How Do Individual-Difference Variables Affect Adolescent Learners’ L2 English Speaking Development? A Microgenetic Study
Abstract
1. Introduction
1.1. Individual-Difference Variables and L2 Learning in Adolescent Learners
1.1.1. Cognitive Variables and L2 Learning
1.1.2. The Role of Motivation
1.1.3. L1 and L2 Prior Knowledge
1.1.4. External ID Variables: Length of Instruction and Extramural English
1.2. Investigating L2 Speaking Development
1.3. Aims and Research Questions
2. Materials and Methods
2.1. Context
2.2. Participants
2.3. Instruments and Procedure
2.4. Analysis
3. Results
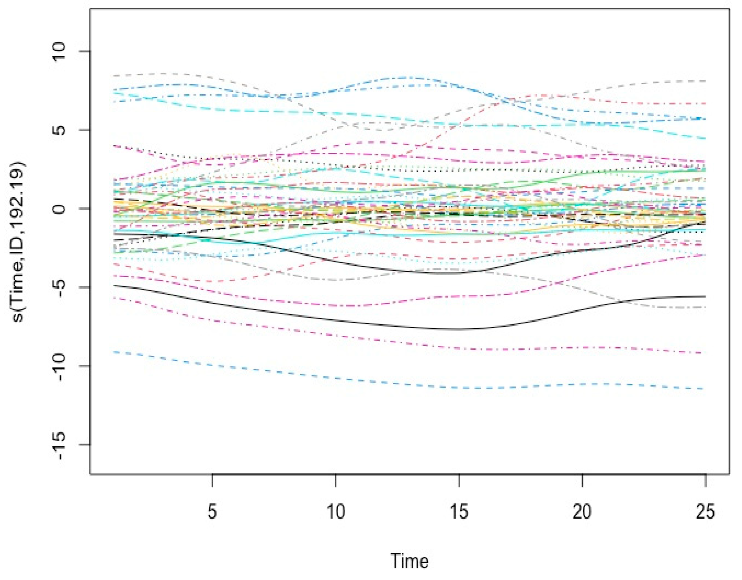
bestmodel <- bam(score ~ s(Time, k = 10) + s(PPVT) + ti(Time, cPPVT, k = c(10, 10)) + s(Time, ID, k = 10, bs = ‘fs’, m = 1) + s(Task, k = 7, bs = ‘fs’, m = 1), data = mydata)
4. Discussion
5. Conclusions
Funding
Institutional Review Board Statement
Informed Consent Statement
Data Availability Statement
Conflicts of Interest
References
- Bates, E., & Goodman, J. C. (1999). On the emergence of grammar from lexicon. In B. MacWhinney (Ed.), The emergence of language (pp. 29–80). Lawrence Erlbaum Associates. [Google Scholar]
- Bishop, D. V. (1983). Test for reception of grammar. Published by the author and available from Age and Cognitive Performance Research Centre, University of Manchester, M13 9PL. [Google Scholar]
- Cambridge English Language Assessment. (2016). Cambridge English: Young learners: Flyers. Available online: http://www.cambridgeenglish.org/exams/young-learners-english/ (accessed on 5 September 2017).
