Transferring Knowledge in a Knowledge-in-Use Task—Investigating the Role of Knowledge Organization
Abstract
1. Introduction
1.1. Knowledge-in-Use
1.2. Transfer as Sense Making
1.3. The Role of Prior Knowledge for Transfer
1.4. Research Questions
2. Materials and Methods
2.1. Design and Sample
2.2. Measures
2.2.1. Interviews and Knowledge networks
2.2.2. The Transfer Task
2.2.3. Goal Orientation Measure
2.3. Analyses
2.3.1. Research Question 1—Linking Knowledge networks and Transfer
2.3.2. Research Question 2—The Interplay of Goal Orientation, the Structure of Students’ Knowledge networks, and Successful Transfer
3. Results
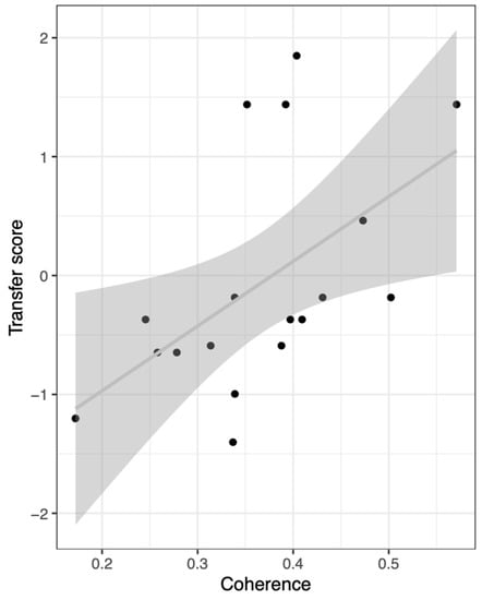
3.1. Research Question 1—Linking Knowledge networks and Transfer
3.2. Research Question 2—The Interplay of Goal Orientation, the Structure of Students’ Knowledge networks, and Successful Transfer
4. Discussion
4.1. Prior Knowledge and Transfer—It Is All About the Connections
4.2. The Role of Goal Orientation for Transfer
4.3. How Network Analysis Can Aid the Understanding of Transfer
4.4. Limitations
4.5. Using Network Analysis to Investigate the Structure of Students’ Knowledge networks—an Outlook
Author Contributions
Funding
Acknowledgments
Conflicts of Interest
References
- Schleicher, A. The Case for 21st-Century Learning. Available online: http://www.oecd.org/general/thecasefor21st-centurylearning.htm (accessed on 15 January 2020).
- NGSS Lead States. Next Generation Science Standards; National Acad. Press: Washington, DC, USA, 2013; ISBN 978-0-309-27227-8. [Google Scholar]
- Sekretariat der ständigen Konferenz der Kultusminister der Länder in der Bundesrepublik Deutschland. Bildungsstandards Physik-Mittlerer Schulabschluss; Luchterhand: München, Germany, 2004. [Google Scholar]
- Woodworth, R.S.; Thorndike, E.L. The influence of improvement in one mental function upon the efficiency of other functions. (I). Psychol. Rev. 1901, 8, 247–261. [Google Scholar] [CrossRef]
- Gick, M.L.; Holyoak, K.J. Analogical problem solving. Cognit. Psychol. 1980, 12, 306–355. [Google Scholar] [CrossRef]
- Derry, S.J. Cognitive schema theory in the constructivist debate. Educ. Psychol. 1996, 31, 163–174. [Google Scholar]
- Bransford, J.D.; Schwartz, D.L. Rethinking Transfer: A Simple Proposal with Multiple Implications. Rev. Res. Educ. 1999, 24, 61–100. [Google Scholar]
- Schwartz, D.L.; Bransford, J.D.; Sears, D. Efficiency and innovation in transfer. In Transfer of Learning from a Modern Multidisciplinary Perspective; Current Perspectives on Cognition, Learning, and Instruction; Mestre, J.P., Ed.; Information Age Publ.: Greenwich, CT, USA, 2005; ISBN 1-59311-164-9. [Google Scholar]
- Goldstone, R.L.; Day, S.B. Introduction to “New Conceptualizations of Transfer of Learning”. Educ. Psychol. 2012, 47, 149–152. [Google Scholar] [CrossRef]
- Chi, M.T.H.; Feltovich, P.J.; Glaser, R. Categorization and Representation of Physics Problems by Experts and Novices. Cogn. Sci. 1981, 5, 121–152. [Google Scholar] [CrossRef]
- diSessa, A.A.; Wagner, J.F. What coordination has to say about transfer. In Transfer of Learning from a Modern Multidisciplinary Perspective; Current Perspectives on Cognition, Learning, and Instruction; Mestre, J.P., Ed.; Information Age Publ.: Greenwich, CT, USA, 2005; ISBN 1-59311-164-9. [Google Scholar]
- Bransford, J. How People Learn: Brain, Mind, Experience, and School, Expanded ed.; National Research Council (U.S.), Ed.; National Academy Press: Washington, DC, USA, 2000; ISBN 978-0-585-32107-3. [Google Scholar]
