Abstract
With the increasing penetration of renewable energy sources, power systems require more grid-forming converters. Grid-forming converters with virtual synchronous generator control have transient stability problems similar to those of synchronous machines. However, the active power reference, frequency, and phase in virtual synchronous generators are artificially constructed and can be changed fast. This provides new approaches to improve the transient synchronization stability. Most existing virtual synchronous generator controls generate the internal voltage phase by integrating the frequency, resulting in limited control capability, which makes it hard to stop power angle divergence during deep voltage sags. This paper proposes a transient synchronization stability control strategy based on phase difference locking. Under deep voltage sags, the phase difference between the internal voltage and the terminal voltage is locked to prevent divergence of the power angle, while under shallow sags, the virtual synchronous generator control is retained to maintain active power support. Moreover, a smooth post-fault transition is ensured. The proposed strategy achieves stability and support functions in single converter and multi-node systems. In the single converter test, the maximum frequency deviation of the converter during the transient process decreased from 0.043 p.u. to 0.009 p.u. In the 39-bus test under deep voltage sag conditions, the maximum frequency deviation of the converters during the transient process was reduced from 0.214 p.u. and 0.109 p.u. to 0.016 p.u. and 0.027 p.u., respectively.
1. Introduction
With the global shift in energy structures, more renewable energy has been connected to grids through converters [1]. These sources show low inertia and weak damping, bringing challenges for power systems’ secure operation [2,3]. Grid-following (GFL) control is widely used in converter control. In this method, phase-locked loops measure the phase at the point of common coupling (PCC) and allow the converter to synchronize with the grid [4]. But GFL converters lack inertia and damping, so they cannot provide frequency or voltage support [5,6]. As more GFL converters are connected, a power system becomes weaker.
To solve these issues, researchers have proposed grid-forming (GFM) control, enabling converters to show the voltage source characteristics [7,8]. VSG is the most widely used GFM control [9]. It emulates synchronous generator (SG) behavior and provides converters with damping and inertia. Under VSG control, converters have voltage and frequency output characteristics similar to those of SGs and can operate in islanded mode [10,11,12]. Like SGs, VSG converters also face transient synchronization problems during faults. However, the active power reference, frequency, and phase of converters under VSG control are artificially constructed and can be changed fast. This provides several ways to improve the transient synchronization stability during faults [13].
The research has mainly focused on transient stability analyses based on the power angle curve [14,15,16]. Based on the virtual rotor motion equation, corresponding control strategies have been developed to improve the transient synchronization. Reference [17] introduced a damping area method to analyze the effect of damping on the attraction domain of VSG, providing quantitative insight into the transient stability, while the approximation based on inequalities led to conservative results for the damping energy evaluation. Reference [18] analyzed the influence of damping on the transient stability. An adaptive damping strategy was proposed to improve the capability to remain grid connected during faults; however, the approach mainly mitigates acceleration dynamics and does not fundamentally address the absence of a stable operating point under deep voltage sags.
In addition, some researchers have proposed adjusting the active power reference Pref to reduce imbalances during faults. Reference [19] investigated the transient stability improvement of GFM converters through reactive power injection. It showed that reactive power injection raises the voltage amplitude and enlarges the active power transfer limit, thereby enabling a stable operating point. Reference [20] adjusted Pref by the product of grid voltage and terminal voltage variations, which mitigates the active power imbalance during voltage sags and suppresses the power angle excursion. Reference [21] reduced Pref according to the severity of the terminal voltage sag during faults, which moves the equilibrium points on the power angle curve and enlarges the allowable operation range, thereby enhancing transient stability. By studying the power angle curve in a piecewise manner, reference [22] proposed a piecewise adaptive control scheme. This method uses the signs of angular frequency and active power deviation, and deviation of active power deviation as the criteria to adaptively adjust the active power compensation coefficient, allowing the VSG to automatically adjust the output active power based on different transient stages, thus achieving adaptive dynamic optimization of the active power loop. Reference [23] drew on the electrical braking principle of synchronous generators by superimposing the power angle deviation signal onto Pref, thereby effectively increasing the equivalent output power and reducing the power mismatch. In summary, most of the existing strategies improve the transient synchronization of VSG by adjusting the damping and active power reference during faults. This helps reduce the frequency and power angle deviations caused by power imbalance and avoids loss of synchronization. In essence, these strategies still use the rotor motion equation to generate the internal voltage phase. This brings inherent limitations.
First, under severe fault conditions, increasing damping during a fault can only enlarge the equivalent deceleration area and cannot guarantee the existence of a stable operating point [18]. Adjusting Pref can establish a new stable operating point, but this depends on the droop coefficient setting and does not ensure that the system can reach the stable point [21,23]. Second, the adaptive control strategy relies on discrete switching based on the signs of three signals. Measurement noise may cause frequent switching of Pref gain, which results in a less smooth dynamic response [22]. The advantages and limitations of these existing transient control strategies are summarized in Table 1. Therefore, the control strategies formulated within the framework of the rotor motion equation require improvement.
Table 1.
Summary of existing transient stability control strategies.
