The Typology of Public Schools in the State of Louisiana and Interventions to Improve Performance: A Machine Learning Approach
Abstract
1. Introduction
2. Background Information and Literature Review
2.1. Louisiana Schools Accountability System
2.2. An Overview of Empirical Clustering Techniques and Application in Education
2.3. Multiclass Classification to Augment Clustering Results
3. Materials and Methods
3.1. Source of Data
3.2. Variables That Influence School Performance and Empirical Model
4. Results and Discussion
4.1. Results from Unsupervised Learning Analyses
4.2. Results from Supervised Learning Analyses
5. Summary and Conclusions
Author Contributions
Funding
Institutional Review Board Statement
Informed Consent Statement
Data Availability Statement
Conflicts of Interest
Appendix A. Summary Statistics of the Covariate Variables
| Variables | 2015/16 | 2016/17 | 2017/18 | |||
| Average | Std.Dev | Average | Std.Dev | Average | Std.Dev | |
| Elementary schools system | ||||||
| School performance score | 82.94 | 20.33 | 79.96 | 21.28 | 70.41 | 15.46 |
| Salary expenditure per pupil ($) | 5322.00 | 1374.00 | 5421.00 | 1522.00 | 5518.00 | 1556.00 |
| Current expenditure per pupil ($) | 11,081.00 | 1435.00 | 11,259.00 | 1475.00 | 11,591.00 | 1593.00 |
| Full-time equivalent certified teachers | 32.13 | 12.87 | 32.37 | 13.1 | 32.34 | 13.32 |
| Full-time equivalent other instructors | 8.86 | 5.11 | 9.04 | 5.33 | 8.78 | 5.29 |
| Full-time equivalent support staff | 4.52 | 2.86 | 4.54 | 2.65 | 4.57 | 2.95 |
| Full time Equivalent administrative staff | 3.97 | 1.53 | 3.95 | 1.65 | 4 | 1.77 |
| Full-time Equivalent transportation services | 4.46 | 3.68 | 4.41 | 3.74 | 4.29 | 3.43 |
| Full-time equivalent other staff | 8.08 | 3.76 | 7.92 | 3.68 | 7.83 | 3.54 |
| Salary of certified teachers | 48,530.00 | 4079.00 | 49,036.00 | 3686.00 | 49,590.00 | 3978.00 |
| Salary of other teachers | 20,373.00 | 4112.00 | 20,539.00 | 4021.00 | 21,036.00 | 4248.00 |
| Salary of administrators | 49,408.00 | 8566.00 | 49,656.00 | 9607.00 | 50,632.00 | 9588.00 |
| Salary of support staff | 21,043.00 | 5625.00 | 21,214.00 | 5493.00 | 21,829.00 | 6074.00 |
| Number of support instructors without bachelor’s degree | 12.13 | 5.22 | 12.15 | 5.16 | 12.06 | 5.12 |
| Percentage of instructors without bachelor’s degree | 0.86 | 1.06 | 0.99 | 1.22 | 1.04 | 1.25 |
| Percent of administrators without bachelor’s degree | 2.93 | 1.36 | 2.88 | 1.4 | 2.87 | 1.33 |
| Percent of Support Staff without bachelor’s degree | 33.3 | 8.8 | 33.22 | 8.5 | 32.93 | 8.72 |
| Percent of certified teachers with bachelor’s degree | 37.77 | 8.7 | 37.58 | 8.48 | 37.8 | 8.54 |
| Percent non-instruction teacher with bachelor’s degree | 2.56 | 3.73 | 2.61 | 3.33 | 2.38 | 2.65 |
| Percentage of uncertified teachers without bachelor’s degree | 2.12 | 2.22 | 2.03 | 1.97 | 1.92 | 1.8 |
| The percentage of Support Staff with bachelor’s degree | 42.93 | 9.3 | 42.78 | 8.7 | 42.74 | 8.96 |
| The percentage of certified teachers with a graduate degree | 14.84 | 7 | 15.16 | 6.91 | 15.37 | 6.82 |
| Percent of uncertified instructors with a graduate degree | 4.43 | 2.22 | 4.36 | 2.21 | 4.39 | 2.16 |
| Percent of administrators with a graduate degree | 3.33 | 1.34 | 3.29 | 1.27 | 3.35 | 1.32 |
| Percent of support staff with a graduate degree | 22.7 | 7.62 | 22.92 | 7.59 | 23.2 | 7.58 |
| Percent of support staff with specialized training | 0.7 | 1.09 | 0.7 | 1.15 | 0.71 | 1.2 |
| Years of experience as a certified teacher | 12.48 | 3.23 | 12.56 | 3.18 | 12.46 | 3.24 |
| Years of experience of other support staff | 10.04 | 4.26 | 9.98 | 4.32 | 9.99 | 4.55 |
| Years of experience of uncertified teachers | 15.79 | 5.56 | 15.64 | 5.47 | 15.66 | 5.72 |
| Years of experience as administrators | 17 | 5.56 | 16.93 | 5.67 | 16.64 | 5.55 |
| Years of experience support staff | 12.26 | 2.48 | 12.31 | 2.46 | 12.21 | 2.56 |
| Percent student attendance | 93.57 | 8.17 | 93.03 | 8.45 | 93.79 | 5.33 |
| Percent of classes with 21–26 students | 35.15 | 20.64 | 33.29 | 20.93 | 33.05 | 20.64 |
| Percent of classes with 27–33 students | 9.07 | 11.42 | 8.86 | 11.32 | 8.8 | 11.06 |
| Percent of classes with more than 34 students | 2.7 | 3.44 | 2.14 | 2.1 | 2.43 | 3.2 |
| School expulsion rate | 0.48 | 0.92 | 0.44 | 0.7 | 0.47 | 0.81 |
| Percentage of students retained | 3.59 | 2.85 | 3.33 | 2.85 | 3.33 | 2.85 |
| Percent truancy | 28.9 | 13.91 | 33.67 | 14.96 | 49.36 | 16.11 |
| Total number of students | 486.7 | 205.1 | 481.8 | 219.1 | 489.2 | 215.6 |
| Percentage of female students | 47.77 | 5.31 | 47.51 | 6.39 | 48.39 | 3.24 |
| Percent of fully proficient students | 96.82 | 5.59 | 96.24 | 6.5 | 96.27 | 6.64 |
| Percent of students with limited English proficiency | 3.25 | 5.51 | 3.52 | 5.96 | 3.87 | 6.57 |
| Percent of minority students | 53.27 | 29.85 | 55.95 | 28.8 | 58.06 | 29.35 |
| The median age in the population | 36.49 | 2.39 | 36.42 | 2.32 | 36.44 | 2.41 |
| Size of the population | 170,995.00 | 140,173.00 | 169,249.00 | 138,958.00 | 171,784.00 | 140,807.00 |
| Dwelling median value | 139,167.00 | 38,976.00 | 138,039.00 | 38,840.00 | 138,188.00 | 37,209.00 |
| Percent of the population in poverty | 3.6 | 1 | 3.69 | 0.97 | 3.75 | 0.96 |
| Percent of the population with a degree | 86.04 | 5.3 | 86.07 | 5.33 | 86.01 | 5.25 |
| Combination schools system | ||||||
| School Performance Score | 87.45 | 23.25 | 88.75 | 22.35 | 78.51 | 19.11 |
| Salary expenditure per pupil ($) | 5887.00 | 2503.00 | 6027.00 | 3083.00 | 6051.00 | 2860.00 |
| Current expenditure per pupil ($) | 12,043.00 | 6220.00 | 12,529.00 | 8736.00 | 12,014.00 | 2748.00 |
| Full-time equivalent certified teachers | 34.77 | 18.1 | 35.03 | 18.81 | 34.31 | 16.48 |
| Full-time equivalent other instructors | 6.68 | 4.66 | 6.53 | 4.7 | 6.52 | 4.56 |
| Full-time equivalent support staff | 4 | 3.14 | 4.32 | 3.85 | 4.05 | 3.27 |
| Full-time equivalent administrative staff | 4.53 | 2.45 | 4.6 | 2.4 | 4.56 | 2.55 |
| Full-time equivalent transportation services | 5.63 | 3.41 | 5.44 | 3.35 | 5.37 | 3.33 |
| Full-time equivalent other staff | 8.87 | 4.41 | 8.74 | 4.21 | 8.29 | 4.02 |
| Salary of certified teachers | 49,649.00 | 4694.00 | 49,790.00 | 4349.00 | 50,341.00 | 5140.00 |
| Salary of other teachers | 21,756.00 | 6325.00 | 21,925.00 | 6418.00 | 21,297.00 | 6499.00 |
| Salary of administrators | 47,902.00 | 11,992.00 | 49,319.00 | 9795.00 | 50,047.00 | 12,726.00 |
