Abstract
Acquiring prosodic focus marking in a second language (L2) is difficult for learners whose native language utilizes strategies that differ from those of the target language. German typically uses pitch accents (L+H*/H*) to mark focus, while (Modern Standard) Arabic preferably employs a syntactic strategy (word order) or lexical means. In Syrian Arabic, a variety which is predominantly oral, pitch accents are used to mark focus, but the distribution and types are different from German. The present study investigates how Syrian Arabic learners of German prosodically mark focus in L2 German. A question–answer paradigm was used to elicit German subject-verb-object (SVO)-sentences with broad, narrow, or contrastive focus. Productions of advanced (C1, N = 17) and intermediate (B1/B2, N = 8) Syrian Arabic learners were compared to those of German controls (N = 12). Like the controls, both learner groups successfully placed pitch accents on focused constituents. However, learners, especially those with lower proficiency, used more pitch accents in non-focal regions than the controls, revealing challenges in de-accentuation. These may result from the larger number of phrase boundaries in learners’ productions, which in turn might be explained by transfer from the L1 or aspects of general fluency. Learners also differed from the controls with respect to accent type. They predominantly used H* for narrow or contrastive focus (instead of L+H*); proficiency effects played only a minor role here. Our study hence reveals an intricate interplay between cross-linguistic influence and proficiency in the L2 acquisition of prosodic focus marking, targeting a language pair so far underrepresented in the literature (German vs. Syrian Arabic).
Keywords:
second language acquisition; prosody; focus marking; pitch accents; German; Arabic; transfer 1. Introduction
When learning a new language (henceforth, L2), learners encounter challenges at different linguistic levels: the formation of a lexicon, the acquisition of grammatical relations (word order, grammatical gender, etc.), speech sounds, or prosody. Such challenges are most often a result of cross-linguistic differences between the native (L1) and the target language (; ). In the present study, we investigate the L2 acquisition of prosody, concentrating on focus marking by Syrian Arabic (SyrA) learners of German. German is a stress-accent language, which means that intonation is used post-lexically to mark pragmatic functions such as sentence type or linguistic focus (). In German, focus, i.e., the part of an utterance that carries most informational weight, is typically signaled by a pitch accent, i.e., a tonal movement that distinguishes the focused word(s) from the rest of the utterance (; ). While prosody in general and focus marking in particular have been researched extensively in German (; ; ; ; , among others), comparatively little is known about Syrian Arabic on these topics. Syrian Arabic, a Levantine dialect, is primarily spoken in Syria and within Syrian communities abroad. It belongs to the Eastern Arabic dialect family and serves as the everyday spoken language, while Modern Standard Arabic is used for formal (primarily written) communication, education, and media. A recent prosodic analysis of SyrA suggests that it is intonationally more constrained than German, with accentual phrases (APs) ranking below intermediate ones in prosodic hierarchy (), like French (). Specifically, neutral declaratives have been shown to exhibit falling APs throughout the utterance (H* La), with pitch accents on every content word (). Apart from these differences in prosodic structure, German and (Syrian) Arabic also differ with respect to focus marking: as will be described below in detail, German shows a direct focus-in-accent mapping, placing pitch accents on focused constituents. Modern Standard Arabic, on the other hand, preferably applies syntactic (word order, i.e., fronting) or lexical strategies (focus particles) to mark focus (; ; ). Like German, SyrA makes use of pitch accents to mark focus (), but the distribution and types of accents differ between the two languages, as detailed below. Hence, the acquisition of L2 focus marking requires SyrA learners to acquire the signaling of focus in the target language.
Previous studies on the acquisition of focus have shown that even advanced learners struggle with target-like focus marking strategies and often transfer L1 properties to the L2 (cf. for an overview). So far, nothing is known on how SyrA learners realize focus in L2 German. In the present study, we investigate whether and how Syrian Arabic learners of German employ pitch accents to mark focus in L2 German. We further address the role of language proficiency in the frequency of occurrence, placement, and type of the pitch accent.
1.1. Cross-Linguistic Differences in Focus Marking: German vs. Syrian Arabic
Linguistic focus can shift depending on which part(s) of the utterance carries most informational weight, see (1). It can be categorized into broad or narrow focus, depending on the number of constituents that are emphasized (; ), see (1). Broad focus involves emphasis on larger parts of the utterance (1a), while narrow focus targets specific constituents (1b). Contrastive (or corrective) focus (1c), a special case of narrow focus, occurs when the emphasized constituent directly contrasts with prior information (the new element bee contrasts with lamp). In general, speakers convey information by adding something new with respect to what is already given by the discourse (; ). This distinction between new and given is central to the pragmatic analysis of utterances. Usually, given information fades into the background, while new information is in focus. However, neither is invariably the case. Rather, the focused part of an utterance contains information that cannot be assumed to exist when the utterance is made, regardless of whether the individual constituents have already been mentioned in the discourse or not ().
(1a) What happened? | (1b) Who sees a bee? |
[The man sees a bee]F. | [The man]F sees a bee. |
(1c) Does the man see a lamp? | |
The man sees [a bee]F. |
Languages differ in their exact ways of marking focus, which can involve prosody, syntax, morphology, or lexis, or strategies based on a combination of these (). As indicated above, German and (Syrian) Arabic use different primary strategies to signal focus. In German, focus is typically realized by assigning a pitch accent to the focal constituent(s) (or the focus exponent). In broad focus, as in all-new sentences (1a), the pitch accent typically falls on a syntactically defined focus exponent, marking a larger focus domain through focus projection. The focus exponent, which typically is the last content word in German, receives a high nuclear pitch accent (H*, ); see Figure 1a for an illustration (where the subject “Maren” receives a pre-nuclear accent and the object (dative) “Adam” a high-pitched nuclear accent, H*).

Figure 1.
Examples produced by a female German native speaker, prompted by different questions that elicited the intended focus condition: (a) broad focus (focus exponent: Adam), (b) narrow focus on the subject (Maren) and (c) narrow focus on the object (doll). Tier 1 displays the phonetic transcription at the word level, while tier 2 provides the transcription at the syllable level. Tier 3 shows a word-by-word translation into English. Tier 4 shows the constituents, and tier 5 the pitch accents and phrase boundaries (not present in this example) using the GToBI system (). Capital F indicates the constituent in focus, see tier 4.
Narrowly and contrastively focused constituents usually receive a rising pitch accent (L+H*) (; ), but H*-accents are also possible (); see Figure 1b for narrow focus on the subject and Figure 1c for narrow focus on the object.
Phonetically, constituents in narrow focus exhibit an increased duration, f0 and intensity as compared to broad focus constituents; constituents in contrastive focus exhibit the same pattern as narrow focus with even more pronounced prosodic cues (; ; ; ). Like many other languages, German shows de-accentuation of unfocused elements, which can be seen as a by-product of prosodic marking of (narrow) focus (), see Figure 1b,c. While the focal area is highlighted, the pre- and post-focal areas are usually prosodically weak (; ; ). Particularly, the pre-focal accents are reduced in prominence depending on focus type, while the post-focal area is typically deaccented ().
Focus in Modern Standard Arabic, a primarily written variety reserved for formal contexts, can be conveyed through a number of syntactic or lexical means, i.e., word order or the focus particle Ɂinna (; ; ; ). Modern Standard Arabic uses VSO-structure as default (cf. ). Changes in word order such as fronting are possible, with the fronted constituent being interpreted as the focus of the utterance (see (2) for an example of subject fronting to signal contrastive focus which may be translated with a cleft-sentence (); note that capitals indicate focus.)1
(2a) Canonical word order: Verb + Subject + Object madaħa + ṭ-ṭaalib-u + l-muↄal-lima praised.3ms + the-student-Nom + the teacher. Acc ‘The student praised the teacher.’ (2b) Subject fronting–focus: Subject + Verb + Object Ɂaṭ-ṭalib-u + madaħa + l-muↄal-lima the-student-Nom + praised.3ms + the teacher. Acc ‘THE STUDENT praised the teacher.’ (It was the student who praised the teacher (not any other person)). |
The preference for syntactic focus marking in Arabic, however, does not rule out the use of prosody. Recent studies have highlighted variations in how focus is encoded across different Arabic dialects (see for a brief overview). While there is quite some research on prosody in Egyptian Arabic (, ; ) or Lebanese Arabic (), prosodic analyses of SyrA have only recently become available. () offer—to our knowledge—the first prosodic analysis of this variety. With respect to focus marking, () show that in broad focus, every content word receives a high accent (H*) followed by a low phrasal accent (La), resulting in a rising–falling intonational pattern across the utterance (H* La). The pattern is observed for both the VSO-structure, which is typical of Modern Standard Arabic, and the SVO-structure, a common structure in SyrA. Hence, compared to German, SyrA places more accents across the utterance in broad focus contexts. Figure 2a gives an example of broad focus in a SyrA SVO-utterance (where almost all content words are realized with a high-pitched accent, followed by a phrasal break).

Figure 2.
Examples produced by a male Syrian Arabic native speaker, prompted by different questions that elicited the intended focus condition: (a) broad focus, (b) narrow focus on the subject (Mazen) and (c) narrow focus on the object (doll). The annotation procedure on Tiers 1–5 is identical to Figure 1.2
() further describe that narrow focus is signaled by high-pitched nuclear accents (H*) on the narrowly focused element, along with an enlarged f0 range for the word under focus compared to the broad focus condition (i.e., the subject in SVO-sentences with subject focus, see Figure 2b, and the object in VOS-sentences with object focus, see Figure 2c). () further note that the post-focal area in narrow focus (both for subject- and object-focus) is realized with a compressed pitch range, which, according to the authors, might suggest de-accentuation of post-focal elements. The productions from the native speaker in our examples in Figure 2b, c suggest that the extent of prosodic reduction in the post-focal area is not as pronounced as in German.
