Abstract
This study investigates the psychometric properties of brief COPE in Russian schoolteachers. A total of 773 (91% female; M = 43, SD = 9.79) teachers participated in the study. Principal component analysis (PCA) and confirmatory factor analysis (CFA) were applied to assess the psychometric properties of the brief COPE. The Perceived Stress Scale (PSS) was used to assess the construct validity. The main result of the current research is a revised structure for the brief COPE consisting of six sub-scales: «socio-emotional support», «religion», «acceptance», «problem-focused coping», «avoidance», and «humor». The goodness-of-fit criteria were as follows: SRMR = 0.054, RMSEA = 0.064, CFI = 0.888, and TLI = 869. Overall, the Russian version of the brief COPE shows acceptable psychometric properties and may be applied by researchers, school administrators, and psychologists; however, the reliability of the “avoidance” scale is doubtful and must be considered before application.
1. Introduction
In the literature, stress is described as a person’s reaction to stressors or as a conflict between a person and an environmental circumstance [1]. To cope with stress, people may use a variety of conscious and unconscious strategies (coping).
The choice of such a strategy (or strategies) may depend on socioeconomic status, personal traits, personal health, and professional identity. There have been a number of studies devoted to revealing coping specifics in particular social groups, such as pregnant women [2], families in poverty [3], hospital doctors [4], clinical psychologists [5], at-risk parents [6], and competitive athletes [7,8].
Schoolteachers are considered to have one of the most stressful professions [9]. The stress symptoms of schoolteachers are associated specifically with the poor academic performance of their students, difficulties with class management, low professional self-efficacy, burnout [10], school noise [11], work climate, perceived luck of social support [12], problems with student behavior, multiple social roles, and fear of losing their position [13]. The preferred coping strategies differ depending on work experience. Thus, new teachers tend to seek social support, whereas their more experienced colleagues are inclined to choose avoidance and confrontation strategies, demonstrating lower levels of self-control [12]. According to a study of primary schoolteachers [14], a high level of teacher stress predicts maladaptive teacher behavior in the class, and consequently low student academic achievement.
It is important to note that schoolteachers as a professional group have greater specificity compared with, for instance, university tutors. Thus, they serve both educational and mentoring functions; e.g., they translate certain norms, values, traditions, behavioral patterns, and moral ideas to children [15]. For this reason, particular coping strategies (e.g., alcohol/drug use) may seem totally unacceptable for them, and will provoke negative reactions, as such strategies contradict the norms they are supposed to translate to children. Due to this peculiarity, it seems more productive to consider a coping strategy structure different than that used by other teachers.
There exist several models which describe selected coping strategies.
According to Lazarus and Folkman [16], there are problem-focused coping strategies, i.e., those aimed at eliminating the external source of the stress, and emotion-focused coping strategies, i.e., those associated with emotional regulation. However, it has recently been noticed that a model with only two categories leads to over-simplification of the coping variety [17]. Parker and Endler [18] have developed a three-factor model including task-oriented (intention to solve the problem or minimize its effects; cognitive reconceptualization), emotion-oriented (emotional responses; self-preoccupation; attempt to retreat into fantasy), and avoidance-oriented (self-distraction; substitute activities) coping. Carver et al. have proposed a 13-dimensional coping model with five higher-order scales, as follows: problem-focused coping (including active coping, planning, suppression of competing activities, restraint coping, and seeking social support for instrumental reasons), emotion-focused coping (including seeking social support for emotional reasons, positive reinterpretation and growth, acceptance, denial, and turning to religion), focusing on and venting emotions, behavioral disengagement, and mental disengagement [17]. Various multi-dimensional questionnaires based on the model of Carver at al. have been widely used in recent studies in order to measure stress coping mechanisms for specific social and professional groups, such as caregivers of children with chronic illnesses [19], pregnant African-American women [20], and breast cancer survivors [21].
Various forms of teacher stress intervention may be helpful in reducing these negative outcomes [22,23,24,25]. To make them more effective, a preliminary assessment of stress coping among teachers may be useful. In Russia, there exist few instruments to assess coping with stress. Two versions of Carver’s questionnaire have been developed for the Russian population, of which the adaptation of Rasskazova et al. has demonstrated higher Cronbach’s alpha coefficients, with 15 scales measuring different coping mechanisms [26,27]. In many countries, a brief version of Carver’s questionnaire is widely used [21,28,29,30]; however, it has not yet been validated in a Russian population. The brief version of COPE has a number of advantages compared to the classic version; for example, it takes considerably less time to complete, that participants with busy schedules, such as schoolteachers, to complete the questionnaire more conveniently. In addition, the brief version is much more applicable if COPE is used as part of a large battery of scales measuring various constructs.
There are several variants of the brief COPE [31]. The brief COPE proposed by Carver [32], including 14 scales with two questions per scale, has been widely used. However, its psychometric properties and factor structure are debatable. Several subscales consist of only two items, which makes them unreliable in terms of construct validity [33]. As reported in the recent systematic review by Solberg et al. [31], most studies published between 1997 and 2021 analyzed the structure differently from the original 14-factor one. Furthermore, Carver et al. proposed a factor structure including first-order factors, which may be combined in terms of second-order factors [17].
Therefore, the main objective of the current study is to develop a new brief COPE version based on the approach considering second-order factors. Several of the scales were combined based on the size of their correlations in the correlation matrix presented in the study of Rasskazova et al. [27]. If the correlations were large enough, the scales were integrated. The same approach has been applied in a number of studies on the brief COPE structure [31]. In particular, the specific objectives of this study were: (1) to test the psychometric properties of the brief COPE; (2) to analyze its factor structure; and (3) to evaluate its external validity in a sample of Russian schoolteachers.
