An Interactive Task Conditioning System Featuring Personal Comfort Models and Non-Intrusive Sensing Techniques: A Field Study in Shanghai
Abstract
:1. Introduction
1.1. Related Work
1.2. Motivation and Contribution
2. Methodology
2.1. Development of Non-Intrusive Sensing System
- Cool or warm the object covered with electric tape whose emissivity is 0.95 [28] (the object used in the calibration needs to have high emissivity close to 1). As a result, the electric tape temperature can be distinguished from the environment temperature and the temperature distribution over the electric tape will be uniform;
- Use the Infrared camera to take the photo of the object (Figure 2) and measure the average temperature of the tape surface with the camera at 0.5-m distance;
- Measure the temperature of the tape surface with AMG8833 at the same distance and make sure that all pixels (only measure the surface temperature of the electric tape; and
- Calibrate the temperature of all pixels with For instance, .
2.2. Development of Personal Comfort Models
2.3. Case Study
3. Result Analysis
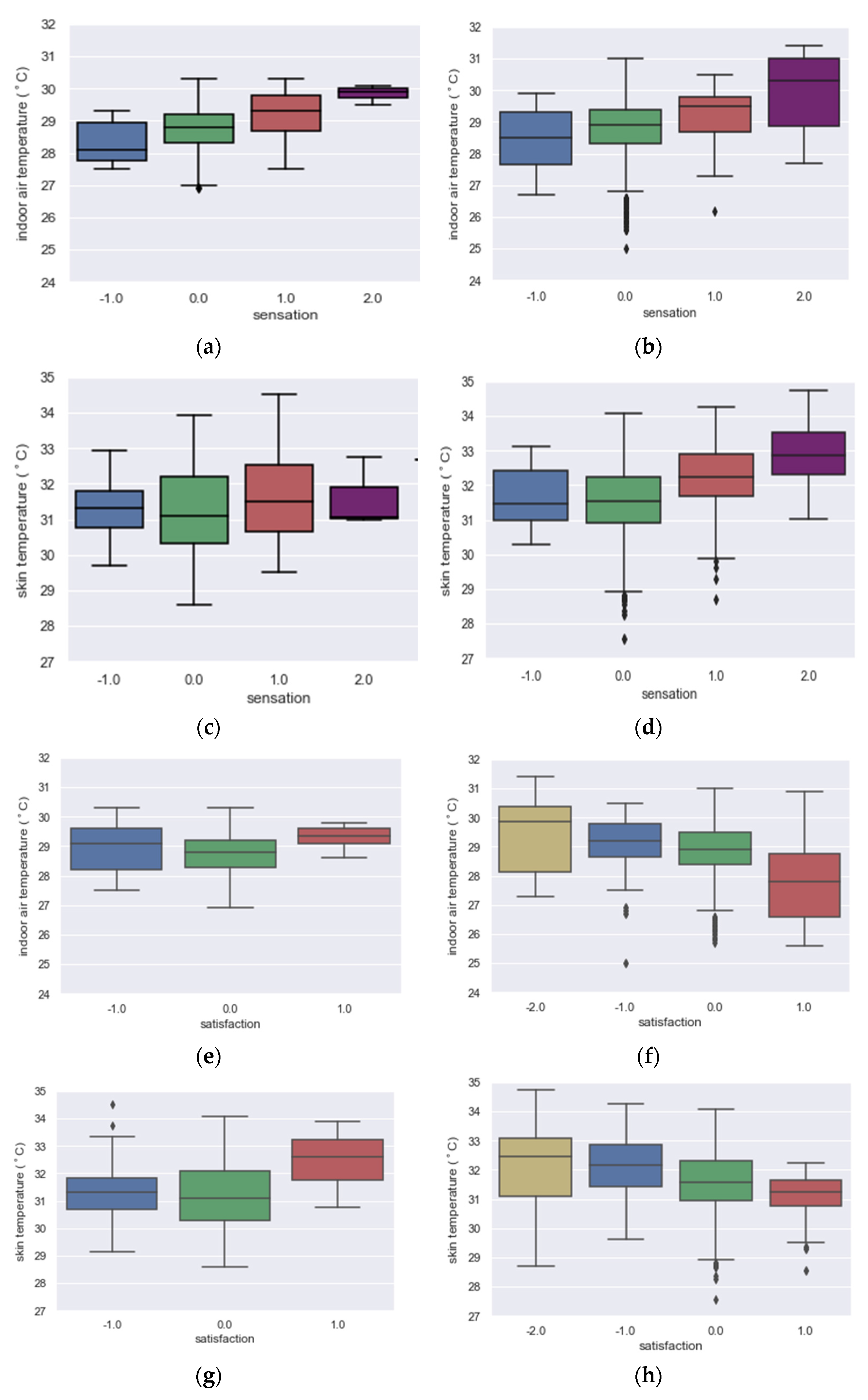
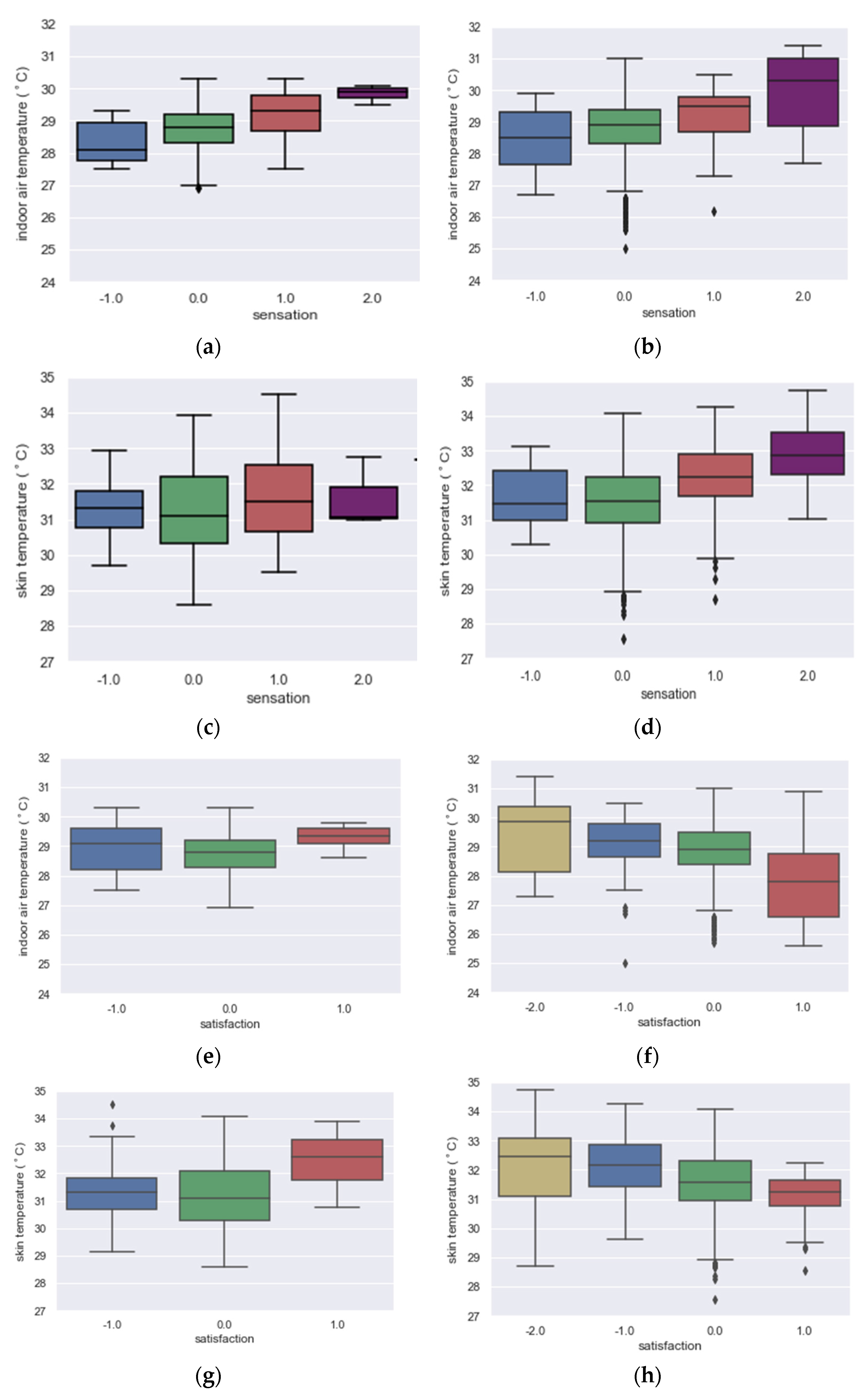
3.1. Analysis between Objective Thermal Environment Conditions and Subjective Thermal Comfort
3.2. Performances of Personal Comfort Models
4. Discussion
5. Conclusions
Author Contributions
Funding
Institutional Review Board Statement
Informed Consent Statement
Data Availability Statement
Acknowledgments
Conflicts of Interest
References
- Bauman, F.S.; Arens, E.A. Task/Ambient Conditioning Systems: Engineering and Application Guidelines; Center for Environmental Design Research, University of California: Berkeley, CA, USA, 1996. [Google Scholar]
- Zhang, H.; Arens, E.; Kim, D.; Buchberger, E.; Bauman, F.; Huizenga, C. Comfort, perceived air quality, and work performance in a low-power task-ambient conditioning system. Build. Environ. 2010, 45, 29–39. [Google Scholar] [CrossRef] [Green Version]
- Andersen, M.P.; Fierro, G.; Kumar, S.; Chen, M.; Truong, L.; Kim, J.; Arens, E.A.; Zhang, H.; Raftery, P.; Culler, D.E. Well-connected microzones for increased building efficiency and occupant comfort. In Proceedings of the 2nd ACM International Conference on Embedded Systems for Energy-Efficient Built Environments, Seoul, Korea, 4–5 November 2015; pp. 121–122. [Google Scholar]
