The Perceptions of University Students as to the Benefits and Barriers to Using Immersive Virtual Reality in Learning to Work with Individuals with Developmental Disabilities
Abstract
1. Introduction
- Theoretical Frameworks
- Research questions
- (1)
- How do university students perceive their interactions with an iVR-based experiential learning opportunity?
- (2)
- What are university students’ intentions in relation to using iVR in the future?
2. Materials and Methods
2.1. Participants
2.2. Procedures
Data Analysis
3. Results
3.1. Survey Results for Research Question 1 and Research Question 2
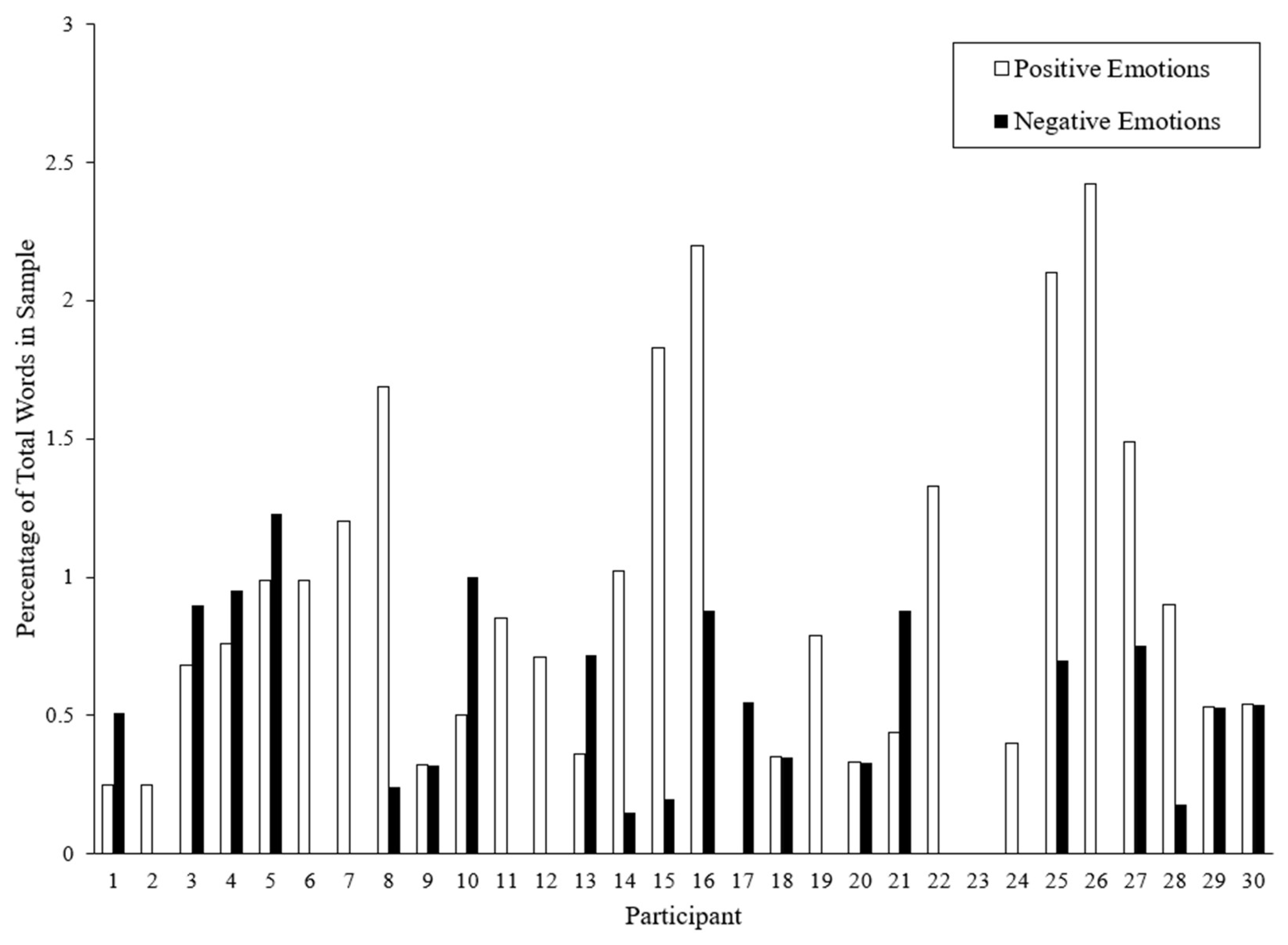
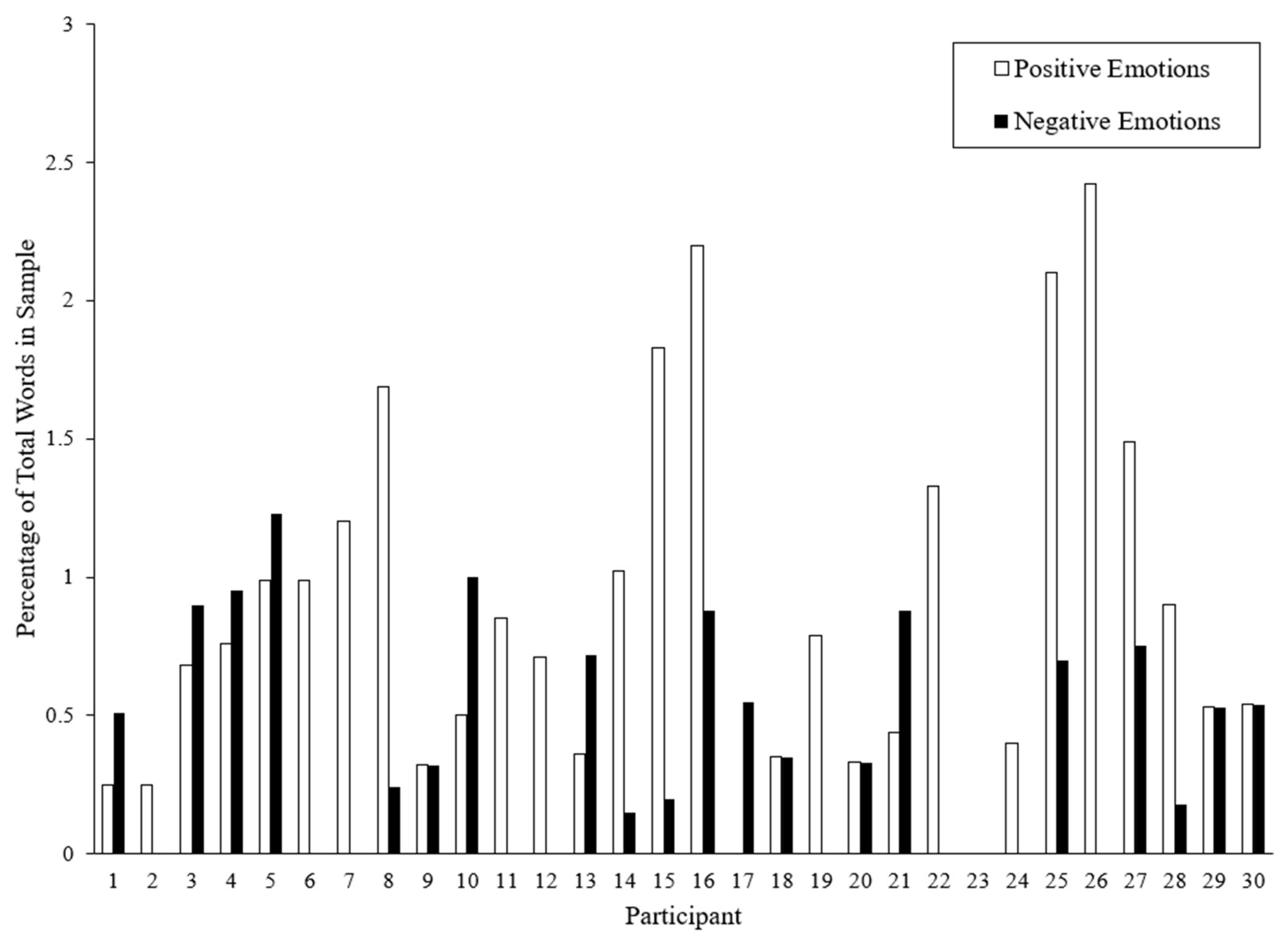
3.2. Reflective Journal Entries-LIWC-22 Results for Research Question 1
4. Discussion
Author Contributions
Funding
Institutional Review Board Statement
Informed Consent Statement
Data Availability Statement
Acknowledgments
Conflicts of Interest
References
- Kolb, D.A. Experiential Learning: Experience as the Source of Learning and Development; Prentice-Hall, Inc.: Englewood Cliffs, NJ, USA, 1984. [Google Scholar]
- Radianti, J.; Majchrzak, T.A.; Fromm, J.; Wohlgenannt, I. A systematic review of immersive virtual reality applications for higher education: Design elements, lessons learned, and research agenda. Comput. Educ. 2020, 147, 103778. [Google Scholar] [CrossRef]
- Fuchs, P.; Moreau, G.; Guitton, P. Immersion and performance in virtual environments: The influence of stereoscopy. Presence: Teleoperators Virtual Environ. 2003, 12, 530–539. [Google Scholar]
- Mao, H.; Masterson, M.; Swanson, A.; Andrews, M.; Kern, N. An immersive virtual reality training program for learning cardiopulmonary resuscitation. J. Med. Educ. Train. 2021, 5, 25–31. [Google Scholar]
- Liu, Y.; Salatino, R.; Gamberini, L. Effects of immersion and task on performance in desktop-based virtual reality. Int. J. Hum.-Comput. Interact. 2020, 36, 1406–1420. [Google Scholar] [CrossRef]
- Veling, W.; Moritz, S.; Van Der Gaag, M. Brave new worlds—Review and update on virtual reality assessment and treatment in psychosis. Schizophr. Bull. 2014, 40, 1194–1197. [Google Scholar] [CrossRef] [PubMed][Green Version]