2. Materials and Methods
2.1. Participants
A total of 1273 schoolteachers (114 male, 1151 female, 8 unidentified) participated in the research. Their average age was 43 (SD = 10.37) and on average they had 20 years of professional experience (SD = 11.4). The vast majority of participants (875) taught in secondary (grades 5–8) or high school (grades 9–11), 175 in primary school, and 165 in primary/secondary and high schools. The participants completed the Russian version of the COPE scale and the Russian version of the PSS (Perceived Stress Scale).
Before the analysis, both «technical» and «actual» outliers were removed from the sample. Two main stages were performed in order to eliminate outliers. First, «technical» outliers (i.e., those which occurred due to unscrupulous questionnaire completion) were extracted. Four criteria were used to detect «technical» outliers: (1) identical answers for all questions in the questionnaire; (2) total time of questionnaire completion less than 500 s; (3) time for at least one answer less than 3 s; and (4) standard deviation of time for all answers less than 5 or more than 55 s.
Threshold values were chosen based on the distributions of total time, average time for one question, and standard deviation of time (the left peak of a bimodal distribution was removed). In terms of the total time for completion of the questionnaire, the right distribution tail was deleted. After that, Mahalanobis distances for time of completion were calculated. Observations with p values less than 0.01 were removed from the sample. Second, “actual” outliers were eliminated based on the Mahalanobis distances for all answers (i.e., observations exceeding the 0.95 quantile were considered outliers). The final sample included 773 teachers (M = 43, SD = 9.79) with an average of 20 years of professional experience (SD = 11.15). A total of 706 participants were female (91%), 66 were male (9%), and 1 was unidentified. Of the teachers, 539 worked in secondary or high schools, 95 in primary school, and 139 in both.
2.2. Instruments
Coping orientation to problem experienced (COPE), 32 questions. The brief COPE was developed based on the Russian adaptation of Carver’s questionnaire [27]. The Russian translation as performed and tested by Rasskazova et al. was applied in the current study. In the first stage, the scales that were highly correlated with each other were integrated. As a result, six scales were formed: «self-distraction», «active coping» (based on the «active coping», «planning», «self-distraction», «denial», and «suppression of competing activities» scales of the classic COPE), «socio-emotional support» («venting», «seeking emotional support», «seeking instrumental support»), «religion», «positive coping» («positive reinterpretation», «humor»), and «acceptance». For the «self-distraction» and «denial» scales, items were inverted because, as a part of «active coping», they have contradictory meanings. Additionally, the item “I drink alcohol or take drugs in order to think about it less” measuring “substance use” was added, as in Carver’s initial COPE version [17]. In the second stage, for each scale the items with low factor loadings were removed. As a result, each of the six scales consisted of 4–5 items (see Table A1 in Appendix A). The participants were asked what method(s) they had used in the last month when they encountered a difficult situation. Each item had four response options, according to a Likert scale: «never or almost never» = 1, «rarely» = 2, «from time to time» = 3, «very frequently» = 4. Items with opposite meanings were recoded as follows: 1 = 4, 2 = 3, 3 = 2, 4 = 1. The total result for each scale was calculated as an average of the results for the items.
Perceived Stress Scale (PSS), 10 questions. This scale measures self-reported unpredictability and tenseness of life under stressful circumstances. The 10-item scale of Ababkov et al. [34] was used in the current research. The PSS consists of two sub-scales: «overstrain», measuring the level of perceived stress in daily life, and «stress management», measuring the perceived inability to overcome stressful conditions. The total scale assesses the overall distress level. These constructs are measured using a 5-point Likert scale. In our sample, the scales showed an acceptable level of internal consistency: Cronbach’s alpha was 0.86, 0.78, and 0.88 for the overstrain, stress management, and total scales, respectively. Recent studies have shown that the PSS correlates positively with maladaptive and passive coping strategies (measured by different questionnaires) and negatively with adaptive and active ones [35,36]. In the current study, the PSS was used as an instrument to test the construct validity of the brief COPE, similarly to previous studies [37,38].
2.3. Procedure
Data were collected through the psychodiagnostics online platform DigitalPsyTools (https://digitalpsytools.ru/ (accessed on 30 July 2020). Before the survey, consent forms from the school administration were collected. The teachers were asked to complete both the COPE and PSS. They also answered questions about their sex, age, professional experience, and socioeconomic status. The procedure was approved by the ethics committee of the Psychological Institute of the Russian Academy of Education.
2.4. Statistical Analysis
Principal component analysis (PCA), confirmatory factor analysis, descriptive statistics, correlation analysis, and Cronbach’s alpha were applied to assess the psychometric properties.
Data analysis was performed using R (version 4.1.2) and Python (version 3). For confirmatory factor analysis, the lavaan R package was used. To assess whether the CFA model fit the empirical data, four metrics were applied [39,40,41,42]: the comparative fit index (CFI), Tucker–Lewis index (TLI), root mean square error of approximation (RMSEA), and standardized root of root mean square residuals (SRMR). TLI and CFI values exceeding 0.9 and RMSEA and SRMR values below 0.08 indicate high model quality [40,42].
Principal component analysis (PCA) was performed with varimax rotation. Pearson’s correlation coefficient was used to confirm the construct validity of COPE. To measure the differences between gender groups, t-test statistics were implemented. The reliability of the scales was measured using Cronbach’s alpha.
