Next Article in Journal
Reconsidering the Social in Language Learning: A State of the Science and an Agenda for Future Research in Variationist SLA
Next Article in Special Issue
Game on: Computerized Training Promotes Second Language Stress–Suffix Associations
Previous Article in Journal
Second Language (L2) Learners’ Perceptions of Online-Based Pronunciation Instruction
Previous Article in Special Issue
Sensitivity to Filler–Gap Dependency Violations in the L1 vs. L2: Evidence from Speeded Judgement Tasks
 
 
Font Type:
Arial Georgia Verdana
Font Size:
Aa Aa Aa
Line Spacing:
Column Width:
Background:
Article

Entering Foreign Lands: How Acceptable Is Extraction from Adjunct Clauses to L1 Users of English in L2 Danish?

by
Anne Mette Nyvad
* and
Ken Ramshøj Christensen
Department of English, School of Communication and Culture, Aarhus University, 8000 Aarhus, Denmark
*
Author to whom correspondence should be addressed.
Languages 2025, 10(4), 63; https://doi.org/10.3390/languages10040063
Submission received: 10 September 2024 / Revised: 18 February 2025 / Accepted: 14 March 2025 / Published: 27 March 2025

Abstract

Adjunct clauses have traditionally been assumed to be syntactic configurations from which extraction is universally impossible. However, numerous studies have challenged this assumption and extraction from finite adjunct clauses has been shown to be acceptable to varying degrees in the Mainland Scandinavian languages, as well as in English. The relative acceptability of extraction appears to depend on a number of factors, including the type of adjunct clause and the type of extraction dependency. Research on L2 learning has shown that learners often transfer properties of their L1 grammar into their L2 during the process of learning a second language. Our previous studies on L1 English and L1 Danish found a surprising contrast in which L1 English users found relativization out of adverbial clauses to be better than L1 Danish users did. Based on these findings, we conducted an L2 acceptability judgment experiment on extraction from three types of finite adjunct clauses in Danish (corresponding to English if-, when- and because-clauses) in order to test whether language-specific parameters related to extractability are transferred from L1 to L2. Our results show that the judgments from L2 Danish speakers are intermediate between and significantly different from L1 English and L1 Danish, which does not suggest a parameter resetting.

1. Introduction

This paper explores the dynamic interplay and complex relationship between the universal and the particular by examining one of the defining characteristics of human language, namely its ability to display long-distance filler–gap dependencies (cf. Sprouse et al., 2016), as (1) illustrates for English:
  • (1)
  • Who did Peter see __ yesterday?
  • Who do you think [that Peter saw __ yesterday]?
  • Who do you think [that she believes [that I said [that Peter saw __ yesterday]]]?
The examples in (1) involve question formation with varying degrees of dependency length between the filler (i.e., who) and the gap (i.e., the underlined spaces). The filler in a sense leads a ‘double life’ being spelt out at one location (the sentence-initial position) and interpreted in another (in the object position). In (1a), the filler–gap dependency is contained within a main clause, while it crosses a clausal boundary (indicated by square brackets) in (1b). The bidirectional association between the fronted element and its gap has been argued to be unbounded in principle, i.e., theoretically speaking, there should be no limit to the possible distance between the two. In (1c), the fronted element, who, moves across no less than three clausal boundaries on its way to its final landing site at the front of the sentence. Certain structures with long-distance dependencies, however, appear to indeed be ‘bounded’, in the sense that L1 users (native speakers) tend to find them unacceptable. More specifically, problems appear to arise in specific structural environments, which Ross (1967) metaphorically dubbed islands, because they are difficult or impossible to escape from (referencing the story of Robinson Crusoe); in order to appreciate the motivation behind the present L2 study on this type of structure, an understanding of recent developments within L1 island research is necessary.
In the tradition of generative grammar and in modern theorizing (e.g., Bošković, 2015; Chomsky, 2001; Nunes & Uriagereka, 2000; Phillips, 2013a, 2013b; Sabel, 2002; Villata et al., 2016), extraction from island structures are assumed to be ungrammatical due to a violation of universal syntactic. Among the configurations thought to be island structures are embedded questions, as in (2a), adverbial (or adjunct) clauses1 (2b), and relative clauses (2c). As a result, extraction from such clauses may lead to ungrammaticality (signaled by ‘*’):
  • (2)
The proposed constraints on filler–gap dependencies were originally based on English (Ross, 1967; Chomsky, 1964; Huang, 1982), but they have traditionally been assumed to be universal. As a result, island effects have been a major part of theory-building in generative syntax, being used as a diagnostic for binding and movement in numerous analyses. Yet, even though island configurations are thought to be ungrammatical in the tradition of generative grammar, there appears to be a lot of variation both across speakers and across languages, so the purported universal constraints have continuously faced counterevidence. The Mainland Scandinavian languages have provided fascinating data points, since they exhibit consistent exceptions and have hence been argued to be more permissible when it comes to the space of possibilities for filler–gap dependencies, as sentences of the types in (2) have frequently been attested in naturally occurring speech (Engdahl & Ejerhed, 1982; Lindahl, 2017). Observe the following examples in (3) from the syntax literature:
  • (3)
  • Det blev han smaddersur [fordi jeg sagde __]. (Jensen, 2002, p. 102)
    that became he very-angry because I said
    ‘He got really upset because I said that’
b.
De blommorna känner jag en man [som säljer]. (Engdahl, 1997, p. 5)
those flowers know I a man who sells
‘I know a man who sells those flowers’
c.
Hvilken film var det du gärna ville veta
which movie was it you please would know
[vem som __ hade regisserat __]? (Engdahl, 1985, p. 6)
who that had directed
‘Which movie would you like to know who had directed?’
The example in (3a) from Danish violates the Condition on Extraction Domain (CED, Huang, 1982), which basically states that extraction can only take place from a complement clause, cf. (1b–c); the Swedish one in (3b) violates the Complex NP Constraint (Ross, 1967), and (3c) is a Swedish counterexample to the proposed ban on extraction from an embedded question, i.e., a wh-island (Chomsky, 1964). Examples like these have compelled some syntacticians to argue that the counterexamples are not really counterevidence, and that their underlying structures are different from their apparent surface structure (e.g., Chomsky, 1982; Kush & Lindahl, 2011; Phillips, 2013a, 2013b). However, in a series of psycho- and neurolinguistic experiments, we have found that certain island structures indeed appear to be grammatical in Danish: Though the actual level of acceptability varies a lot, from well below to well above the middle range, other factors suggest that they are indeed grammatical. First, the acceptability of extraction from relative clauses is positively correlated with the frequency of the matrix verb (a lexical effect). Second, extraction from embedded questions and from relative clauses becomes more acceptable with increased repeated exposure (trial or satiation). Third, extraction from adjunct clauses depends on the complementizer. Finally, actual examples of all of these island violations are easy to find (K. R. Christensen et al., 2013a, 2013b; K. R. Christensen & Nyvad, 2014, 2024; Nyvad et al., 2017; Nyvad & Christensen, 2023). In English, on the other hand, the ratings for extraction from relative clauses and embedded questions did not increase as a function of repeated exposure or lexical frequency of the matrix verb (K. R. Christensen & Nyvad, 2019, 2022). For relative clauses, the ratings did not differ significantly from unambiguously ungrammatical controls.
Furthermore, in a recent study on English (Nyvad et al., 2022), we made the remarkable discovery that English appears to be quite permissive towards extraction by relativization from a range of adjunct clause types (see also Sprouse et al., 2016, who found island effects for wh-movement but not for relativization from if-clauses in English). This pattern is echoed in a corpus study which has found a range of examples in English of the island type in (4) (Müller & Eggers, 2022, p. 11):
(4) Many of the exercises are ones [that I would be surprised [if even 1 percent of healthy women can do __]] (Corpus of Contemporary American English 2008).
Findings such as these suggest that island constraints may not be universal and that long-distance filler–gap dependencies into certain island environments may in fact be grammatical, under the right discourse conditions and if the right comparisons are made.
Given these developments in island research, another important question emerges, namely whether crosslinguistic differences in island sensitivity can be attested in transfer from L1 to L2, which is a central question in second language acquisition research. The Full Transfer Full Access hypothesis (Schwartz & Sprouse, 1994, 1996; White, 1985, 2003, p. 66 ff) states that the early phases of second language learning are based on the L1 grammar (hence, ‘Full Transfer’)2 and that the learner has ‘Full Access’ to the syntactic constraints of so-called Universal Grammar that constrain the space of possibility in the interlanguage (i.e., in the development stages from L1 to L2). For instance, it has been found that L1 speakers of languages without overt wh-movement, such as Chinese and Indonesian, reject the same violations of certain island constraints as L1 English users, both in their L1 and in their L2 English (Martohardjono, 1993; see the discussion in Slabakova, 2021, pp. 225–226; see also Huang, 1982, 2009). This result indicates that the learner has ‘Full Access’ to the parts of Universal Grammar that are responsible for constraining extraction from islands, e.g., in the form of the CED mentioned above. In addition, there might be parametric options with respect to abstract functional structure, allowing or disallowing extraction from certain island environments, as suggested by research carried out by Kush and Dahl (2020) and Kush et al. (2023), who found that island insensitivity with respect to extraction from embedded questions in Norwegian L1 was transferred into English L2.
Previous research suggests that Danes transfer (part of) their grammar into L2 English, judging extraction from relative clauses higher than speakers of L1 English (Nyvad & Christensen, 2023). The purpose of the current study is to investigate whether judgements of island structures in an L2 language mirror those of L1 users of the target language (here, Danish), or the participants’ L1 (here, English). In other words, do L1 English users learning Danish as a foreign language judge island structures in Danish as more acceptable than L1 Danish users (indicating transfer from English) or as less acceptable (in which case, transfer is not indicated)? The object of study here is relativization out of adverbial clauses, which, in one recent series of experiments (Nyvad et al., 2022, 2024; Nyvad & Christensen, 2023), has been found—quite unexpectedly—to be more acceptable in English than in Danish: In English, there was no significant difference between extraction from if-clauses (adjuncts) and that-clauses (complements), while extraction from when-clauses was rated lower, and extraction from because-clauses even lower ({that, if} > when > because). In Danish, on the other hand, extraction from if-clauses was significantly less acceptable than extraction from that-clauses, and while extraction from when and because was even less acceptable, there was no difference between the two (that > if > {when, because}). Furthermore, whereas the acceptability profiles of extraction from if-, when-, and because-clauses seemed to suggest that none of them were strong islands in English (they did not exhibit large island effects3), all three did show large island effects in Danish (in terms of DD scores, see Section 3.2 below).
This contrast in effect sizes found in English and Danish in this comparative study (see Nyvad & Christensen, 2023) suggests that the constraints on island configuration are subject to a parametric setting (e.g., in the form of an extra layer of functional structure, see Nyvad et al., 2022), and the existence of the crosslinguistic difference attested here opens up the possibility that the parameter on which the variation hinges can be transferred from L1 to L2 (see also Kush et al., 2023). Given a seeming lack of positive evidence for a conflict between English L1 and Danish L2 grammars, a more conservative resetting of the L2 grammar is unlikely. That is, since there is no overt indication in the input that extraction from adverbial clauses should be blocked, L1 English users have no reason to restrict the grammar in their L2 Danish. Hence, based on the Full Transfer Full Access hypothesis, we predicted the following:
Prediction 1: L1 English users judge extraction from adverbial clauses in L2 Danish to be on the same acceptability level as in L1 English.
Prediction 2: Acceptability of extraction from adverbial clauses is not correlated with level of proficiency in Danish.
If UG disallows extraction from adjunct clauses (Stepanov, 2007; see also Bode, 2020), we would not expect transfer of lenience from L1 to L2. Moreover, it is still unclear whether the restrictions on extraction from island configuration are gradient or, as predicted here, categorical in nature. This study may thus help elucidate a more general question about the nature of island constraints.