- Bauman, F.; Raftery, P.; Kim, J.; Kaam, S.; Schiavon, S.; Zhang, H.; Arens, E.; Brown, K.; Peffer, T.; Blumstein, C.; et al. Changing the Rules: Innovative Low-Energy Occupant-Responsive HVAC Controls and Systems. Final Report to the California Energy Comission; CEC Contract PIR-12-026; Center for the Built Environment: Berkeley, CA, USA, 2017. [Google Scholar]
- Fanger, P.O. Thermal Comfort. Analysis and Applications in Environmental Engineering; Danish Technical Press: Copenhagen, Demark, 1970. [Google Scholar]
- De Dear, R.; Brager, G.S. Developing an Adaptive Model of Thermal Comfort and Preference; American Society of Heating, Refrigerating and Air-Conditioning Engineers, Inc.: Atlanta, GA, USA, 1998; Volume 104, Part 1. [Google Scholar]
- Kim, J.; Schiavon, S.; Brager, G. Personal comfort models—A new paradigm in thermal comfort for occupant-centric environmental control. Build. Environ. 2018, 132, 114–124. [Google Scholar] [CrossRef] [Green Version]
- Lee, S.; Bilionis, I.; Karava, P.; Tzempelikos, A. A Bayesian approach for probabilistic classification and inference of occupant thermal preferences in office buildings. Build. Environ. 2017, 118, 323–343. [Google Scholar] [CrossRef] [Green Version]
- Youssef, A.; Youssef Ali Amer, A.; Caballero, N.; Aerts, J.M. Towards online personalized-monitoring of human thermal sensation using machine learning approach. Appl. Sci. 2019, 9, 3303. [Google Scholar] [CrossRef] [Green Version]
- Ngarambe, J.; Yun, G.Y.; Santamouris, M. The use of artificial intelligence (AI) methods in the prediction of thermal comfort in buildings: Energy implications of AI-based thermal comfort controls. Energy Build. 2020, 211, 109807. [Google Scholar] [CrossRef]
- Xie, J.; Li, H.; Li, C.; Zhang, J.; Luo, M. Review on occupant-centric thermal comfort sensing, predicting, and controlling. Energy Build. 2020, 226, 110392. [Google Scholar] [CrossRef]
- Choi, J.H. CoBi: Bio-Sensing Building Mechanical System Controls for Sustainably Enhancing Individual Thermal Comfort. Ph.D. Thesis, Carnegie Mellon University, Pittsburgh, PA, USA, 2010. [Google Scholar]
- Sim, S.Y.; Koh, M.J.; Joo, K.M.; Noh, S.; Park, S.; Kim, Y.H.; Park, K.S. Estimation of thermal sensation based on wrist skin temperatures. Sensors 2016, 16, 420. [Google Scholar] [CrossRef] [Green Version]