Taken together, German and SyrA differ in the marking of focus: while German primarily uses prosodic cues (pitch accents) for focus marking, SyrA favors syntactic strategies but also uses pitch accents in narrow focus situations, broad focus showing accents on every content word. German mainly employs L+H* (narrow and contrastive focus) and H* (broad focus), whereas SyrA mostly uses H*. Based on these differences, acquiring target-like focus marking in German might be challenging for SyrA leaners, requiring adjustments in pitch accent placement and type.
1.2. Acquiring Focus Marking in L2
Research has demonstrated that cross-linguistic differences can cause difficulties for learners in the use of target-like signals to focus (see for an overview). Learners frequently transfer prosodic properties, particularly in the early stages of L2 acquisition (e.g., ; ). In particular, they have been shown to deviate from L1 speakers in terms of pitch accent placement (; ; ), pitch accent type (; ; ), the degree of prominence (; ), as well as the phonetic implementation of pitch accents (; ; ).
Regarding pitch accent placement, several studies have reported uncalled for (hence too many) pitch accents in L2 productions, regardless of the information status (whether referents are new or given). (), for example, showed that Spanish learners of English often do not differentiate clearly between new and given information when placing accents. They place accents on words that would be de-accented by native speakers of English, leading to a prosodic pattern that can make it harder to discern the intended information structure of a sentence. Likewise, () found that Dutch L1 speakers speaking Spanish tend to place accents in locations that would be considered prominent in Dutch but not in Spanish. Spanish L1 speakers speaking Dutch also displayed transfer effects, placing accents in positions that aligned more with Spanish intonation rules. () found more pitch accents across the utterance in French learners of German than in German L1 speakers, with learners frequently accenting non-focused elements. The higher number of pitch accents especially on non-focused constituents in learners’ productions as compared to target productions has often been attributed to transfer effects where learners with a language background that has a looser relation between prosody and information structure place more accents than L1 speakers of that language (e.g., ). Also, fluency effects have been discussed, with less fluent speech in learners leading to more phrase breaks and consequently more pitch accents (). In any case, acquiring target-like accent distribution is essential in the L2 acquisition of focus marking.
In utterances where pitch accent placement was target-like, numerous studies have shown that the accent type was not. (), for instance, found that Spanish learners of English excessively used falling pitch accents, even in contexts where English L1 speakers would use rising pitch accents. () demonstrated that German learners of English often used falling pitch accents where native English speakers would normally use rising accents, particularly in pre-nuclear positions. () found that native speakers of German typically used the L+H* accent to indicate contrastive focus, while French learners used various accent types. Again, differences in pitch accent types have by and large been explained by influence from learners’ L1, which leads to negative prosodic transfer. Some of these studies have explicitly tested whether learners’ proficiency affects the amount of transfer.
In particular, there is evidence that transfer effects decrease as speakers gain greater experience in the L2, leading to productions that increasingly resemble those of L1 speakers of the target language (e.g., ; ; ). For example, () found that L2 speakers exhibit intonation patterns influenced by their L1, with prosodic transfer evident in both pitch accents and boundary tones. However, as L2 proficiency improves, their intonation patterns become more target-like. Similarly, () showed that both beginners and advanced learners placed more accents on the post-focal elements than did L1 speakers, but the effect was mediated by proficiency. This is in line with findings by () who found that the more proficient Zulu speakers of English aligned closely with L1 English speakers in their use of intonation to mark focus and boundaries. In contrast, the less proficient Zulu speakers of English only resembled L1 English speakers in boundary marking, but did not use prosody to signal focus—mirroring patterns typical of their native language. Such proficiency effects are consistent with models of L2 acquisition of intonation, such as the L2 Intonation Learning theory (LILt, ), which predicts gradual restructuring of the intonational system in response to increasing L2 input and experience.
So far, there are no studies on how SyrA learners of German acquire prosodic focus marking. The present study is a first step towards filling this gap. Given the prosodic similarities and differences between SyrA and German, we expect the L1 and L2 systems to interact in SyrA learners of German ()—an effect that is likely to be reduced by increasing proficiency.
1.3. The Present Study
The present study investigates the prosodic marking of focus (broad, narrow, contrastive) in SyrA learners of L2 German. We include 25 learners who fell into two proficiency groups (intermediate and advanced); see Section 3.1 for details. We use a question–answer paradigm in an online experiment to elicit the different focus types in German SVO-sentences. Productions from learners are compared to productions by twelve German native speakers (control group).
The research questions (RQs) are as follows:
- RQ1. How do native speakers of SyrA realize broad, narrow, and contrastive focus in L2 German (in terms of pitch accent placement and pitch accent type)?
- RQ2. Does proficiency affect the intonational marking of focus in SyrA learners of German, such that learners’ productions become more target-like with increasing proficiency?
Considering the background reviewed above—and under the assumption of prosodic transfer—we predict that SyrA learners differ from L1 speakers of German with respect to pitch accent placement and the use of pitch accent type. Our predictions vary with different focus conditions: For broad focus, we expect more pitch accents across the utterance in learners’ productions as compared to the control group. As the H* accent is also the primary accent for marking broad focus in German, we do not predict differences in pitch accent type in this condition. For narrow and contrastive focus, we expect learners to place nuclear accents on the focused constituent and de-accent the post-focal area—identical to what we would assume for the target language. In these conditions, we predict differences in accent type rather than distribution, with SyrA learners opting for H* whereas controls are expected to show a preference for L+H*. We predict productions in all focus conditions to differ between proficiency groups, with productions from advanced learners approaching those of the control group.
2. Materials and Methods
In order to elicit semi-spontaneous productions in German SVO-sentences, we employed a question–answer paradigm. The questions were designed to prompt responses reflecting three focus types: broad, narrow, and contrastive focus. Participants were presented with a question that was displayed orthographically on the screen and simultaneously played through loudspeakers (e.g., Wer sieht eine Biene?, ‘Who sees a bee?’). Along with the question, they were shown an image that depicted the response to the question (e.g., a man looking at a bee), which we analyzed in terms of pitch accent placement and pitch accent type. This approach facilitated the production of more natural responses compared to simply reading scripted sentences and was particularly beneficial for learners with lower proficiency, as it aided comprehension of the questions. The experiment was administered using the LabVanced platform (). The study was approved by the Ethics Committee of the Trier University (EK-Nr 21/23).
2.1. Participants
A total of 25 Syrian learners of German (4f, 21 m; age: 20–59 years; ⌀ = 29.8 years, sd = 9.2 years) with Arabic as L1 participated in the study; see Table 1 and Figure 3 (right) for an overview of participants’ demographic characteristics. At the time of data collection, all participants were residing in Germany with the following regional distribution: three in Berlin, one in Hamburg, three in Lower Saxony, four in North Rhine-Westphalia, and fourteen in Rhineland-Palatinate. On average, the participants had been learning German for 5.8 years (sd = 2.7 years). The duration of residence in Germany varied: fifteen participants had been living in the country for more than 5 years, seven for 3–5 years, two for 2 years, and one for 1 year.

Table 1.
Metadata of Syrian Arabic learners of German.

Figure 3.
The left panel illustrates the average Dialang scores for the two learner groups. Advanced learners are represented in light blue; intermediate learners in dark blue. In addition to the median (horizontal line), the mean is given as a red dot. Outliers are marked by black dots (see IML group). The right panel displays the learners’ places of birth. Four participants did not specify a place of birth, but indicated ‘Syria’.
Learners’ proficiency in German was assessed via the Dialang questionnaire (), an online diagnostic tool that assesses proficiency via a lexical decision task (N = 75 words and non-words). This tool was used to divide learners into two proficiency groups.3 Eventually, eight learners were assigned to the intermediate (IML) group (levels B1 and B2) and 17 learners to the advanced (AL) group (level C1).
As Table 1 shows, in addition to German, the majority of participants had also learned English, a language with many prosodic similarities to German, including focus marking (). In our sample, all speakers in the AL group and half of the intermediate learners (IML) also knew English. To address this imbalance in English skills that might confound our proficiency factor, we compared IML participants with or without English experience in a post hoc analysis, but the results did not differ between groups (see below).
A total of 12 German native speakers (5f, 6m, 1d; age: 19–61 years; ⌀ = 31.3 years, sd = 13.8 years) served as a control group. All controls were born and raised in Germany (one in Baden-Wurttemberg, seven in North Rhine-Westphalia, and four in Rhineland-Palatinate).
2.2. Materials
We created pairs of pictures and questions that elicited answers in the different focus conditions (broad, narrow, and contrastive). Questions were pre-recorded and presented orthographically and via loudspeakers.
2.2.1. Pictures
Twelve pictures were designed; see Figure 2 for an example in which the subject is a man and the object is a bee (target sentence: Der Mann sieht eine Biene., ‘The man sees a bee.’).
Each picture showed one of four subjects (e.g., a man), who handled (e.g., seeing) one of twelve different objects (e.g., a bee); see Table 2. To increase variability in word prosody, eight of the twelve objects were disyllabic and four were monosyllabic. Three verbs were chosen to represent different actions and were combined with each subject, resulting in twelve pictures (four subjects × three verbs).

