Effective Complex Properties for Three-Phase Elastic Fiber-Reinforced Composites with Different Unit Cells
Abstract
1. Introduction
2. Statement of the Problem and Method of Solution
2.1. Mathematical Formulation for the Elastic Heterogeneous Media
2.2. Method of Solution: Local Problems and Effective Coefficients
2.3. Analytical Solution of the Local Problems
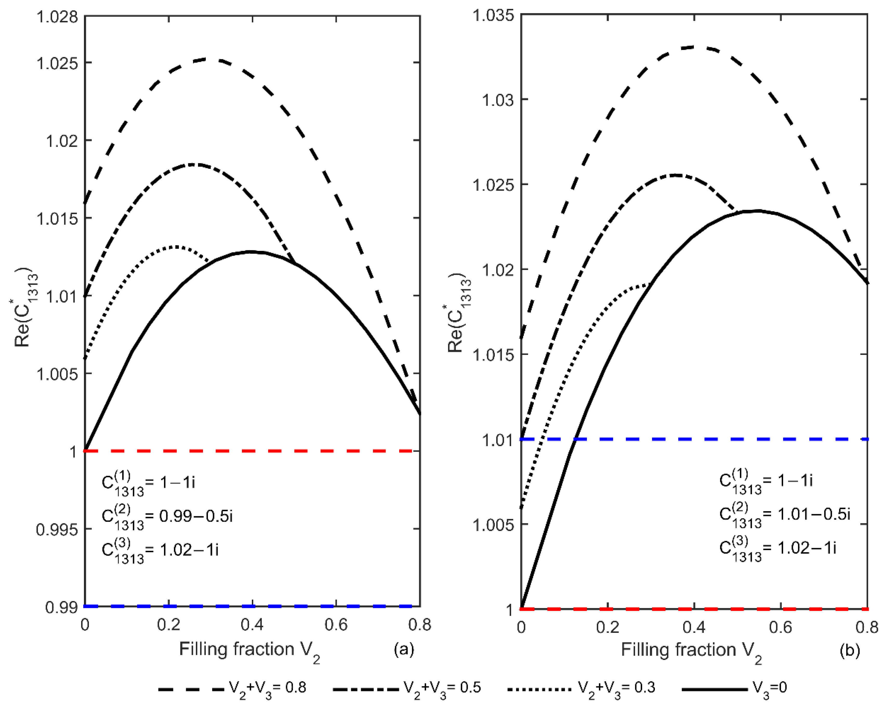
3. Numerical Results
4. Conclusions
- (i)
- The fiber spatial distribution, represented as parallelogram-like unit cell, is capable of describing three class of symmetry point group: tetragonal 4 mm (square unit cell), hexagonal 6 mm (hexagonal unit cell), and monoclinic 2 (other parallelogram unit cells) structures.
- (ii)
- The enhancement in the shear effective property is more remarkable for three-phase FRC than two-phase FRC.
- (iii)
- The volume fraction interval where enhancement appeared is larger for a three-phase FRC than the interval for the two-phase FRC.
- (iv)
- The presence of negative values for the real and imaginary parts of appears for some parallelogram unit cells.
- (v)
- The manipulation of the mesophase can be used as a way to enhance the real and imaginary parts of the shear elastic properties.
- (vi)
- The numerical results prove that the AHM is an accurate and efficient approach for the study of FRC with a mesophase and for different spatial fiber distributions in a matrix.