3. Results
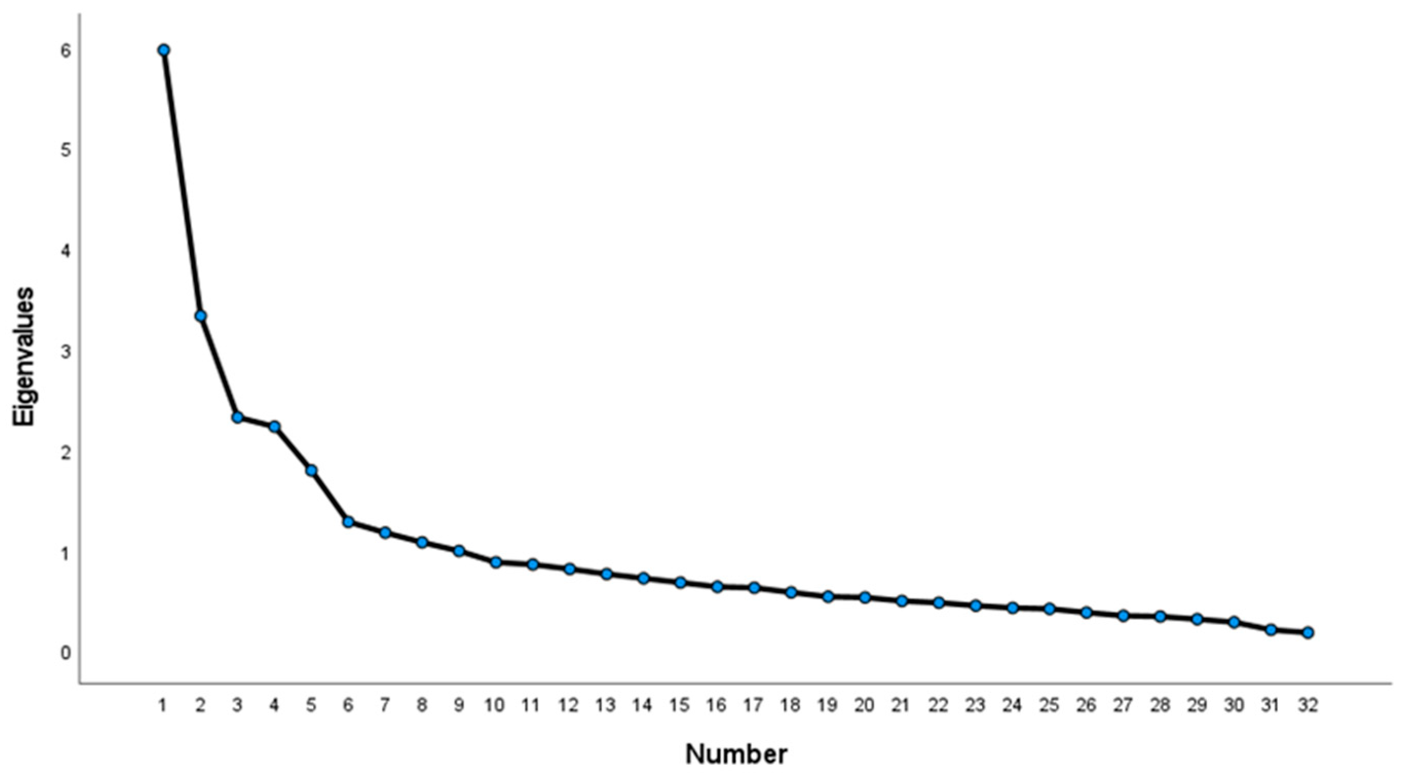
In the first stage, a dimension reduction approach was applied to reveal the factor structure of COPE; for this purpose, principal component analysis was performed. Six factors were distinguished, as anticipated, based on the correlations of the subscales [27]. The number of factors was chosen based on a scree plot of the eigenvalues (see Figure 1) and the total variance explained (52.8% of the variance was explained by the six-component model).
Figure 1.
Scree plot of eigenvalues after PCA.
The items with loadings exceeding 0.3 for two or more components (factors) and items with low loadings (below 0.3) for all components were removed at each iteration. The final COPE structure as derived from PCA is detailed in Table 1 below.
Table 1.
Principal component analysis of the brief COPE.
Items 5 «I’ve been using alcohol or other drugs to make myself feel better» (substance use), 7 «I just give up trying to reach my goal» (active coping, inverted), 9 «I take additional action to try to get rid of the problem» (active coping), 15 «I’ve been trying to see it in a different light, to make it seem more positive» (positive coping), 20 «I’ve been looking for something good in what is happening» (positive coping), 22 «I’ve been doing something to think about it less, such as going to movies, watching TV» (self-distraction), 31 «I put aside other activities in order to concentrate on this» (active coping), and 10 «I sleep more than usual» (self-distraction) were removed from the scale due to low PCA loadings. As a result, six coping strategies were identified: C1 «socio-emotional support», C2 «religion», C3 «acceptance», C4 «problem-focused coping», C5 «avoidance», and C6 «humor».
In the second stage, confirmatory factor analysis was performed. For the fourth component, Item 18 «To give up the attempt to get what I want» (with negative loading) was replaced by Item 9 «I take additional action to try to get rid of the problem», as the model using the latter configuration demonstrated better fitting indices. The goodness-of-fit criteria were dubious (SRMR < 0.06 and RMSEA < 0.08), indicating that the model fit the data well, whereas CFI and TLI < 0.9 provided evidence of the insufficient quality of the model.
Additionally, the model without the «avoidance» subscale was tested, as it seemed to be the most questionable one. The model without «avoidance» (Model 2) had better overall goodness-of-fit indices (see Table 2) than the initial model (Model 1): The CFI exceeded 0.9, TLI had a marginal value of 0.898, SRMR < 0.06, and RMSEA exceeded 0.06. However, the difference between the two models was marginal.