2. Materials and Methods

Based on previous studies on English and Danish carried out in our research group, we conducted an L2 acceptability judgment experiment in the form of a questionnaire in Google Form, disseminated on social media platforms and through other social networks. We wanted to test whether extraction from three different types of adjunct clauses in Danish (corresponding to if-, when-, and because-clauses in English) would be as (un)acceptable to L1 English users in L2 Danish as they are to L1 Danish users. The test sentences were translated versions of the English stimulus set in Nyvad et al. (2022), albeit modified slightly in a few cases where direct translation was not possible. Minimally contrasted example sentences, modelled on the naturally occurring data in the text corpora and manipulated according to factors theorized to be of importance to acceptability level (e.g., complementizer type, extraction, semantic and pragmatic coherence, lexical frequency), were divided onto eight carefully balanced lists using a Latin square design. They were randomly mixed with filler-sentences (corresponding examples with subject islands and coordinate structures), and participants judged their acceptability using a Likert scale from 1 (“unacceptable”) to 7 (“acceptable”). Below is an example of a stimulus set (examples of filler sentences can be found in Appendix A). Each target stimulus sentence was preceded by a short facilitating context. We carefully constructed the materials such that the same context could be used to precede all eight types, as shown in (6). (The entire stimulus set is available online, see the Data Availability Statement.)
(6) TARGET. CONTEXT:
I det sidste træningsprogram jeg udarbejdede for Emma, ville jeg gøre det så godt som umuligt for hende og inkluderede derfor endnu et sæt virkelig brutale pull-ups.
‘In the latest workout routine I designed for Emma, I really wanted to make it impossible for her and included another set of particularly brutal pull-ups.’
NON-ISLAND STRUCTURE [-EXTRACTION]:
  • Det er åbenlyst at jeg blev overrasket over
    It is obvious that I became surprised over
    at hun faktisk gennemførte dét program.
    that she actually completed that exercise
    ‘It’s obvious that I was surprised that she actually completed this exercise.’
ISLAND STRUCTURE [-EXTRACTION]:
b.
Det er åbenlyst at jeg ville blive overrasket
It is obvious that I would be surprised
hvis hun faktisk gennemførte dét program.
if she actually completed that exercise
‘It’s obvious that I would be surprised if she actually completed this exercise.’
c.
Det er åbenlyst at jeg blev overrasket da hun faktisk gennemførte dét program.
It is obvious that I was surprised when she actually completed that exercise.
d.
Det er åbenlyst at jeg blev overrasket fordi hun faktisk gennemførte dét program.
It is obvious that I was surprised because she actually completed that exercise.
NON-ISLAND STRUCTURE [+EXTRACTION]:
e.
Det er er dét program som jeg blev overrasket over
It is that exercise that I became surprised over
at hun faktisk gennemførte.
that she actually completed
‘This is the exercise that I was surprised that she actually completed.’
ISLAND STRUCTURE [+EXTRACTION]:
f.
Det er er dét program som jeg ville blive overrasket
It is that exercise that I would be surprised
hvis hun faktisk gennemførte.
ifshe actually completed
‘This is the exercise that I would be surprised if she actually completed.’
g.
Det er er dét program som jeg blev overrasket da hun faktisk gennemførte.
‘This is the exercise that I was surprised when she actually completed.’
h.
Det er dét program som jeg blev overrasket fordi hun faktisk gennemførte.
‘This is the exercise that I was surprised because she actually completed.’
We chose to use extraction by relativization in the experiment in order to provide optimal conditions for extraction for two reasons: One, because wh-dependencies in questions have been found to potentially affect the acceptability of extraction from island environments negatively (Sprouse et al., 2016). Two, because we wanted to be able to compare the acceptability judgements of our English speakers of L2 Danish as directly as possible to previous studies which tested relativization (Nyvad et al., 2022, 2024; Nyvad & Christensen, 2023).
This design gave us eight target types (see Table 1), which we used as the levels for a type factor for our statistical model in order to test for interactions between extraction and the four clause types. This design also follows the logic of the 2 × 2 design (±Island x ±Extraction) from Sprouse et al. (2012).
Participants were asked to rate their own level of proficiency in L2 Danish (“How would you rate your own level of proficiency in Danish?”) on a 10-point Likert scale (0 = “beginner”, 10 = “(near-) native”). We did not ask for further information about their place of residence, age at onset of learning, etc. Though this subjective and very simple self-reported L2 proficiency is obviously only a proxy for a more elaborate, objective proficiency measure, previous research has shown significant positive correlations between self-reported language measures and actual linguistic ability (Marian et al., 2007; Kaushanskaya et al., 2020; Macbeth et al., 2022; but see Tomoschuk et al., 2019).
A total of 40 L1 English users with Danish as L2 participated in the experiment. One self-reported to have a proficiency in Danish of 0 and judged everything, including clearly ungrammatical coordinate structure violations (filler 2), to be more or less equally acceptable, and was therefore excluded from the analysis. Consequently, the number of participants included in the analysis was 39 (23 female, 15 male, 1 other; aged 18–66 years, mean = 39.2, SD = 14.4). The mean proficiency in Danish was 8.0 (range 2–10, SD = 2.1). The number of participants on lists 1–8 of the Latin square design was 6, 2, 6, 6, 4, 4, 4, and 7, respectively.4

3. Results

3.1. Raw Acceptability Scores

We first present the analysis of the raw data, because they are intuitively easier to understand as they directly reflect (differences in) acceptability; in Section 3.3, we present z-transformed data that can be used to compare results across experiments. The data were analyzed using R version 4.3.1 (R Core Team, 2023) with the ordinal package for (R. H. B. Christensen, 2015) for cumulative mixed-effects models and the MASS Package (Venables & Ripley, 2002) for sliding, pair-wise contrasts of the type factor. The results were plotted in R using ggplot2 (Wickham, 2016) and gridExtra (Augie, 2016). The mean acceptability scores are illustrated in Figure 1, and the summary of the statistical model for the target category (adjunct islands) is shown in Table 2. The summaries of the models for the fillers are provided in Appendix B. Following Nyvad et al. (2022), we used a model with sliding contrast in order to see if the difference in acceptability of the adjacent types in Figure 1 were significant; e.g., Type 7 (when [+Ex])–Type 6 (if [+Ex]): The estimate is −0.95, which means that when [+Ex] is 0.95 points less acceptable on the 7-point scale than if [+Ex], and this difference is significant, p ≤ 0.001. (Contrasts between non-adjacent types are analyzed below, as in Figure 2; see also Table 4).