Considering the flexible control of VSG frequency and phase, this paper proposes a control strategy based on phase difference locking. When the voltage sag is shallow, the traditional VSG control is kept to provide active power support. When the voltage sag is deep, the power angle is locked to avoid divergence. Another switching phase is also calculated by integrating the frequency during the fault. This enables a smooth switch of the control strategy after fault clearance. During a fault, different converters experience different terminal voltage drops. Under these conditions, the proposed control strategy allows multiple converters to ensure transient synchronization stability while maintaining support capability.
The existing control strategies are based on the rotor motion equation. These methods rely on indirect frequency adjustments to influence the power angle. However, these indirect approaches are limited because they cannot guarantee the existence of a stable operating point under deep voltage sags, nor can they ensure that the system will actually reach that point. In contrast, the proposed method decouples the internal voltage phase from its integral relationship with the frequency. It applies a direct and forced constraint on the phase during severe faults, directly enhancing the transient stability.
2. Principle of VSG and the Issues of Transient Synchronization Stability
2.1. Principle of VSG
The essence of VSG is to emulate the electrical and mechanical characteristics of SG, making the external characteristics of the converter similar to those of SG.
Figure 1 shows the topology of a VSG. A voltage source converter is used to convert DC power into three-phase AC power. Ls and Rs are the filter inductance and resistance; Rg and Lg are the resistance and inductance of the grid side [9]. Researchers have designed rotor motion Equations (1) and (2) for a VSG by simulating the inertia and damping of SG (Figure 2).
where J is the virtual inertia, ω is the angular frequency, ω0 is the rated angular frequency, Pref is the reference active power, Pe is the output active power, D is the damping coefficient, and θ is the internal voltage phase.
Figure 1.
Topology of VSG.
Figure 2.
The P-f control loop.
By simulating the excitation mechanism of SG, researchers have also designed a virtual excitation loop for a VSG (Figure 3), providing appropriate voltage support through reactive power regulation (3).
where Eref is the reference voltage amplitude, Qref is the reference reactive power, Qe is the output reactive power, Dq is the reactive power droop coefficient, and τ is the reciprocal of the integrator gain.
Figure 3.
The Q-U control loop.
The expression for the active power output is expressed as (4).
where U is the converter voltage amplitude, Ug is the grid voltage amplitude, X is the equivalent reactance between the converter and the grid, and δ is the power angle [18].
2.2. VSG Transient Process Analysis
According to Equation (4), a voltage sag after a fault will lead to a decrease in the active power output. The transient stability of the converter can be analyzed using the power angle curve.
As shown in Figure 4, after a fault occurs, the power angle curve changes to PII. When the voltage sag during the fault is shallow, the maximum value of PII is greater than Pref. The operating point after the fault moves from a to b and then increases. If acceleration area S1 > deceleration area S2, the operating point will move to the right of point h, which corresponds to the unstable operating region. The active power difference is positive, which will cause divergence.
Figure 4.
Power angle curve under shallow voltage sag condition.
When the voltage sag during the fault is deep (Figure 5), the maximum value of PII is less than that of Pref. In this case, the active power difference remains positive, and from Equation (1), the angular frequency will continue to increase, causing the power angle to diverge.
Figure 5.
Power angle curve under deep voltage sag condition.
Figure 6 shows the power angle variation process. Case 1 corresponds to a shallow voltage sag during a fault, while Case 2 corresponds to a deeper voltage sag during a fault.
Figure 6.
Power angle variations under different voltage sag conditions.
2.3. Feasible Solutions for the Transient Synchronization Issues of VSG
To address the transient instability problem of VSG discussed in the previous section, feasible improvement approaches can be considered from the perspective of controlling the reference active power Pref, frequency ω, and phase θref.
2.3.1. Adjustment of Active Power Reference
When a fault occurs, adjusting Pref can change the rate of angular frequency variation and modify the areas of acceleration and deceleration, which have a certain effect on improving the transient stability of VSG. When ω > ω0 (Figure 7), Pref decreases by ΔP, changing from Pref to Pref1, and the rotor motion equation is rewritten as (5). The acceleration area decreases to S1, and the deceleration area increases from 0 to S2. If the acceleration area decreases to S1 < S2, it will eventually stabilize at c.
Figure 7.
The power angle curves before and after decreasing Pref when ω > ω0.
However, in actual operation, the power angle curve PII during a fault is unknown. Therefore, the adjustment amount of active power ΔP is difficult to determine. Taking the acceleration process as an example, if ΔP is too small, the adjustment effect of this strategy will be limited and may not generate a deceleration area. If ΔP is too large, it will result in a significant loss of active power and cause large impacts when the fault is cleared.
2.3.2. Adjustment of Frequency
During a fault, it is also possible to lock the internal voltage frequency to a rated frequency. If the external grid is an ideal grid, under this control the internal voltage frequency aligns with the external grid frequency, and the power angle remains unchanged. However, if the external grid is not ideal and its frequency fluctuates during the fault, there will be a difference between the locked internal voltage frequency and the external grid frequency, leading to uncontrollable changes in the power angle.
2.3.3. Discussion of the Performance of Adjustment Approaches
It can be seen that whether adjusting Pref to re-establish a stable operating point or locking the frequency to maintain synchronization, both methods still rely on dynamically adjusting the frequency to indirectly influence the power angle. The limitation lies in the fact that under deep voltage sag conditions, the extent of the active power curve drop and the frequency of the external grid are uncertain. Therefore, the control effect on the phase based on adjustments to Pref or ω cannot be guaranteed.