- Schvaneveldt, R.W. (Ed.) Pathfinder Associative Networks: Studies in Knowledge Organizations; Ablex series in computational sciences; Ablex Pub. Corp: Norwood, NJ, USA, 1990; ISBN 978-0-89391-624-4. [Google Scholar]
- diSessa, A.A. A History of Conceptual Change Research. In The Cambridge Handbook of the Learning Sciences; Sawyer, R.K., Ed.; Cambridge University Press: Cambridge, UK, 2014; pp. 88–108. ISBN 978-1-139-51952-6. [Google Scholar]
- Won, M.; Krabbe, H.; Ley, S.L.; Treagust, D.F.; Fischer, H.E. Science Teachers’ Use of a Concept Map Marking Guide as a Formative Assessment Tool for the Concept of Energy. Educ. Assess. 2017, 22, 95–110. [Google Scholar] [CrossRef]
- Loh, A.S.L.; Subramaniam, R. Mapping the knowledge structure exhibited by a cohort of students based on their understanding of how a galvanic cell produces energy. J. Res. Sci. Teach. 2018. [Google Scholar] [CrossRef]
- Novak, J.D. Concept mapping: A useful tool for science education. J. Res. Sci. Teach. 1990, 27, 937–949. [Google Scholar] [CrossRef]
- Organization for Economic Cooperation and Development (OECD). Education at a Glance: OECD Indicators 2002; OECD: Paris, France, 2002. [Google Scholar]
- Harris, C.J.; Krajcik, J.S.; Pellegrino, J.W.; McElhaney, K.W. Constructing Assessment Tasks that Blend Disciplinary Core Ideas, Crosscutting Concepts, and Science Practices for Classroom Formative Applications; SRI International: Menlo Park, CA, USA, 2016. [Google Scholar]
- Kolodner, J. Case-Based Reasoning; Elsevier Science: Saint Louis, MO, USA, 2015; ISBN 978-1-4832-9449-0. [Google Scholar]
- Penuel, W.R.; Turner, M.L.; Jacobs, J.K.; Horne, K.; Sumner, T. Developing tasks to assess phenomenon-based science learning: Challenges and lessons learned from building proximal transfer tasks. Sci. Educ. 2019. [Google Scholar] [CrossRef]
- Nokes-Malach, T.J.; Mestre, J.P. Toward a Model of Transfer as Sense-Making. Educ. Psychol. 2013, 48, 184–207. [Google Scholar] [CrossRef]
- Kaplan, A.; Maehr, M.L. The Contributions and Prospects of Goal Orientation Theory. Educ. Psychol. Rev. 2007, 19, 141–184. [Google Scholar] [CrossRef]
- Elliot, A.J.; McGregor, H.A. Test anxiety and the hierarchical model of approach and avoidance achievement motivation. J. Pers. Soc. Psychol. 1999, 76, 628. [Google Scholar] [CrossRef] [PubMed]
- Elliot, A.J.; McGregor, H.A.; Gable, S. Achievement goals, study strategies, and exam performance: A mediational analysis. J. Educ. Psychol. 1999, 91, 549–563. [Google Scholar] [CrossRef]
- Friedel, J.M.; Cortina, K.S.; Turner, J.C.; Midgley, C. Achievement goals, efficacy beliefs and coping strategies in mathematics: The roles of perceived parent and teacher goal emphases. Contemp. Educ. Psychol. 2007, 32, 434–458. [Google Scholar] [CrossRef]
- Harackiewicz, J.M.; Durik, A.M.; Barron, K.E.; Linnenbrink-Garcia, L.; Tauer, J.M. The role of achievement goals in the development of interest: Reciprocal relations between achievement goals, interest, and performance. J. Educ. Psychol. 2008, 100, 105. [Google Scholar] [CrossRef]
- Elliot, A.; Dweck, C. Goals: An approach to achievement and motivation. J. Pers. Soc. Psychol. 1988, 54, 5–12. [Google Scholar] [CrossRef]
- Gick, M.L.; Holyoak, K.J. Schema induction and analogical transfer. Cognit. Psychol. 1983, 15, 1–38. [Google Scholar] [CrossRef]