| Salary of support staff | 22,032.00 | 9419.00 | 22,707.00 | 10,844.00 | 22,311.00 | 9420.00 |
| Number of support instructors without bachelor’s degree | 9.03 | 5.15 | 8.74 | 5.6 | 9.11 | 5.24 |
| Percentage of instructors without bachelor’s degree | 0.97 | 1.53 | 1.03 | 1.44 | 1.12 | 1.61 |
| Percent of administrators without bachelor’s degree | 3.11 | 1.37 | 3.27 | 1.43 | 3.31 | 2.1 |
| Percent of Support Staff without bachelor’s degree | 34.17 | 10.61 | 33.69 | 9.53 | 33.91 | 10.15 |
| Percent of certified teachers with bachelor’s degree | 36.54 | 8.94 | 36.32 | 8.65 | 36.94 | 8.58 |
| Percent non-instructional teachers with bachelor’s degree | 1.78 | 2.98 | 1.79 | 3.41 | 1.56 | 2.45 |
| Percentage of uncertified teachers without bachelor’s degree | 1.91 | 1.68 | 2.03 | 1.81 | 2 | 1.82 |
| Percent of Support Staff with bachelor’s degree | 40.44 | 8.62 | 40.67 | 7.79 | 40.63 | 8.86 |
| The percentage of certified teachers with a graduate degree | 17.35 | 11.1 | 17.06 | 7.99 | 16.94 | 8.44 |
| Percent of uncertified instructors with a graduate degree | 3.49 | 2.22 | 3.5 | 2.05 | 3.47 | 1.96 |
| Percent of administrators with a graduate degree | 3.46 | 1.35 | 3.57 | 1.37 | 3.73 | 1.7 |
| Percent of support staff with a graduate degree | 24.46 | 11.52 | 24.43 | 9.43 | 24.3 | 9.86 |
| Percent of support staff with specialized training | 0.62 | 0.98 | 0.69 | 1.11 | 0.83 | 1.71 |
| Years of experience as a certified teacher | 13.61 | 3.32 | 13.68 | 3.2 | 13.92 | 3.87 |
| Years of experience of other support staff | 10.64 | 4.65 | 11.06 | 4.66 | 10.74 | 4.62 |
| Years of experience of uncertified teachers | 15.94 | 7.04 | 16.27 | 7.03 | 17.02 | 7.49 |
| Years of experience as administrators | 17.1 | 4.85 | 16.34 | 5.21 | 17.21 | 5.28 |
| Years of experience of support staff | 13.1 | 2.78 | 13.07 | 2.46 | 13.44 | 2.84 |
| Percent student attendance | 92.42 | 7.83 | 91.78 | 8.12 | 93.08 | 2.94 |
| Percent of classes with 21–26 students | 15.63 | 10.64 | 16.53 | 11.26 | 16.73 | 10.87 |
| Percent of classes with 27–33 students | 7.82 | 8.24 | 7.4 | 7.98 | 7.87 | 9.35 |
| Percent of classes with more than 34 students | 2.07 | 2.72 | 2.06 | 4.79 | 2.49 | 5.41 |
| School expulsion rate | 0.64 | 1.15 | 0.67 | 1.47 | 0.7 | 1.66 |
| Percentage of students retained | 5.27 | 8.15 | 4.21 | 6.78 | 3.85 | 5.1 |
| Percent truancy | 26.96 | 14.97 | 33.73 | 17 | 53.69 | 16.63 |
| Total number of students | 499.2 | 285.8 | 525.3 | 351.1 | 510.4 | 326 |
| Percentage of female students | 46.67 | 8.34 | 47.17 | 7.1 | 47.52 | 6.51 |
| Percent of fully proficient students | 98.09 | 11.09 | 98.78 | 6.56 | 99.21 | 1.33 |
| Percent of students with limited English proficiency | 0.91 | 0.97 | 0.99 | 1.07 | 1.08 | 1.2 |
| Percent of minority students | 40.39 | 30.53 | 40.95 | 29.53 | 41.19 | 29.64 |
| The median age in the population | 37.47 | 3.32 | 37.49 | 3.25 | 37.54 | 3.26 |
| Size of the population | 89,843.00 | 115,074.00 | 84,773.00 | 115,033.00 | 79,577.00 | 110,879.00 |
| Dwelling median value | 113,667.00 | 35,055.00 | 110,891.00 | 32,344.00 | 108,294.00 | 31,221.00 |
| Percent of the population in poverty | 4.05 | 1.1 | 4.12 | 1.03 | 4.21 | 1.06 |
| Percent of the population with a degree | 88.93 | 4.1 | 89.36 | 4.03 | 89.33 | 3.8 |
| High schools system | ||||||
| School performance score | 89.65 | 20.68 | 90.17 | 23.64 | 80.29 | 21.14 |
| Salary expenditure per pupil ($) | 5423.00 | 1961.00 | 5595.00 | 2146.00 | 5737.00 | 2376.00 |
| Current expenditure per pupil ($) | 11,321.00 | 2540.00 | 11,557.00 | 2510.00 | 12,018.00 | 2724.00 |
| Full-time equivalent certified teachers | 53.4 | 29.58 | 54.24 | 31.22 | 56.04 | 30.33 |
| Full-time equivalent other instructors | 9.28 | 8.09 | 9.05 | 8.11 | 8.56 | 5.94 |
| Full-time Equivalent Support Staff | 6.84 | 4.52 | 6.91 | 4.33 | 7.03 | 4.65 |
| Full-time equivalent administrative staff | 7 | 3.5 | 6.96 | 3.53 | 7.21 | 3.7 |
| Full-time equivalent transportation services | 6.25 | 7 | 6.08 | 6.32 | 5.91 | 6.52 |
| Full-time equivalent other staff | 12.42 | 6.33 | 11.97 | 6.33 | 12.15 | 6.12 |
| Salary of certified teachers | 50,847.00 | 4171.00 | 51,111.00 | 3757.00 | 51,634.00 | 4203.00 |
| Salary of other teachers | 23,277.00 | 8017.00 | 24,138.00 | 11,237.00 | 24,273.00 | 9258.00 |
| Salary of administrators | 50,680.00 | 10,211.00 | 52,632.00 | 9440.00 | 54,377.00 | 11,818.00 |
| Salary of support staff | 21,891.00 | 8351.00 | 22,893.00 | 9232.00 | 22,990.00 | 7072.00 |
| Number of support instructors without bachelor’s degree | 6.62 | 3.3 | 6.83 | 3.39 | 6.9 | 3.09 |
| Percentage of instructors without bachelor’s degree | 1.08 | 1.25 | 1.08 | 1.2 | 1.09 | 1.19 |
| Percent of administrators without bachelor’s degree | 3.39 | 1.65 | 3.31 | 1.8 | 3.25 | 1.75 |
| Percent of Support Staff without bachelor’s degree | 29.24 | 9.57 | 29.05 | 10.1 | 28.62 | 9.95 |
| Percent of certified teachers with bachelor’s degree | 34.25 | 9.01 | 33.9 | 9.72 | 35.3 | 8.02 |
| Percent noninstructional teacher with a bachelor’s degree | 3.79 | 7.85 | 3.43 | 7.25 | 2.35 | 3.1 |
| Percentage of uncertified teachers without bachelor’s degree | 1.87 | 2.03 | 1.93 | 2.12 | 1.72 | 2.11 |
| Percent of Support Staff with bachelor’s degree | 40.27 | 8.76 | 39.93 | 9.16 | 40.15 | 9.16 |
| Percentage of certified teachers with a graduate degree | 20.16 | 7.19 | 20.43 | 7.91 | 20.46 | 7.59 |
| Percent of uncertified instructors with a graduate degree | 4.35 | 2.11 | 4.43 | 2.08 | 4.66 | 2.29 |
| Percent of administrators with a graduate degree | 3.55 | 1.37 | 3.51 | 1.41 | 3.73 | 1.47 |
| Percent of support staff with a graduate degree | 28.72 | 7.39 | 29.19 | 8.13 | 29.25 | 8.3 |
| Percent of support staff with specialized training | 0.6 | 0.83 | 0.63 | 0.9 | 0.61 | 0.88 |
| Years of experience as a certified teacher | 13.08 | 3.35 | 12.79 | 3.6 | 12.62 | 3.45 |
| Years of experience of other support staff | 10.28 | 4.01 | 10.61 | 4.72 | 10.66 | 5.04 |
| Years of experience of uncertified teachers | 17.06 | 5.7 | 16.65 | 6.03 | 16.45 | 6.02 |
| Years of experience as administrators | 17.56 | 5.44 | 17.17 | 5.33 | 16.76 | 5.29 |
| Years of experience support staff | 12.85 | 2.82 | 12.71 | 2.99 | 12.58 | 2.93 |
| Percent student attendance | 91.49 | 7.24 | 89.68 | 10.17 | 91 | 5.97 |
| Percent of classes with 21–26 students | 19.46 | 7.7 | 19.85 | 8.69 | 19.47 | 7.79 |