Based on the above analysis, control strategies for improving the transient synchronization stability should not be limited to Pref and ω. Under VSG control, the phase of the internal voltage can be decoupled from its integral relationship with the frequency and directly controlled. Therefore, it is possible to consider directly changing the generation mode of the internal voltage phase. Based on this understanding, this paper proposes a transient synchronization stability control strategy based on phase difference locking, which will be discussed in the next section.
3. Transient Synchronization Stability Control Strategy for Virtual Synchronous Converter Based on Phase Difference Locking
3.1. Basic Idea of the Control Strategy
As analyzed in Section 2.3, the purpose of locking the frequency is to lock the power angle, preventing the instability caused by power angle divergence. The phase of the VSG internal voltage E can actually be directly controlled. This paper proposes a control strategy that locks the phase difference between E and the terminal voltage U after a fault during severe fault conditions to prevent the divergence of the power angle. Special control is also implemented for the P-f loop during a fault to achieve a smooth transition of the control strategy after fault clearance.
3.2. The Mechanism of Power Angle Jump and the Control Method of Phase Difference Locking During Faults
During a fault event, as shown in Figure 8, the incorporation of grounding impedance alters the circuit topology [24]. As a result, the phase of the terminal voltage undergoes a jump Δδ (6).
Figure 8.
VSG external equivalent circuit in case of fault.
Figure 9 shows the voltage vector diagram during fault occurrence and clearance. Subscript 0 represents the pre-fault condition, subscript 1 represents the condition during a fault, and subscript 2 represents the condition after a fault. At the moment of the fault, the terminal voltage undergoes a phase jump Δδ1. After fault clearance, the phase of U experiences a reverse jump Δδ2. According to Equation (6), the magnitudes of Δδ1 and Δδ2 are equal but opposite in direction.
Figure 9.
(a) Voltage vector diagram at the instant of fault occurrence. (b) Voltage vector diagram at the instant of fault clearance.
Figure 10 illustrates the power angle curve under the proposed control strategy. Before the fault, the converter power angle is δ0, and at the instant of fault, it changes to δ1. If the voltage sag is shallow, the power angle curve does not drop significantly, and in this case, the GFM converter does not need to change the control strategy. The traditional VSG control can be maintained to provide active power support. When the voltage sag is deep (PII), the power angle curve drops significantly, and the active power difference remains positive, leading to divergence of angular frequency and power angle under traditional VSG control. In this situation, the grid-forming converter should prioritize ensuring its own stability. The integral relationship between the internal voltage frequency and phase is temporarily removed, and the phase difference between E and U is locked at the value at the moment of the fault (δ1). This prevents the positive active power difference from affecting the power angle and maintains a relatively stable active power output during the fault. After fault clearance, the equivalent circuit topology is restored to the pre-fault state. The phase of U jumps back. The lock on the phase difference is removed, and the power angle returns to δ2 (where δ0 = δ2).
Figure 10.
Power angle curve of the phase difference locking control strategy.
The control method for phase difference locking during severe faults is shown in Figure 11. The core idea is to cut off the traditional VSG frequency integration path for generating the internal voltage phase upon detecting a deep voltage sag, and to lock the phase difference between E and U. This can be divided into the voltage phase calculation and the phase difference locking. This process determines the reference internal voltage phase θref1 during the fault period.
Figure 11.
Control strategy for phase difference locking during severe fault conditions.
As shown in the lower part of Figure 11, the voltage phase is calculated in real time (7).
To eliminate the phase changes caused by electromagnetic transients, a low-pass filter is applied to obtain the actual terminal voltage phase θU.
As shown in the upper part of Figure 11, two triggers are used to lock δ at the moment of the fault. When the voltage sag exceeds the threshold, the fault signal changes from 0 to 1. The selection of the voltage threshold involves a balance between transient stability and active power support. A higher threshold makes the converter more sensitive to voltage sags. In this case, the phase difference is more likely to be locked to prioritize power angle stability. Conversely, a lower threshold makes the converter less sensitive to faults, maintaining traditional VSG control to prioritize active power support. Therefore, the threshold acts as a control parameter to balance the stability of the converter against its support capability during grid disturbances. This parameter can be tuned based on specific engineering requirements.
The trigger is activated by the rising edge of the fault signal, locking the terminal voltage and internal voltage phases θE and θU at the moment of the fault, thereby locking δEU (8).
Finally, the reference internal voltage phase during the fault θref1 is obtained (9). In this analysis, fault detection is assumed to be instantaneous, and measurement delays are neglected. This is because the time scales of fault detection and measurement delays are much smaller than the time scale of power angle variations.
Phase difference locking applies a forced constraint to the internal voltage phase based on the terminal voltage phase at the fault moment. The primary benefit is that the converter can interrupt the positive feedback of positive active power difference–frequency integration–power angle divergence during deep voltage sags. By decoupling the internal voltage phase from the frequency, the power angle is no longer driven by the deviation in the angular frequency. It no longer participates in the energy exchange process during a fault, which fundamentally suppresses the power angle divergence.
At the same time, during the phase difference locking period, the active power output of GFM converter no longer dynamically responds to the grid power demand. This leads to a decrease in the short-term active support capability at local nodes. In this case, the system will redistribute the power flow through line impedance coupling. The active power originally provided by the converter will be transferred to other power sources, including SGs and other converters operating in shallow voltage sag regions. This ensures that the overall active power support level is maintained at the grid level.