- Belenky, D.M.; Nokes-Malach, T.J. Motivation and Transfer: The Role of Mastery-Approach Goals in Preparation for Future Learning. J. Learn. Sci. 2012, 21, 399–432. [Google Scholar] [CrossRef]
- National Academies of Sciences, Engineering, and Medicine. How People Learn II: Learners, Contexts, and Cultures; National Academies Press: Washington, DC, USA, 2018; ISBN 978-0-309-45964-8. [Google Scholar]
- Nokes, T.J.; Belenky, D.M. Incorporating Motivation into a Theoretical Framework for Knowledge Transfer. In Psychology of Learning and Motivation; Elsevier: Amsterdam, The Netherlands, 2011; Volume 55, pp. 109–135. ISBN 978-0-12-387691-1. [Google Scholar]
- Rumelhart, D.E.; McClelland, J.L. Parallel Distributed Processing: Explorations in the Microstructure of Cognition; Computational Models of Cognition and Perception; MIT Press: Cambridge, UK, 1986; ISBN 978-0-262-18120-4. [Google Scholar]
- Park, H.-J.; Friston, K. Structural and Functional Brain Networks: From Connections to Cognition. Science 2013, 342, 1238411. [Google Scholar] [CrossRef]
- Wagner, J.F. Transfer in Pieces. Cogn. Instr. 2006, 24, 1–71. [Google Scholar] [CrossRef]
- Wagner, J.F. A Transfer-In-Pieces Consideration of the Perception of Structure in the Transfer of Learning. J. Learn. Sci. 2010, 19, 443–479. [Google Scholar] [CrossRef]
- Piaget, J. The Construction of Reality in the Child; Routledge: London, UK, 2001; ISBN 978-0-415-21000-3. [Google Scholar]
- Krajcik, J.; Czerniak, C.M. Teaching Science in Elementary and Middle School: A Project-Based Approach; Routledge: Abingdon-on-Thames, UK, 2014. [Google Scholar]
- Fortus, D.; Kubsch, M.; Bielik, T.; Krajcik, J.; Lehavi, Y.; Neumann, K.; Nordine, J.; Opitz, S.; Touitou, I. Systems, transfer, and fields: Evaluating a new approach to energy instruction. J. Res. Sci. Teach. 2019, 56. [Google Scholar] [CrossRef]
- Kubsch, M.; Nordine, J.; Neumann, K.; Fortus, D.; Krajcik, J. Probing the Relation between Students’ Integrated Knowledge and Knowledge-in-Use about Energy using Network Analysis. Eurasia J. Math. Sci. Technol. Educ. 2019, 15. [Google Scholar] [CrossRef]
- Osborne, R.J.; Gilbert, J.K. A technique for exploring students’ views of the world. Phys. Educ. 1980, 15, 376. [Google Scholar] [CrossRef]
- Mayring, P. Qualitative Content Analysis; Beltz: Weinheim, UK, 2014. [Google Scholar]
- Neumann, K.; Viering, T.; Boone, W.J.; Fischer, H.E. Towards a learning progression of energy. J. Res. Sci. Teach. 2013, 50, 162–188. [Google Scholar] [CrossRef]
- Watts, D.M. Some alternative views of energy. Phys. Educ. 1983, 18, 213. [Google Scholar] [CrossRef]
- Gilbert, J.K.; Watts, D.M.; Osborne, R.J. Students’ conceptions of ideas in mechanics. Phys. Educ. 1982, 17, 62–66. [Google Scholar] [CrossRef]
- Linn, M.C. The Knowledge Integration Perspective on Learning and Instruction. In The Cambridge Handbook of: The Learning Sciences; Cambridge University Press: New York, NY, USA, 2006. [Google Scholar]
- Baxter, G.P.; Glaser, R. Investigating the Cognitive Complexity of Science Assessments. Educ. Meas. Issues Pract. 1998, 17, 37–45. [Google Scholar] [CrossRef]
- Mislevy, R.J. How Developments in Psychology and Technology Challenge Validity Argumentation: How Psychology and Technology Challenge Validity. J. Educ. Meas. 2016, 53, 265–292. [Google Scholar] [CrossRef]
- Vedder-Weiss, D.; Fortus, D. Adolescents’ Declining Motivation to Learn Science: Inevitable or Not? J. Res. Sci. Teach. 2011, 48, 199–216. [Google Scholar] [CrossRef]