| Percent of classes with 27–33 students | 14.29 | 9.6 | 13.04 | 9.7 | 13.44 | 9.15 |
| Percent of classes with more than 34 students | 4.52 | 8.58 | 3 | 4.09 | 2.52 | 3.31 |
| School expulsion rate | 0.94 | 1.1 | 0.88 | 1.07 | 1.05 | 1.34 |
| Percentage of students retained | 6.62 | 8.08 | 6.09 | 8.46 | 5.93 | 8.93 |
| Percent truancy | 34.71 | 18.3 | 40.44 | 21.29 | 57.32 | 20.97 |
| Total number of students | 868.4 | 516.5 | 862.8 | 532.5 | 878 | 524 |
| Percentage of female students | 49.48 | 6.7 | 49.15 | 5.55 | 49.35 | 4.85 |
| Percent of fully proficient students | 97.33 | 7.72 | 97.84 | 4.24 | 97.45 | 4.69 |
| Percent of students with limited English proficiency | 2.04 | 3.79 | 2.2 | 4.2 | 2.69 | 4.63 |
| Percent of minority students | 53.55 | 28.77 | 56.65 | 27.51 | 59.15 | 28.53 |
| The median age in the population | 36.58 | 2.34 | 36.39 | 2.22 | 36.4 | 2.29 |
| Size of the population | 175,890.00 | 150,065.00 | 186,035.00 | 152,461.00 | 184,862.00 | 150,594.00 |
| Dwelling median value | 136,150.00 | 40,501.00 | 138,381.00 | 41,289.00 | 137,832.00 | 39,231.00 |
| Percent of the population in poverty | 3.74 | 1.12 | 3.82 | 1.01 | 3.87 | 1.02 |
| Percent of the population with a degree | 86.14 | 5.41 | 85.54 | 5.77 | 85.63 | 5.56 |
Appendix B. Proportion Data Points on Cluster Boundaries and Their Distributions for the Combination and High Schools Systems


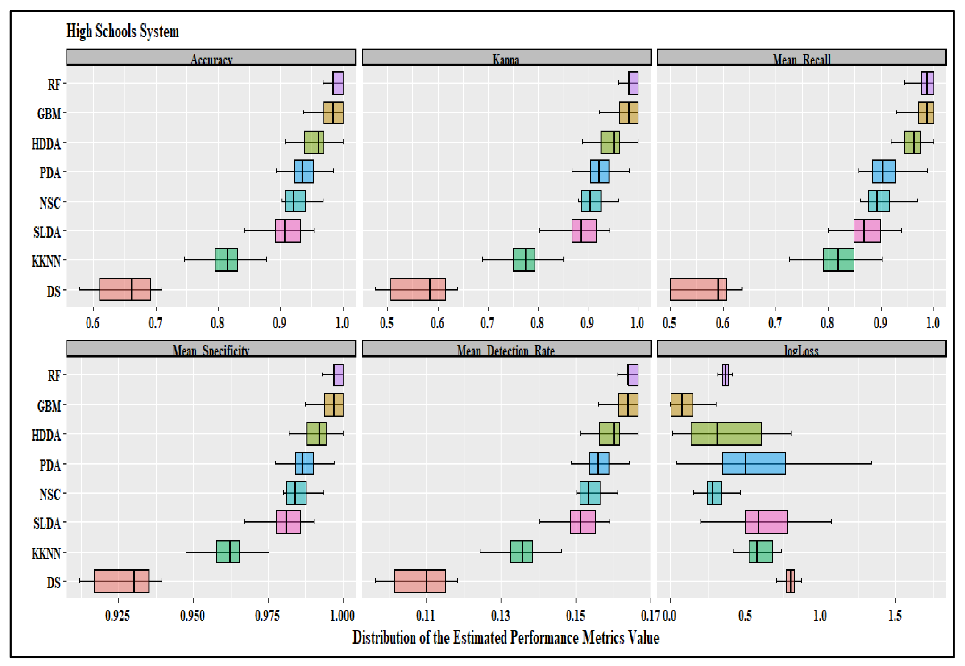
Appendix C. Distribution of Performance Metrics of the Machine Learning Models



Appendix D. Important Features at the School Level








References
- Kaufman, I.; Rousseeuw, P.J. Finding Groups in Data an Introduction to Cluster Analysis; John Wiley & Sons: Hoboken, NY, USA, 1990. [Google Scholar]
- Stanard, R.P. High school graduation rates in the United States: Implications for the counseling profession. J. Couns. Dev. 2003, 81, 217–221. [Google Scholar] [CrossRef]
- Rumberger, R.W. High school dropouts in the United States. In School Dropout and Completion: International Comparative Studies in Theory and Policy; Springer: Dordrecht, The Netherlands, 2011; pp. 275–294. [Google Scholar]
- Kirst, M.; Myburg, A.A.; De León, J.P.; Kirst, M.E.; Scott, J.; Sederoff, R. Coordinated genetic regulation of growth and lignin revealed by quantitative trait locus analysis of cDNA microarray data in an interspecific backcross of eucalyptus. Plant Physiol. 2004, 135, 2368–2378. [Google Scholar] [CrossRef] [PubMed]
- Christle, C.A.; Jolivette, K.; Nelson, C.M. School characteristics related to high school dropout rates. Remedial Spec. Educ. 2007, 28, 325–339. [Google Scholar] [CrossRef]
- World Economic Forum Report. The Future of Jobs Reports, World Economic Forum, Geneva. 2020. Available online: https://www.weforum.org/reports/the-future-of-jobs-report-2020 (accessed on 17 October 2022).
- Ho, A.D.; Lewis, D.M.; MacGregor Farris, J.L. The dependence on the growth-model results in proficiency cut scores. Educ. Meas. Issues Pract. 2009, 28, 15–26. [Google Scholar] [CrossRef]
- Yeagley, R. Separating Growth from Value Added. Sch. Adm. 2007, 64, 18. [Google Scholar]
- McCaffrey, D.F.; Lockwood, J.R.; Koretz, D.; Louis, T.A.; Hamilton, L. Models for value-added modeling of teacher effects. J. Educ. Behav. Stat. 2004, 29, 67–101. [Google Scholar] [CrossRef]
- Ryser, G.R.; Rambo-Hernandez, K.E. Using growth models to measure school performance: Implications for gifted learners. Gift. Child Today 2014, 37, 17–23. [Google Scholar] [CrossRef]
- Wang, Y.; Huang, H.; Rudin, C.; Shaposhnik, Y. Understanding how dimension reduction tools work: An empirical approach to deciphering t-SNE, UMAP, TriMap, and PaCMAP. J. Mach. Learn. Res. 2021, 22, 1–73. [Google Scholar]
- Liu, Y.; Li, Z.; Xiong, H.; Gao, X.; Wu, J. Understanding of internal clustering validation measures. In Proceedings of the 2010 IEEE International Conference on Data Mining, Sydney, Australia, 13–17 December 2010; IEEE: New York, NY, USA, 2010; pp. 911–916. [Google Scholar]
- Aly, M. Survey on multiclass classification methods. Neural Netw. 2005, 19, 1–9. [Google Scholar]
- Gentleman, R.; Carey, V.J. Unsupervised machine learning. In Bioconductor Case Studies; Springer: New York, NY, USA, 2008; pp. 137–157. [Google Scholar]
- Olden, J.D.; Joy, M.K.; Death, R.G. An accurate comparison of methods for quantifying variable importance in artificial neural networks using simulated data. Ecol. Model. 2004, 178, 389–397. [Google Scholar] [CrossRef]
- Bae, E.; Bailey, J.; Dong, G. A clustering comparison measure using density profiles and its application to discovering alternate clusterings. Data Min. Knowl. Discov. 2010, 21, 427–471. [Google Scholar] [CrossRef]
- Ferraro, M.B.; Giordani, P.; Serafini, A. fclust: An R Package for Fuzzy Clustering. R J. 2019, 11, 198. [Google Scholar] [CrossRef]
- Van der Maaten, L.; Hinton, G. Visualizing data using t-sne. J. Mach. Learn. Res. 2008, 9, 2579–2605. [Google Scholar]
- Van der Maaten, L.; Weinberger, K. Stochastic triplet embedding. In Proceedings of the 2012 IEEE International Workshop on Machine Learning for Signal Processing, Santander, Spain, 23–26 September 2012; IEEE: New York, NY, USA, 2012; pp. 1–6. [Google Scholar]
- McInnes, L.; Healy, J.; Melville, J. Umap: Uniform manifold approximation and projection for dimension reduction. arXiv 2018, arXiv:1802.03426. [Google Scholar]
- Amid, E.; Warmuth, M.K. A more globally accurate dimensionality reduction method using triplets. arXiv 2018, arXiv:1803.00854. [Google Scholar]
- Becht, E.; McInnes, L.; Healy, J.; Dutertre, C.-A.; Kwok, I.W.H.; Ng, L.G.; Ginhoux, F.; Newell, E.W. Dimensionality reduction for visualizing single-cell data using UMAP. Nat. Biotechnol. 2019, 37, 38–44. [Google Scholar] [CrossRef]
- Lawson, R.G.; Jurs, P.C. New index for clustering tendency and its application to chemical problems. J. Chem. Inf. Comput. Sci. 1990, 30, 36–41. [Google Scholar] [CrossRef]
- Handl, J.; Knowles, K.; Kell, D. Computational cluster validation in post-genomic data analysis. Bioinformatics 2005, 21, 3201–3212. [Google Scholar] [CrossRef]
- Liu, Y.; Li, Z.; Xiong, H.; Gao, X.; Wu, J.; Wu, S. Understanding and enhancement of internal clustering validation measures. IEEE Trans. Cybern. 2013, 43, 982–994. [Google Scholar]
- Louisiana Department of Education. Bulletin 111: The Louisiana School, District, and State Accountability. 2008. Available online: http://www.doa.louisiana.gov/osr/lac/28v83/28v83.doc (accessed on 17 October 2022).