Table 2.
List of all words used to construct the twelve utterances.
Words were constructed such that they included phonemes which also occur in the Arabic phonemic system.4 The lexical frequency of the target words was checked in the dlexDB corpus (log range: 3.00–4.88; ⌀ = 3.78, sd = 0.55) to confirm that they were common German words with which the learners were likely to be familiar (⌀ object: 3.57, sd object = 0.33; ⌀ subject: 4.52, sd subject = 0.42; ⌀ verb = 3.64, sd verb = 0.71). Prior to testing, the list of words was provided to two independent SyrA learners of German (CEFR A2 level), neither of whom reported encountering any unfamiliar words.
2.2.2. Questions
For each picture, six German wh- or polar questions were created to prompt the three focus types: broad focus (3), narrow focus (4), and contrastive focus (5), henceforth referred to as ‘focus conditions.’ Narrow focus targeted either the subject or the object, while contrastive focus targeted the subject, the verb, or the object.5 Broad focus questions were identical across all 12 pictures, creating an ‘all new’ scenario. This resulted in 72 total questions (12 pictures × six focus conditions: one broad, two narrow, three contrastive).
Broad focus was elicited through a wh-question that was identical for each picture (e.g., ‘What does the picture show?’, 12 questions in total), see (3) for an example. For narrow focus, wh-questions using ‘who’ targeted subjects and wh-questions using ‘what’ targeted objects (24 questions: 12 pictures × two wh-elements), see (4). Contrastive focus was prompted via polar questions with false premises to elicit corrections: one each for the subject, the object, and the verb, see (5). Subject questions introduced semantic opposites (e.g., replacing ‘man’ with ‘woman’). Object questions ensured contrast by avoiding items typically associated with the respective subject in order to increase contrast and novelty. In Figure 4, for example, in which a man is looking at a bee, the object in the question was any other than ‘bee’, ‘pants’ and ‘roof’, since the man is depicted in three of our pictures interacting with exactly these three objects. Hence, using these objects could have reduced the interpretation of the referents as a contrast in case participants had created an association between the man and these objects. Verb questions swapped verbs within the dataset (e.g., see replaced by draw), maintaining consistency without having learners to deal with more new verbs. This resulted in 36 polar questions (12 pictures × three targets).
(3) Broad focus Q: Was zeigt das Bild? (‘What does the picture show?’) A: [Der Mann sieht eine Biene]F. (‘The man sees a bee.’) |
(4) Narrow Focus (NF) (4a): Narrow focus on the subject (NF-subject) Q: Wer sieht eine Biene? (‘Who sees a bee?’) A: [Der Mann]F sieht eine Biene. (‘The man sees a bee.’) (4b): Narrow focus on the object (NF-object) Q: Was sieht der Mann? (‘The man sees a bee.’) A: Der Mann sieht [eine Biene]F. (‘The man sees a bee.’) |
(5) Contrastive Focus (CF) (5a): Contrastive focus on the subject (CF-subject) Q: Sieht die Frau eine Biene? (‘Does the woman see a bee?’) A: [Der Mann]F sieht eine Biene. (‘The man sees a bee.’) (5b): Contrastive focus on the object (CF-object) Q: Sieht der Mann eine Gabel? (‘Does the man see a fork?’) A: Der Mann sieht [eine Biene]F. (‘The man sees a bee.’) (5c): Contrastive focus on the verb (CF-verb) Q: Kauft der Mann eine Biene? (‘Does the man buy a bee?’) A: Der Mann [sieht]F eine Biene. (‘The man sees a bee.’) |

Figure 4.
An exemplar picture used in the production task, e.g., Der Mann sieht eine Biene. (‘The man sees a bee.’).
2.2.3. Fillers
Eight filler items were included in order to avoid a monotonous speaking style. They consisted of answers to simple questions. For instance, participants were shown a fork and asked ‘Is that a bee?’
2.2.4. Audio Recordings
The 72 questions were recorded by a female native speaker of German (born and raised in North Rhine-Westphalia, aged 26 at the time of recording). The questions were designed and recorded to ensure that a pitch accent was consistently produced in specific syntactic and focus conditions:
- (a)
- On the wh-word in broad focus;
- (b)
- On the wh-word in narrow focus conditions, specifically for the subject (NF-subject) and the object (NF-object);
- (c)
- On the subject in contrastive focus (CF-subject);
- (d)
- On the object in contrastive focus (CF-object); and
- (e)
- On the verb in contrastive focus (CF-verb).
In order to prevent influences of intonation style of the questions on the answer, the word asking for the constituent in focus was spliced so that it was identical in all questions. This ensured that all utterances produced by the participants could be attributed to intonation of the questions rather than style changes of the speaker.
2.3. Procedure
The experiments were run via the online platform LabVanced () at the participants’ homes in Germany and lasted approximately 20 minutes. Subjects participated via laptop and were instructed to use headphones with a built-in microphone as opposed to the one built into the computer, and to carry out the experiment in a quiet setting. Recordings were manually screened for quality; sound quality was generally very good (almost all recordings from the 37 participants could be used, see Section 2.4. Recordings from three participants turned out to be corrupted and could not be used).6 All participants received EUR 5 for their participation.
The experimental task was preceded by a metadata questionnaire and an introductory phase. In the introductory phase, participants were familiarized with the items: the pictures were presented with a written SVO-sentence displayed below the picture (e.g., Der Mann sieht eine Biene.—‘The man sees a bee’, see Figure 4). This was done to indirectly instruct participants to answer the questions using an SVO-sentence (a sort of priming).
The experiment started with three practice trials to familiarize participants with the type of the task and stimuli (one broad focus, one contrastive focus, one filler item). The experimental task consisted of 80 trials (12 sentences × six focus conditions + eight fillers) during which the participants saw a picture and heard the recording of the corresponding question. Participants were asked to answer the questions using the information in the picture displayed and in a full sentence.
To mitigate potential fatigue effects, we developed two pseudo-randomized experimental lists, which were randomly assigned to each participant. These lists were designed with specific constraints: consecutive trials were structured to ensure that the same focus condition or target words did not appear in succession. After the experimental trials, learners were asked to perform the Dialang test (lexical decision).
2.4. Data Set and Annotation
The dataset consisted of 2116 utterances (N = 793 for L1 German and N = 1323 for L2), see Table 3. A total of 540 utterances (20.1%) were excluded from the dataset due to slips of the tongue (N = 11), incorrect word usage (e.g., ‘pan’ instead of ‘pot’, or the word ‘no’ in the beginning, N = 264)7, the utterances were picture descriptions (e.g., “Das Bild zeigt einen Mann, der eine Biene sieht”, The picture shows a man seeing a bee, N = 35), stuttering (N = 41), experimental errors8 (N = 201), background noises (N = 13) or because the utterances did not follow the intended SVO-structure, but showed an OVS- or VSO-structure (N = 12).

Table 3.
Distribution of utterances per proficiency group.
Utterances were annotated on six tiers in Praat (); see Figure 5 for an example annotation of a realization by an intermediate learner (NF-object focus). Tier 1 shows the utterance. On Tier 2, we segmented and labelled the single words of the utterance according to standard segmentation criteria (); on Tier 3, the corresponding syllables. Tier 4 indicates whether or not a word was accented (acc). On Tier 5, we annotated pitch accent types and phrase breaks using the German ToBI system (). Some utterances exhibited rhythmic interruptions, which we annotated using a ‘-’ symbol. Tier 6 was used to mark pauses (not present in the current example).

Figure 5.
Sample annotation of Das Mädchen malt eine Sonne (‘The girl draws a sun’) produced by a male intermediate learner with NF-object Focus. The F0 was smoothed by 5 Hz. Tier 1 displays the utterance. Tier 2 contains word segmentation, and Tier 3 syllables. Tier 4 indicates accented words (acc), while Tier 5 annotates pitch accents and phrase breaks using the German ToBI system. Rhythmic interruptions are marked with a ‘-’ (not present in the example), and Tier 6 is reserved for pauses (not present in the example).
2.5. Interrater Agreement
Intonational analysis (pitch accent placement and pitch accent type) of all productions was carried out by the first author. To test the reliability of the annotation, a subset of the utterances (N = 215 utterances; 10%) was annotated by a second independent rater (last author). Both annotators are trained in intonational phonology and ToBI annotation. For accentuation (yes/no), i.e., whether a word was accented or not, the two raters agreed in 78% of instances, which reflects “substantial” agreement (Cohen’s kappa κ = 0.77, 95% CI: 0.73–0.81, ). Only those items for which both raters had agreed on the presence of accentuation were evaluated further with respect to accent type labeling in order to prevent double-counting the agreement on accent placement. Agreement on accent type reached 87%, κ = 0.84, 95% CI: 0.80–0.88, indicating an “almost perfect” level of agreement. Given the strong reliability of the annotation, we used the annotations by the first author for further analyses.
3. Results
We will report the results on placement of pitch accents (Section 3.1) and choice of pitch accent type (Section 3.2), along with effects of proficiency. The group comparisons of both analyses are summarized in Section 3.3. Analysis scripts are available at OSF (https://osf.io/tx46q/, accessed on 9 June 2025).