3.2. Standardized (z-Transformed) Acceptability Ratings and Island Effects

To control for potential individual scale bias and to make direct comparisons with a number of other studies on the same type of data easier, we z-transformed the acceptability ratings for each participant (Bondevik et al., 2020; Kush et al., 2018, 2019; Sprouse et al., 2012, 2016; Nyvad et al., 2022). An individual z-transformed rating represents the number of standard deviations the raw (non-transformed) rating is from a participant’s overall mean rating. To test for pairwise significant differences between the types, the z-transformed results were analyzed with a linear mixed-effects model using the lmerTest Package for R (Kuznetsova et al., 2017) and the MASS Package (Venables & Ripley, 2002) for sliding contrasts. The model had type as predictor and random intercepts for participant and item (the model converged albeit with a boundary singular fit error). The results are summarized in Table 3 and plotted in Figure 2A. Note that the analysis of the z-transformed data shows the same significant contrasts as the analysis of the raw data (compare Figure 2A and Figure 1A).
To test for the effect of extraction on each complementizer, we analyzed the z-transformed data with a linear mixed-effects model with fixed effects of complementizer and extraction and their interactions, random intercepts for participant and item, and random slopes for complementizer and extraction by participant. (The model converged, albeit with a boundary singular fit.) The results are summarized in Table 4 and plotted in Figure 2B. The interaction is significant for all three adjunct complementizers, which suggests that if-, when-, and because-clauses are all treated as islands in L2 Danish by the participants, because the cost of extraction is larger than the sum of the fixed effects of the complementizer (not significant, p ≥ 0.636) and extraction (significant, p = 0.004).
Figure 2. (A) Mean z-transformed acceptability ratings. (B) Extraction × complementizer interactions. (C) Extraction effect size (difference between [+Ex] and [−Ex]). (D) Island effect size measured in DD scores (complementizer × extraction interaction) between that and the other three complementizers). ***, p < 0.001; **, p < 0.01.
Figure 2. (A) Mean z-transformed acceptability ratings. (B) Extraction × complementizer interactions. (C) Extraction effect size (difference between [+Ex] and [−Ex]). (D) Island effect size measured in DD scores (complementizer × extraction interaction) between that and the other three complementizers). ***, p < 0.001; **, p < 0.01.
Languages 10 00063 g002
Sprouse et al. (2012) argue that an island violation leads to a super-additive effect of extraction and type, which is measured as a DD (differences-in-differences) score (see also Sprouse et al., 2012; Kush et al., 2018, 2019; Bondevik et al., 2020; Nyvad et al., 2022). The DD score is calculated for each [+Ex] condition by subtracting the D score for that (the difference in rating between that [−Ex] and that [+Ex], for the non-island type) from the D scores for the three adjunct island types: if, when, and because, see Figure 2C,D. (Note that this also corresponds to a positive interaction effect.) Because the D scores are based on z-transformed ratings, however, the DD score provides a standardized measure of the island effect size, which enables comparisons between different island types across experiments and languages.
The differences in extraction effect size in Figure 2C between that and if is significant (p < 0.001, cf. the Comp = if × Extraction interaction in Table 4). Rerunning the model in Table 4 with if as intercept (instead of that) showed that the effect sizes for if and when were also significant (p < 0.01). Using when as intercept showed that the effect size for when and because are not significantly different (p > 0.05). The significance levels in the DD scores (Figure 2D) follow from the contrast in D scores (Figure 2C).
According to Kush et al. (2019, p. 401), a DD score above 0.75 is indicative of an island violation, whereas a lower DD score “bears closer scrutiny”. However, like the standard p < 0.05 threshold, this exact cut-off point is somewhat arbitrary, and it may not be the most optimal way of determining islandhood. In the present study, the DD scores suggest that when- and because-clauses are treated as islands (both have DD scores way above the presumed threshold of 0.75), whereas if-clauses are not, see Figure 2D.
We also applied post hoc tests to determine whether repeated exposure within each type correlated with linear changes in acceptability. However, we did not find any significant effects of trial (all R2 < 0.02, p > 0.5).

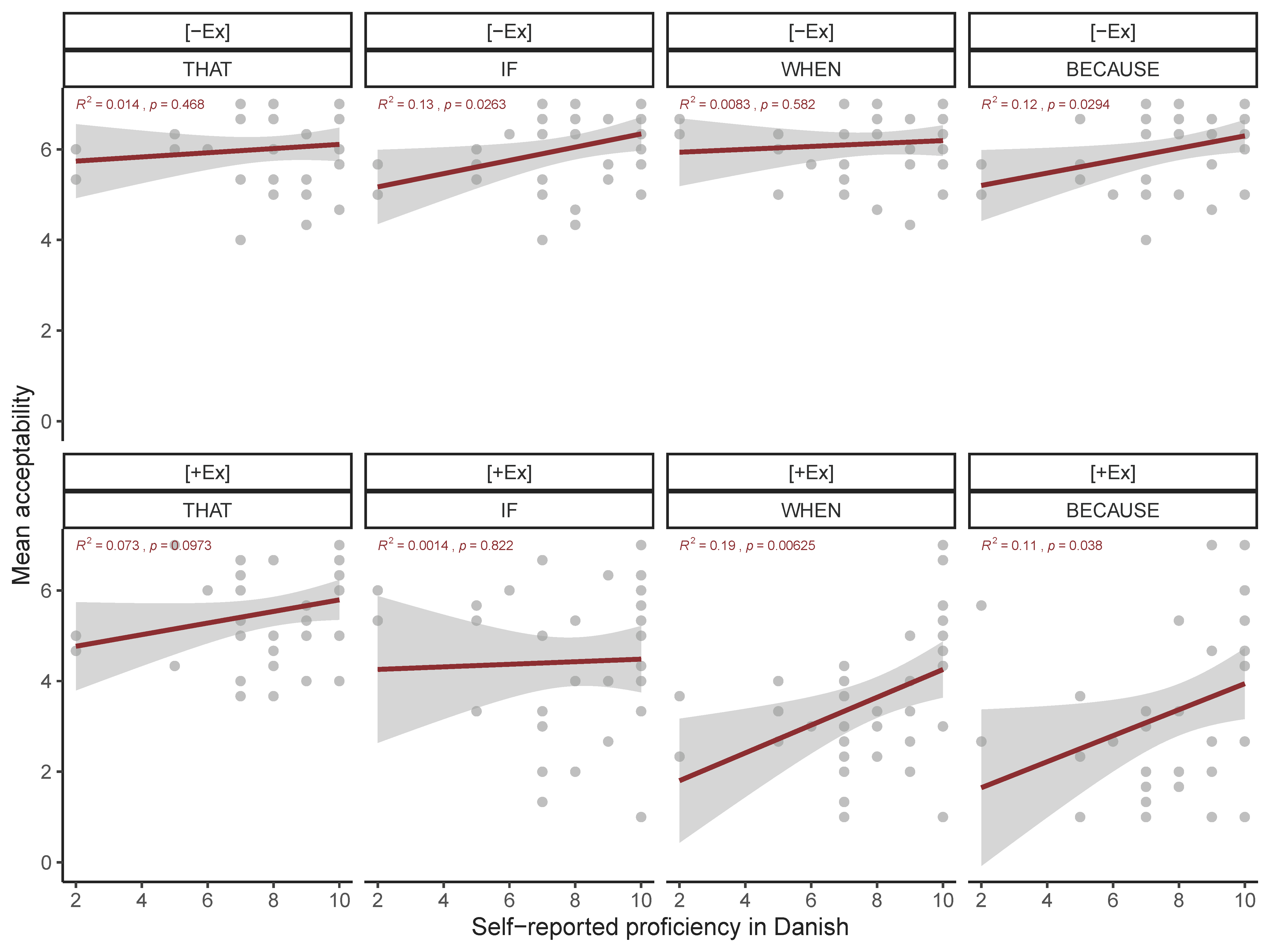
3.3. Proficiency

We wanted to explore whether the level of self-reported proficiency influenced the acceptability judgments. As shown in Figure 3, there is an overall trend of acceptability increasing as self-reported proficiency goes up. The correlation is only significant for extraction from when- and because-clauses, not for extraction from if-clauses.

