Pharmacy Students’ Perceptions of Remote versus Face-to-Face Learning Experience
Abstract
1. Introduction
2. Materials and Methods
3. Results
3.1. Study Population
3.2. Cohort Trends
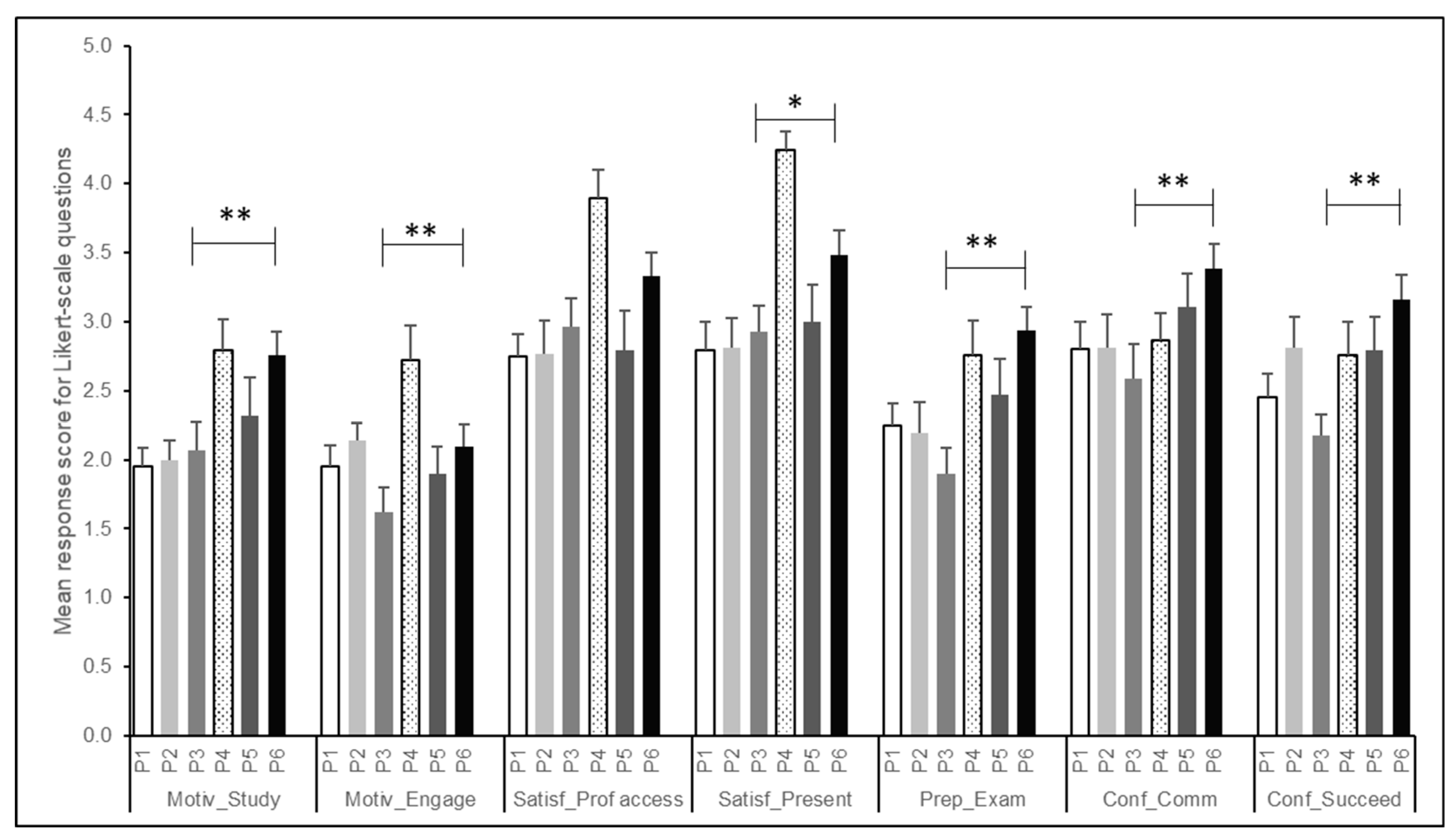
3.3. Confidence
3.4. Preparedness
3.5. Satisfaction
3.6. Motivation
4. Discussion
5. Conclusions
Author Contributions
Funding
Institutional Review Board Statement
Informed Consent Statement
Data Availability Statement
Acknowledgments
Conflicts of Interest
Appendix A
| Please select your gender. | ||||
| Female | Male | Other | ||
| Please select your pharmacy cohort: | ||||
| P1 (Year 1) | P2 (Year 2) | P3 (Year 3) | ||
| P4 (Year 4) | P5 (Year 5) | P6 (Year 6) | ||
| Please select the age range that best describes your age: | ||||
| Less than 18 | 18–25 | 26–30 | 31–35 | Greater than 35 |
| Please rate your level of agreement with the following statements from strongly disagree (1) to strongly agree (5). | ||||
| I feel more motivated to study outside of class for remote classes vs. FTF classes | ||||
| 1 | 2 | 3 | 4 | 5 |
| I feel more motivated to engage in remote classes vs. FTF classes | ||||
| 1 | 2 | 3 | 4 | 5 |
| I feel as satisfied with my professors’ accessibility and involvement in remote classes vs. FTF classes | ||||
| 1 | 2 | 3 | 4 | 5 |
| I feel as satisfied with the course material presentation in remote classes vs. FTF classes | ||||
| 1 | 2 | 3 | 4 | 5 |
| I feel sufficiently prepared for exams through remote classes vs. FTF classes | ||||
| 1 | 2 | 3 | 4 | 5 |
| I am as confident in my communication skills to work on group projects for remote classes vs. FTF classes | ||||
| 1 | 2 | 3 | 4 | 5 |
| I am as confident I can succeed in pharmacy based on my learning from remote classes vs. FTF classes | ||||
| 1 | 2 | 3 | 4 | 5 |
References
- Pharmacy Distance Pathway. Creighton University. Available online: https://www.creighton.edu/pharmacy-ot-pt/pharmacy/doctor-pharmacy/pathways/distance-pathway (accessed on 13 June 2022).
- Bao, W. COVID-19 and online teaching in higher education: A case study of Peking University. Hum. Behav. Emerg. Technol. 2020, 2, 113–115. [Google Scholar] [CrossRef] [PubMed]
- Lebovitz, L.; Rudolph, M. Update on pharmacist workforce data and thoughts on how to manage the oversupply. Am. J. Pharm. Educ. 2020, 84, ajpe7889. [Google Scholar] [CrossRef]
- Keengwe, J.; Kidd, T.T. Towards best practices in online learning and teaching in higher education. J. Online Learn Teach. 2010, 6, 533–541. [Google Scholar]
- Courtney, J.; Titus-Lay, E.; Malhotra, A.; Nehira, J.; Mohamed, I.; Mente, W.; Le, U.; Buckley, L.; Feng, X.; Vinall, R. COVID-19-driven improvements and innovations in pharmacy education: A scoping review. Pharmacy 2022, 10, 60. [Google Scholar] [CrossRef] [PubMed]