- Li, W.; Zhang, J.; Zhao, T.; Liang, R. Experimental research of online monitoring and evaluation method of human thermal sensation in different active states based on wristband device. Energy Build. 2018, 173, 613–622. [Google Scholar] [CrossRef]
- Ghahramani, A.; Castro, G.; Karvigh, S.A.; Becerik-Gerber, B. Towards unsupervised learning of thermal comfort using infrared thermography. Appl. Energy 2018, 211, 41–49. [Google Scholar] [CrossRef] [Green Version]
- Huang, C.C.; Yang, R.; Newman, M.W. The potential and challenges of inferring thermal comfort at home using commodity sensors. In Proceedings of the 2015 ACM International Joint Conference on Pervasive and Ubiquitous Computing, Osaka, Japan, 7–11 September 2015; pp. 1089–1100. [Google Scholar]
- Dai, C.; Zhang, H.; Arens, E.; Lian, Z. Machine learning approaches to predict thermal demands using skin temperatures: Steady-state conditions. Build. Environ. 2017, 114, 1–10. [Google Scholar] [CrossRef] [Green Version]
- Hasan, M.H.; Alsaleem, F.; Rafaie, M. Sensitivity study for the PMV thermal comfort model and the use of wearable devices biometric data for metabolic rate estimation. Build. Environ. 2016, 110, 173–183. [Google Scholar] [CrossRef]
- Abdallah, M.; Clevenger, C.; Vu, T.; Nguyen, A. Sensing occupant comfort using wearable technologies. In Proceedings of the Construction Research Congress, San Juan, Puerto Rico, 31 May–2 June 2016; pp. 940–950. [Google Scholar]
- Cosma, A.C.; Simha, R. Machine learning method for real-time non-invasive prediction of individual thermal preference in transient conditions. Build. Environ. 2019, 148, 372–383. [Google Scholar] [CrossRef]
- Li, D.; Menassa, C.C.; Kamat, V.R. Non-intrusive interpretation of human thermal comfort through analysis of facial infrared thermography. Energy Build. 2018, 176, 246–261. [Google Scholar] [CrossRef]
- Li, D.; Menassa, C.C.; Kamat, V.R. Robust non-intrusive interpretation of occupant thermal comfort in built environments with low-cost networked thermal cameras. Appl. Energy 2019, 251, 113336. [Google Scholar] [CrossRef]
- Ranjan, J.; Scott, J. ThermalSense: Determining dynamic thermal comfort preferences using thermographic imaging. In Proceedings of the 2016 ACM International Joint Conference on Pervasive and Ubiquitous Computing, Heidelberg, Germany, 12–16 September 2016; pp. 1212–1222. [Google Scholar]
- Han, D.; Li, R.; Wang, F.; Sun, Z.; Moon, S.; Gong, Z.; Zhang, Y. Study on indoor thermal environment control based on thermal sensation prediction. Procedia Eng. 2017, 205, 3072–3079. [Google Scholar] [CrossRef]