3.4. Comparing Experiments

Comparing the present data from Danish L2 with studies on Danish L1 (Nyvad et al., 2024) and English L1 (Nyvad et al., 2022), which all use the same (or translated) stimuli shows that the L1 English users with Danish L2 judged the sentences in a way that approximates L1 Danish users. As shown in Figure 4, the pattern for Danish L2 seems to be at an intermediate stage between the patterns that we have found in English L1 and Danish L1.
Extraction from because-clauses appears to be at the same level of acceptability for L1 English users in their L1 and L2 Danish, while extractions from if- and when-clauses seem to be perceived as less acceptable in L2 Danish than in L1 English. The acceptability judgements of all the island extractions in L1 Danish were consistently lower than the ones found for L1 English users, regardless of whether the latter were judging the sentences in their L1 or in L2 Danish.
To tests whether these differences were statistically different, we applied a linear model with z-transformed acceptability as outcome and the interaction between extraction and complementizer (i.e., island effects), and with language as the predictor (with Danish L2 as intercept). The dataset comprised Danish L2 (present study), Danish (Nyvad et al., 2024), and English (Nyvad et al., 2022). The results are shown in Table 5, which includes only the relevant interaction effects.5 We did not use a mixed-effects model because neither the participants nor the items were the same in all three experiments (the items were in two different languages). The results show that extraction from adjunct clauses is significantly less acceptable in Danish L2 than in Danish L1 but significantly more acceptable than in English L1. In other words, the effects of Danish L2 lie in between Danish L1 and English L1 and differ significantly from both, which is compatible with a transfer approach.

4. Discussion

We had two main predictions in this L2 study, the first of which was that L1 English users judge extraction from adverbial clauses in L2 Danish to be on the same acceptability level as in L1 English (Nyvad et al., 2022) due to transfer. In other words, these L1 English users should not perceive adverbial clauses as strong islands in L2 Danish. As regards the DD scores in Figure 2D, this assumption turned out to only hold true with respect to extraction from if-clauses, with a difference-in-difference score well below the 0.75 threshold of Kush et al. (2018, 2019) for islandhood, while extraction from both when- and because-clauses exceeded it. However, the island effect of extracting from adjunct clauses appears to be smaller for L1 English users (in their L1 as well as L2 Danish) across the three different adverbial clause types than what was found for the corresponding constructions in L1 Danish. The results of our experiments suggest that our participants have transferred a more permissive stance towards relativization out of adverbial clauses from their English L1 into their Danish L2, thus at least partially confirming Prediction 1.
Our results showed variation and gradience in the acceptability of extraction from adjunct clauses, such that extraction across if was more acceptable than across when, which was more acceptable than because.6 This gradient pattern is not easily accounted for with a single (potentially transferrable) parameter that categorically enables or blocks extraction. This kind of gradience is more readily compatible with discourse-functional approaches to island structures (Erteschik-Shir, 1982; Deane, 1991; Kuno, 1987; Goldberg, 2005; Abeillé et al., 2020), which have tried to explain systematic crosslinguistic variation with reference to how a particular language codes information structure. In the case of island configurations, they typically focus on the special discourse status of the configurations: The filler–gap dependency involves fronting, which arguably also has to be licensed by pragmatics. The unacceptability of island constructions can thus be seen as a reflection of infelicity (at least in part) due to, e.g., the topic/focus status of the extraction domain and/or the filler. This opens the possibility of gradience, but, generally speaking, these accounts have not explicitly operationalized core concepts that they argue give rise to the fine-grained differences in acceptability that we see across constructions and across languages (e.g., testable levels of strength of focus and topic or gradience in backgroundedness, presupposition, veridicality, etc., see Nyvad et al., 2022). On the other hand, the fact that we found variation between the three different adverbial clause types in this L2 study appears to be an independent issue, given that the contrasts are robust across languages and across L1 and L2: if-clauses are consistently judged as having higher acceptability than when- and because-clauses, and because-clauses systematically receive the lowest ratings. The variation between the adjunct clause types is discussed at length by Nyvad et al. (2022, pp. 16–22), who point to differences in, e.g., attachment height, functional structure, feature-based intervention effects, semantic coherence, and discourse function as potential factors.
Our second prediction was that the acceptability level of extraction out of adverbial clauses would not be correlated with level of proficiency in Danish, i.e., the more proficient in Danish an L1 English user becomes, the more they perform like L1 Danish users when processing Danish sentences. However, surprisingly, we found that an increase in the self-reported level of proficiency in L2 Danish is correlated with an increase in perceived acceptability of island extractions.
One explanation for this pattern may be that the L1 English users who have reached a high level of proficiency in L2 Danish have constructed a Danish grammar that is more tolerant towards long-distance extraction in general than their L1 English is. This overall discrepancy between Danish and English when it comes to island extractability has been attested multiple times in the syntax literature (for example, Nyvad et al., 2017; Vikner et al., 2017), and has been ascribed in part to the propensity to front elements via topicalization in the Mainland Scandinavian languages (Engdahl, 1997). The mixed picture that emerges from our results may be due to this complex interplay between the particular construction under investigation (i.e., relativization from adverbial clauses), which appears to be surprisingly low in acceptability in Danish, and general tendencies in the two languages when it comes to long-distance extraction, where relative clauses and embedded questions appear to be strong islands in English, but not in Danish (REFS). Maybe the participants (consciously or subconsciously) let their awareness that Danish is more lenient toward extraction in general interfere with their intuitions about adjunct clauses. It is, however, unclear whether the self-reported proficiency in Danish covers, e.g., speaking, understanding spoken language, reading, or all the above, given that we only had one measure for overall proficiency. Some of the variation attested in the experiment may thus also be the result of the participants differing in their receptive and expressive proficiencies in a way that we are not able to control for in the analysis.
In addition, one might speculate whether the performance in L2 Danish actually constitutes transfer, or whether it might simply be the case that second-language speakers fail to identify syntactic islands due to a general L2 processing effect. As shown in Figure 3, proficiency is correlated with increased acceptability, which may suggest that, with increased proficiency, it is easier to processes the high complexity involved in such extractions. This is the opposite pattern of what we would expect if there were parameter resetting or grammar restructuring in the L2 speakers, given that Danish L1 speakers found extraction from adjunct clauses significantly worse than English L1 speakers did. Ultimately, this suggests that processing demands may explain some of the variation in our data.
The results of this experiment can potentially shed light on the underlying nature of island constraints and their limits. In past research, we have hypothesized that Danish (along with other Mainland Scandinavian languages) may have a ‘deeper’, more complex functional syntactic structure which allows extraction to occur more freely than in other languages like English by providing an ‘escape hatch’ that circumvents the restrictions imposed by island constraints (cf. Section 1), thus enabling extraction from embedded questions and relative clauses (e.g., K. R. Christensen et al., 2013a, 2013b; K. R. Christensen & Nyvad, 2019; Nyvad et al., 2017; Vikner et al., 2017). In such a case, L1 Danish users would encounter a reduction in syntactic complexity when learning English as a second language, while L1 English users learning Danish would be exposed to a new level of complexity, especially when it comes to island structures. However, it is not clear that adjunct clauses involve the same type of functional structure. Indeed, the findings of the present study, in conjunction with Nyvad et al. (2022, 2024), suggest that the nature of extraction from adjunct clauses is different from extraction from other types of clauses. Given that the differences between Danish L1, English L1, and Danish L2 appear to be a matter of degree rather than category, it is difficult to maintain that there is a parametric difference between Danish and English.
More generally, these studies also call into question the very nature of island constraints. Universalist structural accounts (Chomsky, 1973; Lasnik & Saito, 1984; Phillips, 2013a, 2013b) argue that syntactic constraints on long-distance dependencies are innate and hence invariable and inviolable universal principles of grammar. As a result, gradience in acceptability as a function of manipulations in non-structural factors is not expected, nor is variation across constructions, and crosslinguistic uniformity is predicted (cf. Liu et al., 2022). In other words, the universalist structural accounts struggle with data like the ones in the present study, as we have attested variation across, e.g., Danish L1 and Danish L2, as well as variation across the three different adjunct clause types. However, some syntactic theories of islands introduce the notion of strength of violation through grammatical constraints (Huang, 1982; Chomsky, 1973, 1986). In fact, while island constraints were originally conceptualized as being grammatical in nature, it has been argued that they may actually have their origins in processing demands (Hawkins, 1999, 2004), and island effects can be viewed as epiphenomena (domain-general) rather than the product of innate grammatical island constraints (domain-specific). If acceptability levels vary simply as a function of manipulations of non-structural factors, then it stands to reason that island effects cannot be explained purely in terms of syntax.
In short, the present study suggests, perhaps not unexpectedly, that there may not be a single parameter for adjunct islands that is transferred (e.g., a parameterized version of the CED or the addition of an extra functional layer), but rather that L2 speakers restructure or adjust their L2 grammars gradually, perhaps in a “property-by-property” manner (Westergaard, 2021). This restructuring is also subject to processing constraints, as increased proficiency appears to be positively correlated with acceptability, which in turn may be taken to reflect (reduced) processing cost (K. R. Christensen & Nyvad, 2024).
In conclusion, this study contributes valuable empirical data to the ongoing investigation into island phenomena, shedding light on the intricate nature of adjunct clause extraction from an L2 perspective, which challenges the traditional assumption that adjunct clauses are strong islands for extraction. The variation in extraction patterns observed across different adjunct clause types and across languages calls for a more fine-grained theoretical framework to account for adjunct clause extractability that can capture the factors influencing acceptability patterns across languages. Further research in this area may illuminate which island constraints are universal, and, perhaps equally important, which are not. The crosslinguistic variation in island sensitivity between Danish and English is likely the result of a complex interplay of multiple factors, including syntactic differences, discourse-functional influences, processing-based mechanisms, and language-specific constraints. Understanding the underlying reasons for this variation is a challenging task that requires further investigation and possibly the consideration of additional linguistic, cognitive, and discourse-related aspects.