- Louisiana Department of Education. Accountability. 2009. Available online: http://www.doe.state.la.us/lde/portals/accountabilitv.html (accessed on 17 October 2022).
- Louisiana Department of Education. School Performance Scores and School Profiles. 2021. Available online: https://www.louisianabelieves.com/docs/default-source/accountability/2019-2020-sps-updates.pdf?sfvrsn=7eab6618_2 (accessed on 17 October 2022).
- Adelson, J.L.; Dickinson, E.R.; Cunningham, B.C. A multigrade, multiyear statewide examination of reading achievement: Examining variability between districts, schools, and students. Educ. Res. 2016, 45, 258–262. [Google Scholar] [CrossRef]
- Nejatian, S.; Parvin, H.; Faraji, E. Using sub-sampling and ensemble clustering techniques to improve the performance of imbalanced classification. Neurocomputing 2018, 276, 55–66. [Google Scholar] [CrossRef]
- Agrawal, R.; Gehrke, J.; Gunopulos, D.; Raghavan, P. Automatic subspace clustering of high dimensional data. Data Min. Knowl. Discov. 2005, 11, 5–33. [Google Scholar] [CrossRef]
- Molchanov, V.; Linsen, L. Overcoming the curse of dimensionality when clustering multivariate volume data. In Proceedings of the VISIGRAPP (3: IVAPP), Funchal, Maderia, Portugal, 27–29 January 2018; pp. 29–39. [Google Scholar]
- Lloyd, S.P. Last square quantization in PCM. Bell Teleph. Lab. Pap. 1982, 28, 129–137. [Google Scholar]
- MacQueen, J. Classification and analysis of multivariate observations. In Proceedings of the 5th Berkeley Symposium on Mathematical Statistics and Probability, Berkeley, CA, USA, 21 June–18 July 1965 and 27 December 1965–January 7 1966; Volume 1: Statistics, pp. 281–297. [Google Scholar]
- Ruspini, E.H. Numerical methods for fuzzy clustering. Inf. Sci. 1970, 2, 319–350. [Google Scholar] [CrossRef]
- Duja, S.B.U.; Niu, B.; Ahmed, B.; Umar, M.; Amjad, M.; Ali, U.; Ur, Z.; Hussain, W. A proposed method to solve cold start problem using fuzzy user-based clustering. Int. J. Adv. Comput. Sci. Appl. 2020, 11, 529–536. [Google Scholar] [CrossRef]
- Bezdek, J.C. Cluster validity with fuzzy sets. J. Cybern. 1974, 3, 58–73. [Google Scholar] [CrossRef]
- Dunn, J.C. Well-separated clusters and optimal fuzzy partitions. J. Cybern. 1974, 4, 95–104. [Google Scholar]
- Mojarad, M.; Nejatian, S.; Parvin, H.; Mohammadpoor, M. A fuzzy clustering ensemble based on cluster clustering and iterative Fusion of base clusters. Appl. Intell. 2019, 49, 2567–2581. [Google Scholar] [CrossRef]
- Xue, M.; Zhou, L.; Kojima, N.; Dos Muchangos, L.S.; Machimura, T.; Tokai, A. Application of fuzzy c-means clustering to PRTR chemicals uncovering their release and toxicity characteristics. Sci. Total Environ. 2018, 622, 861–868. [Google Scholar] [CrossRef]
- Wang, H.; Fei, B. A modified fuzzy C-means classification method using a multiscale diffusion filtering scheme. Med. Image Anal. 2009, 13, 193–202. [Google Scholar] [CrossRef]
- Bahght, S.F.; Aljahdali, S.; Zanaty, E.A.; Ghiduk, A.S.; Afifi, A. A new validity index for fuzzy C-means for automatic medical image clustering. Int. J. Comput. Appl. 2012, 38, 1–8. [Google Scholar]
- Chao, R.J.; Chen, Y.H. Evaluation of the criteria and effectiveness of distance e-learning with consistent fuzzy preference relations. Expert Syst. Appl. 2009, 36, 10657–10662. [Google Scholar] [CrossRef]
- Chang, T.Y.; Chen, Y.T. Cooperative learning in E-learning: A peer assessment of student-centered using consistent fuzzy preference. Expert Syst. Appl. 2009, 36, 8342–8349. [Google Scholar] [CrossRef]
- Daniel, E.; Hofmann-Towfigh, N.; Knafo, A. School values across three cultures: A typology and interrelations. SAGE Open 2013, 3, 2158244013482469. [Google Scholar] [CrossRef]
- Sabitha, A.S.; Mehrotra, D.; Bansal, A. Delivery of learning knowledge objects using fuzzy clustering. Educ. Inf. Technol. 2016, 21, 1329–1349. [Google Scholar] [CrossRef]
- Hogo, M.A. Evaluation of e-learning systems based on fuzzy clustering models and statistical tools. Expert Syst. Appl. 2010, 37, 6891–6903. [Google Scholar] [CrossRef]
- Pechenizkiy, M.; Calders, T.; Vasilyeva, E.; De Bra, P. Mining the student assessment data: Lessons drawn from a small scale case study. In Proceedings of the Educational Data Mining 2008, The 1st International Conference on Educational Data Mining, Montreal, QC, Canada, 20–21 June 2008. [Google Scholar]
- Kabakchieva, D. Student performance prediction by using data mining classification algorithms. Int. J. Comput. Sci. Manag. Res. 2012, 1, 686–690. [Google Scholar]
- Yadav, R.S.; Singh, V.P. Modeling academic performance evaluation using fuzzy c-means clustering techniques. Int. J. Comput. Appl. 2012, 60, 16–23. [Google Scholar]
- Unlu, A.; Schurig, M. Computational Typologies of Multidimensional End-of-Primary-School Performance Profiles from an Educational Perspective of Large-Scale TIMSS and PIRLS Surveys. Curr. Issues Comp. Educ. 2015, 18, 6–25. [Google Scholar]
- Askari, S. Fuzzy C-Means clustering algorithm for data with unequal cluster sizes and contaminated with noise and outliers: Review and development. Expert Syst. Appl. 2021, 165, 113856. [Google Scholar] [CrossRef]
- Hinton, G.E.; Roweis, S. Stochastic neighbor embedding. In Advances in Neural Information Processing Systems 15, Proceedings of the Neural Information Processing Systems (NIPS 2002), Vancouver, BC, Canada, 9–14 December 2002; The MIT Press: Cambridge, MA, USA, 2002; pp. 15857–15864. [Google Scholar]
- Van Der Maaten, L. Accelerating t-SNE using tree-based algorithms. J. Mach. Learn. Res. 2014, 15, 3221–3245. [Google Scholar]
- Du, X.; Yang, J.; Hung, J.L. An Integrated Framework Based on Latent Variational Autoencoder for Providing Early Warning of At-Risk Students. IEEE Access 2020, 8, 10110–10122. [Google Scholar] [CrossRef]
- Baron, T.; Grossman, R.I.; Abramson, S.B.; Pusic, M.V.; Rivera, R.; Triola, M.M.; Yanai, I. Signatures of medical student applicants and academic success. PLoS ONE 2020, 15, e0227108. [Google Scholar] [CrossRef]
- Asim, M.; Shamshad, F.; Awais, M.; Ahmed, A. Introducing Data mining for Predicting trends in School Education of Pakistan: Preliminary results and future directions. In Proceedings of the Ninth International Conference on Information and Communication Technologies and Development, Lahore, Pakistan, 16–19 November 2017; pp. 1–5. [Google Scholar]
- Czibula, G.; Ciubotariu, G.; Maier, M.I.; Lisei, H. IntelliDaM: A Machine Learning-Based Framework for Enhancing the Performance of Decision-Making Processes. A Case Study for Educational Data Mining. IEEE Access 2022, 10, 80651–80666. [Google Scholar]
- Linderman, G.C.; Steinerberger, S. Clustering with t-SNE, provably. SIAM J. Math. Data Sci. 2019, 1, 313–332. [Google Scholar] [CrossRef]
- Linderman, G.C.; Rachh, M.; Hoskins, J.G.; Steinerberger, S.; Kluger, Y. Fast interpolation-based t-SNE for improved visualization of single-cell RNA-seq data. Nat. Methods 2019, 16, 243–245. [Google Scholar] [CrossRef]