- Zacarin, M.R.J.; Borloti, E.; Haydu, V.B. Behavioral therapy and virtual reality exposure for public speaking anxiety. Trends Psychol. 2019, 27, 491–507. [Google Scholar] [CrossRef]
- Merchant, Z.; Goetz, E.T.; Cifuentes, L.; Keeney-Kennicutt, W.; Davis, T.J. Effectiveness of virtual reality-based instruction on students’ learning outcomes in K-12 and higher education: A meta-analysis. Comput. Educ. 2014, 70, 29–40. [Google Scholar] [CrossRef]
- Goodwin, C. Enhancing student learning through immersive 3D environments. Innov. Educ. Teach. Int. 2008, 45, 405–413. [Google Scholar]
- Standen, P.J.; Brown, D.J. Virtual reality in the rehabilitation of people with intellectual disabilities: Review. CyberPsychol. Behav. 2006, 9, 123–131. [Google Scholar] [CrossRef] [PubMed]
- Downs, J.S.; Oliver, J. The transfer of learning from virtual to real environments in law enforcement. J. Police Crim. Psychol. 2016, 31, 105114. [Google Scholar]
- Kim, J.; Biocca, F. Telepresence and virtual reality. In The International Encyclopedia of Media Effects; John Wiley & Sons, Inc.: Hoboken, NJ, USA, 2019. [Google Scholar]
- Torkington, J.; Smith, S.G.; Rees, B.I.; Darzi, A. The role of the basic surgical skills course in the acquisition and retention of laparoscopic skill. Surg. Endosc. 2001, 15, 1079–1082. [Google Scholar] [CrossRef] [PubMed]
- Levac, D.; Glegg, S.; Colquhoun, H.; Miller, P.; Noubary, F. Virtual reality and active videogame-based practice, learning needs, and preferences: A cross-Canada survey of physical therapists and occupational therapists. Games Health J. 2019, 8, 269–279. [Google Scholar] [CrossRef] [PubMed]
- Tsami, L.; Foteinaki, K.; Lagios, K.G. Telehealth in rural areas: Reaching out to every corner of the globe. Int. J. Med. Inform. 2019, 125, 65–71. [Google Scholar]
- Fisher, W.W.; Greer, B.D.; Fuhrman, A.M. Technology-based interventions for teaching behavioural skills to individuals with autism spectrum disorder: A review and meta-analysis. J. Autism Dev. Disord. 2014, 44, 814–826. [Google Scholar]
- Zhang, X.; Xie, X.; Yang, Z.; Fan, Z. Application of virtual reality technology in fire safety training. Procedia Eng. 2017, 205, 1659–1665. [Google Scholar]