Author Contributions

Conceptualization, Methodology, and Investigation, A.M.N. and K.R.C. Data curation, K.R.C. Formal analysis and visualization, K.R.C. Writing—original draft, A.M.N. and K.R.C. Writing—review and editing, A.M.N. and K.R.C. Project administration and funding acquisition, A.M.N. All authors have read and agreed to the published version of the manuscript.

Funding

This study was funded by the Independent Research Fund Denmark (grant ID: DFF-9062-00047B).

Institutional Review Board Statement

Not applicable.

Informed Consent Statement

Informed consent for participation is not required as per local legislation. According to §2.1 and §14.2 of the Danish Act on Research Ethics Review of Health Research Projects (the Committee Act. https://danskelove.dk/komitéloven/), surveys that use questionnaires and do not involve human biological material are not subject to notification of and approval from the Research Ethics Committee (see also http://en.nvk.dk). The study was completely anonymous and voluntary, it did not involve sensitive personal data or offensive material, and it did not involve any physical or mental discomfort for the participants.

Data Availability Statement

The stimulus set used in this study is openly available at the Open Science Framework: https://osf.io/aeyqd/?view_only=0be851fd88f64ab6b2b029ed56d420ac (accessed on 4 February 2025).

Acknowledgments

We would like to thank the anonymous reviewers for their constructive criticism and helpful comments. We would also like to thank the audience at Grammatiknetværksmødet, Odense, Denmark, 28 October 2023. Thanks to Christiane Müller for assistance ni the stimulus construction. Finally, thanks to Sten Vikner for many discussions about the theoretical and comparative syntax of islands.

Conflicts of Interest

The authors declare no conflicts of interest.

Appendix A

Examples of the filler types:
(1)
Filler 1.
Context: Mit team har udviklet en COVID-19-vaccine på rekordtid, og jeg synes, at vi fortjener en vis anerkendelse.
‘My team has developed a COVID-19 vaccine in record time, and I think we deserve some recognition.’
  • Subject island + non-island that-clause, [−Extraction]:
a. Deterklartatviblevgladefor,
itisclearthatwebecamegladfor
atvoresvaccinemoddénvirusendeligfikNobelprisen.
thatourvaccineagainstthisvirusfinallygotNobel Prize.the
‘It’s clear that we were pleased that our vaccine against this virus finally got the Nobel Prize.’
Subject island + adjunct island, [−Extraction]:
b. Deterklartatvivillebliveglade,
itisclearthatwewouldbecomeglad
hvisvoresvaccinemoddénvirusendeligfikNobelprisen.
ifourvaccineagainstthisvirusfinallygotNobel Prize.the
‘It’s clear that we would be pleased if our vaccine against this virus finally got the Nobel Prize.’
c.
Det er klart at vi blev glade, da vores vaccine mod dén virus endelig fik Nobelprisen.
‘It’s clear that we were pleased when our vaccine against this virus finally got the Nobel Prize.’
d.
Det er klart at vi blev glade, fordi vores vaccine mod dén virus endelig fik Nobelprisen.
‘It’s clear that we were pleased because our vaccine against this virus finally got the Nobel Prize.’
Subject island + non-island that-clause, [+Extraction]:
e. Deterdénvirussomviblevgladefor,
Itisthatvirusthatwebecamegladfor
atvoresvaccinemod__endeligfikNobelprisen.
thatourvaccineagainstfinallygotNobel Prize.the
‘This is the virus that we were pleased that our vaccine against finally got the Nobel Prize.’
  • Subject island + adjunct island, [+Extraction]:
f. Deterdénvirussomvivillebliveglade,
Itisthatvirusthatwewouldbecomeglad
hvisvoresvaccinemod__endeligfikNobelprisen.
ifourvaccineagainstfinallygotNobel Prize.the
‘This is the virus that we would be pleased if our vaccine against finally got the Nobel Prize.’
g.
Det er dén virus som vi blev glade, da vores vaccine mod __ endelig fik Nobelprisen.
‘This is the virus that we were pleased when our vaccine against finally got the Nobel Prize.’
h.
Det er dén virus som vi blev glade, fordi vores vaccine mod __ endelig fik Nobelprisen.
‘This is the virus that we were pleased because our vaccine against finally got the Nobel Prize.’
(2)
Filler 2.
Context: Jeg havde lovet en ven at passe hans kæledyr i en uge. Ved en fejl lod jeg uheldigvis hoveddøren stå åben et sekund for længe og både hans kat og hans prisvindende udstillingshund løb ud.
‘I had promised a friend to watch his pets for a week. Unfortunately, I accidentally left the front door open just a bit too long and both his cat and his prize-winning show dog ran out.’
  • Coordinate structure island + non-island that-clause, [−Extraction]:
a. Deteråbenlystatjegblevflovover,
ItisobviousthatIbecameashamedover
atjegfaktiskmistedebådekattenoghundensammedag.
thatIactuallylostbothcat.theanddog.thesameday
‘It’s obvious that I was ashamed that I actually lost both the cat and this dog in one day.’
Coordinate structure island + adjunct island, [−Extraction]:
b. Deteråbenlystatjegvillebliveflov,
ItisobviousthatIwouldbecomeashamed
hvisjegfaktiskmistedebådekattenoghundensammedag.
IfIactuallylostbothcat.theanddog.thesameday
‘It’s obvious that I would be ashamed if I actually lost both the cat and this dog in one day.’
c.
Det er åbenlyst at jeg blev flov, da jeg faktisk mistede både katten og hunden samme dag.
‘It’s obvious that I was ashamed when I actually lost both the cat and this dog in one day.’
d.
Det er åbenlyst at jeg blev flov, fordi jeg faktisk mistede både katten og hunden samme dag.
‘It’s obvious that I was ashamed because I actually lost both the cat and this dog in one day.’
  • Coordinate structure island + non-island that-clause, [+Extraction]:
e. Deterhundensomjegblevflov over,
itisdog.thethatIbecameashamedover
atjegfaktiskmistedebådekattenog__sammedag.
thatIactuallylostbothcat.theandsame day
‘This is the dog that I was ashamed that I actually lost both the cat and in one day.’
  • Coordinate structure island + adjunct island, [+Extraction]:
f. Deterhundensomjegvilleblive flov,
Itisdog.thethatIwouldbecomeashamed
hvisjegfaktiskmistedebådekattenog__sammedag.
IfIactuallylost bothcat.theandsameday
‘This is the dog that I would be ashamed if I actually lost both the cat and in one day.’
g.
Det er hunden som jeg blev flov, da jeg faktisk mistede både katten og __ samme dag.
‘This is the dog that I was ashamed when I actually lost both the cat and in one day.’
h.
Det er hunden som jeg blev flov, fordi jeg faktisk mistede både katten og __ samme dag.
‘This is the dog that I was ashamed because I actually lost both the cat and in one day.’