- Lu, S.; Wang, W.; Wang, S.; Cochran Hameen, E. Thermal comfort-based personalized models with non-intrusive sensing technique in office buildings. Appl. Sci. 2019, 9, 1768. [Google Scholar] [CrossRef] [Green Version]
- Cosma, A.C.; Simha, R. Thermal comfort modeling in transient conditions using real-time local body temperature extraction with a thermographic camera. Build. Environ. 2018, 143, 36–47. [Google Scholar] [CrossRef]
- Abbas, M. Frequently Asked Questions: Infrared Grideye Sensor. Panasonic Inc. 2015. Available online: https://cdn.sparkfun.com/assets/2/0/3/f/b/faqs_grideye_v1.0.pdf (accessed on 1 April 2018).
- FLIR. Use Low-Cost Materials to Increase Target Emissivity. TELEDYNE FLIR LLC. 2015. Available online: https://www.flir.com/discover/rd-science/use-low-cost-materials-to-increase-target-emissivity/ (accessed on 8 March 2021).
- Sekhar, S.C. Higher space temperatures and better thermal comfort—A tropical analysis. Energy Build. 1995, 23, 63–70. [Google Scholar] [CrossRef]
- Li, W. Numerical and Experimental Study of Thermal Stratification in Large Warehouses. Ph.D. Thesis, Concordia University, Montreal, QC, Canada, 2016. [Google Scholar]
- Ashrae, A.S. Standard 55-2013. Thermal Environmental Conditions for Human Occupancy; American Society of Heating, Refrigerating and Air-Conditioning Engineers, Inc.: Atlanta, GA, USA, 2013. [Google Scholar]
- Smola, A.J.; Schölkopf, B. A tutorial on support vector regression. Stat. Comput. 2004, 14, 199–222. [Google Scholar] [CrossRef] [Green Version]
- Kohavi, R. A study of cross-validation and bootstrap for accuracy estimation and model selection. IJCAI 1995, 14, 1137–1145. [Google Scholar]
- Pedregosa, F.; Varoquaux, G.; Gramfort, A.; Michel, V.; Thirion, B.; Grisel, O.; Blondel, M.; Prettenhofer, P.; Weiss, R.; Dubourg, V.; et al. Scikit-learn: Machine learning in Python. J. Mach. Learn. Res. 2011, 12, 2825–2830. [Google Scholar]
- Goutte, C.; Gaussier, E. A probabilistic interpretation of precision, recall and F-score, with implication for evaluation. In European Conference on Information Retrieval; Springer: Berlin/Heidelberg, Germany, 2005; pp. 345–359. [Google Scholar]
- McCracken, I. Ouimeaux: Open Source WeMo Control. 2014. Available online: https://github.com/iancmcc/ouimeaux (accessed on 1 May 2018).