3.1. Placement of Pitch Accents
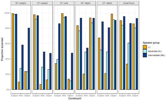
We first analyzed the placement of the pitch accent for each utterance. Figure 6 shows the distribution of pitch accents in the different focus conditions and by the three groups. To express the six focus conditions appropriately in German, the nuclear accent was expected to be placed on the subject (in the CF-subject- and NF-subject condition), the verb (in the CF-verb condition), or the object (in the CF-object-, NF-object-, and broad focus condition), as indicated by the grey shading in Figure 6.

Figure 6.
Proportion of pitch accents assigned to each constituent across different focus conditions (facets from left to right). The speaker groups are color-coded: L1 speakers in yellow, L2 speakers in blue (AL in light blue, IML in dark blue). The expected nuclear pitch accent placement in each focus condition is highlighted in light grey.
We expected L1 controls to place accents on focal constituents. For the object-focus conditions and the broad focus condition, pre-focal pitch accents are likely to occur in that group (; ; ), while post-focal de-accentuation would be the target structure in the subject- and verb-focus conditions. The L1-German control group was expected to realize this predicted distribution of accents. Recall that we predicted that learners would behave differently: specifically, we expected learners to place more accents than the controls in the broad focus condition, with an additional effect of proficiency, such that IML produce more pitch accents than AL. For the narrow and contrastive focus conditions, accent distribution was not expected to be different.
Figure 6 demonstrates that the focal constituent (grey shading) did indeed receive an accent most of the time in all focus conditions. Differences between learners and controls become apparent in the pre-focal and post-focal area, where learners placed more accents than L1 speakers. This indicates that learners struggle with de-accentuation. In these regions, though, there seems to be an effect of proficiency, with advanced speakers being closer to the target speaker pattern (light blue bar lower than dark blue bar).
We will now describe the patterns of accentuation in detail and present the results from the statistical models for each focus condition.9 For the statistical analysis, we used Generalized Linear Mixed Models (GLMMs) to determine the relationship between accentuation (dummy coded as yes vs. no) and speaker group (three levels: L1, AL, IML), focus condition (six levels: NF-subject, CF-subject, CF-verb, NF-object, CF-object, broad focus) and constituent (three levels: subject, verb, object), accounting for random effects for participants and items (random intercepts). The models were fitted using the glmer function in the lme4 package in R (), and the Nelder_Mead () optimizer was used to facilitate model convergence. The overall model10 revealed a significant three-way interaction between speaker group, focus condition, and constituent (χ2 = 81.691, df = 20, p < 0.01), suggesting that the effect of the predictors on accentuation depends on the levels of both speaker group and constituent, and is different in different focus conditions; see Figure 7 for a visualization of model predictions.

Figure 7.
The predicted probabilities of a pitch accent being placed on each constituent (subject, verb, object) by speaker group and focus condition. The data points in the error bars represent the 95% confidence interval.
To investigate the three-way interaction in more detail, we conducted post hoc pairwise comparisons for speaker group within each combination of focus condition and constituent using the emmeans() and contrast() functions from the emmeans package in R. Estimated marginal means were calculated from the full model, and pairwise contrasts were performed to assess group differences, with results reported as odds ratios. For reasons of clarity, we will only report significant group comparisons in the pre- and post-focal area. Section 3.3 provides an overview of all group comparisons (see Supplementary Materials for a detailed statistical report of all comparisons). We will start the report with the broad focus condition for which we predicted differences in accent distribution between L1 speakers and learners.
3.1.1. Broad Focus (Figure 6, Right Panel)
Focus exponent (object): The object as the focus exponent received an accent in the majority of cases by all groups: in 86% of the cases by L1 speakers, in 80% of the cases by AL, and 93% of the cases by IML (no group differences, all p > 0.40).
The subject was accented in most cases by all groups (L1: 90%, AL: 84%, IML: 96%; no group differences, all p > 0.33). The effect of speaker group on verb accentuation was statistically significant: L1 speakers (33%) placed fewer pitch accents than both AL (60%, β = −1.134, SE = 0.39, z = −2.9, p < 0.01) and IML (87%, β = −2.380, SE = 0.58, z = −4.1, p < 0.01). The difference between AL and IML approached significance (β = −1.246, SE = 0.58, z = −2.2, p = 0.07), with AL placing fewer accents (proficiency effect).
3.1.2. NF-Subject (Figure 6, Left Panel)
Focal constituent (subject): All speaker groups consistently placed nuclear accents on the subject (L1: 99%, AL: 98%, IML: 99%), indicating target-like focus marking across groups (no group differences, all p > 0.28).
Non-focal constituents: Differences between groups emerged in non-focal regions: L1 speakers accented the verb in 10%, the AL group in 28%, and the IML group in 58% of cases. Post-hoc comparisons revealed that the IML group placed more pitch accents on the verb than the L1 speakers (β = −2.915, SE = 0.49, z = −5.9, p < 0.01) and the AL group (β = −1.863, SE = 0.43, z = −4.3, p < 0.01; proficiency effect). The AL group placed more pitch accents on the verb than L1 speakers (β = −1.052, SE = 0.43, z = −2.4, p = 0.04).
The object was accented in 24% of cases by L1 speakers, in 23% by the AL group and in 80% by the IML group. Again, IML placed significantly more accents than L1 speakers (β = −2.120, SE = 0.46, z = −3.9, p < 0.01) and than the AL group (β = −2.260, SE = 0.44, z = −2.4, p = 0.04; proficiency effect).
3.1.3. CF-Subject (Figure 6, Second Panel from Left)
Focal constituent (subject): All speaker groups consistently accented the contrastively focused subject in almost all utterances (L1: 98%, AL: 92%, IML: 98%, no group differences, all p > 0.16).
Non-focal constituents: L1 speakers accented the verb in 7% of cases, compared to 26% for AL and 52% for IML. Both learner groups hence placed significantly more accents on the verb than L1 speakers (IML: β = −2.774, SE = 0.53, z = −5.3, p < 0.01; AL: β = −1.728, SE = 0.48, z = −3.6, p ≤ 0.01), and AL placed fewer accents on the verb than IML (β = −1.046, SE = 0.42, z = −2.5, p = 0.04; proficiency effect). Similarly, IML placed significantly more accents on the object than both L1 speakers (β = −1.359, SE = 0.49, z = −3.9, p < 0.01, L1: 13%; IML: 49%) and AL (β = −1.662, SE = 0.49, z = −2.3, p = 0.04, AL: 24%; proficiency effect).
3.1.4. CF-Verb (Figure 6, Third Panel from Left)
Focal constituent (verb): The verb was consistently accented by all speaker groups (L1: 99%, AL: 94%, IML: 94%, no significant group differences, all p > 0.12).
Non-focal constituents: Group differences emerged for non-focal constituents, both for the subject and the object: L1 speakers (34%) and AL speakers (36%) placed significantly fewer accents on the subject than IML (83%) speakers (AL vs. IML: β = −1.957, SE = 0.51, z = −3.8, p < 0.01, proficiency effect; L1 vs. IML: β = −2.063, SE = 0.52, z = −3.9, p < 0.01). L1 speakers (14%) and AL speakers (11%) placed significantly fewer pitch accents on the object than IML (L1 vs. IML: β = −1.359, SE = 0.49, z = −2.7, p = 0.02; AL vs. IML: β = −1.662, SE = 0.49, z = −3.3, p < 0.01, proficiency effect).
3.1.5. NF-Object (Figure 6, Third Panel from the Right)
Focal constituent (object): The narrowly focused object received a pitch accent in most cases across all three groups (L1: 93%, AL: 87%, IML: 93%, no group differences, all p > 0.29).
Non-focal constituents: The subject was accented in 83% of cases by L1 speakers, 76% by the AL group, and 94% by the IML group. The only significant group differences revealed the AL group to place significantly fewer accents than the IML group (β = −1.489, SE = 0.62, z = −2.4, p = 0.04, proficiency effect). An effect of speaker group was found in verb accentuation, with L1 speakers (20%) placing significantly fewer accents on the verb than both the IML (70%, β = −2.194, SE = 0.46, z = −4.7, p < 0.01) and AL group (46%, β = −1.304, SE = 0.37, z = −3.5, p < 0.01).
3.1.6. CF-Object (Figure 6, Second Panel from Right)
Focal constituent (object): All three speaker groups placed an accent on the contrastively focused object in almost every utterance (L1: 99%, AL: 92%, IML: 89%). There was a significant difference between L1 and IML, with L1 speakers placing more pitch accents on the object (β = 2.456, SE = 0.88, z = 2.8, p = 0.01).
Non-focal constituents: The pre-focal subject often received a prenuclear pitch accent by all speaker groups (L1: 67%, IML: 67%, AL: 50%). The AL group accented the subject significantly less often than the IML group (β = −1.774, SE = 0.51, z = −3.5, p < 0.01; proficiency effect). There was also a clear effect of speaker group in verb accentuation, with L1 (21%) and AL (47%) placing significantly fewer pitch accents on the verb than IML (86%, L1 vs. IML: β = −3.079, SE = 0.53, z = −5.9, p < 0.01; AL vs. IML: β = −1.772, SE = 0.50, z = −3.6, p < 0.01). The difference between L1 and AL was also significant (β = −1.307, SE = 0.37, z = −3.5, p < 0.01).