- Cheung, H. (1996). Nonword span as a unique predictor of second-language vocabulary language. Developmental Psychology, 32(5), 867. [Google Scholar] [CrossRef]
- Csapó, B., & Nikolov, M. (2009). The cognitive contribution to the development of proficiency in a foreign language. Learning and Individual Differences, 19(2), 209–218. [Google Scholar] [CrossRef]
- Csizér, K., & Kormos, J. (2009). 5. An investigation into the relationship of L2 motivation and cross-cultural contact among elementary school students. In M. Nikolov (Ed.), Early learning of modern foreign languages (pp. 62–74). Multilingual Matters. [Google Scholar] [CrossRef]
- De Bot, K., Lowie, W., & Verspoor, M. (2007). A dynamic systems theory approach to second language acquisition. Bilingualism: Language and Cognition, 10(01), 7. [Google Scholar] [CrossRef]
- Dewey, M. (2007). English as a lingua franca and globalization: An interconnected perspective. International Journal of Applied Linguistics, 17(3), 332–354. [Google Scholar] [CrossRef]
- De Wilde, V., Brysbaert, M., & Eyckmans, J. (2020). Learning English through out-of-school exposure. Which levels of language proficiency are attained and which types of input are important? Bilingualism: Language and Cognition, 23(1), 171–185. [Google Scholar]
- De Wilde, V., Brysbaert, M., & Eyckmans, J. (2021). Young learners’ L2 English after the onset of instruction: Longitudinal development of L2 proficiency and the role of individual differences. Bilingualism: Language and Cognition, 24(3), 439–453. [Google Scholar]
- De Wilde, V., & Goriot, C. (2022). Introduction. In V. De Wilde, & C. Goriot (Eds.), Second language learning before adulthood: Individual differences in children and adolescents (pp. 1–8). De Gruyter Mouton. [Google Scholar] [CrossRef]
- De Wilde, V., & Lowie, W. (2024). The forest and the trees: Investigating groups and individuals in longitudinal second language English speaking development. Language Learning, lang.12698. [Google Scholar] [CrossRef]
- Dörnyei, Z. (2009). The L2 motivational self system. In Z. Dörnyei, & E. Ushioda (Eds.), Motivation, language identity and the L2 self (pp. 9–42). Multilingual Matters. [Google Scholar]
- Dörnyei, Z., & Ryan, S. (2015). The psychology of the language learner revisited. Routledge; Taylor & Francis Group. [Google Scholar]
- Dunn, L., & Dunn, L. (2007). Peabody picture vocabulary test (4th ed.). American Guidance Service. [Google Scholar]
- Gardner, R. C. (2010). Motivation and second language acquisition: The socio-educational model (Vol. 10). Peter Lang. [Google Scholar]
- Gathercole, S. E., & Masoura, E. V. (2005). Contrasting contributions of phonological short-term memory and long-term knowledge to vocabulary learning in a foreign language. Memory, 13(3–4), 422–429. [Google Scholar] [CrossRef]
- Harrell, F. E., Jr., & Harrell, M. F. E., Jr. (2019). Package ‘hmisc’. CRAN2018, 2019, 235–236. Available online: https://hbiostat.org/R/Hmisc/ (accessed on 3 October 2025).
- Huang, B. H., Bailey, A. L., Sass, D. A., & Shawn Chang, Y. (2021). An investigation of the validity of a speaking assessment for adolescent English language learners. Language Testing, 38(3), 401–428. [Google Scholar] [CrossRef]
- Jaekel, N., Schurig, M., Florian, M., & Ritter, M. (2017). From early starters to late finishers? A longitudinal study of early foreign language learning in school: From early starters to late finishers? Language Learning, 67(3), 631–664. [Google Scholar] [CrossRef]
- Juffs, A., & Harrington, M. (2011). Aspects of working memory in L2 learning. Language Teaching, 44(02), 137–166. [Google Scholar] [CrossRef]
- Kliesch, M., & Pfenninger, S. E. (2021). Cognitive and socioaffective predictors of L2 microdevelopment in late adulthood: A longitudinal intervention study. The Modern Language Journal, 105(1), 237–266. [Google Scholar] [CrossRef]
- Kormos, J., & Sáfár, A. (2008). Phonological short-term memory, working memory and foreign language performance in intensive language learning. Bilingualism: Language and Cognition, 11(2), 261–271. [Google Scholar] [CrossRef]
- Kusyk, M., Arndt, H. L., Schwarz, M., Yibokou, K. S., Dressman, M., Sockett, G., & Toffoli, D. (2025). A scoping review of studies in informal second language learning: Trends in research published between 2000 and 2020. System, 130, 103541. [Google Scholar] [CrossRef]
- Larsen-Freeman, D. (1997). Chaos/complexity science and second language acquisition. Applied Linguistics, 18(2), 141–165. [Google Scholar] [CrossRef]
- Larsen-Freeman, D. (2006). The emergence of complexity, fluency, and accuracy in the oral and written production of five Chinese learners of English. Applied Linguistics, 27(4), 590–619. [Google Scholar] [CrossRef]