- Bolukbasi, T.; Pearce, A.; Yuan, A.; Coenen, A.; Reif, E.; Viégas, F.; Wattenberg, M. An interpretability illusion for bert. arXiv 2021, arXiv:2104.07143. [Google Scholar] [CrossRef]
- Nolet, C.J.; Lafargue, V.; Raff, E.; Nanditale, T.; Oates, T.; Zedlewski, J.; Patterson, J. Bringing UMAP closer to the speed of light with GPU acceleration. In Proceedings of the AAAI Conference on Artificial Intelligence, Virtual, 2–9 February 2021; Volume 35, pp. 418–426. [Google Scholar]
- Amid, E.; Warmuth, M.K. TriMap: Large-scale dimensionality reduction using triplets. arXiv 2019, arXiv:1910.00204. [Google Scholar] [CrossRef]
- Kiefer, A.; Rahman, M. An Analytical Survey on Recent Trends in High Dimensional Data Visualization. arXiv 2021, arXiv:2107.01887. [Google Scholar] [CrossRef]
- Huang, H.; Wang, Y.; Rudin, C.; Browne, E.P. Towards a comprehensive evaluation of dimension reduction methods for transcriptomic data visualization. Commun. Biol. 2022, 5, 1–11. [Google Scholar] [CrossRef]
- Hu, Y.; Hathaway, R.J. An algorithm for clustering tendency assessment. WSEAS Trans. Math. 2008, 7, 441–450. [Google Scholar]
- Yuan, C.; Yang, H. Research on the K-value selection method of the K-means clustering algorithm. R J. 2019, 2, 226–235. [Google Scholar] [CrossRef]
- Rousseeuw, P.J. Silhouettes: A graphical aid to the interpretation and validation of cluster analysis. J. Comput. Appl. Math. 1987, 20, 53–65. [Google Scholar] [CrossRef]
- Kassambara, A.; Mundt, F. Package Factoextra. Extract and Visualize the Results of Multivariate Data Analyses: R Package Version 1.0.7; Foundation for Statistical Computing: Vienna, Austria, 2017. [Google Scholar]
- Charrad, M.; Ghazzali, N.; Boiteau, V.; Niknafs, A. NbClust: An R package for determining the relevant number of clusters in a data set. J. Stat. Softw. 2014, 61, 1–36. [Google Scholar] [CrossRef]
- Maulik, U.; Bandyopadhyay, S. Performance evaluation of some clustering algorithms and validity indices. IEEE Trans. Pattern Anal. Mach. Intell. 2002, 24, 1650–1654. [Google Scholar] [CrossRef]
- Tasdemir, K.; Merényi, E. A validity index for prototype-based clustering of data sets with complex cluster structures. IEEE Trans. Syst. Man Cybern. Part B (Cybern.) 2011, 41, 1039–1053. [Google Scholar] [CrossRef]
- Kim, Y.I.; Kim, D.W.; Lee, D.; Lee, K.H. A cluster validation index for GK cluster analysis based on the relative degree of sharing. Inf. Sci. 2004, 168, 225–242. [Google Scholar] [CrossRef]
- Van, C.T.; Blockeel, H. Using internal validity measures to compare clustering algorithms. In Proceedings of the Benelearn 2015 Poster Presentations, Online, 19 June 2015; pp. 1–8. [Google Scholar]
- Tibshirani, R.; Hastie, T.; Narasimhan, B.; Chu, G. Diagnosis of multiple cancer types by shrunken centroids of gene expression. Proc. Natl. Acad. Sci. USA 2002, 99, 6567–6572. [Google Scholar] [CrossRef]
- Ancarani, A.; Di Mauro, C.; Legenvre, H.; Cardella, M.S. Internet of things adoption typology of projects. Int. J. Oper. Prod. Manag. 2020, 40, 849–872. [Google Scholar] [CrossRef]
- Wu, S.; Chow, T.W. Clustering of the self-organizing map using a clustering validity index based on inter-cluster and intra-cluster density. Pattern Recognit. 2004, 37, 175–188. [Google Scholar] [CrossRef]
- de Prado, M.L. Machine Learning for Econometricians: The Readme Manual. J. Financ. Data Sci. 2022, 4, 10–30. [Google Scholar] [CrossRef]
- Kuhn, M. Caret: Classification and Regression Training; Astrophysics Source Code Library; R Foundation of the Statistical Computing: Vienna, Austria, 2015; p. ascl-1505. [Google Scholar]
- Hastie, T.; Tibshirani, R. Classification by pairwise coupling. In Advances in Neural Information Processing Systems 10, Proceedings of the NIPS Conference, Denver, CO, USA, 8 July 1997; The MIT Press: Cambridge, MA, USA, 1998; pp. 507–513. [Google Scholar]
- Li, T.; Zhu, S.; Ogihara, M. Efficient multi-way text categorization via generalized discriminant analysis. In Proceedings of the Twelfth International Conference on Information and Knowledge Management, New Orleans, LA, USA, 3–8 November 2003; IEEE: New York, NY, USA, 2003; pp. 317–324. [Google Scholar]
- Lee, Y.; Lee, C.K. Classification of multiple cancer types by multicategory support vector machines using gene expression data. Bioinformatics 2003, 19, 1132–1139. [Google Scholar] [CrossRef] [PubMed]
- Li, T.; Zhu, S.; Ogihara, M. Using discriminant analysis for multi-class classification. In Proceedings of the Third IEEE International Conference on Data Mining, Melbourne, FL, USA, 22 November 2003; IEEE Computer Society: Washington, DC, USA, 2003; p. 589. [Google Scholar]
- Izenman, A.J. Linear discriminant analysis. In Modern Multivariate Statistical Techniques; Springer: New York, NY, USA, 2013; pp. 237–280. [Google Scholar]
- Bouveyron, C.; Girard, S.; Schmid, C. High-dimensional data clustering. Comput. Stat. Data Anal. 2007, 52, 502–519. [Google Scholar] [CrossRef]
- Guo, Y.; Hastie, T.; Tibshirani, R. Regularized linear discriminant analysis and its application in microarrays. Biostatistics 2007, 8, 86–100. [Google Scholar] [CrossRef] [PubMed]
- Buhrman, H.; De Wolf, R. Complexity measures and decision tree complexity: A survey. Theor. Comput. Sci. 2002, 288, 21–43. [Google Scholar] [CrossRef]
- Ho, T.K. The random subspace method for constructing decision forests. IEEE Trans. Pattern Anal. Mach. Intell. 1998, 20, 832–844. [Google Scholar]
- Lin, Y.; Jeon, Y. Random forests and adaptive nearest neighbors. J. Am. Stat. Assoc. 2006, 101, 578–590. [Google Scholar] [CrossRef]
- Friedman, J.H. Greedy function approximation: A gradient boosting machine. Ann. Stat. 2001, 29, 1189–1232. [Google Scholar] [CrossRef]
- Kotsiantis, S.B. Decision trees: A recent overview. Artif. Intell. Rev. 2013, 39, 261–283. [Google Scholar] [CrossRef]
- Ding, C.; Cao, X.J.; Næss, P. Applying gradient boosting decision trees to examine nonlinear effects of the built environment on driving distance in Oslo. Transp. Res. Part A Policy Pract. 2018, 110, 107–117. [Google Scholar] [CrossRef]
- Koklu, M.; Ozkan, I.A. Multiclass classification of dry beans using computer vision and machine learning techniques. Comput. Electron. Agric. 2020, 174, 105507. [Google Scholar] [CrossRef]
- Zhang, S.; Li, X.; Zong, M.; Zhu, X.; Wang, R. Efficient kNN classification with different numbers of nearest neighbors. IEEE Trans. Neural Netw. Learn. Syst. 2017, 29, 1774–1785. [Google Scholar] [CrossRef]
- Wang, S.; Zhu, J. Improved centroid estimation for the nearest shrunken centroid classifier. Bioinformatics 2007, 23, 972–979. [Google Scholar] [CrossRef]
- Salmon, B.P.; Kleynhans, W.; Schwegmann, C.P.; Olivier, J.C. Proper comparison among methods using a confusion matrix. In Proceedings of the 2015 IEEE International Geoscience and Remote Sensing Symposium, Milan, Italy, 26–31 July 2015; IEEE: New York, NY, USA, 2015; pp. 3057–3060. [Google Scholar]