Table 2.
Goodness-of-fit indices for CFA models.
Table 3 displays the CFA standardized factor loadings for each item for both the initial model (Model 1) and the model without the «avoidance» subscale (Model 2). Loadings of the items measuring avoidance strategy (Model 1) were relatively low compared with other scales. Overall, it can be concluded that when the «avoidance» subscale was excluded, the model had better psychometric properties.
Table 3.
CFA standardized loadings.
Table 4 demonstrates the descriptive statistics and reliability for the new structure of the brief COPE. The Cronbach’s alpha coefficients exceeded the threshold of 0.7 for all scales, except for «avoidance» (0.55). Additionally, the discriminative potential of the «avoidance» subscale was assessed; Ferguson’s delta was 0.68, significantly below the recommended threshold of 0.9 [43]. Additionally, this subscale has the lowest standard deviation. Thus, the reliability of the «avoidance» scale is questionable.
Table 4.
Descriptive statistics and Cronbach’s alpha for brief COPE.
All items and scales had a distribution close to normal. Asymmetry and kurtosis did not exceed ±1 for any of the six scales, indicating excellent values [44]. The descriptive statistics in the context of sex differences for the brief COPE are presented in Table 5 below. Men and women presented differences in three scales: women were more inclined than men to seek socio-emotional support, turn to religion, and avoid stressful circumstances.
Table 5.
Descriptive statistics and sex differences for brief COPE.
To assess the construct validity of the brief COPE, the Perceived Stress Scale (PSS) was applied. Pearson’s correlations between the COPE and PSS scales were analyzed (see Table 6). Overstrain correlated positively with socio-emotional support, religion, acceptance, and avoidance, and negatively with humor. Stress management correlated positively with religion and avoidance, and negatively with acceptance and active coping. The total PSS scale had positive correlations with socio-emotional support, religion, and avoidance, and negative correlation with humor.
Table 6.
Correlations between COPE and PSS scales.
The final structure of the Russian version of the brief COPE is shown in Table 7.
Table 7.
Revised brief COPE (Russian version).
4. Discussion
The result of the current research is a revised structure of the brief COPE (see Table 7), which consists of the six subscales «socio-emotional support», «religion», «acceptance», «problem-focused coping», «avoidance», and «humor». The development of this instrument is based on the idea that the COPE consists of many first-order factors, which may be integrated into second-order factors. Carver proposed four second-order factors in the initial COPE version: (1) problem-focused, (2) emotion-focused, (3) disengagement, and (4) acceptance [17]. However, further studies on the COPE factor structure have demonstrated that the COPE has three to five second-order factors [45,46,47]. Regarding the brief COPE, different studies have distinguished from two to fifteen second order factors [31]. The number of factors derived depends particularly on the language of the instrument [31]. Thus, the six subscales proposed in the current study may be described as second-order factors.
Compared with the theoretical structure (see Table A1 in Appendix A), the «socio-emotional support», «religion», and «acceptance» subscales remained stable, whereas the rest of the subscales were changed. Thus, the items in «problem-focused coping» were reduced from nine on the «active coping» scale to four. The items «I just give up trying to reach my goal», «I refuse to believe that it has happened», «I give up the attempt to get what I want», and «I put aside other activities in order to concentrate on this» were removed from the scale, and the item «I say to myself «this is not real»« (with opposite meaning) became a part of the «avoidance» scale (with direct meaning), whereas the item «I go to movies or watch TV, to think about it less» was removed from that scale. Regarding «positive coping», the items «I look for something good in what is happening» and «I try to see it in a different light, to make it seem more positive» (originally measuring «positive reinterpretation and growth») were removed; thus, the scale was renamed «humor» (as long as the remaining items measure that construct). The only item measuring substance use, «I drink alcohol or take drugs, in order to think about it less», was removed as well.
It can be concluded empirically that «problem-focused coping», «avoidance», and «positive coping» are blurry and indeterminate concepts, while «religion», «acceptance», and «socio-emotional support» are concrete concepts. It can be presumed that substance use is unsuitable, particularly for schoolteachers, due to social desirability; for teachers, especially, as professionals who work with children and translate behavioral norms, drinking alcohol is socially unacceptable.
All of the subscales showed a high level of reliability (Cronbach’s alpha exceeding 0.7), except for «avoidance» (with Cronbach’s alpha 0.55). This scale deteriorated the goodness-of-fit indices of the CFA model as well; therefore, it can be concluded that its reliability is questionable. Additionally, this scale showed poor discriminative potential (i.e., an ability to differentiate respondents by their attitudes). However, «avoidance» coping is considered as a significant strategy to measure, and the difference between the two models (i.e., with and without “avoidance”) was marginal. In previous studies which have aimed to shorten the COPE [48,49,50], the «avoidance» subscale was identified as a second-order factor. For these reasons, the initial model (including the «avoidance» subscale) was proposed as a final one. However, in further research, it will be necessary to revise the items of the «avoidance» subscale in order to increase their discriminative potential.
A high level of perceived stress (total PSS) was positively correlated with «socio-emotional support», «religion», and «avoidance», and was negatively correlated with «humor», which is partially consistent with previous studies showing that individuals with a high level of stress have a higher preference for avoidance coping strategies [51], and are inclined to use acceptance and humor strategies less frequently [52]. Consequently, the results obtained here indicate a high level of construct validity for the brief COPE.