Appendix B

Summary of the cumulative mixed-effects models with sliding contrasts for the raw acceptability ratings of the filler sentences: clmm (Acceptability ~ Type + (1 | Participant) + (1 | Item)). Significance indicator: *** p < 0.001.
Table A1. Filler 1 (subject islands).
Table A1. Filler 1 (subject islands).
EstimateSEzp
Type 2 (if [−Ex])—Type 1 (that [−Ex])0.370.470.7870.431
Type 3 (when [−Ex])—Type 2 (if [−Ex])−0.520.48−1.0810.280
Type 4 (because [−Ex])—Type 3 (when [−Ex])0.590.471.2610.207
Type 5 (what [+Ex])—Type 4 (because [−Ex])−2.910.51−5.7590.000***
Type 6 (if [+Ex])—Type 5 (that [+Ex])−0.190.48−0.4030.687
Type 7 (when [+Ex])—Type 6 (if [+Ex])0.030.470.0700.944
Type 8 (because [+Ex])—Type 7 (when [+Ex])−0.620.48−1.2980.194
Table A2. Filler 2 (coordinate structures).
Table A2. Filler 2 (coordinate structures).
EstimateSEzp
Type 2 (if [−Ex])—Type 1 (that [−Ex])0.290.440.6550.512
Type 3 (when [−Ex])—Type 2 (if [−Ex])0.040.450.0870.931
Type 4 (because [−Ex])—Type 3 (when [−Ex])−0.470.44−1.0780.281
Type 5 (what [+Ex])—Type 4 (because [−Ex])−5.140.59−8.7210.000***
Type 6 (if [+Ex])—Type 5 (that [+Ex])0.160.470.3450.730
Type 7 (when [+Ex])—Type 6 (if [+Ex])−0.520.50−1.0450.296
Type 8 (because [+Ex])—Type 7 (when [+Ex])0.260.510.5220.602

Notes

1
We use the terms ‘adverbial clause’ and ‘adjunct clause’ interchangeably.
2
According to Westergaard (2021), L2 learners do not start out by transferring their L1 grammar to the L2 in a wholesale manner. Instead, transfer is parsing-based and takes place on a property-by-property basis, triggered by positive evidence in the input, such that anything can be transferred, but not everything is necessarily transferred. We remain agnostic as to whether transfer is wholesale or incremental. We focus on the part of the grammar responsible for extraction from islands.
3
We use the (theoretical) term “strong island” here to refer to large (empirically measured) island effect.
4
One of the advantages of using linear mixed-effects models as we did in our analysis is that they allow unbalanced data, including uneven number of participants per list (Sonderegger et al., 2018, Section 7.1.2; Wu, 2009).
5
For Danish L2, see Table 4 in the present paper. For English, see Nyvad et al. (2022), Table 7. For Danish L1, see Nyvad et al. (2024), Table 3.
6
However, as pointed out by an anonymous reviewer, the fact that there is variability and gradience in the L2 judgments should not in itself be taken as evidence on the nature of syntactic representations in the L2 grammar, as L2 grammars are characterized by instability and variability in ways that L1 grammars are not (Clahsen & Felser, 2006; Westergaard, 2021, p. 389).