- Brodersen, K.H.; Ong, C.S.; Stephan, K.E.; Buhmann, J.M. The balanced accuracy and its posterior distribution. In Proceedings of the 2010 20th International Conference on Pattern Recognition, Istanbul, Turkey, 23–26 August 2010; IEEE Computer Society: Washington, DC, USA, 2010; pp. 3121–3124. [Google Scholar]
- Sasikala, B.S.; Biju, V.G.; Prashanth, C.M. Kappa and accuracy evaluations of machine learning classifiers. In Proceedings of the 2017 2nd IEEE International Conference on Recent Trends in Electronics, Information & Communication Technology (RTEICT), Bangalore, India, 19–20 May 2017; IEEE: Piscataway, NJ, USA, 2017; pp. 20–23. [Google Scholar]
- Grandini, M.; Bagli, E.; Visani, G. Metrics for multiclass classification: An overview. arXiv 2020, arXiv:2008.05756. [Google Scholar]
- Fushiki, T. Estimation of prediction error by using K-fold cross-validation. Stat. Comput. 2011, 21, 137–146. [Google Scholar] [CrossRef]
- Jordan, M.I.; Kearns, M.J.; Solla, S.A. (Eds.) Selecting weighting factors in logarithmic opinion pools. In Advances in Neural Information Processing Systems 10, Proceedings of the 1997 NIPS Conference, Denver, CO, USA, 1–6 December 1997; MIT Press: Cambridge, MA, USA, 1998; Volume 10, p. 10. [Google Scholar]
- Scholbeck, C.A.; Molnar, C.; Heumann, C.; Bischl, B.; Casalicchio, G. Sampling, intervention, prediction, aggregation: A generalized framework for model-agnostic interpretations. In Proceedings of the Joint European Conference on Machine Learning and Knowledge Discovery in Databases, Würzburg, Germany, 16–20 September 2019; Springer: Cham, Switzerland, 2019; pp. 205–216. [Google Scholar]
- Grömping, U. Variable importance assessment in regression: Linear regression versus random forest. Am. Stat. 2009, 63, 308–319. [Google Scholar] [CrossRef]
- Borman, G.D.; Rachuba, L.T. Academic Success among Poor and Minority Students: An Analysis of Competing Models of School Effects. 2001. Available online: https://eric.ed.gov/?id=ED451281 (accessed on 17 October 2022).
- Tajalli, H.; Opheim, C. Strategies for Closing the Gap: Predicting Student Performance in Economically Disadvantaged Schools. Educ. Res. Q. 2005, 28, 44–54. [Google Scholar]
- Allen, J.; Sconing, J. Using ACT Assessment Scores to Set Benchmarks for College Readiness; American College Testing (ACT), Inc.: Iowa City, IA, USA, 2005. [Google Scholar]
- Marra, G.; Wood, S.N. Practical variable selection for generalized additive models. Comput. Stat. Data Anal. 2011, 55, 2372–2387. [Google Scholar] [CrossRef]
- Darling-Hammond, L.; Berry, B.; Thoreson, A. Does teacher certification matter? Evaluating the evidence. Educ. Eval. Policy Anal. 2001, 23, 57–77. [Google Scholar] [CrossRef]
- Alexander, C.; Fuller, E. Does teacher certification matter? Teacher certification and middle school mathematics achievement in Texas. In Proceedings of the Annual Meeting of the American Educational Research Association, San Diego, CA, USA, 12–16 April 2004. [Google Scholar]
- Valiandes, S.; Neophytou, L. Teachers’ professional development for differentiated instruction in mixed-ability classrooms: Investigating the impact of a development program on teachers’ professional learning and on students’ achievement. Teach. Dev. 2018, 22, 123–138. [Google Scholar] [CrossRef]
- Fischer, C.; Fishman, B.; Dede, C.; Eisenkraft, A.; Frumin, K.; Foster, B.; Lawrenz, F.; Levy, A.J.; McCoy, A. Investigating relationships between school context, teacher professional development, teaching practices, and student achievement in response to a nationwide science reform. Teach. Teach. Educ. 2018, 72, 107–121. [Google Scholar] [CrossRef]
- Heine, H.; Emesiochl, M. Preparing and Licensing High-Quality Teachers (Issues & Answers Report, REL 2007–031); U.S. Department of Education, Institute of Education Sciences: Washington, DC, USA; National Center for Education Evaluation and Regional Assistance, Regional Educational Laboratory Pacific: Washington, DC, USA, 2007. [Google Scholar]
- Gershenson, S. Linking teacher quality, student attendance, and student achievement. Educ. Financ. Policy 2016, 11, 125–149. [Google Scholar] [CrossRef]
- Blazar, D.; Kraft, M.A. Teacher and teaching effects on students’ attitudes and behaviors. Educ. Eval. Policy Anal. 2017, 39, 146–170. [Google Scholar] [CrossRef] [PubMed]
- Heck, R.H. Teacher effectiveness and student achievement: Investigating a multilevel cross-classified model. J. Educ. Adm. 2009, 47, 227–249. [Google Scholar] [CrossRef]
- Sanders, W.L.; Ashton, J.J.; Wright, S.P. Comparison of the Effects of NBPTS Certified Teachers with Other Teachers on the Rate of Student Academic Progress. Final Report; National Board for Professional Teaching Standards: Arlington, VA, USA, 2005. [Google Scholar]
- Harris, D.N.; Sass, T.R. The effects of NBPTS-certified teachers on student achievement. J. Policy Anal. Manag. 2009, 28, 55–80. [Google Scholar] [CrossRef]
- Noell, G.H.; Burns, J.M.; Gansle, K.A. Linking student achievement to teacher preparation: Emergent challenges in implementing the value-added assessment. J. Teach. Educ. 2019, 70, 128–138. [Google Scholar] [CrossRef]
- Finn, J.D.; Achilles, C.M. Answers and questions about class size: A statewide experiment. Am. Educ. Res. J. 1990, 27, 557–577. [Google Scholar] [CrossRef]
- Krueger, A.B. Economic considerations and class size. Econ. J. 2003, 113, F34–F63. [Google Scholar] [CrossRef]
- Hoxby, C.M. The effects of class size on student achievement: New evidence from population variation. Q. J. Econ. 2000, 115, 1239–1285. [Google Scholar] [CrossRef]
- Kirkham-King, M.; Brusseau, T.A.; Hannon, J.C.; Castelli, D.M.; Hilton, K.; Burns, R.D. Elementary physical education: A focus on fitness activities and smaller class sizes are associated with higher levels of physical activity. Prev. Med. Rep. 2017, 8, 135–139. [Google Scholar] [CrossRef]
- Lowenthal, P.R.; Nyland, R.; Jung, E.; Dunlap, J.C.; Kepka, J. Does class size matter? An exploration into faculty perceptions of teaching high-enrollment online courses. Am. J. Distance Educ. 2019, 33, 152–168. [Google Scholar]
- Hanushek, E.A. Throwing money at schools. J. Policy Anal. Manag. 1981, 1, 19–41. [Google Scholar] [CrossRef]
- Hanushek, E.A. The impact of differential expenditures on school performance. Educ. Res. 1989, 18, 45–61. [Google Scholar] [CrossRef]
- Brunner, E.; Hyman, J.; Ju, A. School finance reforms, teachers’ unions, and the allocation of school resources. Rev. Econ. Stat. 2020, 102, 473–489. [Google Scholar] [CrossRef]
- Jackson, C.K.; Mackevicius, C. The Distribution of School Spending Impacts; No. w28517; National Bureau of Economic Research: Cambridge, MA, USA, 2021; Available online: https://www.nber.org/papers/w28517 (accessed on 17 October 2022).