- Leona, N. L., van Koert, M. J., van der Molen, M. W., Rispens, J. E., Tijms, J., & Snellings, P. (2021). Explaining individual differences in young English language learners’ vocabulary knowledge: The role of extramural English exposure and motivation. System, 96, 102402. [Google Scholar] [CrossRef]
- Linck, J. A., Osthus, P., Koeth, J. T., & Bunting, M. F. (2014). Working memory and second language comprehension and production: A meta-analysis. Psychonomic Bulletin & Review, 21(4), 861–883. [Google Scholar] [CrossRef]
- Lowie, W., Van Dijk, M., Chan, H., & Verspoor, M. (2017). Finding the key to successful L2 learning in groups and individuals. Studies in Second Language Learning and Teaching, 7(1), 127–148. [Google Scholar] [CrossRef]
- Mearns, T., & de Jong, N. (2021). Sketching a motivational landscape: Motivational variation within bilingual secondary education in the Netherlands. Journal of Immersion and Content-Based Language Education, 9(1), 85–111. [Google Scholar] [CrossRef]
- Michel, M., Kormos, J., Brunfaut, T., & Ratajczak, M. (2019). The role of working memory in young second language learners’ written performances. Journal of Second Language Writing, 45, 31–45. [Google Scholar] [CrossRef]
- Michel, M., Vidon, C., de Graaff, R., & Lowie, W. (2021). Language learning beyond English in the Netherlands: A fragile future? European Journal of Applied Linguistics, 9(1), 159–182. [Google Scholar] [CrossRef]
- Muñoz, C. (2011). Input and long-term effects of starting age in foreign language learning. International Review of Applied Linguistics in Language Teaching, 49(2), 113–133. [Google Scholar] [CrossRef]
- Muñoz, C. (2014). Contrasting effects of starting age and input on the oral performance of foreign language learners. Applied Linguistics, 35(4), 463–482. [Google Scholar] [CrossRef]
- Nagle, C. (2018). Motivation, comprehensibility, and accentedness in L2 Spanish: Investigating motivation as a time-varying predictor of pronunciation development. The Modern Language Journal, 102(1), 199–217. [Google Scholar] [CrossRef]
- Nagle, C. (2021). Assessing the state of the art in longitudinal L2 pronunciation research: Trends and future directions. Journal of Second Language Pronunciation, 7(2), 154–182. [Google Scholar] [CrossRef]
- Nikolov, M., & Csapó, B. (2018). The relationships between 8th graders’ L1 and L2 reading skills, inductive reasoning and socio-economic status in early English and German as a foreign language programs. System, 73, 48–57. [Google Scholar] [CrossRef]
- Nitta, R., & Baba, K. (2018). Understanding benefits of repetition from a complex dynamic systems perspective. In M. Bygate (Ed.), Learning language through task repetition (pp. 279–309). John Benjamins. [Google Scholar]
- Ortega, L., & Iberri-Shea, G. (2005). Longitudinal research in second language acquisition: Recent trends and future directions. Annual Review of Applied Linguistics, 25, 26–45. [Google Scholar] [CrossRef]
- Papi, M., & Abdollahzadeh, E. (2012). Teacher motivational practice, student motivation, and possible L2 selves: An examination in the Iranian EFL context: An observational examination. Language Learning, 62(2), 571–594. [Google Scholar] [CrossRef]
- Paradis, J. (2011). Individual differences in child English second language acquisition: Comparing child-internal and child-external factors. Linguistic Approaches to Bilingualism, 1(3), 213–237. [Google Scholar] [CrossRef]
- Peters, E., Noreillie, A., Heylen, K., Bulté, B., & Desmet, P. (2019). The impact of instruction and out-of-school exposure to foreign language input on learners’ vocabulary knowledge in two languages. Language Learning, 69(3), 747–782. [Google Scholar] [CrossRef]
- Pfenninger, S. E. (2020). The dynamic multicausality of age of first bilingual language exposure: Evidence from a longitudinal content and language integrated learning study with dense time serial measurements. The Modern Language Journal, 104(3), 662–686. [Google Scholar] [CrossRef]
- Polat, B., & Kim, Y. (2014). Dynamics of complexity and accuracy: A longitudinal case study of advanced untutored development. Applied Linguistics, 35(2), 184–207. [Google Scholar] [CrossRef]
- Puimège, E., & Peters, E. (2019). Learners’ English vocabulary knowledge prior to formal instruction: The role of learner-related and word-related variables. Language Learning, 69(4), 943–977. [Google Scholar] [CrossRef]
- R Core Team. (2024). R: A language and environment for statistical computing version 4.4.1 [Computer software]. R Foundation for Statistical Computing. Available online: https://www.R-project.org (accessed on 9 September 2025).