- Bond, T.G.; Fox, C.M. Applying the Rasch Model: Fundamental Measurement in the Human Sciences, 3rd ed.; Routledge, Taylor and Francis Group: New York, NY, USA; London, UK, 2015; ISBN 978-0-415-83341-7. [Google Scholar]
- Linacre, J.M. What do infit and outfit, mean-Square and standardized mean? Rasch Meas. Trans. 2002, 16, 878. [Google Scholar]
- National Research Council. A Framework for K-12 Science Education; The National Academies Press: Washington, DC, USA, 2012; ISBN 978-1-280-67624-6. [Google Scholar]
- Nordine, J.; Fortus, D.; Lehavi, Y.; Neumann, K.; Krajcik, J. Modelling energy transfers between systems to support energy knowledge in use. Stud. Sci. Educ. 2019, 1–30. [Google Scholar] [CrossRef]
- Belenky, D.M.; Nokes-Malach, T.J. Mastery-Approach goals and knowledge transfer: An investigation into the effects of task structure and framing instructions. Learn. Individ. Differ. 2013, 25, 21–34. [Google Scholar] [CrossRef]
- Schwartz, D.L.; Goldstone, R. Learning as Coordination: Cognitve Psychology and Education. In Handbook of Educational Psychology; Routledge: New York, NY, USA, 2015. [Google Scholar]
- Brault Foisy, L.-M.; Potvin, P.; Riopel, M.; Masson, S. Is inhibition involved in overcoming a common physics misconception in mechanics? Trends Neurosci. Educ. 2015, 4, 26–36. [Google Scholar] [CrossRef]
- Masson, S.; Potvin, P.; Riopel, M.; Foisy, L.-M.B. Differences in brain activation between novices and experts in science during a task involving a common misconception in electricity. Mind Brain Educ. 2014, 8, 44–55. [Google Scholar] [CrossRef]
- Harrer, B.W.; Flood, V.J.; Wittmann, M.C. Productive resources in students’ ideas about energy: An alternative analysis of Watts’ original interview transcripts. Phys. Rev. Spec. Top.-Phys. Educ. Res. 2013, 9, 023101. [Google Scholar] [CrossRef]
- Duit, R. Should energy be illustrated as something quasi-material? Int. J. Sci. Educ. 1987, 9, 139–145. [Google Scholar] [CrossRef]
- Scherr, R.E.; Close, H.G.; McKagan, S.B.; Vokos, S. Representing energy. I. Representing a substance ontology for energy. Phys. Rev. Spec. Top.-Phys. Educ. Res. 2012, 8. [Google Scholar] [CrossRef]
- Kivela, M.; Arenas, A.; Barthelemy, M.; Gleeson, J.P.; Moreno, Y.; Porter, M.A. Multilayer networks. J. Complex Netw. 2014, 2, 203–271. [Google Scholar] [CrossRef]
- Stella, M.; de Nigris, S.; Aloric, A.; Siew, C.S.Q. Forma mentis networks quantify crucial differences in STEM perception between students and experts. PLoS ONE 2019, 14, e0222870. [Google Scholar] [CrossRef]





| Group | Mean | Standard Deviation | Cohen’s d |
|---|---|---|---|
| Whole Sample | −0.03 | 0.62 | 0.08, 95% CI [−0.41; 0.56] |
| Subsample used in this study | 0.02 | 0.44 |
| Category | Definition | Anchor Example | Borderline Cases |
|---|---|---|---|
| Energy forms | S talks about energy being manifest in a form of energy. | “When the ball is held in his hand it has gravitational potential energy”. | Incorrect usages of forms such as relating kinetic energy to height are coded as “Forms incorrect”. |
| Energy transfer | S talks about energy being transferred from one system (including fields and objects) to another. | “The fire is transferring energy up to the cup”. | Energy has to be transferred from one to another system. Energy only being transferred “from” or “to” something is not sufficient as coded as “Transfer incorrect”. |
