Der Einfluss des elterlichen Sprachengebrauchs auf den Zweitspracherwerb der Kinder. Zeitschrift für Pädagogische Psychologie, 31(2), 149–160. [Google Scholar] [CrossRef]
  65. Troesch, L. M., Segerer, R., Claus-Pröstler, N., & Grob, A. (2021). Parental acculturation attitudes: Direct and indirect impacts on children’s second language acquisition. Early Education and Development, 32(2), 272–290. [Google Scholar] [CrossRef]
  66. Van Druten-Frietman, L., Denessen, E., Gijsel, M., & Verhoeven, L. (2015). Child, home and institutional predictors of preschool vocabulary growth. Learning and Individual Differences, 43, 92–99. [Google Scholar] [CrossRef]
  67. Vygotsky, L. S. (1962). Thought and word. In L. S. Vygotsky, E. Hanfmann, & G. Vakar (Hrsg.) (Eds.), Thought and Language (pp. 119–153). MIT Press. [Google Scholar]
  68. Walther, B. (2023). Reliabilität von Skalen mit nur zwei Items—Spearman-Brown-Koeffizient. Available online: https://bjoernwalther.com/reliabilitaet-von-skalen-mit-nur-zwei-items-spearman-brown-koeffizient/ (accessed on 12 October 2024).
  69. White, I. R., Royston, P., & Wood, A. M. (2011). Multiple imputation using chained equations: Issues and guidance for practice. Statistics in Medicine, 30(4), 377–399. [Google Scholar] [CrossRef] [PubMed]
  70. Whiteside, K. E., Gooch, D., & Norbury, C. F. (2017). English language proficiency and early school attainment among children learning english as an additional language. Child Development, 88(3), 812–827. [Google Scholar] [CrossRef]
  71. Wickrama, K. A. S., Lee, T. K., O’Neal, C. W., & Lorenz, F. O. (2016). Higher-order growth curves and mixture modeling with mplus: A practical guide (1. Auflage). Routledge. [Google Scholar] [CrossRef]
Figure 1. The means of the language measures at the four measurement points (T1–T4) for the four classes (C1–C4). The language tests at T1 and T2: Sprachentwicklungstest für zweijährige Kinder (Grimm, 2000); the language tests at T3 and T4: Sprachstandserhebungstest für Kinder im Alter zwischen 5 und 10 Jahren (Petermann, 2010). Due to the change in instruments between T2 and T3, discontinuous piecewise LCGA with two growth models for each German test, but one common class parameter, was conducted. The language mean scores represent the proportion of attained scores relative to the possible score (values ranged from 0 = no points attained to 1 = all points attained) for each language test separately.
Figure 1. The means of the language measures at the four measurement points (T1–T4) for the four classes (C1–C4). The language tests at T1 and T2: Sprachentwicklungstest für zweijährige Kinder (Grimm, 2000); the language tests at T3 and T4: Sprachstandserhebungstest für Kinder im Alter zwischen 5 und 10 Jahren (Petermann, 2010). Due to the change in instruments between T2 and T3, discontinuous piecewise LCGA with two growth models for each German test, but one common class parameter, was conducted. The language mean scores represent the proportion of attained scores relative to the possible score (values ranged from 0 = no points attained to 1 = all points attained) for each language test separately.
Education 15 00163 g001
Table 1. Descriptive statistics for study variables (raw scores).
Table 1. Descriptive statistics for study variables (raw scores).
VariableNMissing (%)MSDMin.Max.
Language Measures:
T1 Word Comprehension44304.533.1509
T1 Sentence Comprehension44302.952.7408
T1 Word Production44305.566.92024
T1 Sentence Production44303.195.36028
T2 Word Comprehension30331.67.512.1709
T2 Sentence Comprehension30431.45.842.7808
T2 Word Production30331.613.507.00024
T2 Sentence Production30231.811.118.35028
T3 Language Comprehension25758.04.982.84012
T3 Picture Naming25442.718.818.61040
T4 Language Comprehension21351.97.442.66012
T4 Picture Naming21351.926.097.56040
Predictors:
T1 Age (in months)4430.041.884.243452
SES 14117.2−0.020.86−2.01.72
T1 Duration (years) of residence in Switzerland (mothers)4322.511.6310.22040
T1 Duration (years)of residence in Switzerland (fathers)4136.816.0811.59040
T1 Contact (frequency) with German speaking adults37914.42.171.1814
T1 Contact (frequency) with German speaking children38812.42.161.1214
T1 Abstract thinking4272.94.812.43015
Yes (n)Proportion in %
Gender (female)4430.022149.9
Attendance of early childcare before T14400.725958.9
Familial language: mainly other than German4400.737485.0
1 SES = socioeconomic status of the family, including the highest educational level attained by both the parents and familial income (equivalent income based on the number of household members). All the variables were z-standardized before being averaged to an SES total score.
Table 2. Correlation between study variables.
Table 2. Correlation between study variables.
Predictor Variables1234567891011
1.
T1 Age
-
2.
Gender 1
0.03-
3.
T1 Abstract thinking
0.090.09-
4.
T1 duration of parents’ residence in Switzerland
0.42 ***0.050.03-
5.
T1 Contact with German speakers