Regarding the sex differences observed, women tended to use socio-emotional support, religion, and avoidance more frequently than men. These findings are partially consistent with previous studies showing that females are inclined to use emotion-focused coping dimensions (e.g., self-distraction, emotional support, venting) more than males [53]. These differences may be the consequence of different gender-role orientations [54] and a lower readiness to report stress issues among men compared to women due to socially prescribed masculinity [55]. At the same time, gender differences in the frequency of using problem-focused strategies were not observed in the current study, further confirming findings in previous research [56].
The current research has two main limitations. The first concerns the structure of the sample. There were difficulties in obtaining access to schools, and only schools that provided agreement participated in our research. Additionally, the social and financial contexts of schools were not controlled. Another sample problem was the strong gender imbalance. The second limitation concerns the validation procedure, in that not all recommended statistical tests were performed. In particular, re-test reliability was not assessed. In further research, it will be important to consider the coping strategies of teachers with respect to different stimuli (e.g., relationship, financial, professional, and health problems) and compare them to those of other professional groups.
Overall, the Russian version of the brief COPE presented acceptable psychometric properties, and may be applied by researchers, school administrators, and psychologists. However, the «avoidance» scale is doubtful, and must be considered before application.
5. Conclusions
The prime concern of the current study was the development of a new version of the brief COPE, as well as testing its psychometric properties on a sample of Russian schoolteachers. As a result, a 24-item questionnaire with six subscales measuring different coping strategies was developed. Overall, the psychometric properties of the questionnaire were not perfect, but were acceptable. The values of various assessment indices were as follows: CFI = 0.888, TLI = 0.869, RMSEA = 0.064, and SRMR = 0.054. Presumably, the presented instrument may be applicable to schoolteachers as well as to other professional groups.
Author Contributions
Conceptualization, J.M. and G.V.; methodology, G.V., V.I., J.M. and T.A.; software, P.K.; validation, J.M.; formal analysis, A.P.; investigation, V.I., I.Z., A.M. and A.T.; resources, not applicable; data curation, T.A. and A.P.; writing—original draft preparation, A.P. and J.M.; writing—review and editing, S.M.; visualization, A.P.; supervision, S.M.; project administration, J.M. and M.L.; funding acquisition, not applicable. All authors have read and agreed to the published version of the manuscript.
Funding
This research received no external funding.
Institutional Review Board Statement
The study was conducted according to the guidelines of the Declaration of Helsinki, and approved by the Ethics Committee of the Psychological Institute of the Russian Academy of Education (protocol code 2020/4-1, date of approval 02 April 2020).
Informed Consent Statement
Informed consent was obtained from all subjects involved in the study.
Data Availability Statement
The datasets generated and analyzed during the current study are available from the corresponding author upon reasonable request. None of the experiments were preregistered.
Conflicts of Interest
The authors declare no conflict of interest.
Appendix A
Table A1.
Theoretical structure of Brief COPE *.
Table A1.
Theoretical structure of Brief COPE *.
| Initial Subscales (Carver et al., 1989) | Items in Initial Version (Carver et al., 1989) | Items in Brief Russian Version | Subscales of Brief Russian Version | Item Number |
|---|---|---|---|---|
| Active coping | I take additional action to try to get rid of the problem. I concentrate my efforts on doing something about it. I do what has to be done, one step at a time. I take direct action to get around the problem. | Я предпринимаю какие-то еще действия, стараясь преодолеть сложившуюся ситуацию. Я сосредоточиваю усилия на том, чтобы как-то решить проблему | Active coping Active coping | 9 2 |
| Planning | I try to come up with a strategy about what to do. I make a plan of action. I think hard about what steps to take. I think about how I might best handle the problem. | Я тщательно обдумываю шаги, которые буду предпринимать для решения проблемы Я думаю, как лучше всего я могу справиться с этой проблемой | Active coping Active coping | 28 16 |
| Suppression of competing activities | I put aside other activities in order to concentrate on this. I focus on dealing with this problem, and if necessary let other things slide a little. I keep myself from getting distracted by other thoughts or activities. I try hard to prevent other things from interfering with my efforts at dealing with this. | Я откладываю другие дела в сторону, чтобы сосредоточиться на решении проблемы | Active coping | 31 |
| Restraint coping | I force myself to wait for the right time to do something. I hold off doing anything about it until the situation permits. I make sure not to make matters worse by acting too soon. I restrain myself from doing anything too quickly. | |||