- Pires, C. Perceptions of pharmacy students on the e-learning strategies adopted during the COVID-19 pandemic: A Systematic Review. Pharmacy 2022, 10, 31. [Google Scholar] [CrossRef]
- Al-Alami, Z.M.; Adwan, S.W.; Alsous, M. Remote learning during COVID-19 lockdown: A study on anatomy and histology education for pharmacy students in Jordan. Anat. Sci. Educ. 2021, 15, 249–260. [Google Scholar] [CrossRef]
- Mukhtar, K.; Javed, K.; Arooj, M.; Sethi, A. Advantages, limitations and recommendations for online learning during COVID-19 pandemic era. Pak. J. Med. Sci. 2020, 36, S27–S31. [Google Scholar] [CrossRef]
- Pei, L.; Wu, H. Does online learning work better than offline learning in undergraduate medical education? A systematic review and meta-analysis. Med. Educ. Online 2019, 24, 1666538. [Google Scholar] [CrossRef]
- Naciri, A.; Radid, M.; Kharbach, A.; Chemsi, G. E-learning in health professions education during the COVID-19 pandemic: A systematic review. J. Educ. Eval. Health Prof. 2021, 18, 27. [Google Scholar] [CrossRef]
- Salter, S.M.; Karia, A.; Sanfilippo, F.M.; Clifford, R.M. Effectiveness of e-learning in pharmacy education. Am. J. Pharm. Educ. 2014, 78, 83. [Google Scholar] [CrossRef]
- Hamilton, L.A.; Suda, K.J.; Heidel, R.E.; McDonough, S.L.; Hunt, M.E.; Franks, A.S. The role of online learning in pharmacy education: A nationwide survey of student pharmacists. Curr. Pharm. Teach. Learn. 2020, 12, 614–625. [Google Scholar] [CrossRef]
- Senhaji-Tomza, B.; Unni, E.; Ng, K.E.; Lonie, J.M. Pharmacy student perceptions of remote learning and wellness during the pandemic: Lessons learned from a metropolitan commuter city. Curr. Pharm. Teach. Learn. 2023, 15, 130–138. [Google Scholar] [CrossRef]
- Lee, S.J.; Srinivasan, S.; Trail, T.; Lewis, D.; Lopez, S. Examining the relationship among student perception of support, course satisfaction, and learning outcomes in online learning. Internet High. Educ. 2011, 14, 158–163. [Google Scholar] [CrossRef]
- Strage, A.; Curley, R.G. Instructional support and demands: Helping teachers help students meet increasing academic standards. Education 1996, 117, 128–133. [Google Scholar]
- Earwaker, J. Rethinking student support. In Helping and Supporting Students: Rethinking the Issues; Eggins, H., Ed.; Taylor and Francis: Bristol, UK; Pennsylvania, PA, USA, 1992; pp. 133–143. [Google Scholar]
- Pharm.D. Program Structures. American Association of Colleges of Pharmacy. Available online: https://www.aacp.org/resource/pharmd-program-structures (accessed on 21 May 2022).