Taken together, we predicted differences in accent placement between L1 speakers and learners for the broad focus condition. For the verb in this condition, our findings hence confirm our hypothesis that learners place more accents within the utterance than L1 speakers. The subject, on the other hand, was accented by default by all groups, even slightly more by AL learners. Interestingly, the analysis of pitch accent placement highlights notable differences between learner groups and native speakers in the narrow and contrastive focus conditions which we did not predict (given that Syrian Arabic shows de-accentuation under narrow focus). Our findings show that while both learner groups demonstrated an overall success in accenting the focused constituents, the primary distinction emerges in the non-focal areas. Learners, especially IML, placed more accents on non-focal constituents, where de-accentuation would be the target (see L1 control data). At first glance, the marking of the focused constituents in learners would suggest acquisition of the target structure; however, the overuse of accents on non-focal constituents dilutes the precision of learners’ prosodic marking. This tendency became even more pronounced as the IML group showed a higher frequency of occurrence of accents on the verb compared to both AL and especially L1 speakers across all focus conditions. Proficiency hence seems to boost the acquisition of intonational focus marking in Syrian Arabic learners of German: the IML group showed an inflationary use of pitch accents, while more advanced speakers showed a greater success in de-accentuation (fewer non-target-like accents). Recall that in the IML group fewer participants than in the AL group spoke English as another foreign language. Given the similarities between German and English with respect to the prosodic marking of focus (; ; ), the question arises whether the observed patterns reflect proficiency effects or transfer from English. To exclude this confounding factor that our random sampling of participants introduced, we performed a post hoc analysis in which we divided the IML group into learners with vs. without English skills. The overall pattern of accentuation between IML with vs. without prior training in English was very similar (see Supplementary Materials). Statistical analysis showed that, contrary to what would be expected if English skills were the driving force, IML without any knowledge of English skills showed fewer accents compared to IML with knowledge in English (β = 0.7639, SE = 0.2391, z = −3.195, p < 0.01), indicating that this group mastered de-accentuation better. Hence, the observed effects are likely to be driven by proficiency rather than prior training in English.
With respect to accent placement, the question remains of why learners, and those with lower proficiency in particular, placed more accents compared to controls. One possible explanation is that learners may insert additional phrase or rhythmic breaks after certain constituents, which in turn increases the likelihood of placing accents. This could be a strategy to manage the prosodic structure of the sentence, compensating for a less intuitive control of focus marking. To explore this possibility further, Table 4 provides data that shed light on the relationship between phrase breaks and accent placement.

Table 4.
Proportion of phrase breaks after the subject and after the verb in each focus condition.
Table 4 highlights clear distinctions in phrase break distribution between L1 speakers and learners in all focus conditions. Learners introduced more breaks, particularly in post-focal areas, which may correspond to the higher frequency of accents observed in these regions. Whether an increased number of phrase breaks might be an effect of fluency (leaners are less fluent than controls) or cross-linguistic influence (Syrian Arabic has been analyzed as showing accentual phrases beyond the intermediate phrase, see ) is for now hard to tell. We will come back to this point in the General Discussion.
3.2. Type of Pitch Accent
We now turn to the type of pitch accent (GToBI labels, see Tier 5, Figure 5). Recall that we expected L1 speakers to predominantly use L+H* to mark narrow and (particularly) contrastive focus (; ; ) and H* for broad focus. L2 speakers are expected to opt for H* due to cross-linguistic influence from Syrian Arabic (). Table 5 shows an overview of the group comparisons.

Table 5.
A summary of the main findings, illustrating group comparisons for accent placement (upper part) and pitch accent type (lower part). Significant differences between the groups are highlighted in bold.
3.2.1. Focal Area
We will provide an analysis of the pitch accents predominantly used to mark focus for the intended constituents (the subject in the NF-subject and CF-subject condition, the verb in the CF-verb condition, and the object in the NF-object, CF-object and broad focus condition). Accordingly, the results for narrow and contrastive focus on the subject (NF-subject, CF-subject), as well as the results for narrow and contrastive focus on the object and broad focus (NF-object, CF-object, broad focus) will be presented together. For the statistical analysis, GLMM were used for each accent type. The dependent variable ‘accent type’ was dummy coded (binary: L+H*/other, H*/other, L*/other, L*+H/other, H+L*/other); ‘speaker group’ (three levels: L1, advanced, intermediate), and ‘focus condition’ (six levels: NF-subject, CF-subject, CF-verb, NF-object, CF-object, and broad focus) were used as independent variables, and random intercepts were modelled for participants and items.11 Since no model of accent type revealed a significant interaction between the predictors (all p > 0.11), we reduced model complexity and tested for main effects, which are reported in the following sections.
Distribution of Pitch Accent Types on the Subject (NF-Subject & CF-Subject)
- L+H* (Figure 8, Green Bars)Figure 8. The proportion of the different pitch accent types assigned to each constituent across different focus conditions (left: NF-subject, right: CF-object). The pitch accent types are color-coded. The analyzed pitch accent types are L+H* (green) and H* (yellow). The analyzed constituent is highlighted in grey.
L+H* was the most frequently used pitch accent type on subjects in narrow focus by L1 speakers, appearing in 51% of all utterances, with a slightly higher occurrence in contrastive focus (CF-subject; 56%). AL used L+H* in 35% of utterances in narrow focus and 33% in contrastive focus. IML showed an L+H* usage of 38% in narrow focus and an increased rate of 50% in contrastive focus. The model showed no significant effect of ‘focus condition’ (p = 0.12). With respect to speaker group, L1 speakers produced significantly more L+H* accents compared to AL (β = −1.0292, SE = 0.5143, z = 2.001, p = 0.04) across both focus conditions (no interaction between ‘focus condition’ × ‘speaker group’, p = 0.31).
- H* (Figure 8, Yellow Bars)
L1 speakers used H* to mark narrow focus on the subject (NF-subject) in 20% of all utterances and in 15% to mark contrastive focus (CF-subject). AL used H* in 37% of utterances for narrow focus (NF-subject) and 45% for contrastive focus (CF-subject). IML used H* in 23% of utterances for NF-subject and CF-subject. These differences between groups are supported by a significant effect of ‘speaker group’ (χ2 = 12.1950, df = 2, p < 0.01): L1 speakers produced fewer H* accents compared to AL (β = −1.3462, SE = 0.3668, z = −3.670, p < 0.01) and AL produced more H* than IML (β = −0.8810, SE = 0.4132, z = −2.132, p = 0.03) across both focus conditions (no interaction between ‘focus condition’ × ‘speaker group’, p = 0.11).
As expected, L1 speakers predominantly used L+H*, and learners showed a higher number of H*-accents, particularly the advanced group. These findings might hence indicate CLI from Syrian Arabic (use of H*) in the AL learners. There is no effect of proficiency, in fact a reverse effect if anything, with IML showing less CLI than the AL speakers. We will come back to this point in the General Discussion.
Pitch Accent Types on the Object (NF-Object, CF-Object & Broad)
- L+H* (Figure 9, Green Bars)Figure 9. The proportion of the different pitch accent types assigned to each constituent across different focus conditions (left: NF-object, right: CF-object). The analyzed pitch accent types are L+H* (green) and H* (yellow). The constituent in focus is highlighted in grey. The pre-focal subject is highlighted in light grey.
L1 speakers used L+H* in 16% of utterances in narrow focus on the object, 23% in contrastive focus on the object, and 12% in Broad Focus. In comparison, the learner groups showed less frequent use of L+H*: AL produced L+H* in 4% of utterances in NF-object, 7% in CF-object, and 5% in broad focus. IML uses L+H* in 3% of NF-object utterances, and 5% in both CF-object and broad focus utterances.
The model showed a significant effect of ‘focus condition’ (χ2 = 8.1010, df = 2, p = 0.02). Specifically, the analysis indicated a higher occurrence of L+H* in CF-object compared to NF-object, and a higher occurrence in NF-object compared to broad focus. The effect of ‘speaker group’ was also significant (χ2 = 6.0869, df = 2, p = 0.05). Particularly, L1 speakers placed significantly more L+H* than AL (β = −1.2108, SE = 0.5835, z = −2.075, p = 0.03) and IML (β = −1.7421, SE = 0.8294, z = −2.101, p = 0.03) across all three conditions (no interaction between ‘focus condition’ × ‘speaker group’, p = 0.91).
- H* (Figure 9, Yellow Bars)
L1 speakers used H* in 18% of utterances in NF-object, 22% in CF-object and 14% in Broad Focus. The learner groups showed an increased H* use. AL exhibited H* in 59% of utterances in NF-object, 58% in CF-object and 51% in Broad Focus. IML used H* to mark narrow focus on the object in 57% of utterances, in 65% to mark contrastive focus on the object, and 53% on the object in broad focus. Statistical analysis showed a main effect of ‘speaker group’ (χ2 = 22.1761, df = 2, p < 0.01), which is evident in the lower number of H* use on L1 speakers compared to AL (β = 1.9895, SE = 0.4260, z = 4.670, p < 0.01) and IML (β = 2.0510, SE = 0.5196, z = 3.948, p < 0.01) across all three conditions (no interaction between ‘focus condition’ × ‘speaker group’, p = 0.83).
- H+L* (Figure 9, Light Blue Bars)
L1 speakers used H + L* in 42% of utterances in NF-object, 30% in CF-object, and 36% in broad focus. In contrast, the learner groups demonstrated a considerably lower usage of H + L*. AL produced H + L* in 11% of utterances in NF-object, 9% in CF-object, and 5% in broad focus, while IML produced H + L* in 5% of utterances in NF-object, 4% in CF-object, and 10% in broad focus.