Author Contributions
Funding
Institutional Review Board Statement
Informed Consent Statement
Acknowledgments
Conflicts of Interest
Appendix A
Appendix B
References
- Bonfoh, N.; Coulibaly, M.; Sabar, H. Effective properties of elastic composite materials with multi-coated reinforcements: A new micromechanical modelling and applications. Compos. Struct. 2014, 115, 111–119. [Google Scholar] [CrossRef]
- Prashanth, S.; Subbaya, K.M.; Nithin, K.; Sachhidananda, S. Fiber Reinforced Composites—A Review. J. Mater. Sci. Eng. 2017, 6, 1000341. [Google Scholar]
- Egbo, M.K. A fundamental review on composite materials and some of their applications in biomedical engineering. J. King Saud. Univ. Eng. Sci. 2020, in press. [Google Scholar] [CrossRef]
- Wang, M.; Pan, N. Predictions of effective physical properties of complex multiphase materials. Mater. Sci. Eng. R Reports 2008, 63, 1–30. [Google Scholar] [CrossRef]
- Beicha, D.; Kanit, T.; Brunet, Y.; Imad, A.; El Moumen, A.; Khelfaoui, Y. Effective transverse elastic properties of unidirectional fiber reinforced composites. Mech. Mater. 2016, 102, 47–53. [Google Scholar] [CrossRef]
- Dinzart, F.; Sabar, H.; Berbenni, S. Homogenization of multi-phase composites based on a revisited formulation of the multi-coated inclusion problem. Int. J. Eng. Sci. 2016, 100, 136–151. [Google Scholar] [CrossRef]
- Sabina, F.J.; Guinovart-Díaz, R.; Espinosa-Almeyda, Y.; Rodríguez-Ramos, R.; Bravo-Castillero, J.; López-Realpozo, J.C.C.; Guinovart-Sanjuán, D.; Böhlke, T.; Sánchez-Dehesa, J. Effective transport properties for periodic multiphase fiber-reinforced composites with complex constituents and parallelogram unit cells. Int. J. Solids Struct. 2020, 204–205, 96–113. [Google Scholar] [CrossRef]
- Nasirov, A.; Fidan, I. Prediction of mechanical properties of fused filament fabricated structures via asymptotic homogenization. Mech. Mater. 2020, 145, 103372. [Google Scholar] [CrossRef]
- Nasirov, A.; Gupta, A.; Hasanov, S.; Fidan, I. Three-scale asymptotic homogenization of short fiber reinforced additively manufactured polymer composites. Compos. Part B Eng. 2020, 202, 108269. [Google Scholar] [CrossRef]
- Jin, J.-W.; Jeon, B.-W.; Choi, C.-W.; Kang, K.-W. Multi-Scale Probabilistic Analysis for the Mechanical Properties of Plain Weave Carbon/Epoxy Composites Using the Homogenization Technique. Appl. Sci. 2020, 10, 6542. [Google Scholar] [CrossRef]
- Rodríguez-Ramos, R.; Sabina, F.J.; Guinovart-Díaz, R.; Bravo-Castillero, J. Closed-form expressions for the effective coefficients of a fiber-reinforced composite with transversely isotropic constituents–I. Elastic and square symmetry. Mech. Mater. 2001, 33, 223–235. [Google Scholar] [CrossRef]
- Guinovart-Díaz, R.; Bravo-Castillero, J.; Rodríguez-Ramos, R.; Sabina, F.J.; Rodríguez-Ramos, R.; Bravo-Castillero, J.; Guinovart-Díaz, R. Closed-form expressions for the effective coefficients of a fibre-reinforced composite with transversely isotropic constituents. II: Piezoelectric and hexagonal symmetry. J. Mech. Phys. Solids 2001, 49, 1463–1479. [Google Scholar] [CrossRef]
- Jiang, C.P.; Xu, Y.L.; Cheung, Y.K.; Lo, S.H. A rigorous analytical method for doubly periodic cylindrical inclusions under longitudinal shear and its application. Mech. Mater. 2004, 36, 225–237. [Google Scholar] [CrossRef][Green Version]