- Service, E., & Kohonen, V. (1995). Is the relation between phonological memory and foreign language learning accounted for by vocabulary acquisition? Applied Psycholinguistics, 16(2), 155–172. [Google Scholar] [CrossRef]
- Sun, H., Yin, B., Amsah, N. F. B. B., & O’Brien, B. A. (2018). Differential effects of internal and external factors in early bilingual vocabulary learning: The case of Singapore. Applied Psycholinguistics, 39(2), 383–411. [Google Scholar] [CrossRef]
- Sundqvist, P. (2009). Extramural English matters: Out-of-school English and its impact on Swedish ninth graders’ oral proficiency and vocabulary [Doctoral dissertation, Karlstad University]. [Google Scholar]
- Sundqvist, P. (2024). Extramural English as an individual difference variable in L2 research: Methodology matters. Annual Review of Applied Linguistics, 44, 79–91. [Google Scholar] [CrossRef]
- Unsworth, S., Persson, L., Prins, T., & De Bot, K. (2015). An investigation of factors affecting early foreign language learning in the Netherlands. Applied Linguistics, 36(5), 527–548. [Google Scholar] [CrossRef]
- Van Rij, J., Wieling, M., Baayen, R. H., & van Rijn, D. (2015). itsadug: Interpreting time series and autocorrelated data using GAMMs. Available online: https://cran.r-project.org/package=itsadug (accessed on 3 October 2025).
- Wechsler, D. (2017). Wechsler intelligence scale for children. Nederlandstalige bewerking (5th ed.). Pearson Clinical. [Google Scholar]
- Wei, T., Simko, V., Levy, M., Xie, Y., Jin, Y., & Zemla, J. (2017). Package ‘corrplot’. Statistician, 56(316), e24. [Google Scholar]
- Wickham, H. (2011). ggplot2. Wiley Interdisciplinary Reviews: Computational Statistics, 3(2), 180–185. [Google Scholar] [CrossRef]
- Winter, B., & Wieling, M. (2016). How to analyze linguistic change using mixed models, growth curve analysis and generalized additive modeling. Journal of Language Evolution, 1(1), 7–18. [Google Scholar] [CrossRef]
- Wood, S., & Wood, M. S. (2015). Package ‘mgcv’. R package version, 1(29), 729. Available online: https://cran.r-universe.dev/mgcv (accessed on 3 October 2025).