In grids with a high penetration of GFM converters, although the converters under VSG control provide essential grid-forming functions, such as frequency and voltage support, maintaining transient synchronization stability is the fundamental prerequisite. Under deep voltage sags, prioritizing the active power support is highly prone to inducing power angle instability. In severe cases, such instability can cause the converters to lose synchronization and trigger protection devices, which further enhances the system fault. The strategy proposed in this paper establishes a clear priority for the control objectives: ensuring the stability of individual units as the priority by locking the power angle, while balancing active power support through the voltage sag threshold. This approach effectively enhances the overall stability of GFM-dominated power grids.
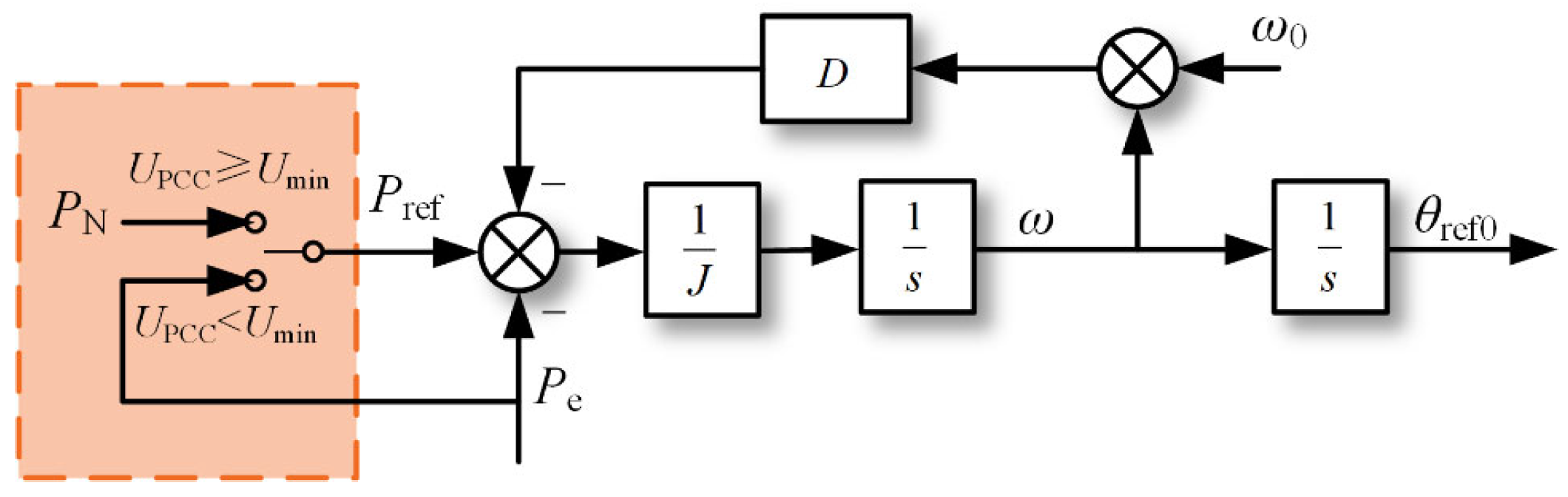
3.3. Smooth Transition After Fault Clearance
After fault clearance, the converter switches to a VSG control strategy. This process requires careful consideration of the smooth transition of control strategies. Once the phase difference between E and U is released, an appropriate reference value for the internal voltage phase must be provided to restore the VSG to the pre-fault stable operating point.
The phase in VSG control is generated by the P-f loop. Therefore, the switching phase θref0 after fault clearance needs to be derived from the integration of the P-f loop. During a fault, Pref is always greater than Pe, causing the frequency to increase. If the frequency integration is naturally generated, θref0 will diverge, and a large frequency difference after switching can also lead to instability. Therefore, special control of the P-f loop during faults is needed (Figure 12).
Figure 12.
Special control strategy for the P-f loop.
During a fault, if the voltage amplitude at PCC UPCC is lower than the threshold Umin, Pref can switch to Pe, allowing the internal voltage angular frequency to track the rated angular frequency. By rewriting Equation (1), we obtain Equation (10), which can prevent instability caused by frequency deviation after fault clearance. The switching phase θref0 for the internal voltage E2 after fault clearance is obtained by integrating ω (11).
To rigorously analyze the stability of the system during a fault, we apply the Lyapunov stability method. We define the Lyapunov function as
The time derivative of the Lyapunov function is given by
Substituting Equation (10), we get
Since D > 0, we have ≤ 0, which indicates that the energy of system decreases over time. Therefore, the system is asymptotically stable during a fault.
The phase difference between θref0 and the terminal voltage phase remains nearly un-changed. Therefore, after fault clearance, the power angle δ2 between E2 and U2 after the reverse phase jump is equal to the pre-fault power angle δ0. The converter can rapidly restore stable operation and resume VSG control.
3.4. Integrated Phase Control Strategy
By combining the control strategies proposed in Section 3.2 and Section 3.3, an integrated phase control strategy is developed (Figure 13), with the dashed box representing the proposed strategy.
Figure 13.
Integrated phase control strategy.