0.00−0.060.13 **0.09-
6.
Attendance of early childcare before T1 1
0.13 **−0.050.12 *−0.080.24 ***-
7.
Familial language 1
0.05−0.000.02−0.23 ***−0.18 ***−0.02-
8.
SES
−0.03−0.070.19 ***−0.17 **0.100.31 ***−0.05-
9.
T1 Language competence
0.26 ***0.050.36***0.17 ***0.38 ***0.42 ***−0.20 ***0.28 ***-
10.
T2 Language competence
0.13 *−0.020.29 ***0.22 ***0.38 ***0.39 ***−0.16 **0.20 ***0.70 ***-
11.
T3 Language competence
0.080.010.28 ***0.26 ***0.27 ***0.20 ***−0.22 ***0.22 ***0.60 ***0.70 ***-
12.
T4 Language competence
0.05−0.050.29 ***0.19 ***0.24 ***0.29 ***−0.24 ***0.29 ***0.58 ***0.67 ***0.73
Imputed data. 1 Dichotomous variables: gender: 0 = male, 1 = female; attendance in early childcare before T1: 0 = no attendance, 1 = attendance; familial language: 0 = mainly German or half German/half another language, 1 = mainly another language; * p < 0.05, ** p < 0.01, *** p < 0.001.
Table 3. Fit statistics of piecewise latent class growth analysis solutions for from two to six classes (total N = 443).
Table 3. Fit statistics of piecewise latent class growth analysis solutions for from two to six classes (total N = 443).
Fit Statistics1 Class2 Classes3 Classes4 Classes5 Classes6 Classes
LL (No. of parameters)62.15 (8)285.18 (13)387.23 (18)428.67 (23)452.74 (28)476.96 (33)
BIC−75.55−491.15−664.78−717.19−734.86−752.83
SSABIC−100.94−532.41−721.90−790.19−823.721−857.56
Entropy1.000.850.760.770.720.72
Adj. LMR-LRT (p)-431.89 (<0.001)197.61 (<0.001)80.25 (0.002)71.96 (0.147)85.90 (0.641)
BLRT (p)-446.07 (<0.001)204.09 (<0.001)82.89 (<0.001)74.32 (<0.001)88.71 (<0.001)
Group n (%); APP C1443 (100%); 1.00282 (63.8%); 0.97110 (24.8%); 0.82104 (23.5%); 0.8148 (11.0%); 0.87111 (25.1%); 0.92
C2 161 (36.2%); 0.94198 (44.7%); 0.86170 (38.4%); 0.84112 (25.4%); 0.8949 (11.0%); 0.90
C3 135 (30.5%); 0.94120 (27.0%); 0.8875 (17.0%); 0.8479 (17.9%); 0.76
C4 49 (11.1%); 0.9199 (22.4%); 0.6246 (10.4%); 0.53
C5 107 (24.3%); 0.7887 (19.6%); 0.76
C6 71 (16.1%); 0.68
LL = Log-Likelihood. No. of parameters = number of estimated parameters. BIC = Bayesian Information Criteria. SSABIC = sample-size-adjusted BIC. Adj. LMR-LRT = sample-size-adjusted Lo–Mendell–Rubin likelihood ratio test. BLRT = Bootstrapped Likelihood Ratio Test. p = p-value. Group n = group size. APP = average posterior probabilities for assigned class. Group size and percentages were based on estimated posterior probabilities.
Table 4. Results of multinominal regression analysis predicting language profiles (reference profile: C1, 23%).
Table 4. Results of multinominal regression analysis predicting language profiles (reference profile: C1, 23%).
Predictor VariableProfile C2 (38%)Profile C3 (27%)Profile C4 (11%)
bSEORpbSEORpbSEORp
Intercept−0.743.11−0.240.81−5.232.63−1.99<0.05−17.664.77−3.71<0.001
T1 Age −0.080.070.930.27−0.020.060.980.730.180.101.200.08
Gender−0.210.540.810.700.020.491.020.960.090.651.090.89
T1 Abstract thinking0.300.190.350.120.390.161.47<0.050.630.201.87<0.01
T1 duration of parents’ residence in Switzerland0.150.061.16<0.010.160.051.17<0.010.200.061.23<0.001
T1 Contact with German speakers0.000.251.001.000.520.241.68<0.050.720.352.05<0.05
Attendance of early childcare before T12.000.657.38<0.012.780.5916.06<0.0013.860.9147.64<0.001
Familial language: mainly other than German0.741.082.110.490.140.841.150.87−1.411.030.250.17
SES0.140.361.150.700.400.321.490.211.270.433.54<0.01
Imputed data. SES: socioeconomic status. SE: standard error. OR: odds ratio.
Disclaimer/Publisher’s Note: The statements, opinions and data contained in all publications are solely those of the individual author(s) and contributor(s) and not of MDPI and/or the editor(s). MDPI and/or the editor(s) disclaim responsibility for any injury to people or property resulting from any ideas, methods, instructions or products referred to in the content.

Share and Cite

MDPI and ACS Style

Troesch, L.M.; Torchetti, L.; Hasler, S.; Grob, A. Second Language Trajectories in Immigrant Children: Latent Class Growth Analysis. Educ. Sci. 2025, 15, 163. https://doi.org/10.3390/educsci15020163

AMA Style

Troesch LM, Torchetti L, Hasler S, Grob A. Second Language Trajectories in Immigrant Children: Latent Class Growth Analysis. Education Sciences. 2025; 15(2):163. https://doi.org/10.3390/educsci15020163

Chicago/Turabian Style

Troesch, Larissa Maria, Loredana Torchetti, Sonja Hasler, and Alexander Grob. 2025. "Second Language Trajectories in Immigrant Children: Latent Class Growth Analysis" Education Sciences 15, no. 2: 163. https://doi.org/10.3390/educsci15020163

APA Style

Troesch, L. M., Torchetti, L., Hasler, S., & Grob, A. (2025). Second Language Trajectories in Immigrant Children: Latent Class Growth Analysis. Education Sciences, 15(2), 163. https://doi.org/10.3390/educsci15020163

Note that from the first issue of 2016, this journal uses article numbers instead of page numbers. See further details here.

Article Metrics

Back to TopTop