- Huber, P.J.; Blumenfeld, H.; Conner, B.; Brown, R. Virtual reality training improves surgical performance. Surg. Innov. 2017, 24, 123–129. [Google Scholar]
- Logishetty, K.; Jain, S. Incorporation of virtual reality training into neurosurgical practice. World Neurosurg. 2019, 125, 423–431. [Google Scholar]
- Klippel, A.; Zhao, J.; Jackson, K.L.; La Femina, P.; Stubbs, C.; Wetzel, R.; Blair, J.; Wallgrün, J.O.; Oprean, D. Transforming earth science education through immersive experiences: Delivering on a long held promise. J. Educ. Comput. Res. 2019, 57, 1745–1771. [Google Scholar] [CrossRef]
- Chang, Y.; Lun Lai, C. The impact of virtual reality simulation on nursing students’ self-efficacy in learning nursing skills: A systematic review. J. Nurs. Educ. 2020, 59, 545–551. [Google Scholar] [CrossRef]
- Hamilton, D.; McKechnie, J.; Edgerton, E.; Wilson, C. Immersive virtual reality as a pedagogical tool in education: A systematic literature review of quantitative learning outcomes and experimental design. J. Comput. Educ. 2021, 8, 1–32. [Google Scholar] [CrossRef]
- Di Natale, A.F.; Bartolotta, S.; Gaggioli, A.; Riva, G.; Villani, D. Exploring students’ acceptance and continuance intention in using immersive virtual reality and metaverse integrated learning environments: The case of an Italian university course. Educ. Inf. Technol. 2024, 1–20. [Google Scholar] [CrossRef]
- Kivunja, C. Distinguishing between theory, theoretical framework, and conceptual framework: A systematic review of lessons from the field. Int. J. High. Educ. 2018, 7, 44–53. [Google Scholar] [CrossRef]
- Conner, M. Theory of planned behavior. In Handbook of Sport Psychology: Social Perspectives, Cognition, and Applications, 4th ed.; Tenenbaum, G., Eklund, R.C., Boiangin, N., Eds.; John Wiley & Sons, Inc.: Hoboken, NJ, USA, 2020; pp. 3–18. [Google Scholar] [CrossRef]
- Watson, J.H.; Rockinson-Szapkiw, A. Predicting preservice teachers’ intention to use technology-enabled learning. Comput. Educ. 2021, 168, 104207. [Google Scholar] [CrossRef]