- Nieuwenhuis, J.; Hooimeijer, P. The association between neighborhoods and educational achievement, a systematic review, and meta-analysis. J. Hous. Built Environ. 2016, 31, 321–347. [Google Scholar] [CrossRef]
- R Core Team. R: A Language and Environment for Statistical Computing; R Foundation for Statistical Computing: Vienna, Austria, 2022. [Google Scholar]
- Gower, J.C. A general coefficient of similarity and some of its properties. Biometrics 1971, 27, 857–871. [Google Scholar] [CrossRef]
- Maechler, M.; Rousseeuw, P.; Struyf, A.; Hubert, M.; Hornik, K. cluster: Cluster Analysis Basics and Extensions; R Package Version 2.1.4; R Foundation for Statistical Computing: Vienna, Austria, 2022. [Google Scholar]
- Struyf, A.; Hubert, M.; Rousseeuw, P. Clustering in an object-oriented environment. J. Stat. Softw. 1997, 1, 1–30. [Google Scholar] [CrossRef]
- Gorgulu, O. Classification of dairy cattle in terms of some milk yield characteristics using fuzzy clustering. J. Anim. Vet. Adv. 2010, 9, 1947–1951. [Google Scholar] [CrossRef]
- Ushey, K.; Allaire, J.; Tang, Y. reticulate: Interface to ‘Python’; R Package Version 1.26; R Foundation for Statistical Computing: Vienna, Austria, 2022. [Google Scholar]
- Greenwell, B.M.; Boehmke, B.C.; Gray, B. Variable Importance Plots-An Introduction to the vip Package. R J. 2020, 12, 343. [Google Scholar] [CrossRef]
- Bramhall, S.; Horn, H.; Tieu, M.; Lohia, N. Qlime—A quadratic local interpretable model-agnostic explanation approach. SMU Data Sci. Rev. 2020, 3, 4. [Google Scholar]
- Banerjee, A.; Dave, R.N. Validating clusters using the Hopkins statistic. In Proceedings of the 2004 IEEE International Conference on Fuzzy Systems (IEEE Cat. No. 04CH37542), Budapest, Hungary, 26–29 July 2004; pp. 49–153. [Google Scholar]
- Onumanyi, A.J.; Molokomme, D.N.; Isaac, S.J.; Abu-Mahfouz, A.M. AutoElbow: An automatic elbow detection method for estimating the number of clusters in a dataset. Appl. Sci. 2022, 12, 7515. [Google Scholar] [CrossRef]
- Jain, A.K.; Murty, M.N.; Flynn, P.J. Data clustering: A review. ACM Computer. Surv. 1999, 31, 264–323. [Google Scholar] [CrossRef]
- Morgan, P.L.; Farkas, G.; Hillemeier, M.M.; Maczuga, S. Risk factors for learning-related behavior problems at 24 months of age: Population-based estimates. J. Abnorm. Child Psychol. 2009, 37, 401–413. [Google Scholar] [CrossRef] [PubMed]
- Reardon, S. The widening achievement gap between the rich and poor: New evidence and possible explanations. In Whither Opportunity? Rising Inequality, Schools, and Children’s Life Chances; Duncan, G., Murnane, R., Eds.; Russell Sage: New York, NY, USA, 2011. [Google Scholar]
- Reardon, S.F.; Portilla, X.A. Recent trends in income, racial, and ethnic school readiness gaps at kindergarten entry. Aera Open 2016, 23, 2332858416657343. [Google Scholar] [CrossRef]
- Aikens, N.L.; Barbarin, O. Socioeconomic differences in reading trajectories: The contribution of the family, neighborhood, and school contexts. J. Educ. Psychol. 2008, 100, 235. [Google Scholar] [CrossRef]
- Bickel, R.; Smith, C.; Eagle, T. Poor, rural neighborhoods and early achievement. J. Poverty 2002, 6, 89–108. [Google Scholar] [CrossRef]
- Brody, G.; Ge, X.; Conger, R.; Gibbons, F.; Murry, V.; Gerrard, M.; Simons, R. The influence of neighborhood disadvantage, collective socialization, and parenting on African American children’s affiliation with deviant peers. Child Dev. 2001, 72, 1231–1246. [Google Scholar] [CrossRef]
- Huysman, J. Rural teacher satisfaction: An analysis of beliefs and attitudes of rural teachers’ job satisfaction. Rural. Educ. 2008, 29, 31–38. [Google Scholar]
- Mackenzie, N. Teacher morale: More complex than we think? Aust. Educ. Res. 2007, 34, 89–104. [Google Scholar] [CrossRef]
- Hirn, R.G.; Hollo, A.; Scott, T.M. Exploring instructional differences and school performance in high-poverty elementary schools. Prev. Sch. Fail. Altern. Educ. Child. Youth 2018, 62, 37–48. [Google Scholar] [CrossRef]
- Holmes, B.; Parker, D.; Gibson, J. Rethinking teacher retention in hard-to-staff schools. Contemp. Issues Educ. Res. 2019, 12, 27–30. [Google Scholar] [CrossRef]
- Day, C.; Gu, Q.; Sammons, P. The impact of leadership on student outcomes: How successful school leaders use transformational and instructional strategies to make a difference. Educ. Adm. Q. 2016, 52, 221–258. [Google Scholar] [CrossRef]
- Sebastian, J.; Allensworth, E.; Wiedermann, W.; Hochbein, C.; Cunningham, M. Principal leadership and school performance: An examination of instructional leadership and organizational management. Leadersh. Policy Sch. 2019, 18, 591–613. [Google Scholar] [CrossRef]
- Yan, R. The influence of working conditions on principal turnover in K-12 public schools. Educ. Adm. Q. 2020, 56, 89–122. [Google Scholar] [CrossRef]
- Britton, E.M. Influence of School Principals on Teachers’ Perceptions of School Culture. Ph.D. Thesis, Walden University, Minneapolis, MN, USA, 2018. [Google Scholar]
- Marks, H.M.; Printy, S.M. Principal leadership and school performance: An integration of transformational and instructional leadership. Educ. Adm. Q. 2003, 39, 370–397. [Google Scholar] [CrossRef]
- Brazil-Cruz, L.; Martinez, S.S. The importance of networking and support staff for Latina/o first-generation students and their families as they transition to higher education. Assoc. Mex. Am. Educ. J. 2016, 10, 130–158. [Google Scholar]
- Castro, M.; Expósito-Casas, E.; López-Martín, E.; Lizasoain, L.; Navarro-Asencio, E.; Gaviria, J.L. Parental involvement on student academic achievement: A meta-analysis. Educ. Res. Rev. 2015, 14, 33–46. [Google Scholar] [CrossRef]
- Watt, A. Single Parent Households and the Effect on Student Learning. Master’s Thesis, Eastern Illinois University, Charleston, IL, USA, 2019. Available online: https://thekeep.eiu.edu/theses/4464 (accessed on 17 October 2022).
- Boonk, L.; Gijselaers, H.J.; Ritzen, H.; Brand-Gruwel, S. A review of the relationship between parental involvement indicators and academic achievement. Educ. Res. Rev. 2018, 24, 10–30. [Google Scholar] [CrossRef]
- Virtanen, T.E.; Räikkönen, E.; Engels, M.C.; Vasalampi, K.; Lerkkanen, M.K. Student engagement, truancy, and cynicism: A longitudinal study from primary school to upper secondary education. Learn. Individ. Differ. 2021, 86, 101972. [Google Scholar] [CrossRef]
- Tahira, Q.; Jami, H. Association between social adjustment and perceived parenting styles in punctual, truant, and high achieving school going students: A moderating model. Nat.-Nurtur. J. Psychol. 2021, 1, 33–44. [Google Scholar]
- Wu, S.; Villagrana, K.M.; Lawler, S.; Garbe, R. School Lunch Participation and Youth School Failure: A Multi-Racial Perspective. J. Soc. Welfare. 2020, 47, 29–52. [Google Scholar]
- Lee, H.; Shores, K.; Williams, E. The Distribution of School Resources in the United States: A Comparative Analysis Across Levels of Governance, Student Subgroups, and Educational Resources; Annenberg Institute at Brown University: Providence, RI, USA, 2021; 30p. [Google Scholar]