- Eshelby, J.D. The determination of the elastic field of an ellipsoidal inclusion, and related problems. Proc. R. Soc. Lond. Ser. A 1957, 241, 376–396. [Google Scholar]
- Lu, J.-K. Boundary Value Problems for Analytic Functions; Series in Pure Mathematics; World Scientific: London, UK, 1994; Volume 16. [Google Scholar]
- Artioli, E.; Bisegna, P.; Maceri, F. Effective longitudinal shear moduli of periodic fibre-reinforced composites with radially-graded fibres. Int. J. Solids Struct. 2010, 47, 383–397. [Google Scholar] [CrossRef]
- Shu, W.; Stanciulescu, I. Multiscale homogenization method for the prediction of elastic properties of fiber-reinforced composites. Int. J. Solids Struct. 2020, 203, 249–263. [Google Scholar] [CrossRef]
- Dhimole, V.K.; Chen, Y.; Cho, C. Modeling and Two-Step Homogenization of Aperiodic Heterogenous 3D Four-Directional Braided Composites. J. Compos. Sci. 2020, 4, 179. [Google Scholar] [CrossRef]
- Bisegna, P.; Caselli, F. A simple formula for the effective complex conductivity of periodic fibrous composites with interfacial impedance and applications to biological tissues. J. Phys. D. Appl. Phys. 2008, 41, 115506. [Google Scholar] [CrossRef]
- Godin, Y.A. Effective complex permittivity tensor of a periodic array of cylinders. J. Math. Phys. 2013, 54, 53505. [Google Scholar] [CrossRef]
- Godin, Y.A. Effective properties of periodic tubular structures. Q. J. Mech. Appl. Math. 2016, 69, 181–193. [Google Scholar] [CrossRef][Green Version]
- Milton, G.W. Bounds on the complex dielectric constant of a composite material. Appl. Phys. Lett. 1980, 37, 300–302. [Google Scholar] [CrossRef]
- Milton, G.W.; Movchan, A.B. A correspondence between plane elasticity and the two-dimensional real and complex dielectric equations in anisotropic media. Proc. R. Soc. London. Ser. A Math. Phys. Sci. 1995, 450, 293–317. [Google Scholar]
- Mackay, T.G.; Lakhtakia, A. Gain and loss enhancement in active and passive particulate composite materials. Waves Random Complex Media 2016, 26, 553–563. [Google Scholar] [CrossRef]
- Guild, M.D.; Garcia-Chocano, V.M.; Kan, W.; Sánchez-Dehesa, J. Enhanced inertia from lossy effective fluids using multi-scale sonic crystals. AIP Adv. 2014, 4, 124302. [Google Scholar] [CrossRef]
- Luong, Q.; Nguyen, M.; TonThat–Long; Tran, D. Complex Shear Modulus Estimation using Integration of LMS/AHI Algorithm. Int. J. Adv. Comput. Sci. Appl. 2018, 9, 584–589. [Google Scholar] [CrossRef]
- Hashin, Z. Thin interphase/imperfect interface in elasticity with application to coated fiber composites. J. Mech. Phys. Solids 2002, 50, 2509–2537. [Google Scholar] [CrossRef]
- Sevostianov, I.; Rodríguez-Ramos, R.; Guinovart-Díaz, R.; Bravo-Castillero, J.; Sabina, F.J. Connections between different models describing imperfect interfaces in periodic fiber-reinforced composites. Int. J. Solids Struct. 2012, 49, 1518–1525. [Google Scholar] [CrossRef]
- Guinovart-Díaz, R.; Rodríguez-Ramos, R.; López-Realpozo, J.C.; Bravo-Castillero, J.; Otero, J.A.; Sabina, F.J.; Lebon, F.; Dumont, S. Analysis of fibrous elastic composites with nonuniform imperfect adhesion. Acta Mech. 2016, 227, 57–73. [Google Scholar] [CrossRef]