- Wu, H.; Li, S.; Zheng, J.; Guo, J. Medical students’ motivation and academic performance: The mediating roles of self-efficacy and learning engagement. Med. Educ. Online 2020, 25, 1742964. [Google Scholar] [CrossRef]
- Yu, J.H.; Lee, S.K.; Kim, M.; Chae, S.J.; Lim, K.Y.; Chang, K.H. Medical students’ satisfaction with clinical clerkship and its relationship with professional self-concept. Korean J. Med. Educ. 2019, 31, 125–133. [Google Scholar] [CrossRef]
- Nagy, D.K.; Hall, J.J.; Charrois, T.L. The impact of the COVID-19 pandemic on pharmacy students’ personal and professional learning. Curr. Pharm. Teach. Learn. 2021, 13, 1312–1318. [Google Scholar] [CrossRef]
- Birmingham, W.C.; Wadsworth, L.L.; Lassetter, J.H.; Graff, T.C.; Lauren, E.; Hung, M. COVID-19 lockdown: Impact on college students’ lives. J. Am. Coll. Health 2021, 71, 879–893. [Google Scholar] [CrossRef]
- Mather, M.; Sarkans, A. Student perceptions of online and face-to-face learning. Int. J. Curric. Struction 2018, 10, 61–76. [Google Scholar]
- Abdous, M. Influence of satisfaction and preparedness on online students’ feelings of anxiety. Int. J. Curric. Instr. 2019, 41, 34–44. [Google Scholar] [CrossRef]
- Dost, S.; Hossain, A.; Shehab, M.; Abdelwahed, A.; Al-Nusair, L. Perceptions of medical students towards online teaching during the COVID-19 pandemic: A national cross-sectional survey of 2721 UK medical students. BMJ Open 2020, 10, e042378. [Google Scholar] [CrossRef] [PubMed]
- Almomani, E.Y.; Qablan, A.M.; Atrooz, F.Y.; Almomany, A.M.; Hajjo, R.M.; Almomani, H.Y. The influence of coronavirus diseases 2019 (COVID-19) pandemic and the quarantine practices on university students’ beliefs about the online learning experience. Front. Public Health 2021, 8, 595874. [Google Scholar] [CrossRef] [PubMed]
- Pham, D.M.; Yang, J.X.; Lee, K.C. Changes in perceived stress of pharmacy students pre- and mid-COVID-19 pandemic. Pharmacy 2022, 10, 114. [Google Scholar] [CrossRef] [PubMed]
- Fischbein, R.; Bonfine, N. Pharmacy and medical students’ mental health symptoms, experiences, attitudes and help-seeking behaviors. Am. J. Pharm. Educ. 2019, 83, 7558. [Google Scholar] [CrossRef]
- Hagemeier, N.E.; Dowling-McClay, K. The impact of transitions related to COVID-19 on pharmacy student well-being. Am. J. Pharm. Educ. 2020, 85, 8291. [Google Scholar] [CrossRef]
- Hettinger, K.N.; Baker, C.M.; Brelage, M.E.; Smith, H.M.; Woodyard, J.L. The impact of COVID-19 on pharmacy student stress during high-stakes, performance-based assessments in skills-based courses. Am. J. Pharm. Educ. 2022, 87, ajpe8874. [Google Scholar] [CrossRef]
- Schlenz, M.A.; Schmidt, A.; Wöstmann, B.; Krämer, N.; Schulz-Weidner, N. Students’ and learners’ perceptive on the implementation of online learning in dental education due to SARS-CoV-2 (COVID-19): A cross-sectional study. BMC Med. Educ. 2020, 20, 354. [Google Scholar] [CrossRef]