During normal operation and when the voltage sag is shallow, the traditional VSG control strategy is applied. The internal voltage phase is obtained from frequency integration and provides stable active power support. When the fault detection module determines that the voltage sag exceeds the threshold, it switches to the phase difference locking control. The control decouples the integral relation between the internal voltage frequency and phase. Also, it locks the phase difference between E and U. This directly prevents rapid power angle divergence and prioritizes the transient stability of the GFM converter near the fault. Meanwhile, the control generates a switching phase θref0 by integrating the angular frequency. θref0 acts as the reference after fault clearance, which helps the converter switch smoothly back to traditional VSG control after fault clearance. Compared with the existing transient control strategies summarized in Table 2, this strategy provides a direct and effective way to suppress power angle divergence under deep voltage sags while improving the post-fault recovery capability. At the system level, the proposed strategy ensures that distant converters continue to provide active power support during shallow sag conditions, while nearby converters prioritize locking the phase difference to maintain their stability during deep sag conditions. As a result, the system can prevent the chain spread of instability while maintaining its overall grid-forming capability and active power support. This strategy achieves a control objective that prioritizes stability while balancing support, allowing the converter to not only possess adaptive capabilities at the single-unit level but also coordinate effectively in a complex grid environment, thereby enhancing the overall robustness.
Table 2.
Comparison of different transient control strategies.
4. Simulations
To verify the correctness of the proposed control strategy, simulations were first conducted in a single-converter environment. The results were compared with traditional VSG control and the existing adjustment of Pref control. Based on these results, the strategy was further applied to an IEEE 39-bus system, to evaluate its performance in a complex grid environment. The simulation was conducted in PowerFactory. In the single-converter infinite-bus system test, the converter was connected to an infinite grid, which was replaced by an ideal voltage source. In the 39-bus system test, the 39-bus case in PowerFactory was used, with the system parameters identical to those in the standard IEEE 39-bus data.
4.1. Single-Converter Infinite-Bus Simulation
4.1.1. Simulation Conditions
The control strategy was tested in a PowerFactory, with the parameters shown in Table 3. To ensure the frequency response performance of the VSG control, the virtual inertia time constant H and damping coefficient D in the virtual rotor motion equation needed to be designed. The parameter tuning was carried out under traditional VSG control. Firstly, the value of H determines the response speed to external frequency changes. Therefore, the tuning of H depends on the system’s requirements for the rate of change of frequency (ROCOF). Then, under the second-order system represented by the virtual rotor motion equation, the damping coefficient D was designed with the damping ratio ζ as the target, ensuring that the system could quickly and smoothly recover after a frequency disturbance. The simulation duration was 3 s, with a three-phase short-circuit fault (Z = 50 + j50Ω) occurring at 0.1 s and cleared at 2 s. The voltage threshold was set to 0.7 p.u.
Table 3.
Simulation parameters A.
4.1.2. Simulation Results
As shown in Figure 14, Figure 15 and Figure 16 (the three colors in Figure 15 and Figure 16 represent the same control strategies as in Figure 14.), the traditional VSG control strategy exhibits transient instability during a fault. The active power oscillates violently. The angular frequency also deviates; it experiences a deviation of 0.043 p.u., and the recovery process after fault clearance also results in a deviation of 0.028 p.u. The voltage also oscillates with an amplitude of 0.196 p.u. during the fault. This shows that under a deep voltage sag, the traditional phase generation control based on integration cannot suppress power angle divergence. The terminal voltage also exhibits oscillations and fails to recover.
Figure 14.
Comparison of active power under three control strategies.
Figure 15.
Comparison of angular frequency under three control strategies.
Figure 16.
Comparison of terminal voltage under three control strategies.
Adjusting the Pref control helps delay the divergence of angular frequency and power angle after the voltage sag, and suppresses the power oscillations. But it does not fundamentally prevent divergence. After fault clearance, the sudden change in Pref causes new oscillations. The angular frequency also deviates; it experiences a deviation of 0.042 p.u., and the recovery process after fault clearance also results in a deviation of 0.043 p.u. The voltage also oscillates, with an amplitude of 0.195 p.u. during the fault.
In contrast, the phase difference locking control strategy avoids instability. As illustrated in Figure 17, the control strategy is switched according to the voltage sag. When the voltage falls below the threshold, the phase difference locking control is applied. It allows for the output active power to remain stable. After fault clearance, the control strategy switches to VSG control. The active power oscillation is significantly reduced. The angular frequency fluctuation after the fault is also reduced, with no significant deviation observed. The maximum deviation is only 0.009 p.u. The terminal voltage remains stable and recovers rapidly, with oscillations of less than 0.005 p.u. at the moment of the fault, and then stabilizes at 0.673 p.u.
Figure 17.
Fault (control mode switching) signal in the proposed phase difference locking strategy.
4.2. A 39-Node Four-Converter Simulation
4.2.1. Simulation Conditions
Simulation tests were conducted in the PowerFactory 39-bus case environment. In the original system, there were10 SGs, four of which were replaced with GFM converters. Figure 18 shows the topology of the 39-bus system. Converters 1 and 2 are far from the fault point, while converters 3 and 4 are close to the fault point. The control strategies discussed above were applied. The fault voltage threshold was set to 0.5 p.u. The parameters are listed in Table 4. The simulation duration was set to 1.4 s, with a three-phase short-circuit fault (Z = 10 Ω) occurring at 0.2 s and cleared at 0.5 s.