- Le, T.-T. Multiscale Analysis of Elastic Properties of Nano-Reinforced Materials Exhibiting Surface Effects. Application for Determination of Effective Shear Modulus. J. Compos. Sci. 2020, 4, 172. [Google Scholar] [CrossRef]
- Bensoussan, A.; Lions, J.; Papanicolaou, G. Asymptotic Analysis for Periodic Structures; North-Holland Publishing Company: Amsterdam, The Netherlands, 1978; ISBN 0444851720. [Google Scholar]
- Sánchez-Palencia, E. Non Homogeneous Media and Vibration Theory; Lecture Notes in Physiscs; Springer: Berlin/Heidelberg, Germany, 1980. [Google Scholar]
- Bakhvalov, N.S.; Panasenko, G.P. Homogenization Averaging Processes in Periodic Media; Kluwer Academic: Dordrecht, The Netherlands, 1989. [Google Scholar]
- Allaire, G.; Briane, M. Multiscale convergence and reiterated homogenisation. Proc. R. Soc. Edinb. Sect. A Math. 1996, 126, 297–342. [Google Scholar] [CrossRef]
- Auriault, J.L.; Boutin, C.; Geindreau, C. Homogenization of Coupled Phenomena in Heterogenous Media; Wiley-ISTE: Hoboken, NJ, USA, 2009. [Google Scholar]
- Penta, R.; Gerisch, A. Investigation of the potential of asymptotic homogenization for elastic composites via a three-dimensional computational study. Comput. Vis. Sci. 2015, 17, 185–201. [Google Scholar] [CrossRef]
- Ramírez-Torres, A.; Penta, R.; Rodríguez-Ramos, R.; Merodio, J.; Sabina, F.J.; Bravo-Castillero, J.; Guinovart-Díaz, R.; Preziosi, L.; Grillo, A. Three scales asymptotic homogenization and its application to layered hierarchical hard tissues. Int. J. Solids Struct. 2018, 130–131, 190–198. [Google Scholar] [CrossRef]
- Ramírez-Torres, A.; Penta, R.; Rodríguez-Ramos, R.; Grillo, A.; Preziosi, L.; Merodio, J.; Guinovart-Díaz, R.; Bravo-Castillero, J. Homogenized out-of-plane shear response of three-scale fiber-reinforced composites. Comput. Vis. Sci. 2019, 20, 85–93. [Google Scholar] [CrossRef]
- Dong, H.; Zheng, X.; Cui, J.; Nie, Y.; Yang, Z.; Yang, Z. High-order three-scale computational method for dynamic thermo-mechanical problems of composite structures with multiple spatial scales. Int. J. Solids Struct. 2019, 169, 95–121. [Google Scholar] [CrossRef]
- Guinovart-Díaz, R.; López-Realpozo, J.C.; Rodríguez-Ramos, R.; Bravo-Castillero, J.; Ramírez, M.; Camacho-Montes, H.; Sabina, F.J. Influence of parallelogram cells in the axial behaviour of fibrous composite. Int. J. Eng. Sci. 2011, 49, 75–84. [Google Scholar] [CrossRef]
- Kalamkarov, A.L.; Andrianov, I.V.; Pacheco, P.M.C.L.; Savi, M.A.; Starushenko, G.A. Asymptotic Analysis of Fiber-Reinforced Composites of Hexagonal Structure. J. Multiscale Model. 2016, 7, 1650006–1650270. [Google Scholar] [CrossRef]
- Rodríguez-Ramos, R.; Yan, P.; López-Realpozo, J.C.; Guinovart-Díaz, R.; Bravo-Castillero, J.; Sabina, F.J.; Jiang, C.P. Two analytical models for the study of periodic fibrous elastic composite with different unit cells. Compos. Struct. 2011, 93, 709–714. [Google Scholar] [CrossRef]
- Cioranescu, D.; Donato, P. An Introduction to Homogenization; Oxford University Press: Oxford, UK, 2000. [Google Scholar]
- Muskhelishvili, N.I. Some Basic Problems of the Mathematical Theory of Elasticity; Noordhoff: Groningen, Holland, 1953. [Google Scholar]