| Seeking social support for instrumental reasons | I ask people who have had similar experiences what they did. I try to get advice from someone about what to do. I talk to someone to find out more about the situation. | Я ищу совета у других людей, что делать | Socio-emotional support | 14 |
| I talk to someone who could do something concrete about the problem. | Я говорю с кем-нибудь, кто мог бы конкретно помочь решить мою проблему | Socio-emotional support | 26 | |
| Seeking social support for emotional reasons | I talk to someone about how I feel. I try to get emotional support from friends or relatives. I discuss my feelings with someone. I get sympathy and understanding from someone. | Я стараюсь получить эмоциональную поддержку у друзей или родных Я ищу сочувствия и понимания у других людей | Socio-emotional support Socio-emotional support | 6 17 |
| Positive reinterpretation and growth | I look for something good in what is happening. I try to see it in a different light, to make it seem more positive. I learn something from the experience. I try to grow as a person as a result of the experience. | Я ищу что-то хорошее в том, что произошло Я пытаюсь посмотреть на ситуацию с более позитивной стороны, в ином свете | Positive coping Positive coping | 20 15 |
| Acceptance | I learn to live with it. I accept that this has happened and that it can’t be changed. I get used to the idea that it happened. I accept the reality of the fact that it happened. | Я учусь жить с этим. Я стараюсь принять ситуацию, сжиться с ней. Я стараюсь привыкнуть к мысли, что это случилось, адаптироваться к ситуации Я стараюсь принять то, что случилось, привыкнуть к этому. | Acceptance Acceptance Acceptance Acceptance | 27 23 19 30 |
| Turning to religion | I seek God’s help. I put my trust in God I try to find comfort in my religion. I pray more than usual. | Я прошу помощи у Бога. Я надеюсь на то, что Бог мне поможет. Я пытаюсь найти утешение в вере (религии). Я молюсь (больше, чем обычно). | Religion Religion Religion Religion | 4 8 25 29 |
| Focus on and venting of emotions | I get upset and let my emotions out. I let my feelings out. I feel a lot of emotional distress and I find myself expressing those feelings a lot. I get upset, and am really aware of it. | Я переживаю и активно проявляю свои чувства Я даю выход своим переживаниям | Socio-emotional support Socio-emotional support | 24 12 |
| Denial | I refuse to believe that it has happened. I pretend that it hasn’t really happened.I act as though it hasn’t even happened. I say to myself “this isn’t real.” | Мне не хочется верить, что это произошло Я говорю себе: «этого не может быть» | Active coping Active coping | 13R 3R |
| Behavioral disengagement | I give up the attempt to get what I want. I just give up trying to reach my goal. I admit to myself that I can’t deal with it, and quit trying. I reduce the amount of effort I’m putting into solving the problem. | Я перестаю пытаться добиться своего (получить то, что я хочу) Я не предпринимаю активных действий | Active coping Active coping | 18R 7R |
| Mental disengagement | I turn to work or other substitute activities to take my mind off things. I go to movies or watch TV, to think about it less. I daydream about things other than this I sleep more than usual. | Я погружаюсь в работу или другие дела, чтобы отключиться от проблем Я читаю, смотрю фильмы или телевизор или делаю что-то другое, чтобы отвлечься Я предаюсь фантазиям на другие темы, чтобы отвлечься Я сплю больше обычного, стараясь забыть о проблеме | Self-distraction Self-distraction Self-distraction Self-distraction | 1 22 13 10 |
| Alcohol–drug disengagement | I drink alcohol or take drugs, in order to think about it less. | Я выпиваю или принимаю лекарства, чтобы поменьше думать о проблеме | Substance-use | 5 |
| Humor ** | I have been making jokes about it I’ve been making fun of the situation | Я перевожу случившееся в шутку. Я нахожу в случившемся забавные моменты. | Positive coping Positive coping | 21 32 |
Notes: * Russian translation is taken from Rasskazova et al.’s COPE version [27]. ** Items of the scale «Humor» cited by Carver (1997).
References
- Clipa, O.; Clipa, A.L. Stress, coping and work performance. In Education Facing Contemporary World Issues; Soare, E., Langa, C., Eds.; European Proceedings of Social and Behavioural Sciences: London, UK, 2019; Volume 67, pp. 1901–1907. [Google Scholar]
- Yali, A.M.; Lobel, M. Stress resistance resources and coping in pregnancy. Anxiety Stress Coping 2002, 15, 289–309. [Google Scholar] [CrossRef]
- Santiago, S.D.; Etter, E.M.; Wadsworth, M.E.; Raviv, T. Predictors to responses to stress among families coping with poverty-related stress. Anxiety Stress Coping 2012, 25, 239–258. [Google Scholar] [CrossRef] [PubMed]
- Tattersall, A.J.; Bennett, P.; Pugh, S. Stress and coping in hospital, doctors. Stress Med. 1999, 15, 109–113. [Google Scholar] [CrossRef]
- Cushway, D.; Tyler, P.A. Stress and coping in clinical psychologists. Stress Med. 1994, 10, 35–42. [Google Scholar] [CrossRef]
- Nunes, C.; Perez-Padilla, J.; Martins, C.; Pechorro, P.; Ayala-Nunes, L.; Ferreira, L.I. The brief COPE: Measurement invariance and psychometric properties among community and at-risk Portuguese parents. Int. J. Environ. Res. Public Health 2021, 18, 2806. [Google Scholar] [CrossRef]