- Bower, M.; DeWitt, D.; Lai, J.W.M. Reasons associated with preservice teachers’ intention to use immersive virtual reality in education. Br. J. Educ. Technol. 2020, 51, 2215–2233. [Google Scholar] [CrossRef]
- Matheson, A.; Wood, L.; Franklin, S.V. Guided and unguided student reflections. arXiv 2017, arXiv:1710.05259. [Google Scholar]
- Dounas-Frazer, D.R.; Reinholz, D.L. Attending to lifelong learning skills through guided reflection in a physics class. Am. J. Phys. 2015, 83, 881–891. [Google Scholar] [CrossRef]
- Ertmer, P.A.; Ottenbreit-Leftwich, A. Removing obstacles to the pedagogical changes required by Jonassen’s vision of authentic technology-enabled learning. Comput. Educ. 2013, 64, 175–182. [Google Scholar] [CrossRef]
- Davis, F.D. Perceived usefulness, perceived ease of use, and user acceptance of information technology. MIS Q. 1989, 13, 319–340. [Google Scholar] [CrossRef]
- Kahn, J.H.; Tobin, R.M.; Massey, A.E.; Anderson, J.A. Measuring emotional expression with the linguistic inquiry and word count. Am. J. Psychol. 2007, 120, 263–286. [Google Scholar] [CrossRef]
- Tausczik, Y.R.; Pennebaker, J.W. The psychological meaning of words: LIWC and computerized text analysis methods. J. Lang. Soc. Psychol. 2010, 29, 24–54. [Google Scholar] [CrossRef]
- Kane, A.A.; van Swol, L.M. Using Linguistic Inquiry and Word Count software to analyze group interaction language data. Group Dyn. 2023, 27, 188–201. [Google Scholar] [CrossRef]
- Glaser, N.; Schmidt, M.; Schmidt, C. Learner experience and evidence of cybersickness: Design tensions in a virtual reality public transportation intervention for autistic adults. Virtual Real. 2022, 26, 1705–1724. [Google Scholar] [CrossRef]
- Kaufeld, M.; De Coninck, K.; Schmidt, J.; Hecht, H. Chewing gum reduces visually induced motion sickness. Exp. Brain Res. 2022, 240, 651–663. [Google Scholar] [CrossRef] [PubMed]
- Rebenitsch, L.R. Cybersickness Prioritization and Modeling (Order No. 3700571). Available from ProQuest Dissertations & Theses Global. (1678906941). 2015. Available online: https://proxy.library.brocku.ca/login?url=https://www.proquest.com/dissertations-theses/cybersickness-prioritization-modeling/docview/1678906941/se-2 (accessed on 27 July 2023).