The model showed significant main effects of ‘speaker group’ (χ2 = 10.6843, df = 2, p < 0.01) and ‘focus condition’ (χ2 = 6.0289, df = 2, p = 0.05). In particular, L1 speakers used H + L* more compared to both AL (β = −1.9736, SE = 0.6959, z = −2.836, p < 0.01) and IML (β = −2.1922, SE = 0.8941, z = −2.452, p = 0.01) across all three focus conditions (no interaction between ‘focus condition’ × ‘speaker group’, p = 0.33).12 Additionally, there were significantly more H+L* in NF-object than CF-object (β = −2.6287, SE = 0.9716, z = −2.706, p < 0.01). Other comparisons were not significant (all p > 0.11).
To summarize the findings on pitch accent usage for objects (in focus or focal exponents), L1 speakers used more L+H*- and H+L*-accents than both learner groups. Conversely, both learner groups used more H*-accents than L1 speakers across all focus conditions (CF-object, NF-object, and broad focus). Hence, as predicted, SyrA learners of German diverged from the target-like marking of narrowly and contrastively focused constituents by using more H*-accents, a phenomenon that can be explained by CLI. Contrary to our predictions, there was no effect of proficiency with respect to accent type.
Pitch Accent Types on the Verb (CF-Verb)
With respect to the verb (CF-verb), H*-accents were used in most cases (L1: 58%, AL: 65%, IML: 47%) by all speaker groups (controls and learners), with no group differences (all p > 0.26).
In summary, L1 speakers primarily used L+H* to mark focus. This is consistent with previous studies (e.g., ). Learners favored H* more frequently than L1 speakers, particularly in NF- and CF-subject, NF- and CF-object, and broad focus. This hence aligns with our prediction. Contrary to the expected proficiency effect (advanced learners closer to the target), the learner groups did not differ in most focus conditions (if anything, IML were closer to controls than AL). We will return to this point in the General Discussion. Together with the findings on accentuation, our results show that even though learners, like L1 speakers, place a pitch accent on the focused constituent (or the focus exponent), the type of the pitch accent is different from that of L1 speakers.
We now turn to the pre-focal area, as the analysis (see Section 3.1) revealed many pitch accents placed on constituents that were not in focus (for all speaker groups). In addition to the focal area, we cover the pre-focal areas because the literature demonstrates that the pre-focal area is affected by focus marking conditions. Specifically, () showed that the pre-nuclear and nuclear parts are inversely related, suggesting that information structure influences not just local prominence but creates prominence profiles over larger stretches of speech. It is hence crucial to study the intonational patterns in the pre-focal area. In contrast, the post-focal region is generally de-accented in German (), a pattern that is supported by our control data, and therefore provides some insight into differences in accent type (as accents are rare).
3.2.2. Pre-Focal Area (Subject in NF-Object, CF-Object and Broad Focus)
Accents in the pre-focal area occurred primarily on the subject in the object-focus conditions (NF-object, CF-object) and the broad focus condition, which is why our analysis concentrates on this constituent. Statistical analysis will focus on three pitch accent types: H*, which is predominantly used to mark focus in SyrA (to check for potential transfer effects, hypothesis-driven) and the two accent types (L+H*/L*+H), which occurred predominantly pre-focally on the subject (data-driven).
The most frequent accent type used by L1 speakers on the subject in pre-focal position was L*+H (Figure 9, red bars: 43% NF-object, 35% in CF-object, and 51% in broad focus). Group comparisons revealed that L1 speakers use more L*+H accents than AL (β = −1.5178, SE = 0.5200, z = −2.919, p < 0.01) across all three conditions; between L1 and IML there was no difference (no interaction ‘focus condition’ x ‘speaker group’, p = 0.31). L+H* (Figure 9, green bars) was also used frequently by L1 speakers on the pre-focal subject (in 20% of the utterances in NF-object, 10% in CF-object, and in 17% of utterances in broad focus). Numerically, AL and IML used this type even more often (see Figure 8), but group comparisons were not significant (p > 0.19). Finally, for H* (Figure 9, yellow bars), which is typical of SyrA intonational phonology (see examples in ), we find that L1 speakers used significantly fewer H*-accents than AL (β = 1.1814, SE = 0.3562, z = 3.317, p < 0.01) and IML (β = 1.1263, SE = 0.4317, z = 2.609, p < 0.01) across all conditions tested (no interaction of ‘focus condition’ × ‘speaker group’, p = 0.99). In particular, L1 speakers used H* on the subject in 7% of utterances in both NF-object and CF-object, and in 9% of utterances in broad focus. AL used H* in 18% of utterances in NF-object, 17% in CF-object, and 27% in broad focus. IML showed a similar H* usage, marking narrow focus on the subject in 17% of utterances in NF-object, 16% for CF-object, and 23% in broad focus. Hence, while L1 speakers primarily opted for L*+H as prenuclear accent or the subject (pre-focal), learners predominantly used H* (or L+H*).
3.3. Summary of the Results
Table 5 summarizes the findings on pitch accent placement (accentuation) and pitch accent type in the different focus conditions, comparing the different speaker groups. For accentuation, Table 5 provides group comparisons for each constituent in the utterance (subject, verb, object). For accent type, comparisons for the focal constituent are presented first, followed by the comparisons of the non-focal constituents (where applicable).
4. General Discussion
The present study examines two research questions: first, how Syrian Arabic speakers realize broad, narrow, and contrastive focus prosodically in L2 German (in terms of pitch accent placement and pitch accent type, RQ1), and, second, what role proficiency plays in aligning learners’ prosodic patterns with native-like targets (RQ2). Results reveal systematic differences in pitch accent placement and pitch accent type between L1 speakers and learners, also reflecting proficiency-dependent progress in acquiring target-like intonational patterns. Our study hence provides valuable insights into the intricate interplay between cross-linguistic influence and proficiency in the L2 acquisition of prosody, which we will discuss below, and it suggests practical implications for language teaching.
Our findings on pitch accent placement can be summarized as follows: Both L1 speakers and learner groups marked focus by pitch accents. Differences between speaker groups emerged primarily in non-focal areas, where target-like de-accentuation was expected (and found in L1 data, but not in L2 data). Both learner groups (intermediate and advanced) frequently added extra pitch accents on post-focal and pre-focal constituents in different focus conditions. In most of the conditions, we found an effect of proficiency, with intermediate learners showing an even larger number of accents than more advanced learners who in turn ranged between and closer to the target (control group). These findings are in line with recent studies on French learners of German who also showed challenges with de-accentuation (; ). Differences in accent placement were primarily expected in the broad focus condition (as the target structure in Syrian Arabic shows accents on every content word, thus differing from German, see ). Yet, the learner groups showed additional accents, and hence challenges with de-accentuation, not only in broad focus, but in all focus conditions across the board. This tendency to place extra accents on non-focal constituents is likely to be attributable to learners’ segmenting utterances into smaller phrases, which naturally results in a greater number of accents. To corroborate this, post hoc analyses showed that the IML group in particular split up the short SVO-utterances into more phrases than did the other groups. One possible reason for why SyrA learners differed from controls in prosodic phrasing might be cross-linguistic influence from SyrA.13 SyrA has been shown to exhibit high-falling accentual phrases (H* La) that rank below intermediate phrases, in contrast to the prosodic structure of German. The increased number of phrases could hence be a result of prosodic transfer of accentual phrases in L2 German. Alternatively, the increased frequency of phrase breaks in the learners’ data might result from a reduced fluency compared to controls. Language learners with low proficiency have been shown to pause more frequently (e.g., ), which might also be the case for our data. Our data do not allow us to disentangle the effects of fluency and transfer (they might even complement each other). One way of putting the two possibilities up against each other in future research would be to incorporate data from learners with typologically diverse L1s (i.e., learners with L1s that do not show accentual phrases) who are at comparable proficiency levels.
Regarding pitch accent type, learners exhibited patterns distinct from those of L1 speakers, with differences emerging across focus conditions and constituent roles. On focal subjects, L+H* was used more frequently by L1 speakers compared to AL, while IML did not differ from the L1 group. In contrast, H* usage was generally higher among AL and IML compared to L1 speakers, with no difference between the two learner groups, except on the subject in the subject focus condition. For focal verbs, H* was the most frequent choice by all groups, and the usage of L+H* was also consistent across all groups. On focal objects, L+H* was most frequently used by L1 speakers, followed by AL and IML. H*, however, was overused by both learner groups relative to L1 speakers, with no distinction between AL and IML. In the pre-focal subject position, H* was used less frequently by L1 speakers compared to both advanced and intermediate learners, with no difference between learner groups. L+H* usage was similar across all groups, while L*+H was more frequent among L1 speakers than advanced learners, with intermediate learners aligning more closely with L1 speakers. Hence, as expected based on CLI between German and Syrian Arabic, our findings reveal learners’ overuse of H* (irrespective of proficiency), reflecting deviations from native-like prosody. These deviations might well be explained by the linguistic background of our learner group. In Syrian Arabic, H*-accents are the default accent and commonly used for the marking of broad and narrow focus (). It is hence unsurprising that learners transferred this pattern to the L2. Such transfer effects have also been observed in other studies, where L2 learners applied prosodic patterns from their first language, influencing their pitch accent placement and the choice of the pitch accent type in the L2 (; ; ; ; ; , ). Contrary to expectations, the IML group showed patterns closer to L1 speakers than did the advanced learners, in some cases. This is not readily explicable and not predicted by L2 acquisition models (). As we will explain in detail below, usage of native-like patterns by intermediate learners might be motivated by factors other than successful acquisition.