Figure 18.
Topology of the 39-bus system.
Table 4.
Simulation parameters B.
4.2.2. Simulation Results
As shown in Figure 19, during the fault, the voltage sag at various points in the 39-node system differed. Figure 20, Figure 21 and Figure 22 show that under traditional VSG control, the converters near the fault (converters 3 and 4) experienced frequency divergence and power angle instability during deep voltage sags. During the fault, the angular frequency deviation of converters 3 and 4 reached 0.118 p.u. and 0.109 p.u., respectively, and continued to increase. After fault clearance, the maximum angular frequency deviation reached 0.214 p.u. and 0.042 p.u., respectively. This effect spread to the remote converters (converters 1 and 2). During the fault, the angular frequency deviation of converters 1 and 2 reached 0.017 p.u. and 0.016 p.u., respectively. After fault clearance, the angular frequency continued to increase, ultimately diverging. The terminal voltages of converters 3 and 4 exhibited oscillations during and after the fault.
Figure 19.
Voltage distribution of the 39-bus system during the fault (0.225 s).
Figure 20.
(a) The active power of converter 1 under three strategies. (b) The active power of converter 2 under three strategies. (c) The active power of converter 3 under three strategies. (d) The active power of converter 4 under three strategies.
Figure 21.
(a) The angular frequency of converter 1 under three strategies. (b) The angular frequency of converter 2 under three strategies. (c) The angular frequency of converter 3 under three strategies. (d) The angular frequency of converter 4 under three strategies.
Figure 22.
(a) The terminal voltage of converter 1 under three strategies. (b) The terminal voltage of converter 2 under three strategies. (c) The terminal voltage of converter 3 under three strategies. (d) The terminal voltage of converter 4 under three strategies.
Under adjusting the Pref control, the converters near the fault (converters 3 and 4) reduced Pref. This delayed the rate of frequency and power angle divergence, and suppressed power oscillations during the fault. However, the maximum angular frequency deviation of converters 3 and 4 during the fault still reached 0.040 p.u. and 0.043 p.u., respectively. For the remote converters (converters 1 and 2), this strategy did not reduce the deviation in the active power and angular frequency during the fault period. After fault clearance, the sudden change in Pref caused noticeable secondary oscillations of all four converters. Especially for converters 3 and 4, the angular frequency deviation after the fault reached 0.173 p.u. and 0.133 p.u., respectively.
Under the phase difference control strategy, the converters responded based on the voltage sag. Converters 1 and 2 experienced shallow voltage sags, so they kept the traditional VSG control and provided active power support during the fault (Figure 23). The frequency deviation was controlled within a reasonable range, with maximum deviation values of 0.016 p.u. and 0.015 p.u., respectively, and it quickly converged after fault clearance. Converters 3 and 4 experienced deep voltage sags; the phase difference between E and U was locked. This prevented power angle divergence and kept their transient stability. After fault clearance, the maximum angular frequency deviation of converters 3 and 4 did not exceed 0.013 p.u. and 0.027 p.u., respectively, and quickly converged. This confirms that the control strategy can achieve smooth switching. Terminal voltage oscillations were also suppressed. This leads to coordinated stability at the grid level.
Figure 23.
Fault (control mode switching) signal of four converters in the proposed phase difference locking strategy.
It is worth mentioning that although the phase difference control strategy performs better at ensuring transient stability, it also has higher implementation complexity and measurement requirements. Traditional VSG control autonomously constructs the internal voltage amplitude and phase, requiring only the measurement of the output power, and does not require switching between control strategies. In contrast, the active power reference adjustment method requires precise monitoring of the terminal voltage drop to adjust Pref. The phase difference locking control requires real-time fault detection to lock the power angle at the moment of fault occurrence and accurately measure of the terminal voltage phase during the fault, which further increases the demand for measurement accuracy. Meanwhile, smooth switching of the control strategy must also be considered, which increases the implementation complexity.
5. Conclusions
This paper proposes a transient power angle stability control strategy based on phase difference locking. When the voltage sag is deep, the phase difference between the internal voltage and the terminal voltage is locked. This suppresses further power angle divergence and prioritizes transient stability. A switching phase is also calculated by integrating the rated frequency during a fault, which enables the smooth switch of the control strategy after fault clearance. When the voltage sag is shallow, the traditional VSG control is kept to provide active power support. The simulation results show that with traditional VSG control and existing Pref adjustment control, the converters near a fault often lose synchronization during severe faults. In contrast, the proposed control prioritizes stability for the near-end converters and maintains active power support for the remote converters. Specifically, the single-converter test results show that the maximum frequency deviation during the transient process was reduced from 0.043 p.u. to 0.009 p.u. In the 39-bus test under deep voltage sag conditions, the maximum frequency deviation of the converters during the transient process was reduced from 0.214 p.u. and 0.109 p.u. to 0.016 p.u. and 0.027 p.u., respectively. In summary, through the single-converter test, it was demonstrated that the proposed strategy improves the transient stability of GFM converters under severe faults. Through the 39-bus test, it was shown that the proposed strategy is scalable to large-scale systems with a high number of GFM converters, achieving a control effect that prioritizes stability while balancing power support. It also strengthens overall system robustness.