- Mathworks. ThingSpeak Communication Library for Arduino, ESP8266 and ESP32. 2015. Available online: https://github.com/mathworks/thingspeak-arduino (accessed on 1 June 2018).
- Nie, C.; Gao, Y.; Li, B.; Tan, M. Research of summer comfortable temperature in Air-conditioning Room in Chongqing, China. In Proceedings of the 2011 International Conference on Remote Sensing, Environment and Transportation Engineering, Nanjing, China, 24–26 June 2011; pp. 4318–4321. [Google Scholar]
- Shahzad, S.; Brennan, J.; Theodossopoulos, D.; Calautit, J.K.; Hughes, B.R. Does a neutral thermal sensation determine thermal comfort? Build. Serv. Eng. Res. Technol. 2018, 39, 183–195. [Google Scholar] [CrossRef]












| Variable | Sensor | Unit | Resolution | Accuracy | Operating Range |
|---|---|---|---|---|---|
| Air temperature | DHT22 | °C | 0.1 °C | ±0.5 °C | −40–80 °C |
| Relative humidity | DHT22 | % | 0.1% | ±2% | 0–100% |
| Skin temperature (calibrated) | AMG8833 | °C | 0.01 °C | ±0.5 °C | 0–80 °C |
| Predicted: Negative | Predicted: Positive | |
|---|---|---|
| Actual: Negative | True negative (TN) | False positive (FP) |
| Actual: Positive | False negative (FN) | True positive (TP) |
| Gender | Sensation Prediction with Baseline Model | Sensation Prediction with Proposed Model | Satisfaction Prediction with Baseline Model | Satisfaction Prediction with Proposed Model |
|---|---|---|---|---|
| All female | 82.65% | 84.7% | 73.5% | 76.5% |
| All male | 87.0% | 87.0% | 81.2% | 82.5% |
| F | 93.0% | 88.0% | 83.0% | 84.0% |
| F | 90.9% | 91.0% | 63.6% | 77.3% |
| F | 84.6% | 85.0% | 84.6% | 84.6% |
| F | 50.0% | 75.0% | 50.0% | 75.0% |
| F | 61.5% | 61.5% | 84.6% | 84.6% |
| M | 92.3% | 94.9% | 82.1% | 82.0% |
| M | 86.7% | 90.0% | 80.0% | 87.0% |
| M | 83.3% | 83.3% | 83.3% | 83.3% |
| M | 94.7% | 94.7% | 89.5% | 90.0% |
| M | 100.0% | 100.0% | 100.0% | 100.0% |
| M | 100.0% | 100.0% | 100.0% | 100.0% |
| M | 61.5% | 61.5% | 46.1% | 46.1% |
Publisher’s Note: MDPI stays neutral with regard to jurisdictional claims in published maps and institutional affiliations. |
© 2021 by the authors. Licensee MDPI, Basel, Switzerland. This article is an open access article distributed under the terms and conditions of the Creative Commons Attribution (CC BY) license (https://creativecommons.org/licenses/by/4.0/).
Share and Cite
Lu, S.; Cochran Hameen, E. An Interactive Task Conditioning System Featuring Personal Comfort Models and Non-Intrusive Sensing Techniques: A Field Study in Shanghai. Technologies 2021, 9, 90. https://doi.org/10.3390/technologies9040090
Lu S, Cochran Hameen E. An Interactive Task Conditioning System Featuring Personal Comfort Models and Non-Intrusive Sensing Techniques: A Field Study in Shanghai. Technologies. 2021; 9(4):90. https://doi.org/10.3390/technologies9040090
Chicago/Turabian StyleLu, Siliang, and Erica Cochran Hameen. 2021. "An Interactive Task Conditioning System Featuring Personal Comfort Models and Non-Intrusive Sensing Techniques: A Field Study in Shanghai" Technologies 9, no. 4: 90. https://doi.org/10.3390/technologies9040090
APA StyleLu, S., & Cochran Hameen, E. (2021). An Interactive Task Conditioning System Featuring Personal Comfort Models and Non-Intrusive Sensing Techniques: A Field Study in Shanghai. Technologies, 9(4), 90. https://doi.org/10.3390/technologies9040090