References

  1. Abeillé, A., Hemforth, B., Winckel, E., & Gibson, E. (2020). Extraction from subjects: Differences in acceptability depend on the discourse function of the construction. Cognition, 204, 104293. [Google Scholar] [CrossRef] [PubMed]
  2. Augie, B. (2016). Package ‘gridExtra’ [Computer software]. Available online: https://github.com/baptiste/gridextra (accessed on 12 September 2021).
  3. Bode, S. (2020). Casting a minimalist eye on adjuncts. Routledge, Taylor & Francis Group. [Google Scholar]
  4. Bondevik, I., Kush, D., & Lohndal, T. (2020). Variation in adjunct islands: The case of Norwegian. Nordic Journal of Linguistics, 44(3), 1–32. [Google Scholar] [CrossRef]
  5. Bošković, Ž. (2015). From the Complex NP Constraint to everything: On deep extractions across categories. The Linguistic Review, 32(4), 603–669. [Google Scholar] [CrossRef]
  6. Chomsky, N. (1964). Current issues in linguistic theory. De Gruyter Mouton. [Google Scholar] [CrossRef]
  7. Chomsky, N. (1973). Conditions on transformation. In S. R. Anderson, & P. Kiparsky (Eds.), A festschrift for morris halle (pp. 232–286). Holt, Rinehart and Winston. [Google Scholar]
  8. Chomsky, N. (1982). Some concepts and consequences of the theory of government and binding (Linguistic inquiry monographs 6). MIT Press. [Google Scholar]
  9. Chomsky, N. (1986). Barriers. MIT Press. [Google Scholar]
  10. Chomsky, N. (2001). Derivation by phase. In M. J. Kenstowicz (Ed.), Ken hale: A life in language (pp. 1–52). MIT Press. [Google Scholar]
  11. Christensen, K. R., Kizach, J., & Nyvad, A. M. (2013a). Escape from the Island: Grammaticality and (reduced) acceptability of wh-island violations in danish. Journal of Psycholinguistic Research, 42(1), 51–70. [Google Scholar] [CrossRef]
  12. Christensen, K. R., Kizach, J., & Nyvad, A. M. (2013b). The processing of syntactic islands—An fMRI study. Journal of Neurolinguistics, 26(2), 239–251. [Google Scholar] [CrossRef]
  13. Christensen, K. R., & Nyvad, A. M. (2014). On the nature of escapable relative islands. Nordic Journal of Linguistics, 37(1), 29–45. [Google Scholar] [CrossRef]
  14. Christensen, K. R., & Nyvad, A. M. (2019). No escape from the island: On extraction from complement wh-clauses in English. In K. R. Christensen, H. Jørgensen, & J. L. Wood (Eds.), The sign of the V—Papers in honour of sten vikner (pp. 95–112). Dept. of English, School of Communication & Culture, Aarhus University. [Google Scholar] [CrossRef][Green Version]
  15. Christensen, K. R., & Nyvad, A. M. (2022). The island is still there: Experimental evidence for the inescapability of relative clauses in English. Studia Linguistica, 76(3), 1–25. [Google Scholar] [CrossRef]
  16. Christensen, K. R., & Nyvad, A. M. (2024). Complexity, frequency, and acceptability. Glossa: A Journal of General Linguistics, 9(1), 1–44. [Google Scholar] [CrossRef]
  17. Christensen, R. H. B. (2015). Ordinal—Regression models for ordinal data. Available online: http://www.cran.r-project.org/package=ordinal/ (accessed on 21 February 2018).
  18. Clahsen, H., & Felser, C. (2006). How native-like is non-native language processing? Trends in Cognitive Sciences, 10(12), 564–570. [Google Scholar] [CrossRef]
  19. Deane, P. (1991). Limits to attention: A cognitive theory of island phenomena. Cognitive Linguistics, 2(1), 1–64. [Google Scholar] [CrossRef]
  20. Engdahl, E. (1985). Constituent questions: The syntax and semantics of questions with special reference to Swedish (Studies in linguistics and philosophy). D. Reidel Publishing Company. [Google Scholar]
  21. Engdahl, E. (1997). Relative clause extraction in context. Working Papers in Scandinavian Syntax, 60, 59–86. [Google Scholar]
  22. Engdahl, E., & Ejerhed, E. (Eds.). (1982). Readings on unbounded dependencies in Scandinavian languages (Acta universitatis umensis 43). Universitetet i Umeå; Almqvist & Wiksell International [distributor]. [Google Scholar]
  23. Erteschik-Shir, N. (1982). Extractability in Danish and the pragmatic principle of dominance. In E. Engdahl, & E. Ejerhed (Eds.), Readings on unbounded dependencies in Scandinavian languages (pp. 175–191). Universitetet i Umeå; Almqvist & Wiksell International [distributor]. [Google Scholar]
  24. Goldberg, A. E. (2005). Island constraints and scope. In Constructions at work: The nature of generalization in language (pp. 129–165). Oxford University Press. [Google Scholar] [CrossRef]
  25. Hawkins, J. A. (1999). Processing complexity and filler-gap dependencies across grammars. Language, 75(2), 244–285. [Google Scholar] [CrossRef]
  26. Hawkins, J. A. (2004). Efficiency and complexity in grammars. Oxford University Press. [Google Scholar]
  27. Huang, C.-T. J. (1982). Logical relations in chinese and the theory of grammar [Ph.D. dissertation, MIT]. Available online: http://pubman.mpdl.mpg.de/pubman/item/escidoc:403106:7/component/escidoc:403105/chinese_huang1982_o.pdf (accessed on 29 September 2015).
  28. Huang, C.-T. J. (2009). Logical Form. In Between syntax and semantics. Routledge. [Google Scholar]
  29. Jensen, A. (2002). Sætningsknuder i dansk. NyS, Nydanske Sprogstudier, 29, 105–124. [Google Scholar] [CrossRef][Green Version]
  30. Kaushanskaya, M., Blumenfeld, H. K., & Marian, V. (2020). The language experience and proficiency Questionnaire (LEAP-Q): Ten years later. Bilingualism: Language and Cognition, 23(5), 945–950. [Google Scholar] [CrossRef] [PubMed]
  31. Kuno, S. (1987). Functional syntax: Anaphora, discourse, and empathy. University of Chicago Press. [Google Scholar]
  32. Kush, D., & Dahl, A. (2020). L2 transfer of L1 island-insensitivity: The case of Norwegian. Second Language Research, 38(2), 315–346. [Google Scholar] [CrossRef]
  33. Kush, D., Dahl, A., & Lindahl, F. (2023). Filler–gap dependencies and islands in L2 English production: Comparing transfer from L1 Norwegian and L1 Swedish. Second Language Research, 40(3), 02676583231172918. [Google Scholar] [CrossRef]
  34. Kush, D., & Lindahl, F. (2011, January 7). On the escapability of islands in Scandinavian. 85th Annual Meeting of the Linguistic Society of America. LSA 2011, Pittsburgh, Pennsylvania. Available online: https://www.google.com/url?sa=t&source=web&rct=j&opi=89978449&url=https://projekt.ht.lu.se/fileadmin/_migrated/content_uploads/WPSS_01.pdf&ved=2ahUKEwjbtN-O9qeMAxVKgf0HHXKlPeMQFnoECBUQAQ&usg=AOvVaw3pJ2pr0L_DCx7nXcH-OMWo (accessed on 2 May 2014).
  35. Kush, D., Lohndal, T., & Sprouse, J. (2018). Investigating variation in island effects: A case study of Norwegian wh-extraction. Natural Language & Linguistic Theory, 36(3), 743–779. [Google Scholar] [CrossRef]
  36. Kush, D., Lohndal, T., & Sprouse, J. (2019). On the island sensitivity of topicalization in Norwegian: An experimental investigation. Language, 95(3), 393–420. [Google Scholar] [CrossRef]
  37. Kuznetsova, A., Brockhoff, P. B., & Christensen, R. H. B. (2017). lmerTest package: Tests in linear mixed effects models. Journal of Statistical Software, 82(13). [Google Scholar] [CrossRef]
  38. Lasnik, H., & Saito, M. (1984). On the nature of proper government. Linguistic Inquiry, 15(2), 235–289. [Google Scholar]
  39. Lindahl, F. (2017). Extraction from relative clauses in Swedish [Ph.D. dissertation, University of Gothenburg]. Available online: https://gupea.ub.gu.se/handle/2077/51985 (accessed on 17 December 2023).
  40. Liu, Y., Winckel, E., Abeillé, A., Hemforth, B., & Gibson, E. (2022). Structural, functional, and processing perspectives on linguistic island effects. Annual Review of Linguistics, 8(1), 495–525. [Google Scholar] [CrossRef]
  41. Macbeth, A., Atagi, N., Montag, J. L., Bruni, M. R., & Chiarello, C. (2022). Assessing language background and experiences among heritage bilinguals. Frontiers in Psychology, 13, 993669. [Google Scholar] [CrossRef]
  42. Marian, V., Blumenfeld, H. K., & Kaushanskaya, M. (2007). The language experience and proficiency questionnaire (LEAP-Q): Assessing language profiles in bilinguals and multilinguals. Journal of Speech, Language, and Hearing Research, 50(4), 940–967. [Google Scholar] [CrossRef]
  43. Martohardjono, G. (1993). Wh-movement in the acquisition of a second language: A cross-linguistic study of three languages with and without movement [Ph.D. dissertation, Cornell University]. [Google Scholar]
  44. Müller, C., & Eggers, C. U. (2022). Island extractions in the wild: A corpus study of adjunct and relative clause islands in danish and english. Languages, 7(2), 125. [Google Scholar] [CrossRef]
  45. Nunes, J., & Uriagereka, J. (2000). Cyclicity and extraction domains. Syntax, 3(1), 20–43. [Google Scholar] [CrossRef]
  46. Nyvad, A. M., & Christensen, K. R. (2023). Hvis, da og fordi ekstraktion fra adverbielle ledsætninger var mulig. Ny forskning i grammatik, 30, 185–200. [Google Scholar] [CrossRef]
  47. Nyvad, A. M., Christensen, K. R., & Vikner, S. (2017). CP-recursion in Danish: A cP/CP-analysis. The Linguistic Review, 34(3), 449–477. [Google Scholar] [CrossRef]
  48. Nyvad, A. M., Müller, C., & Christensen, K. R. (2022). Too true to be good? The non-uniformity of extraction from adjunct clauses in english. Languages, 7(4), 244. [Google Scholar] [CrossRef]
  49. Nyvad, A. M., Müller, C., & Christensen, K. R. (2024). Moving away from the island. Extraction from adjunct clauses in Danish. Ms. under revision.
  50. Phillips, C. (2013a). On the nature of island constraints I: Language processing and reductionist accounts. In J. Sprouse, & N. Hornstein (Eds.), Experimental Syntax and Island Effects (pp. 64–108). Cambridge University Press. [Google Scholar] [CrossRef]
  51. Phillips, C. (2013b). On the nature of island constraints II: Language learning and innateness. In J. Sprouse, & N. Hornstein (Eds.), Experimental Syntax and Island Effects (pp. 132–158). Cambridge University Press. [Google Scholar] [CrossRef]
  52. R Core Team. (2023). R: A Language and Environment for Statistical Computing. R Foundation for Statistical Computing. Available online: https://www.R-project.org/ (accessed on 31 January 2023).