- Grigolyuk, E.I.; Fil’shtinskii, L.A. Perforated plates and shells; Nauka: Moscow, Russia, 1970; Volume 1, pp. 6–31. [Google Scholar]
- Markushevich, A.I. Theory of Functions of a Complex Variable; Silverman, R.A., Ed.; Prentice-Hall: Upper Saddle River, NJ, USA, 1967. [Google Scholar]
- Kantorovich, L.V.; Krylov, V.I. Approximate Methods of Higher Analysis, 3rd ed.; Interscience: INC, Groningen, The Netherlands, 1964. [Google Scholar]
- Van Loocke, M.; Lyons, C.G.; Simms, C.K. Viscoelastic properties of passive skeletal muscle in compression: Stress-relaxation behaviour and constitutive modelling. J. Biomech. 2008, 41, 1555–1566. [Google Scholar] [CrossRef]
- Sharafi, B.; Blemker, S.S. A micromechanical model of skeletal muscle to explore the effects of fiber and fascicle geometry. J. Biomech. 2010, 43, 3207–3213. [Google Scholar] [CrossRef]
- Frolova, K.P.; Vilchevskaya, E.N.; Bauer, S.M.; Müller, W.H. Determination of the shear viscosity of the sclera. ZAMM J. Appl. Math. Mech. Z. Angew. Math. Mech. 2019, 99, e201800156. [Google Scholar] [CrossRef]
- Marcucci, L.; Bondì, M.; Randazzo, G.; Reggiani, C.; Natali, A.N.; Pavan, P.G. Fibre and extracellular matrix contributions to passive forces in human skeletal muscles: An experimental based constitutive law for numerical modelling of the passive element in the classical Hill-type three element model. PLoS ONE 2019, 14, e0224232. [Google Scholar] [CrossRef] [PubMed]
- Kolpakov, A.; Kolpakov, A. Capacity and Transport. In Contrast Composite Structures: Asymptotic Analysis and Applications, 1st ed.; CRC Press: Boca Raton, FL, USA, 2009. [Google Scholar]
- López-Realpozo, J.C.; Rodríguez-Ramos, R.; Guinovart-Díaz, R.; Bravo-Castillero, J.; Otero, J.A.; Sabina, F.J.; Lebon, F.; Dumont, S.; Sevostianov, I. Effective elastic shear stiffness of a periodic fibrous composite with non-uniform imperfect contact between the matrix and the fibers. Int. J. Solids Struct. 2014, 51, 1253–1262. [Google Scholar] [CrossRef]


| (GPa) (Square Unit Cell,) | ||||||
| AHM | Godin [21] | Error (%) | AHM | Godin [21] | Error (%) | |
| 0.1 | 5.12292 | 5.12291 | 0 | −4.02626 | −4.02626 | 0 |
| 0.2 | 5.50633 | 5.50633 | 0 | −4.10103 | −4.10103 | 0 |
| 0.3 | 6.19810 | 6.19810 | 0 | −4.20863 | −4.20863 | 0 |
| 0.4 | 7.29680 | 7.29682 | 0.0003 | −4.30363 | −4.30364 | 0.0007 |
| 0.499 | 9.00105 | 8.99915 | 0.0568 | −4.21080 | −4.22202 | 0.2663 |
| (GPa) (Hexagonal Unit Cell,) | ||||||
| AHM | Godin [21] | Error (%) | AHM | Godin [21] | Error (%) | |
| 0.1 | 1.06782 | 1.06782 | 0 | −0.01569 | −0.01569 | 0 |
| 0.2 | 1.29996 | 1.29996 | 0 | −0.07777 | −0.07777 | 0 |
| 0.3 | 1.81491 | 1.81491 | 0 | −0.26416 | −0.26416 | 0 |
| 0.4 | 2.97891 | 2.97891 | 0 | −0.99392 | 0.99393 | 0 |
| 0.499 | 3.85417 | 3.85517 | 0.0261 | −6.27906 | −6.27919 | 0.0021 |
| Effective complex shears,and(in GPa) for a three-phase FRC with parallelogram unit cell ofand. | ||||||
| 1 | 7.394470 | −4.308182 | 0.022871 | 0.0098056 | 7.382213 | −4.313437 |
| 2 | 7.395010 | −4.307804 | 0.022972 | 0.0099212 | 7.382699 | −4.31312 |
| 3 | 7.395020 | −4.307797 | 0.022966 | 0.0099148 | 7.382713 | −4.31311 |
| 5 | 7.395021 | −4.307796 | 0.022966 | 0.0099150 | 7.382714 | −4.313109 |