How can differences and similarities between learners’ productions and native targets be explained? When looking at the table of results for the focused constituents, the picture emerges of learners of both proficiency levels mastering the intonation of focus marking in German in a native-like manner. This is surprising in view of multiple findings indicating that L2 prosody is acquired last, if ever (; ; ; , ; ; ; ; ; , ). The explanation might be straightforward: when it comes to accentuation, while SyrA learners have successfully transferred the concept of accentuation from their L1, they have not yet mastered de-accentuation of the constituents which are not in focus. This is particularly true for intermediate learners, as is demonstrated by the increased use of pitch accents on non-focal constituents (see Figure 6). With respect to accent type, both learner groups showed an inflationary use of H*-accents for focused constituents, which might mirror CLI from Syrian Arabic. In many cases, though, IML are using the “correct” accent type (L+H* and L*+H) for the elements in focus, and L*+H for pre-focal subjects in object-focus conditions. However, they often introduce phrase breaks. In this context, the L*+H/L+H* pattern can be interpreted in different ways. Advanced learners, for example, frequently placed breaks after subjects (L*+H: 44%, L+H*: 37%) and verbs (L*+H and L+H*: 18%). Nevertheless, they demonstrated more precise de-accenting in the post-focal area, suggesting a more deliberate use of these pitch accents. In contrast, intermediate learners showed a stronger association between these pitch accents and phrase breaks—occurring more often after subjects (L*+H: 49%, L+H*: 40%) and verbs (L*+H: 25%, L+H*: 27%). They also exhibited a higher frequency of post-focal accents. As a result, their use of these accents appears less focused on signaling emphasis but rather indicative of a slower speaking rate, hesitation, or uncertainty. Consequently, the seemingly “correct” pitch accent can therefore not (always) be taken to be a behavior acquired to denote focus but instead is likely to be interpreted as an intonation pattern marking a question and signaling uncertainty. To fully understand the apparent similarity between learners and L1 speakers, e.g., in their use of L*+H and L+H* accents, it is crucial to conduct follow-up investigations of these pitch accents. This could involve acoustic analyses to determine whether the accent types are produced in a target-like manner (with respect to scaling or alignment), as well as collecting perception data from L1 German speakers. This would help separate cases where learners correctly apply the pitch accent for linguistic focus from instances where L*+H- and L+H*-accents are used to signal uncertainty. Such data would clarify whether learners’ productions align with native-like focus marking or reflect alternative prosodic functions influenced by transfer or in-between (phonological) grammars.
Our study has implications for some basic assumptions on theories of the acquisition of L2 prosody. Our results suggest that in the area of prosody, phenomena such as intonational focus marking cannot be considered in isolation, as is the case with segmental elements, e.g., the acquisition of a stop category. It is generally accepted that, on the segmental level, CLI may lead to various outcomes in learner performance (cf. ; ; ). These include L1-like productions when patterns align between the native and target languages or when the learner achieves advanced proficiency, negative transfer of L1 patterns when they differ from those of the target language, or an intermediate form that is neither fully L1- nor L2-like. Presumably, the latter becomes less frequent with increasing skills (cf. ; ). Our results on the acquisition of intonational focus marking show that the situation is somewhat more complex than the scenarios outlined above for segmental acquisition. According to Mennen’s L2 Intonation Learning Theory (), acquiring utterance-level intonation in an L2 comprises four main components: (i) the phonological inventory of intonational events (typically pitch accents and boundary tones), (ii) their phonetic realization (e.g., tonal alignment, scaling or shape), (iii) their communicative function(s) as well as (iv) their frequency of usage. Our study concentrated on the phonological inventory (i) in different focus conditions, hence for different communicative functions (iii). The phonological acquisition of focus marking entails both choices of accent placement and accent type, but only for some aspects are there significant differences between proficiency levels. In particular, for accent placement, our results show effects of proficiency with advanced learners having mastered de-accentuation better than intermediate learners. For accent type, on the other hand, proficiency seems to play a minor role and both learner groups deviated from the target (see above for an explanation of why the larger similarity between L1 and IML might only be an apparent one). An effect of proficiency for accent type only occurred in certain conditions where AL outperformed IML (L+H* in NF-object, CF-object and broad focus). The acquisition trajectory of intonational focus marking that emerges from these findings suggests the following: Learners seem to first grasp the prominence relations within an utterance (accent placements), with the more fine-grained choice of target-like pitch accent type lagging behind. Such a trajectory is hence more nuanced, in that target-like acquisition is different for different phonological components of the same communicative function (here focus) and systematically linked to certain conditions (i.e., the syntactic constituent in question). Using the example of focus marking, our study adds to our knowledge on how learners acquire prosody, and hence advances theories on the acquisition of L2 prosody (; ), which are, compared to the segmental level (; ; ), still scarce (and not yet fully specified).
The present study does not come without limitations. It set out to examine the acquisition of prosodic focus marking in pre-defined syntactic structures (default structures for German). While this approach allowed us to gain a fine-grained picture of prosodic transfer and adjustment effects in learners’ focus marking strategies, it deliberately excluded interactions at the syntax–prosody interface. Specifically, it is conceivable that SyrA learners would prefer to use syntactic or lexical markers (instead of or beyond prosody) to focus (; ) and that prosodic marking would interact with lexicalization or word order (e.g., ; on French). Future research will have to study such interplay by employing paradigms that allow for less restricted responses by participants, e.g., by using discourse completion tasks (). The strength of our approach is the focus on prosody alone (keeping syntax and lexis constant), which allowed us to identify the intonational deviations learners produce in sentence structures typical of German. In the present study, we also focused on a phonological analysis of intonation (i.e., investigating pitch accent placement and pitch accent type). Future research needs to take into account the phonetic implementation of the pitch accents (alignment, scaling, and the shape of the contour) as well as aspects of duration, intensity, and voice quality.
The finding that SyrA learners of German struggle with the de-accentuation of non-focal constituents poses questions about their skills to perceive prosodic prominence. Follow-up perception studies with SyrA learners will have to show whether learners have difficulties in perceiving distinctions in pitch accent placement, as used for focus marking, or—alternatively—whether they can perceive these differences in prominence but (only) struggle to produce them accurately. This distinction is crucial for understanding the underlying mechanisms of the L2 acquisition of prosody, but at this point our answer can only be speculative. Egyptian Arabic learners have been shown to perform poorly in perceiving linguistic prominence (just above chance-level), hence struggling in the interpretation of focus (). This finding is not surprising, given that Egyptian Arabic shows accents on every content word by default (). Yet, Syrian Arabic is different from Egyptian Arabic in that de-accentuation occurring in narrow focus contexts is known (). It is hence to be expected that SyrA learners, given the alternations in prominence, are able to perceive prominence relations in the utterance and acquire target-like interpretation of the semantic context. From our point of view, it seems therefore more likely that the challenges learners face with prosodic focus are restricted to production. Evidence for this assumption comes from our finding that the more advanced learners show fewer non-target like accents than the intermediate group. A recent study which looked at contrastive focus marking in French learners of German corroborates this finding. Specifically, () showed that while both beginners and advanced learners placed accents on non-focal constituents, the accents produced by the advanced group were lower in prosodic strength. The reason for this might lie in the increased experience with the target language or higher fluency (fewer phrase breaks and hence fewer accents). In any case, the acquisition trajectory that emerges from our findings is one that relies on the reduction of prominence rather than the marking of prominence. In that sense, the L2 acquisition of prosody resembles patterns of first language acquisition, where children have been shown to acquire stress via a reduction in prominence of unstressed syllables (). Future research can build on these insights to explore the longitudinal development of the production and perception of prosodic focus.
The observed findings on pitch accent placement in learners’ focus marking also carry important implications for the processing of linguistic contrast by L1 speakers. In L1 speech, prosodic prominence and its relational patterns are known to support efficient language processing (e.g., ; ; ). In contrast, the excessive use of prominence by L2 learners may disrupt these relational patterns, potentially obscuring semantic/pragmatic contrasts and hindering comprehension. In other words, the focused element—even if it is prosodically marked—does not stand out from its surroundings anymore, which makes the interpretation of contrast more difficult for listeners. Further research is required to study how the absence of de-accentuation impacts L1 listeners’ ability to identify and interpret prominence and linguistic contrast in L2 speech.
Finally, from a practical standpoint, our study has implications for foreign language teaching and the development of customized teaching materials. Prosody instruction remains largely overlooked in schools, leaving teachers in need of well-designed resources that are easy to integrate into daily classroom activities (; ). Our study highlights the importance of teaching materials that emphasize techniques for reducing prominence, i.e., de-accentuation in non-focal areas, an aspect not only Syrian Arabic learners of German struggle with (e.g., ; ). Recent studies on the effectiveness of prosodic training show encouraging results (e.g., ; ), but these approaches often address prominence marking by accentuation of words in focus. To better support learners in achieving target-like prosodic marking of focus in German, such training should clearly incorporate the demonstration and practice of de-accenting non-focal elements. Given the influx of immigrants from Syria to Germany in recent years, these teaching materials would be particularly beneficial in language classes for refugees, aiding their linguistic proficiency in German.