- D’Souza, B.; Broeseker, A.E. Ascertaining and promoting effective study skills and learning habits of first-year pharmacy stu-dents. Curr. Pharm. Teach. Learn. 2022, 14, 561–571. [Google Scholar] [CrossRef]


| Variable | n | % |
|---|---|---|
| Gender | ||
| Male | 42 | 27.8 |
| Female | 109 | 72.2 |
| Age | ||
| 18–25 | 143 | 94.7 |
| 26–30 | 5 | 3.3 |
| 31–35 | 2 | 1.3 |
| >35 | 1 | 0.7 |
| Pharmacy Cohort | ||
| P1 | 20 | 13.2 |
| P2 | 21 | 13.9 |
| P3 | 29 | 19.2 |
| P4 | 29 | 19.2 |
| P5 | 19 | 12.6 |
| P6 | 33 | 21.9 |
| Self-Perceived Confidence to Succeed in a Pharmacy Career in Remote vs. FTF Classes | p-Value (Kruskal–Wallis Test) | ||||||
|---|---|---|---|---|---|---|---|
| Likert-Scale Response | Pharmacy Cohort | ||||||
| P1 | P2 | P3 | P4 | P5 | P6 | 0.01 | |
| (1) Strongly Disagree | 1 | 1 | 5 | 6 | 1 | 1 | |
| (2) Disagree | 11 | 8 | 16 | 7 | 8 | 9 | |
| (3) Neutral | 6 | 8 | 7 | 7 | 6 | 9 | |
| (4) Agree | 2 | 2 | 0 | 6 | 2 | 10 | |
| (5) Strongly Agree | 0 | 2 | 1 | 3 | 2 | 3 | |
| Self-Perceived Confidence in Communication Skills to Work on Group Projects in Remote vs. FTF Classes | |||||||
| (1) Strongly Disagree | 0 | 3 | 7 | 3 | 2 | 1 | 0.08 |
| (2) Disagree | 10 | 5 | 9 | 7 | 3 | 4 | |
| (3) Neutral | 4 | 7 | 7 | 12 | 5 | 13 | |
| (4) Agree | 6 | 5 | 1 | 5 | 9 | 8 | |
| (5) Strongly Agree | 0 | 1 | 5 | 2 | 0 | 5 | |
| Self-Perceived Preparedness for Exams Through Remote vs. FTF Classes | |||||||
| (1) Strongly Disagree | 2 | 5 | 12 | 6 | 4 | 2 | 0.002 |
| (2) Disagree | 12 | 10 | 11 | 8 | 6 | 8 | |
| (3) Neutral | 5 | 4 | 4 | 6 | 6 | 14 | |
| (4) Agree | 1 | 1 | 1 | 5 | 2 | 6 | |
| (5) Strongly Agree | 0 | 1 | 1 | 4 | 1 | 2 | |
| Satisfaction With the Presentation of Course Material in Remote vs. FTF Classes | |||||||
| (1) Strongly Disagree | 0 | 1 | 2 | 0 | 3 | 0 | <0.001 |
| (2) Disagree | 10 | 8 | 6 | 1 | 2 | 6 | |
| (3) Neutral | 3 | 7 | 13 | 2 | 7 | 12 | |
| (4) Agree | 6 | 4 | 4 | 15 | 6 | 8 | |
| (5) Strongly Agree | 0 | 1 | 2 | 11 | 1 | 7 | |
| Satisfaction With Professors’ Accessibility and Involvement in Remote vs. FTF Classes | |||||||
| (1) Strongly Disagree | 1 | 3 | 1 | 0 | 4 | 1 | 0.001 |
| (2) Disagree | 5 | 6 | 11 | 5 | 4 | 5 | |
| (3) Neutral | 12 | 6 | 8 | 4 | 4 | 12 | |
| (4) Agree | 2 | 5 | 6 | 9 | 6 | 12 | |
| (5) Strongly Agree | 0 | 1 | 3 | 11 | 1 | 3 | |
| Self-Perceived Motivation to Engage in Remote vs. FTF Classes | |||||||
| (1) Strongly Disagree | 5 | 2 | 18 | 5 | 7 | 7 | 0.002 |
| (2) Disagree | 11 | 14 | 7 | 11 | 8 | 20 | |
| (3) Neutral | 4 | 5 | 1 | 4 | 3 | 4 | |
| (4) Agree | 0 | 0 | 3 | 5 | 1 | 0 | |
| (5) Strongly Agree | 0 | 0 | 0 | 4 | 0 | 2 | |
| Self-Perceived Motivation to Study Outside Classes for Remote vs. FTF Classes | |||||||
| (1) Strongly Disagree | 4 | 4 | 11 | 4 | 5 | 2 | 0.003 |
| (2) Disagree | 13 | 13 | 10 | 9 | 8 | 12 | |