- Yu, H., & Lowie, W. (2020). Dynamic pahs of complexity and accuracy in second language speech: A longitudinal case study of Chinese learners. Applied Linguistics, 41(6), 855–877. [Google Scholar] [CrossRef]
- Zhang, R., Zou, D., Cheng, G., Xie, H., Wang, F. L., & Au, O. T. S. (2021). Target languages, types of activities, engagement, and effectiveness of extramural language learning. PLoS ONE, 16(6), e0253431. [Google Scholar] [CrossRef]




| Min | Max | Median | Mean | SD | |
|---|---|---|---|---|---|
| English vocabulary knowledge (Max = 144) | 57 | 140 | 106 | 104.4 | 19.79 |
| English grammar knowledge (Max = 68) | 22 | 68 | 60 | 56.25 | 10.45 |
| Matrix reasoning task (Max = 32) | 7 | 29 | 21 | 20.23 | 3.65 |
| Dutch vocabulary knowledge (Max = 54) | 15 | 40 | 28 | 27.29 | 5.14 |
| Forward digit span task (Max = 18) | 4 | 16 | 8.5 | 8.42 | 2.09 |
| Backward digit span task (Max = 18) | 4 | 13 | 9 | 8.86 | 1.92 |
| Watching TV with L1 subtitles (Max = 5) | 0 | 5 | 2 | 2.15 | 1.75 |
| Watching TV with EN subtitles (Max = 5) | 0 | 5 | 0 | 1.04 | 1.35 |
| Watching TV without subtitles (Max = 5) | 0 | 5 | 1 | 1.52 | 1.76 |
| Listening to English music (Max = 5) | 1 | 5 | 4 | 3.58 | 1.44 |
| Reading in English (Max = 5) | 0 | 5 | 0 | 0.46 | 0.90 |
| Gaming in English (Max = 5) | 0 | 5 | 3 | 2.73 | 1.97 |
| Using social media in English (Max = 5) | 0 | 5 | 3.5 | 3.33 | 1.60 |
| Speaking in English (Max = 5) | 0 | 5 | 1 | 1.33 | 1.31 |
| Ideal L2 self (Max = 6) | 2 | 6 | 4.10 | 4.09 | 1.03 |
| Ought-to L2 self (Max = 6) | 1 | 5.17 | 2.25 | 2.35 | 1.04 |
| Motivation for English (Max = 6) | 1 | 6 | 4 | 4.13 | 1.25 |
| Linguistic self-confidence (Max = 6) | 1 | 6 | 4.25 | 3.88 | 1.28 |
| Parametric Coefficients | Estimate | SE | t | Pr (>|t|) | Edf | Ref.df | F | p |
|---|---|---|---|---|---|---|---|---|
| (Intercept) | 12.63 | 0.53 | 23.73 | <0.001 *** | ||||
| s(Time) | 6.29 | 6.89 | 7.94 | <0.001 *** | ||||
| s(PPVT) | 3.98 | 3.99 | 29.08 | <0.001 *** | ||||
| ti(Time, PPVT) | 14.40 | 18.64 | 1.12 | 0.33 | ||||
| s(Time, ID) | 192.19 | 478 | 10.80 | <0.001 *** | ||||
| s(Task) | 8.44 | 14 | 2.39 | <0.001 *** |
Disclaimer/Publisher’s Note: The statements, opinions and data contained in all publications are solely those of the individual author(s) and contributor(s) and not of MDPI and/or the editor(s). MDPI and/or the editor(s) disclaim responsibility for any injury to people or property resulting from any ideas, methods, instructions or products referred to in the content. |
© 2025 by the author. Licensee MDPI, Basel, Switzerland. This article is an open access article distributed under the terms and conditions of the Creative Commons Attribution (CC BY) license (https://creativecommons.org/licenses/by/4.0/).
Share and Cite
De Wilde, V. How Do Individual-Difference Variables Affect Adolescent Learners’ L2 English Speaking Development? A Microgenetic Study. Educ. Sci. 2025, 15, 1327. https://doi.org/10.3390/educsci15101327
De Wilde V. How Do Individual-Difference Variables Affect Adolescent Learners’ L2 English Speaking Development? A Microgenetic Study. Education Sciences. 2025; 15(10):1327. https://doi.org/10.3390/educsci15101327
Chicago/Turabian StyleDe Wilde, Vanessa. 2025. "How Do Individual-Difference Variables Affect Adolescent Learners’ L2 English Speaking Development? A Microgenetic Study" Education Sciences 15, no. 10: 1327. https://doi.org/10.3390/educsci15101327
APA StyleDe Wilde, V. (2025). How Do Individual-Difference Variables Affect Adolescent Learners’ L2 English Speaking Development? A Microgenetic Study. Education Sciences, 15(10), 1327. https://doi.org/10.3390/educsci15101327