However, the proposed control strategy still has limitations in practical applications. Firstly, this strategy requires high precision in voltage phase measurement and real-time fault detection, which may limit its application in grid environments with low monitoring accuracy. Additionally, the strategy’s adaptability to different types of grid faults and complex scenarios still needs further verification. It is also necessary to consider the behavior of the proposed strategy under the current-limited operation of converters. Furthermore, hardware-in-the-Loop (HIL) testing is also needed to comprehensively validate the practical feasibility of the proposed strategy. These aspects constitute important directions for future work. Moreover, future work will study the communication among multiple grid-forming converters, which can improve system coordination under high renewable energy penetration and increase the practical use of this strategy in large-scale grids. The coordination among converters relies on real-time communication. It is necessary to consider the impact of communication delays and noise on the control strategy, to avoid contradictions in control decisions caused by communication delays and noise, which could affect system stability.
Author Contributions
Conceptualization, J.Z.; Methodology, J.Z.; Software, K.W.; Validation, S.Y. and K.W.; Formal analysis, Z.W. and W.B.; Investigation, S.Y.; Resources, H.D.; Writing—original draft, J.Z. and S.Y.; Writing—review & editing, K.W. and Z.W.; Visualization, W.B.; Supervision, Z.W. and H.D.; Project administration, Y.L.; Funding acquisition, Y.L. All authors have read and agreed to the published version of the manuscript.
Funding
This work was supported by the Science and Technology Project of State Grid Shandong Electric Power Company (No. 52062525000G).
Institutional Review Board Statement
Not applicable.
Informed Consent Statement
Not applicable.
Data Availability Statement
No real data was used; the data is sourced from simulations.
Conflicts of Interest
Author J.Z., S.Y., Y.L. and H.D. was employed by the company State Grid Shandong Electric Power Company. The remaining authors declare that the research was conducted in the absence of any commercial or financial relationships that could be construed as a potential conflict of interest.
Nomenclature
| θ | internal voltage phase |
| ω | angular frequency |
| ω0 | rated angular frequency |
| Pref | reference active power |
| Pe | output active power |
| D | damping coefficient |
| J | virtual inertia |
| δ | power angle |
| U | converter voltage amplitude |
| Ug | grid voltage amplitude |
| X | reactance between converter and grid |
| Eref | reference voltage amplitude |
| Qref | reference reactive power |
| Qe | output reactive power |
| Dq | reactive power droop coefficient |
| τ | reciprocal of the integrator gain |
| δEU | power angle at the instant of fault |
References
- Roldán-Pérez, J.; Rodríguez-Cabero, A.; Prodanovic, M. Design and Analysis of Virtual Synchronous Machines in Inductive and Resistive Weak Grids. IEEE Trans. Energy Convers. 2019, 34, 1818–1828. [Google Scholar] [CrossRef]
- Aljarrah, R.; Fawaz, B.B.; Salem, Q.; Karimi, M.; Marzooghi, H.; Azizipanah-Abarghooee, R. Issues and Challenges of Grid-Following Converters Interfacing Renewable Energy Sources in Low Inertia Systems: A Review. IEEE Access 2024, 12, 5534–5561. [Google Scholar] [CrossRef]
- He, C.; Geng, H.; Rajashekara, K.; Chandra, A. Analysis and Control of Frequency Stability in Low-Inertia Power Systems: A Review. IEEE CAA J. Autom. Sin. 2024, 11, 2363–2383. [Google Scholar] [CrossRef]
- Bhatta, S.; Alattas, B.; Olumide, A.; Field, T.E.; Peterson, M.; Rastgoufard, P. Comparative Analysis of Grid-Following (GFL) and Grid-Forming (GFM) Inverter Models for Studying Low Inertia Power Systems. In Proceedings of the 2024 IEEE Kansas Power and Energy Conference (KPEC), Manhattan, KS, USA, 25–26 April 2024; pp. 1–5. [Google Scholar] [CrossRef]
- Park, J.-Y.; Chang, J.-W. Novel Autonomous Control of Grid-Forming DGs to Realize 100% Renewable Energy Grids. IEEE Trans. Smart Grid 2024, 15, 2866–2880. [Google Scholar] [CrossRef]
- Matevosyan, J.; Badrzadeh, B.; Prevost, T.; Quitmann, E.; Ramasubramanian, D.; Urdal, H.; Achilles, S.; MacDowell, J.; Huang, S.H.; Vital, V.; et al. Grid-Forming Inverters: Are They the Key for High Renewable Penetration? IEEE Power Energy Mag. 2023, 21, 77–86. [Google Scholar] [CrossRef]