| Prompt | Description |
|---|---|
| Prompt 1 | Write 50–150 words reflecting on your experience so far in this project. What do you think it will be like to work with clients in this virtual space? What are you worried about? What are you excited about? Any other thoughts? |
| Prompt 2 | Write 1–3 paragraphs reflecting on your experience in this project. Write about what you think about the equipment, what you think about using VR in ABA, and one idea that you have for writing a behaviour-analytic program for skill acquisition in VR. |
| Prompt 3 | Consider your own learning process in this course. Reflect on what you’ve learned, what you feel you still need to learn, and how you’ll take what you’ve learned into your own professional practice. How did you feel about using virtual reality (VR) in this class (e.g., the headset, ENGAGE, and Bodyswaps)? How can you incorporate your understanding of diverse cultures and settings into your professional practice? Write 100–250 words. |
| Domain | Selected Survey Questions |
|---|---|
| Level of Participation | How much interaction did you have with the experiential education opportunity? What reasons did you have for not trying the experiential education opportunity? Was this your first time trying VR? Did you like using VR? Rate your overall experience. |
| Equipment | If you used VR again, what would you change about the experience? If you used VR again, what would you keep the same about the experience? Do you think VR is a useful tool in a school course? Rate your equipment experience. |
| Experience | What did you dislike about this experiential education opportunity? What did you like about this experiential education opportunity? |
| Application | Do you think you would use VR to run ABA therapy/treatment sessions? What do you think are some of the best uses for VR? What would you like to learn about ABA and VR? |
Disclaimer/Publisher’s Note: The statements, opinions and data contained in all publications are solely those of the individual author(s) and contributor(s) and not of MDPI and/or the editor(s). MDPI and/or the editor(s) disclaim responsibility for any injury to people or property resulting from any ideas, methods, instructions or products referred to in the content. |
© 2024 by the authors. Licensee MDPI, Basel, Switzerland. This article is an open access article distributed under the terms and conditions of the Creative Commons Attribution (CC BY) license (https://creativecommons.org/licenses/by/4.0/).
Share and Cite
Luke, N.; Keith, A.; Bajcar, N.; Sureshkumar, B.; Adebayo, O. The Perceptions of University Students as to the Benefits and Barriers to Using Immersive Virtual Reality in Learning to Work with Individuals with Developmental Disabilities. Educ. Sci. 2024, 14, 812. https://doi.org/10.3390/educsci14080812
Luke N, Keith A, Bajcar N, Sureshkumar B, Adebayo O. The Perceptions of University Students as to the Benefits and Barriers to Using Immersive Virtual Reality in Learning to Work with Individuals with Developmental Disabilities. Education Sciences. 2024; 14(8):812. https://doi.org/10.3390/educsci14080812
Chicago/Turabian StyleLuke, Nicole, Avery Keith, Nicole Bajcar, Brittney Sureshkumar, and Oluwakemi Adebayo. 2024. "The Perceptions of University Students as to the Benefits and Barriers to Using Immersive Virtual Reality in Learning to Work with Individuals with Developmental Disabilities" Education Sciences 14, no. 8: 812. https://doi.org/10.3390/educsci14080812
APA StyleLuke, N., Keith, A., Bajcar, N., Sureshkumar, B., & Adebayo, O. (2024). The Perceptions of University Students as to the Benefits and Barriers to Using Immersive Virtual Reality in Learning to Work with Individuals with Developmental Disabilities. Education Sciences, 14(8), 812. https://doi.org/10.3390/educsci14080812