- Anshel, M.H.; Wells, B. Sources of acute stress and coping styles in competitive sport. Anxiety Stress Coping 2000, 13, 1–26. [Google Scholar] [CrossRef]
- Kaiseler, M.; Polman, R.; Nicholls, A. Mental toughness, stress, stress appraisal, coping and coping effectiveness in sport. Personal. Individ. Differ. 2009, 47, 728–733. [Google Scholar] [CrossRef]
- Stoeber, J.; Rennert, D. Perfectionism in school teachers: Relations with stress appraisals, coping styles and burnout. Anxiety Stress Coping 2007, 21, 37–53. [Google Scholar] [CrossRef] [Green Version]
- Herman, K.C.; Prewett, S.L.; Eddy, C.L.; Savala, A.; Reinke, W.M. Profiles of middle school teacher stress and coping: Concurrent and prospective correlates. J. School Psychol. 2020, 78, 54–68. [Google Scholar] [CrossRef]
- Tomek, R.; Urhahne, D. Relating teachers’ coping styles to student noise and perceived stress. Educ. Psychol. 2022, 42, 1–21. [Google Scholar] [CrossRef]
- Carton, A.; Fruchart, E. Sources of stress, coping strategies, emotional experience: Effects of the level of experience in primary school teachers in France. Educ. Rev. 2013, 66, 245–262. [Google Scholar] [CrossRef]
- Cancio, E.J.; Larsen, R.; Mathur, S.R.; Estes, M.B.; Johns, B.; Chang, M. Special education teacher stress: Coping strategies. Educ. Treat. Child. 2018, 41, 457–481. [Google Scholar] [CrossRef]
- Herman, K.C.; Hickmon-Rosa, J.; Reinke, W.M. Empirically derived professional teacher stress, burnout, self-efficacy, and coping and associated student outcomes. J. Posit. Behav. Interv. 2017, 20, 90–100. [Google Scholar] [CrossRef] [Green Version]
- Andrushkov, A.A. Formirovanie rossiiskoy identichnosty kak zadacha obrazovania: Mirovozzrenie sozdayshee budushee [The formation of Russian identity as a goal for education: A worldview, creating the future] Voprosy Obrazovania. ZHurnal Vysshei SHkoly Ėkonomiki Educ. Issues. J. High. School Econ. 2010, 3, 287–300. [Google Scholar]
- Lazarus, R.; Folkman, S. Stress, Appraisal, and Coping; Springer Publishing: Berlin/Heidelberg, Germany, 1984. [Google Scholar]
- Carver, C.S.; Scheier, M.F.; Weintraub, J.K. Assessing coping strategies: A theoretically based approach. J. Personal. Soc. Psychol. 1989, 56, 267–283. [Google Scholar] [CrossRef]
- Endler, N.S.; Parker, J.D. Multidimensional assessment of coping: A critical evaluation. J. Personal. Soc. Psychol. 1990, 58, 844–854. [Google Scholar] [CrossRef]
- Tang, W.P.Y.; Chan, C.W.H.; Choi, K.C. Factor structure of the brief coping orientation to problems experienced inventory in Chinese (Brief COPE-C) in caregivers of children with chronic illnesses. J. Pediatr Nurs. 2021, 59, 63–69. [Google Scholar] [CrossRef]
- Peters, R.M.; Solberg, M.A.; Templin, T.N.; Cassidy-Bushrow, A.E. Psychometric properties of the brief COPE among pregnant African-American women. West. J. Nurs. Res. 2020, 42, 927–936. [Google Scholar] [CrossRef]
- Rand, K.L.; Cohee, A.A.; Monahan, P.O.; Wagner, L.I.; Shanahan, M.L.; Champion, V.L. Coping among breast cancer survivors: A confirmatory factor analysis of the brief COPE. J. Nurs. Meas. 2019, 27, 259–276. [Google Scholar] [CrossRef]
- Eddy, C.L.; Herman, K.C.; Huang, F.; Reinke, W.M. Evaluation of a bibliotherapy-based stress intervention for teachers. Teach. Teach. Educ. 2022, 109, 103543. [Google Scholar] [CrossRef]
- Jennings, P.A.; DeMauro, A.A. Individual-level interventions: Mindfulness-based approaches to reducing stress and improving performance among teachers. Educ. Stress Occup. Stress Perspect. 2017, 319–346. [Google Scholar]
- Kaspereen, D. Relaxation intervention for stress reduction among teachers and staff. Int. J. Stress Manag. 2012, 19, 238–250. [Google Scholar] [CrossRef]
- Von der Embse, N.; Ryan, S.V.; Gibbs, T.; Mankin, A. Teacher stress intervention: A systematic review. Psychol. Schools 2019, 56, 1328–1343. [Google Scholar]
- Garanyan, N.G.; Ivanov, P.A. Validation of the Coping Strategies Questionnaire COPE. Psychol. Sci. Educ. 2010, 15, 82–93. [Google Scholar]
- Rasskazova, E.I.; Gordeeva, T.Y.; Osin, E.N. Koping-strategii v strukture deiatelʹnosti i samoreguliatsii: Psikhometricheskie kharakteristiki i vozmozhnosti primeneniia metodiki COPE [Coping strategies in the structure of activity and self-regulation: Psychometric properties and applications of the COPE inventory]. Psikhologiia. ZHurnal Vysshei SHkoly Ėkonomiki Psychol. J. High. School Econ. 2013, 10, 82–118. [Google Scholar]
- Mackay, S.; Burdayron, R.; Korner, A. Factor structure of the brief COPE in patients with melanoma. Can. J. Behav. Sci. 2021, 53, 78–83. [Google Scholar] [CrossRef]
- Rahman, H.A.; Issa, W.B.; Naing, L. Psychometric properties of brief-COPE inventory among nurses. BMC Nurs. 2021, 20, 73. [Google Scholar]
- Snell, D.L.; Siegert, R.J.; Hay-Smith, E.J.C.; Surgenor, L.J. Factor structure of the brief COPE in people with mild traumatic brain injury. J. Head Trauma Rehab. 2011, 26, 468–477. [Google Scholar] [CrossRef]
- Solberg, M.A.; Gridley, M.K.; Peters, R.M. The factor structure of the brief Cope: A systematic review. West. J. Nurs. Res. 2021, 44, 612–627. [Google Scholar] [CrossRef]
- Carver, C.S. You want to measure coping but your protocol’s too long: Consider the Brief COPE. Int. J. Behav. Med. 1997, 4, 92–100. [Google Scholar] [CrossRef]