- Huang, Y.; Fang, Z.; He, Z.; Wang, D.; Tang, J.; Xie, C. Impacts of Interactions between Grid-forming and Grid-following Converters on Stability of Hybrid System Connected to Weak Grid. In Proceedings of the 2024 IEEE 7th International Electrical and Energy Conference (CIEEC), Harbin, China, 10–12 May 2024; pp. 2183–2188. [Google Scholar] [CrossRef]
- Cui, G.; Chu, Z.; Teng, F. Control-Mode as a Grid Service in Software-Defined Power Grids: GFL vs GFM. IEEE Trans. Power Syst. 2025, 40, 314–326. [Google Scholar] [CrossRef]
- Zhong, Q.-C.; Weiss, G. Synchronverters: Inverters That Mimic Synchronous Generators. IEEE Trans. Ind. Electron. 2011, 58, 1259–1267. [Google Scholar] [CrossRef]
- Jiang, S.; Zhu, Y.; Xu, T.; Wang, X.; Konstantinou, G. Frequency Domain Inertia Design of Grid-Forming Converters. IEEE Trans. Power Electron. 2025, 40, 8886–8898. [Google Scholar] [CrossRef]
- Li, G.; Song, W.; Liu, X. A Quasi-Harmonic Voltage Feedforward Control for Improving Power Quality in VSG-Based Islanded Microgrid. IEEE J. Emerg. Sel. Top. Power Electron. 2024, 12, 2994–3004. [Google Scholar] [CrossRef]
- Liu, J.; Miura, Y.; Ise, T. Dynamic characteristics and stability comparisons between virtual synchronous generator and droop control in inverter-based distributed generators. In Proceedings of the 2014 International Power Electronics Conference (IPEC-Hiroshima 2014—ECCE ASIA), Hiroshima, Japan, 18–21 May 2014; pp. 1536–1543. [Google Scholar] [CrossRef]
- Chen, Y.; Han, W.; Hu, Y.; Zhang, Y. Adaptive Control for Improved Virtual Synchronous Generator Under Imbalanced Grid Voltage. IEEE Open J. Ind. Electron. Soc. 2024, 5, 722–736. [Google Scholar] [CrossRef]
- Luo, C.; Chen, Y.; Liao, S.; Wang, Z.; Xie, Z.; Lian, Z. Design-Oriented Analysis and Transient Control for VSG with Current Saturation Unit. IEEE Trans. Power Electron. 2025, 40, 2472–2483. [Google Scholar] [CrossRef]
- Wang, J.; Zhang, X.; Li, M. Transient Stability Analysis and Improvement of Multiparalleled Virtual Synchronous Generators Grid-Connected System. IEEE J. Emerg. Sel. Top. Power Electron. 2024, 12, 4094–4105. [Google Scholar] [CrossRef]
- Li, X.; Feng, P.; Tian, Z.; Huang, M.; Shu, S.; Zha, X. Transient Stability Analysis for Grid-Tied VSG Considering High-Order Nonlinear Interactions Between Active and Reactive Power Control Loops. IEEE Trans. Power Electron. 2024, 39, 6974–6988. [Google Scholar] [CrossRef]
- Lei, J.; Xiang, X.; Liu, B.; Li, W.; He, X. Quantitative and Intuitive VSG Transient Analysis with the Concept of Damping Area Approximation. IEEE Trans. Smart Grid 2023, 14, 2477–2480. [Google Scholar] [CrossRef]
- Saffar, K.G.; Mohammadi, J. Adaptive Damping Control to Improve Transient Stability in Grid-Forming VSG. In Proceedings of the 2025 IEEE/IAS 61st Industrial and Commercial Power Systems Technical Conference (I&CPS), Montreal, QC, Canada, 11–14 May 2025; pp. 1–9. [Google Scholar] [CrossRef]
- Si, W.; Fang, J. Transient Stability Improvement of Grid-Forming Converters Through Voltage Amplitude Regulation and Reactive Power Injection. IEEE Trans. Power Electron. 2023, 38, 12116–12125. [Google Scholar] [CrossRef]
- Ge, P.; Xiao, F.; Tu, C.; Guo, Q.; Gao, J.; Song, Y. Transient Stability Enhancement Control for VSG Considering Power Angle Stability and Fault Current Limitation. CSEE J. Power Energy Syst. 2025, 11, 173–183. [Google Scholar] [CrossRef]
- Xiong, X.; Wu, C.; Blaabjerg, F. Effects of Virtual Resistance on Transient Stability of Virtual Synchronous Generators Under Grid Voltage Sag. IEEE Trans. Ind. Electron. 2022, 69, 4754–4764. [Google Scholar] [CrossRef]
- Wu, H.; Wang, X. A Mode-Adaptive Power-Angle Control Method for Transient Stability Enhancement of Virtual Synchronous Generators. IEEE J. Emerg. Sel. Top. Power Electron. 2020, 8, 1034–1049. [Google Scholar] [CrossRef]
- Zhang, Y.; Zhao, J.; Li, F.; Mao, L.; Li, J.; Qi, W. VSG Fault Crossing Method Based on Dynamic Compensation of Power Angle. Power Syst. Technol. 2021, 45, 3667–3673. [Google Scholar] [CrossRef]
- Taul, M.G.; Wang, X.; Davari, P.; Blaabjerg, F. Robust Fault Ride Through of Converter-Based Generation During Severe Faults with Phase Jumps. IEEE Trans. Ind. Appl. 2020, 56, 570–583. [Google Scholar] [CrossRef]
Disclaimer/Publisher’s Note: The statements, opinions and data contained in all publications are solely those of the individual author(s) and contributor(s) and not of MDPI and/or the editor(s). MDPI and/or the editor(s) disclaim responsibility for any injury to people or property resulting from any ideas, methods, instructions or products referred to in the content. |
© 2026 by the authors. Licensee MDPI, Basel, Switzerland. This article is an open access article distributed under the terms and conditions of the Creative Commons Attribution (CC BY) license.






