  53. Ross, J. R. (1967). Constraints on variables in syntax [Ph.D. dissertation, Massachusetts Institute of Technology]. Available online: https://dspace.mit.edu/handle/1721.1/15166 (accessed on 16 April 2018).
  54. Sabel, J. (2002). A minimalist analysis of syntactic islands. Linguistic Review, 19(3), 271–315. [Google Scholar] [CrossRef]
  55. Schwartz, B. D., & Sprouse, R. A. (1994). A longitudinal study of (L1 Turkish) German Interlanguage: Word order and nominative case in non-native language acquisition. In T. Hoekstra, & B. D. Schwartz (Eds.), Language acquisition studies in generative grammar (p. 317). John Benjamins Publishing Company. [Google Scholar] [CrossRef]
  56. Schwartz, B. D., & Sprouse, R. A. (1996). L2 cognitive states and the Full Transfer/Full Access model. Second Language Research, 12(1), 40–72. [Google Scholar] [CrossRef]
  57. Slabakova, R. (2021). Second language acquisition. In T. Lohndal, G. Rey, & N. Allott (Eds.), A Companion to Chomsky (pp. 222–231). John Wiley & Sons, Ltd. [Google Scholar] [CrossRef]
  58. Sonderegger, M., Wagner, M., & Torreira, F. (2018). Quantitative methods for linguistic data (1.0). Available online: https://people.linguistics.mcgill.ca/~morgan/qmld-book/lmem.html (accessed on 23 May 2023).
  59. Sprouse, J., Caponigro, I., Greco, C., & Cecchetto, C. (2016). Experimental syntax and the variation of island effects in English and Italian. Natural Language & Linguistic Theory, 34(1), 307–344. [Google Scholar] [CrossRef]
  60. Sprouse, J., Wagers, M., & Phillips, C. (2012). A test of the relation between working-memory capacity and syntactic island effects. Language, 88(1), 82–123. [Google Scholar] [CrossRef]
  61. Stepanov, A. (2007). The end of CED? Minimalism and extraction domains. Syntax, 10(1), 80–126. [Google Scholar] [CrossRef]
  62. Tomoschuk, B., Ferreira, V. S., & Gollan, T. H. (2019). When a seven is not a seven: Self-ratings of bilingual language proficiency differ between and within language populations. Bilingualism: Language and Cognition, 22(3), 516–536. [Google Scholar] [CrossRef]
  63. Venables, W. N., & Ripley, B. D. (2002). Modern applied statistics with S. Springer. [Google Scholar] [CrossRef]
  64. Vikner, S., Christensen, K. R., & Nyvad, A. M. (2017). V2 and cP/CP. In L. Bailey, & M. Sheehan (Eds.), Order and structure in syntax I: Word order and syntactic structure (pp. 313–324). Language Science Press. [Google Scholar] [CrossRef]
  65. Villata, S., Rizzi, L., & Franck, J. (2016). Intervention effects and Relativized Minimality: New experimental evidence from graded judgments. Lingua, 179, 76–96. [Google Scholar] [CrossRef]
  66. Westergaard, M. (2021). Microvariation in multilingual situations: The importance of property-by-property acquisition. Second Language Research, 37(3), 379–407. [Google Scholar] [CrossRef]
  67. White, L. (1985). The “Pro-Drop” parameter in adult second language acquisition. Language Learning, 35(1), 47–61. [Google Scholar] [CrossRef]
  68. White, L. (2003). Second language acquisition and universal grammar (Textbooks in linguistics). Cambridge University Press. [Google Scholar]
  69. Wickham, H. (2016). ggplot2: Elegant graphics for data analysis [Computer software]. Springer. Available online: https://ggplot2.tidyverse.org (accessed on 13 September 2021).
  70. Wu, L. (2009). Mixed effects models for complex data. Chapman and Hall/CRC. [Google Scholar] [CrossRef]
Figure 1. Mean (raw) acceptability ratings. ***, p < 0.001; **, p < 0.01.
Figure 1. Mean (raw) acceptability ratings. ***, p < 0.001; **, p < 0.01.
Languages 10 00063 g001
Figure 3. Mean (raw) acceptability rating as a function of self-reported proficiency in L2 Danish.
Figure 3. Mean (raw) acceptability rating as a function of self-reported proficiency in L2 Danish.
Languages 10 00063 g003
Figure 4. Complementizer × extraction effects in English L1 (data from Nyvad et al., 2022), Danish L2 (present study), and Danish L1 (data from Nyvad et al., 2024).
Figure 4. Complementizer × extraction effects in English L1 (data from Nyvad et al., 2022), Danish L2 (present study), and Danish L1 (data from Nyvad et al., 2024).
Languages 10 00063 g004
Table 1. Experimental design.
Table 1. Experimental design.
Complementizer[−Extraction][+Extraction]
Non-islandThatType 1Type 5
IslandsIfType 2Type 6
WhenType 3Type 7
BecauseType 4Type 8
Table 2. Summary of the cumulative mixed-effects model with sliding contrasts for the raw acceptability ratings of the target sentences (adjunct islands): clmm (Acceptability ~ Type + (1 | Participant) + (1 | Item)). Significance indicators: ***, p < 0.001; **, p < 0.01.
Table 2. Summary of the cumulative mixed-effects model with sliding contrasts for the raw acceptability ratings of the target sentences (adjunct islands): clmm (Acceptability ~ Type + (1 | Participant) + (1 | Item)). Significance indicators: ***, p < 0.001; **, p < 0.01.
EstimateSEzp
Type 2 (if [−Ex])—Type 1 (that [−Ex])0.010.290.0450.964
Type 3 (when [−Ex])—Type 2 (if [−Ex])0.090.290.3000.764
Type 4 (because [−Ex])—Type 3 (when [−Ex])−0.060.29−0.2090.835
Type 5 (what [+Ex])—Type 4 (because [−Ex])−0.900.29−3.1040.002**
Type 6 (if [+Ex])—Type 5 (that [+Ex])−1.330.28−4.6820.000***
Type 7 (when [+Ex])—Type 6 (if [+Ex])−0.950.28−3.3970.001***
Type 8 (because [+Ex])—Type 7 (when [+Ex])−0.360.27−1.3070.191
Table 3. Summary of the mixed-effects model with sliding contrasts for the z-transformed ratings of the target sentences (adjunct islands): lmer (Acceptability_z ~ Type + (1 | Participant) + (1 | Item)). Significance indicators: ***, p < 0.001; **, p < 0.01. (Type 1 = that [−Ex], Type 2 = if [−Ex], Type 3 = when [−Ex], Type 4 = because [−Ex], Type 5 = that [+Ex], Type 6 = if [+Ex], Type 7 = when [+Ex], Type 8 = because [+Ex].).
Table 3. Summary of the mixed-effects model with sliding contrasts for the z-transformed ratings of the target sentences (adjunct islands): lmer (Acceptability_z ~ Type + (1 | Participant) + (1 | Item)). Significance indicators: ***, p < 0.001; **, p < 0.01. (Type 1 = that [−Ex], Type 2 = if [−Ex], Type 3 = when [−Ex], Type 4 = because [−Ex], Type 5 = that [+Ex], Type 6 = if [+Ex], Type 7 = when [+Ex], Type 8 = because [+Ex].).
EstimateSEdftp
(Intercept)0.240.02161.7710.4400.000***
Type 2 (if [−Ex])—Type 1 (that [−Ex])0.010.09161.770.0550.956
Type 3 (when [−Ex])—Type 2 (if [−Ex])0.030.09161.770.3610.718
Type 4 (because [−Ex])—Type 3 (when [−Ex])−0.050.09161.77−0.5300.597
Type 5 (what [+Ex])—Type 4 (because [−Ex])−0.260.09161.77−2.8210.005**
Type 6 (if [+Ex])—Type 5 (that [+Ex])−0.470.09161.77−5.1670.000***
Type 7 (when [+Ex])—Type 6 (if [+Ex])−0.410.09161.77−4.5500.000***
Type 8 (because [+Ex])—Type 7 (when [+Ex])−0.110.09161.77−1.2250.222
Table 4. Summary of the mixed-effects model of the complementizer × extraction interaction for the target sentences (adjunct islands): lmer (Acceptability_z ~ Complementizer × Extraction + (1 | Participant) + (1 | Item)). Significance indicators: ***, p < 0.001; **, p < 0.01.
Table 4. Summary of the mixed-effects model of the complementizer × extraction interaction for the target sentences (adjunct islands): lmer (Acceptability_z ~ Complementizer × Extraction + (1 | Participant) + (1 | Item)). Significance indicators: ***, p < 0.001; **, p < 0.01.
EstimateSEdftp
(Intercept [Comp. = that])0.660.06132.7110.4610.000***
Complementizer = if0.000.10101.930.0340.973
Complementizer = when0.040.09113.770.3950.693
Complementizer = because−0.010.1095.16−0.1390.890
Extraction−0.270.09147.50−3.0550.003**
Comp. = if × Extraction−0.470.12147.50−3.8630.000***
Comp. = when × Extraction−0.920.12147.50−7.4860.000***
Comp. = because × Extraction−0.980.12147.50−8.0010.000***
Table 5. Summary of the linear model of the complementizer × extraction × language interaction for the target sentences (adjunct islands): lm (Acceptability_z ~ Complementizer × Extraction × Language). Significance indicators: ***, p < 0.001; **, p < 0.01, * p < 0.05.
Table 5. Summary of the linear model of the complementizer × extraction × language interaction for the target sentences (adjunct islands): lm (Acceptability_z ~ Complementizer × Extraction × Language). Significance indicators: ***, p < 0.001; **, p < 0.01, * p < 0.05.
EstimateSEtp
Comp. = if × Extraction, Language = Danish−0.6630.112−5.9300.000***
Comp. = when × Extr., Lang. = Danish−0.4660.112−4.1670.000***
Comp. = because × Extr., Lang. = Danish−0.2200.112−1.9720.049*
Comp. = if × Extraction, Language = English0.3190.1152.7850.005**
Comp. = when × Extr., Lang. = English0.2990.1152.6140.009**
Comp. = because × Extr., Lang. = English0.2560.1152.2370.025*
Disclaimer/Publisher’s Note: The statements, opinions and data contained in all publications are solely those of the individual author(s) and contributor(s) and not of MDPI and/or the editor(s). MDPI and/or the editor(s) disclaim responsibility for any injury to people or property resulting from any ideas, methods, instructions or products referred to in the content.

Share and Cite

MDPI and ACS Style

Nyvad, A.M.; Christensen, K.R. Entering Foreign Lands: How Acceptable Is Extraction from Adjunct Clauses to L1 Users of English in L2 Danish? Languages 2025, 10, 63. https://doi.org/10.3390/languages10040063

AMA Style

Nyvad AM, Christensen KR. Entering Foreign Lands: How Acceptable Is Extraction from Adjunct Clauses to L1 Users of English in L2 Danish? Languages. 2025; 10(4):63. https://doi.org/10.3390/languages10040063

Chicago/Turabian Style

Nyvad, Anne Mette, and Ken Ramshøj Christensen. 2025. "Entering Foreign Lands: How Acceptable Is Extraction from Adjunct Clauses to L1 Users of English in L2 Danish?" Languages 10, no. 4: 63. https://doi.org/10.3390/languages10040063

APA Style

Nyvad, A. M., & Christensen, K. R. (2025). Entering Foreign Lands: How Acceptable Is Extraction from Adjunct Clauses to L1 Users of English in L2 Danish? Languages, 10(4), 63. https://doi.org/10.3390/languages10040063

Article Metrics

Back to TopTop