| Energy Transformation | S talks about one form of energy being transformed into another. | “The gravitational energy is being converted to the kinetic energy”. | Energy has to be transformed from one form into another. |
| Gravity | S talks about gravity pulling something down. | “Because gravity is trying to force it down”. |
| Answer Component | Level of Performance | ||
|---|---|---|---|
| 0 | 1 | 2 | |
| Claim | Chris’ claim, or does not identify a “best” claim | Jordan’s claim | Harper’s claim (may refer to Jordan’s claim also being true) |
| Evidence (connecting to evidence observed in the phenomenon or presented in the reading) | Response does not connect to evidence observed in the phenomenon or provided in the learning resource, or simply restates the claim | Student cites evidence but, remains on the macroscopic level, e.g., the temperature of the heat pack solution increases during boiling | Evidence connects to particle rearrangement, e.g., particles in the crystal separate when the heat pack is boiled |
| Reasoning (connecting evidence to claim via energy ideas) | Refers to no correct energy ideas in support of their response, or simply restates the claim | Uses some correct energy ideas to link to evidence, e.g., energy is transferred to the solution if it heats up atoms speed up when something heats up | Connects changes in particle arrangement to energy transfer to/from the salt solution, e.g., energy is transferred to the solution as particles get farther apart Note: it is not necessary to connect to the idea of fields here. |
| Energy Idea | Energy FormsTransformation Unit | Energy Transfer Unit | ||||
|---|---|---|---|---|---|---|
| β2 | p | R2 | β2 | p | R2 | |
| Forms | 0.61 | 0.06 | 0.37 | 0.14 | 0.75 | 0.02 |
| Transformation | 0.70 | 0.02 | 0.50 | No student used Transformation ideas. | ||
| Transfer of energy | 0.22 | 0.53 | 0.05 | 0.80 | 0.02 | 0.64 |
| Transfer Score | Coherence | Degree | Mastery | |
|---|---|---|---|---|
| Transfer score | - | - | - | - |
| Coherence | 0.54 * | - | - | - |
| Degree | 0.62 ** | 0.77 *** | - | - |
| Mastery | 0.40 • | 0.36 | 0.52 * | - |
© 2020 by the authors. Licensee MDPI, Basel, Switzerland. This article is an open access article distributed under the terms and conditions of the Creative Commons Attribution (CC BY) license (http://creativecommons.org/licenses/by/4.0/).
Share and Cite
Kubsch, M.; Touitou, I.; Nordine, J.; Fortus, D.; Neumann, K.; Krajcik, J. Transferring Knowledge in a Knowledge-in-Use Task—Investigating the Role of Knowledge Organization. Educ. Sci. 2020, 10, 20. https://doi.org/10.3390/educsci10010020
Kubsch M, Touitou I, Nordine J, Fortus D, Neumann K, Krajcik J. Transferring Knowledge in a Knowledge-in-Use Task—Investigating the Role of Knowledge Organization. Education Sciences. 2020; 10(1):20. https://doi.org/10.3390/educsci10010020
Chicago/Turabian StyleKubsch, Marcus, Israel Touitou, Jeffrey Nordine, David Fortus, Knut Neumann, and Joseph Krajcik. 2020. "Transferring Knowledge in a Knowledge-in-Use Task—Investigating the Role of Knowledge Organization" Education Sciences 10, no. 1: 20. https://doi.org/10.3390/educsci10010020
APA StyleKubsch, M., Touitou, I., Nordine, J., Fortus, D., Neumann, K., & Krajcik, J. (2020). Transferring Knowledge in a Knowledge-in-Use Task—Investigating the Role of Knowledge Organization. Education Sciences, 10(1), 20. https://doi.org/10.3390/educsci10010020