- Printy, S.; Liu, Y. Distributed leadership globally: The interactive nature of principal and teacher leadership in 32 countries. Educ. Adm. Q. 2021, 57, 290–325. [Google Scholar] [CrossRef]
- Lasky-Fink, J.; Robinson, C.D.; Chang, H.N.L.; Rogers, T. Using behavioral insights to improve school administrative communications: The case of truancy notifications. Educ. Res. 2021, 50, 442–450. [Google Scholar] [CrossRef]
- Cotton, K. Principals, and Student Achievement: What the Research Says; Association for Supervision and Curriculum Development & Northwest Regional Education Laboratory (ASCD): Alexandria, VA, USA, 2003. [Google Scholar]
- Robinson, C.D.; Lee, M.G.; Dearing, E.; Rogers, T. Reducing student absenteeism in the early grades by targeting parental beliefs. Am. Educ. Res. J. 2018, 55, 1163–1192. [Google Scholar] [CrossRef]
- Oba-Adenuga, O.A. Effect of Family Structure on Academic Performance of Secondary School Students in Somolu Local Government Area of Lagos State, Nigeria. Benin J. Educ. Stud. 2020, 26, 82–95. [Google Scholar]
- Leksansern, A. Parent involvement and students’ academic performances in high schools in Kalay, Myanmar. Kasetsart J. Soc. Sci. 2021, 42, 542–549. [Google Scholar]






| School Type | Period | Mean | Standard Deviation | Minimum | Maximum | Coefficient of Variation |
|---|---|---|---|---|---|---|
| Elementary/Middle School | 2015/16 | 82.6 | 20.4 | 24.4 | 135.0 | 24.7 |
| 2016/17 | 79.5 | 21.4 | 21.6 | 137.0 | 26.9 | |
| 2017/18 | 70.0 | 15.5 | 26.9 | 124.0 | 22.2 | |
| Combination School | 2015/16 | 87.6 | 23.2 | 8.0 | 138.0 | 26.5 |
| 2016/17 | 87.8 | 22.9 | 1.8 | 141.0 | 26.0 | |
| 2017/18 | 77.5 | 19.2 | 13.1 | 132.0 | 24.8 | |
| High School | 2015/16 | 89.6 | 20.7 | 12.8 | 136.0 | 23.1 |
| 2016/17 | 89.9 | 23.9 | 2.5 | 138.0 | 26.5 | |
| 2017/18 | 80.1 | 21.0 | 13.8 | 132.0 | 26.3 |
| Model | More-Is Better | Low-Is-Better | ||||||||||
|---|---|---|---|---|---|---|---|---|---|---|---|---|
| Accuracy | Kappa | Recall | Specificity | Detection Rate | Log Loss | |||||||
| Mean | SDV | Mean | SDV | Mean | SDV | Mean | SDV | Mean | SDV | Mean | SDV | |
| Elementary school system | ||||||||||||
| RF | 0.9950 | 0.0049 | 0.9936 | 0.0063 | 0.9882 | 0.0114 | 0.999 | 0.001 | 0.1658 | 0.0008 | 0.2268 | 0.0111 |
| GBM | 0.9934 | 0.0052 | 0.9916 | 0.0067 | 0.9864 | 0.0118 | 0.9987 | 0.001 | 0.1656 | 0.0009 | 0.0448 | 0.0395 |
| p-Value | 0.246 | 0.2459 | 0.538 | 0.26 | 0.282 | 0.0001 | *** | |||||
| PDA | 0.9845 | 0.0056 | 0.9802 | 0.0072 | 0.9736 | 0.0119 | 0.9966 | 0.0012 | 0.1641 | 0.0009 | 0.0916 | 0.0481 |
| SLDA | 0.9832 | 0.0066 | 0.9786 | 0.0084 | 0.9739 | 0.011 | 0.9965 | 0.0013 | 0.1639 | 0.0011 | 0.0796 | 0.0375 |
| HDDA | 0.982 | 0.0065 | 0.977 | 0.0083 | 0.9719 | 0.0126 | 0.9963 | 0.0014 | 0.1637 | 0.0011 | 0.2464 | 0.1592 |
| NSC | 0.9753 | 0.0059 | 0.9685 | 0.0076 | 0.948 | 0.0139 | 0.9948 | 0.0013 | 0.1626 | 0.001 | 0.1261 | 0.0121 |
| KKNN | 0.8477 | 0.0176 | 0.8037 | 0.023 | 0.8063 | 0.0267 | 0.9663 | 0.0039 | 0.1413 | 0.0029 | 0.6249 | 0.1548 |
| DS | 0.7683 | 0.0516 | 0.6906 | 0.073 | 0.5792 | 0.0806 | 0.9483 | 0.0123 | 0.1281 | 0.0086 | 0.499 | 0.0982 |
| Combination school system | ||||||||||||
| GBM | 0.9817 | 0.0143 | 0.9745 | 0.0199 | 0.9717 | 0.0237 | 0.9938 | 0.005 | 0.2454 | 0.0036 | 0.1259 | 0.1436 |
| RF | 0.9787 | 0.0152 | 0.9704 | 0.0211 | 0.9696 | 0.0212 | 0.9932 | 0.0049 | 0.2447 | 0.0038 | 0.3021 | 0.0316 |
| p-Value | 0.431 | 0.4309 | 0.713 | 0.616 | 0.431 | 0.0001 | *** | |||||
| HDDA | 0.9635 | 0.0236 | 0.9497 | 0.0324 | 0.9605 | 0.0276 | 0.9889 | 0.0074 | 0.2409 | 0.0059 | 0.83 | 0.6379 |
| PDA | 0.9507 | 0.025 | 0.9307 | 0.0355 | 0.915 | 0.0435 | 0.9822 | 0.0092 | 0.2377 | 0.0062 | 0.4915 | 0.3308 |
| SLDA | 0.9263 | 0.0234 | 0.896 | 0.0334 | 0.8733 | 0.0415 | 0.9735 | 0.0086 | 0.2316 | 0.0059 | 0.4824 | 0.2917 |
| NSC | 0.9189 | 0.026 | 0.8852 | 0.0374 | 0.8594 | 0.046 | 0.9705 | 0.0093 | 0.2297 | 0.0065 | 0.2554 | 0.1087 |
| DS | 0.8614 | 0.0131 | 0.8017 | 0.0191 | 0.7644 | 0.0175 | 0.9494 | 0.0053 | 0.2154 | 0.0033 | 0.4403 | 0.2287 |
| KKNN | 0.795 | 0.0572 | 0.7096 | 0.082 | 0.7676 | 0.0622 | 0.9251 | 0.021 | 0.1987 | 0.0143 | 0.7143 | 0.298 |
| High school system | ||||||||||||
| RF | 0.9885 | 0.0116 | 0.986 | 0.0142 | 0.9861 | 0.0155 | 0.9976 | 0.0024 | 0.1647 | 0.0019 | 0.3651 | 0.0282 |
| GBM | 0.9827 | 0.0177 | 0.979 | 0.0215 | 0.9817 | 0.0196 | 0.9965 | 0.0035 | 0.1638 | 0.003 | 0.1485 | 0.242 |
| p-Value | 0.144 | 0.1458 | 0.34 | 0.176 | 0.144 | 0.0001 | *** | |||||
| HDDA | 0.9583 | 0.0241 | 0.9495 | 0.0292 | 0.9612 | 0.0227 | 0.9918 | 0.0048 | 0.1597 | 0.004 | 0.366 | 0.2493 |
| PDA | 0.9342 | 0.0227 | 0.9196 | 0.0278 | 0.9081 | 0.0314 | 0.9864 | 0.0047 | 0.1557 | 0.0038 | 0.5944 | 0.388 |
| NSC | 0.9254 | 0.0203 | 0.9091 | 0.0248 | 0.8979 | 0.0274 | 0.9849 | 0.0041 | 0.1542 | 0.0034 | 0.302 | 0.0995 |
| SLDA | 0.9093 | 0.0267 | 0.889 | 0.033 | 0.8674 | 0.0403 | 0.9813 | 0.0055 | 0.1516 | 0.0044 | 0.656 | 0.3091 |
| KKNN | 0.812 | 0.0519 | 0.771 | 0.0633 | 0.8161 | 0.051 | 0.9614 | 0.0107 | 0.1353 | 0.0086 | 0.6454 | 0.1971 |
| DS | 0.6521 | 0.0421 | 0.5656 | 0.0552 | 0.5668 | 0.0535 | 0.9271 | 0.0092 | 0.1087 | 0.007 | 0.8002 | 0.0485 |
Disclaimer/Publisher’s Note: The statements, opinions and data contained in all publications are solely those of the individual author(s) and contributor(s) and not of MDPI and/or the editor(s). MDPI and/or the editor(s) disclaim responsibility for any injury to people or property resulting from any ideas, methods, instructions or products referred to in the content. |
© 2023 by the authors. Licensee MDPI, Basel, Switzerland. This article is an open access article distributed under the terms and conditions of the Creative Commons Attribution (CC BY) license (https://creativecommons.org/licenses/by/4.0/).
Share and Cite
Kaliba, A.R.; Andrews, D.R. The Typology of Public Schools in the State of Louisiana and Interventions to Improve Performance: A Machine Learning Approach. Educ. Sci. 2023, 13, 160. https://doi.org/10.3390/educsci13020160
Kaliba AR, Andrews DR. The Typology of Public Schools in the State of Louisiana and Interventions to Improve Performance: A Machine Learning Approach. Education Sciences. 2023; 13(2):160. https://doi.org/10.3390/educsci13020160
Chicago/Turabian StyleKaliba, Aloyce R., and Donald R. Andrews. 2023. "The Typology of Public Schools in the State of Louisiana and Interventions to Improve Performance: A Machine Learning Approach" Education Sciences 13, no. 2: 160. https://doi.org/10.3390/educsci13020160
APA StyleKaliba, A. R., & Andrews, D. R. (2023). The Typology of Public Schools in the State of Louisiana and Interventions to Improve Performance: A Machine Learning Approach. Education Sciences, 13(2), 160. https://doi.org/10.3390/educsci13020160