| (3) Neutral | 3 | 4 | 3 | 8 | 2 | 13 | |
| (4) Agree | 0 | 0 | 5 | 5 | 3 | 4 | |
| (5) Strongly Agree | 0 | 0 | 0 | 3 | 1 | 2 | |
| Questions | Cohort | n | Mean Rank | Sum of Ranks | Z | Mann–Whitney U Test (p Value) |
|---|---|---|---|---|---|---|
| Self-Perceived Confidence to Succeed in a Pharmacy Career in Remote vs. FTF Classes | P3 | 29 | 22.67 | 657.5 | −3.661 | <0.001 |
| P6 | 32 | 38.55 | 1233.5 | |||
| Self-Perceived Confidence in Communication Skills to Work on Group Projects in Remote vs. FTF Classes | P3 | 29 | 24.5 | 710.5 | −2.651 | 0.008 |
| P6 | 31 | 36.11 | 1119.5 | |||
| Self-Perceived Preparedness for Exams Through Remote vs. FTF Classes | P3 | 29 | 22.03 | 639 | −3.892 | <0.001 |
| P6 | 32 | 39.13 | 1252 | |||
| Satisfaction With the Presentation of Course Material in Remote vs. FTF Classes | P3 | 27 | 25.89 | 699 | −1.941 | 0.05 |
| P6 | 33 | 34.27 | 1131 | |||
| Satisfaction With Professors’ Accessibility and Involvement in Remote vs. FTF Classes | P3 | 29 | 27.88 | 808.5 | −1.541 | 0.12 |
| P6 | 33 | 34.68 | 1144.5 | |||
| Self-Perceived Motivation to Engage in Remote vs. FTF Classes | P3 | 29 | 25.48 | 739 | −2.668 | 0.008 |
| P6 | 33 | 36.79 | 1214 | |||
| Self-Perceived Motivation to Study Outside Classes for Remote vs. FTF Classes | P3 | 29 | 25.26 | 732.5 | −2.654 | 0.008 |
| P6 | 33 | 36.98 | 1220.5 |
Disclaimer/Publisher’s Note: The statements, opinions and data contained in all publications are solely those of the individual author(s) and contributor(s) and not of MDPI and/or the editor(s). MDPI and/or the editor(s) disclaim responsibility for any injury to people or property resulting from any ideas, methods, instructions or products referred to in the content. |
© 2023 by the authors. Licensee MDPI, Basel, Switzerland. This article is an open access article distributed under the terms and conditions of the Creative Commons Attribution (CC BY) license (https://creativecommons.org/licenses/by/4.0/).
Share and Cite
Mills, J.M.; VanAtta, C.N.; Hendershot, R.S.; Rao, S. Pharmacy Students’ Perceptions of Remote versus Face-to-Face Learning Experience. Pharmacy 2023, 11, 97. https://doi.org/10.3390/pharmacy11030097
Mills JM, VanAtta CN, Hendershot RS, Rao S. Pharmacy Students’ Perceptions of Remote versus Face-to-Face Learning Experience. Pharmacy. 2023; 11(3):97. https://doi.org/10.3390/pharmacy11030097
Chicago/Turabian StyleMills, Jenna M., Celeste N. VanAtta, Racheal S. Hendershot, and Shantanu Rao. 2023. "Pharmacy Students’ Perceptions of Remote versus Face-to-Face Learning Experience" Pharmacy 11, no. 3: 97. https://doi.org/10.3390/pharmacy11030097
APA StyleMills, J. M., VanAtta, C. N., Hendershot, R. S., & Rao, S. (2023). Pharmacy Students’ Perceptions of Remote versus Face-to-Face Learning Experience. Pharmacy, 11(3), 97. https://doi.org/10.3390/pharmacy11030097