- Yuan, W.; Zhang, L.; Li, B. Adapting the Brief COPE for Chinese Adolescents with Visual Impairments. J. Vis. Impair. Blind. 2017, 111, 20–32. [Google Scholar] [CrossRef]
- Ababkov, V.A.; Barisnikov, K.; Vorontzova-Wenger, O.V.; Gorbunov, I.A.; Kapranova, S.V.; Pologaeva, E.A.; Stuklov, K.A. Validation of the Russian version of the questionnaire “Scale of perceived stress–10”. Vestnik Saint-Petersburg Univ. Ser. 16. Psychol. Pedag. 2016, 2, 6–15. [Google Scholar] [CrossRef] [Green Version]
- Silverstain, S.T.; Tanbonliong, T.; Kritz-Silverstrain, D. Stress and coping strategies in pediatric dental residents. J. Dent Educ. 2020, 84, 1064–1073. [Google Scholar] [CrossRef] [PubMed]
- Sun, Y.; Gao, L.; Kan, Y.; Shi, B.-X. The persieved stress scale-10 (PSS-10) is reliable and has construct validity in Chinese patients with systemic lupus erythematosus. Lupus 2019, 28, 149–155. [Google Scholar] [CrossRef]
- Muller, L.; Spitz, E. Multidimentional assessment of coping: Validation of the Brief Cope among French population. L’encephale 2003, 29, 507–518. [Google Scholar]
- Serrano, C.; Andreu, Y.; Martinez, P.; Murgui, S. Improving the comparability of brief-COPE results through examination of second-order structures: A study with Spanish adolescents. Psicol. Conduct. 2021, 29, 437–454. [Google Scholar] [CrossRef]
- Brown, T.A. Confirmatory Factor Analysis for Applied Research; Guilford Press: New York, NY, USA, 2006. [Google Scholar]
- Byrne, B.M. Structural equation modeling with AMOS, EQS, and LISREL: Comparative approaches to testing for the factorial validity of a measuring instrument. Int. J. Test 2001, 1, 55–86. [Google Scholar] [CrossRef]
- Hu, L.T.; Bentler, P.M. Cutoff criteria for fit indexes in covariance structure analysis: Conventional criteria versus new alternatives. Struct. Equ. Model. Multidiscip. J. 1999, 6, 1–55. [Google Scholar] [CrossRef]
- Kline, R.B. Principles and Practice of Structural Equation Modeling; Guilford: New York, NY, USA, 2005. [Google Scholar]
- Hankings, M. How discriminative are discriminating instruments? Health Qual. Life Outcomes 2008, 36, 1–5. [Google Scholar]
- George, D.; Mallery, P. IBM SPSS Statistics 23 Step by Step: A Simple Guide and Reference; Routledge: New York, NY, USA, 2016. [Google Scholar]
- Litman, J.A. The COPE inventory: Dimensionality and relationships with approach- and avoidance-motives and positive and negative traits. Personal. Individ. Differ. 2006, 41, 273–284. [Google Scholar] [CrossRef]
- Sica, C.; Novara, C.; Dorz, S.; Sanavio, E. Coping strategies: Evidence for cross-cultural differences? A preliminary study with the Italian version of coping orientations to problems experienced (COPE). Personal. Individ. Differ. 1997, 23, 1025–1029. [Google Scholar] [CrossRef]
- Stowell, J.R.; Kiecolt-Glaser, J.K.; Glaser, R. Perceived stress and cellular immunity: When coping counts. J. Behav. Med. 2001, 24, 323–339. [Google Scholar] [CrossRef] [PubMed]
- Dias, C.; Cruz, J.F.; Fonseca, A.M. The relationship between multidimensional competitive anxiety, cognitive threat appraisal, and coping strategies: A multi-sport study. Int. J. Sport Exerc. Psychol. 2012, 10, 52–65. [Google Scholar] [CrossRef] [Green Version]
- Eisenberg, S.A.; Shen, B.J.; Schwarz, E.R.; Mallon, S. Avoidant coping moderates the association between anxiety and patient-rated physical functioning in heart failure patients. J. Behav. Med. 2012, 35, 253–261. [Google Scholar] [CrossRef] [PubMed]
- Poulus, D.; Coulter, T.J.; Trotter, M.G.; Polman, R. Stress and coping in esports and the influence of mental toughness. Front. Psychol. 2020, 11, 628. [Google Scholar] [CrossRef] [Green Version]
- Thai, T.T.; Le, P.T.V.; Huynh, Q.H.N.; Pham, P.T.T.; Bui, H.T.H. Perceived stress and coping strategies during the COVID-19 pandemic among public health and preventive medicine students in Vietnam. Psychol. Res. Behav. Manag. 2021, 14, 795–804. [Google Scholar] [CrossRef]
- Kotas, R.; Nowakowshka-Kotas, M.; Budrewicz, S.; Pokryszko-Dragan, A. The level of stress and coping strategies in patients with multiple sclerosis and their relationships with the disease course. J. Clin. Med. 2021, 10, 3916. [Google Scholar] [CrossRef]
- Graves, B.S.; Hall, M.E.; Dias-Karch, C.; Haischer, M.H.; Apter, C. Gender differences in perceived stress and coping among college students. PLoS ONE 2021, 16, e0255634. [Google Scholar] [CrossRef]
- Washburn-Ormachea, J.M.; Hillman, S.B.; Sawilowsky, S.S. Gender and gender-role orientation differences on adolescents’ coping with peer stressors. J. Youth Adolesc. 2004, 33, 31–40. [Google Scholar] [CrossRef]
- Santacana, M.F.I.; Kirchner, T.; Abad, J.; Amador, J.A. Differences between genders and coping: Different coping strategies or different stressors? Anu. Psicol. 2012, 2, 5–18. [Google Scholar]
- Chen, S.-M.; Sun, P.Z. Gender differences in the interaction effect of cumulative risk and problem-focused coping on depression among adult employees. PLoS ONE 2019, 14, e0226036. [Google Scholar] [CrossRef] [PubMed]
Publisher’s Note: MDPI stays neutral with regard to jurisdictional claims in published maps and institutional affiliations. |
© 2022 by the authors. Licensee MDPI, Basel, Switzerland. This article is an open access article distributed under the terms and conditions of the Creative Commons Attribution (CC BY) license (https://creativecommons.org/licenses/by/4.0/).