| 7 | 7.395021 | −4.307796 | 0.022966 | 0.0099150 | 7.382714 | −4.313109 |
| 9 | 7.395021 | −4.307796 | 0.022966 | 0.0099150 | 7.382714 | −4.313109 |
| 11 | 7.395021 | −4.307796 | 0.022966 | 0.0099150 | 7.382714 | −4.313109 |
| Effective complex shears,,and(in GPa) for a three-phase FRC with a parallelogram unit cell ofand. | ||||||
| 1 | 9.156983 | −4.231357 | 0.052276 | 0.016613 | 9.128968 | −4.240260 |
| 2 | 9.174364 | −4.209425 | 0.063003 | 0.033689 | 9.140601 | −4.227480 |
| 3 | 9.175411 | −4.205838 | 0.061539 | 0.029078 | 9.142432 | −4.221421 |
| 5 | 9.176241 | −4.201475 | 0.062230 | 0.031106 | 9.142892 | −4.218145 |
| 7 | 9.176080 | −4.200378 | 0.062254 | 0.031390 | 9.142718 | −4.21720 |
| 9 | 9.175964 | −4.200090 | 0.062271 | 0.031380 | 9.142593 | −4.216907 |
| 11 | 9.175904 | −4.199996 | 0.062285 | 0.031371 | 9.142526 | −4.216808 |
| Real and imaginary parts of the effective complex shears,and(in GPa) of a three-phase FRC with constituent properties,, and. | ||||||
| 7.959917 | −4.365499 | −0.137684 | −0.079617 | 8.235285 | −4.206265 | |
| 7.402436 | −4.315333 | 0 | 0 | 7.402436 | −4.315333 | |
| 7.123041 | −4.295037 | 0.018346 | 0.007566 | 7.113210 | −4.299092 | |
| 7.036910 | −4.290163 | 0 | 0 | 7.036910 | −4.290163 | |
| Real and imaginary parts of the effective complex shears,,and(in GPa) of a three-phase FRC with constituent properties,, and. | ||||||
| 2.947561 | −1.280780 | −0.001267 | 1.090406 | 2.950095 | −3.461592 | |
| 2.659276 | −0.741382 | 0 | 0 | 2.659276 | −0.741382 | |
| 2.412547 | −0.589351 | 0.044877 | −0.044002 | 2.388498 | −0.565770 | |
| 2.332192 | −0.538175 | 0 | 0 | 2.332192 | −0.538175 | |
Publisher’s Note: MDPI stays neutral with regard to jurisdictional claims in published maps and institutional affiliations. |
© 2021 by the authors. Licensee MDPI, Basel, Switzerland. This article is an open access article distributed under the terms and conditions of the Creative Commons Attribution (CC BY) license (http://creativecommons.org/licenses/by/4.0/).
Share and Cite
Sabina, F.J.; Espinosa-Almeyda, Y.; Guinovart-Díaz, R.; Rodríguez-Ramos, R.; Camacho-Montes, H. Effective Complex Properties for Three-Phase Elastic Fiber-Reinforced Composites with Different Unit Cells. Technologies 2021, 9, 12. https://doi.org/10.3390/technologies9010012
Sabina FJ, Espinosa-Almeyda Y, Guinovart-Díaz R, Rodríguez-Ramos R, Camacho-Montes H. Effective Complex Properties for Three-Phase Elastic Fiber-Reinforced Composites with Different Unit Cells. Technologies. 2021; 9(1):12. https://doi.org/10.3390/technologies9010012
Chicago/Turabian StyleSabina, Federico J., Yoanh Espinosa-Almeyda, Raúl Guinovart-Díaz, Reinaldo Rodríguez-Ramos, and Héctor Camacho-Montes. 2021. "Effective Complex Properties for Three-Phase Elastic Fiber-Reinforced Composites with Different Unit Cells" Technologies 9, no. 1: 12. https://doi.org/10.3390/technologies9010012
APA StyleSabina, F. J., Espinosa-Almeyda, Y., Guinovart-Díaz, R., Rodríguez-Ramos, R., & Camacho-Montes, H. (2021). Effective Complex Properties for Three-Phase Elastic Fiber-Reinforced Composites with Different Unit Cells. Technologies, 9(1), 12. https://doi.org/10.3390/technologies9010012