Supplementary Materials
The following supporting information can be downloaded at: https://www.mdpi.com/article/10.3390/languages10070155/s1, In the supplementary materials, we provide additional supporting information on (a) a post-hoc analysis on the linguistic background of participants (Section 2.1), (b) acoustic details on stimuli preparation (Section 2.2.4).
Author Contributions
Conceptualization, Z.K., A.B. and K.Z.-R.; Methodology, Z.K., A.B. and K.Z.-R.; Software, Z.K.; Validation, Z.K. and K.Z.-R.; Formal analysis, Z.K. and K.Z.-R.; Investigation, Z.K. and K.Z.-R.; Resources, Z.K.; Writing—original draft, Z.K.; Writing—review & editing, A.B. and K.Z.-R.; Visualization, Z.K.; Supervision, Z.K., A.B. and K.Z.-R.; Project administration, Z.K. All authors have read and agreed to the published version of the manuscript.
Funding
This research was funded by the Hans Böckler Foundation through a PhD scholarship awarded to the first author.
Institutional Review Board Statement
The study was conducted in accordance with the Declaration of Helsinki, and approved by the Ethics Committee of the Trier University (EK Nr 21/23; date of approval: 20 March 2023).
Informed Consent Statement
Informed consent was obtained from all subjects involved in the study.
Data Availability Statement
The data presented in this study are openly available in OSF at DOI: 10.17605/OSF.IO/TX46Q.
Acknowledgments
We are grateful to Nathalie Elsässer for her support with data annotation and to Jasmin Pöhnlein for her helpful feedback on an earlier version of the manuscript. We also thank Sophia Fünfgeld, Melissa Hildebrand, and Philipp Hutmacher for their valuable assistance with piloting the experiment and participant recruitment. Special thanks go to Hussam Albaba for his support in reviewing the Syrian Arabic materials.
Conflicts of Interest
The authors declare no conflicts of interest.
Notes
1 | Example taken from (). |
2 | The examples in Figure 2 correspond to what is described in (), but—as a matter of fact—evidence for representative contours is stronger for German than for Syrian Arabic. |
3 | The numerical score of each participant (see Table 1), along with the verbal judgement, was used to translate the results into the proficiency levels of the CEFR (Common European Framework of Reference for Languages): 0–100 = A1, 101–200 = A2, 201–400 = B1, 401–600 = B2, 601–900 = C1, 901–1000 = C2 (). |
4 | There were three exceptions to this: Mädchen ‘girl’, Lampe ‘lamp’, and Topf ‘pot’. Mädchen contains /ɛ] and /ç/ but was included to match the semantic and lexical frequency of the three other subjects. Topf contains /p͡f/ and Lampe contains /p/, but were included to allow for another vowel in the monosyllables (Topf) and to match the absolute lexical frequency of the other objects (Lampe and Topf). |
5 | Note that the verb was included as a possible focus landing site to ensure that all content words (subject, verb, and object) could carry a pitch accent. However, pre-tests showed that questions meant to highlight the verb in narrow focus (e.g., Was macht der Mann mit der Biene? ‘What does the man do with the bee?’) were often understood as asking for a context description, rather than focusing specifically on the verb. To avoid this confusion, we decided to leave out the narrow focus condition for the verb and only included contrastive focus prompts which were clearly understood as such. |
6 | This means that we started out with N = 28, three of which were not usable. |
7 | This may seem rather rigorous but we wanted to be sure to rule out any confounding effect by uses of the wrong word. Since we could not exclude the possibility that the inclusion of the word “no” would affect the realization of the intonational contour of the subsequent utterance, participants were instructed to avoid using negation but respond in full sentences instead. This procedure was primed by the task instruction. Nevertheless, some participants—both native speakers and learners—used “no” in their responses (N = 108 utterances; L1: 24 instances (2.7% of the data), L2: 84 instances (4.6% of the data)). These instances were excluded from the prosodic analysis to avoid confounding (i.e., the prosodic realization of “no” influencing the subsequent sentence). |
8 | While we stated above that all audio recordings were of good quality, we excluded these items from the analysis due to truncated sound files. These truncations occurred when participants continued too quickly to the next trial, causing the recordings to be cut off prematurely. |
9 | In total, we analysed 3828 pitch accents across all focus conditions and three constituents. We excluded 48 additional pitch accents (0.02% of the data) placed on the object determiner (N = 39) and subject determiner (N = 9) as the inclusion led to converging errors in the statistical models (using optimisers did not resolve the issue). We opted for excluding these cases because the informative value of such a small number is very limited anyway. |
10 | The model formula was as follows: glmer.Int_Accentuation <- glmer(Accented~SpeakerGroup * Constituent * focus_Cond + (1|VPn) + (1|item), data = main_SVO, family = ‘binomial’, control = glmerControl(optimizer = ‘Nelder_Mead’), nAGQ = 0). The Nelder_Mead optimizer () was used to optimize model convergence (see for details). Note that the model with random slopes for focus condition did not converge. |
11 | Shown as an example at CF1 and NF1 for H*/other: glmer.Int_AccentType <- glmer(Hstar~SpeakerGroup * Constituent + (1|VPn) + (1|item), data = PA_sub_subj_CF1_NF1, family = ‘binomial’, control = glmerControl(optimizer = ‘Nelder_Mead’), nAGQ = 0). Including random slopes did not improve model fit, as confirmed by model comparisons using the anova() function. |
12 | Since this accent type was not predicted in the L1 group, we analyzed the tonal configurations in which it occurred. In 49.7% of the cases nuclear H + L* followed a prenuclear high or rising pattern, resulting in a so called “hat pattern”. This pattern has been described to be a frequent pattern in German neutral declaratives, particularly among speakers from southern regions (). |
13 | This interpretation is based on previous research on focus marking in German vs. Syrian Arabic. However, note that, compared to German, the empirical basis for the role of intonation in signaling information structure in Syrian Arabic is considerably more limited (e.g., ). |
References
- Al Hasan, M., & Mahanta, S. (2022, May 23–26). The intonational phonology of Syrian Arabic: A preliminary analysis. Speech Prosody 2022 (pp. 190–194), Lisbon, Portugal. [Google Scholar] [CrossRef]
- Alzaidi, M. S. (2022). Makkan Arabic does not have post-focus compression: A production and perception study. Phonetica, 79(3), 247–308. [Google Scholar] [CrossRef] [PubMed]
- Atterer, M., & Ladd, D. R. (2004). On the phonetics and phonology of “segmental anchoring” of F0: Evidence from German. Journal of Phonetics, 32(2), 177–197. [Google Scholar] [CrossRef]
- Baills, F., Alazard-Guiu, C., & Prieto, P. (2022). Embodied prosodic training helps improve accentedness and suprasegmental accuracy. Applied Linguistics, 43(4), 776–804. [Google Scholar] [CrossRef]
- Bates, D., Mächler, M., Bolker, B., & Walker, S. (2015). Fitting linear mixed-effects models using lme4. Journal of Statistical Software, 67, 1–48. [Google Scholar] [CrossRef]
- Baumann, S. (2006). The intonation of givenness: Evidence from German. De Gruyter Publishers. [Google Scholar] [CrossRef]
- Baumann, S., Grice, M., & Steindamm, S. (2006, May 2–5). Prosodic marking of focus domains-categorical or gradient. Speech Prosody 2006 (pp. 301–304), Dresden, Germany. Available online: https://www.academia.edu/14074590/Prosodic_Marking_of_Focus_Domains_Categorical_or_Gradient (accessed on 9 June 2025).
- Baumann, S., Kalbertodt, J., & Mertens, J. (2020, May 25–28). The appropriateness of prenuclear accent types—Evidence for information structural effects. Speech Prosody 2020 (pp. 161–165), Tokyo, Japan. [Google Scholar] [CrossRef]
- Best, C. T., & Tyler, M. D. (2007). Nonnative and second-language speech perception: Commonalities and complementarities. In O.-S. Bohn, & M. J. Munro (Eds.), Language experience in second language speech learning (pp. 13–34). John Benjamins Publishing Company. [Google Scholar] [CrossRef]
- Boersma, P., & Weenink, D. (2024). Praat: Doing phonetics by computer. Available online: https://www.fon.hum.uva.nl/praat/ (accessed on 9 June 2025).
- Braun, B., & Ladd, D. (2003, September 1–4). Prosodic correlates of contrastive and non-contrastive themes in German. The 8th European Conference on Speech Communication and Technology (pp. 789–792), Geneva, Switzerland. [Google Scholar]
- Breen, M., Fedorenko, E., Wagner, M., & Gibson, E. (2010). Acoustic correlates of information structure. Language and Cognitive Processes, 25(7–9), 1044–1098. [Google Scholar] [CrossRef]
- Büring, D. (2006). Focus projection and default prominence. In V. Molnár, & S. Winkler (Eds.), The architecture of focus (pp. 321–346). De Gruyter Mouton. [Google Scholar] [CrossRef]
- Büring, D. (2007). Semantics, intonation, and information structure. In G. Ramchand, & C. Reiss (Eds.), The Oxford handbook of linguistic interfaces (pp. 1–36). Oxford University Press. [Google Scholar] [CrossRef]
- Büring, D. (2009). Towards a typology of focus realization. In M. Zimmermann, & C. Féry (Eds.), Information structure. Theoretical, typological, and experimental perspectives (pp. 177–205). Oxford University Press. [Google Scholar]
- Calhoun, S., Warren, P., & Yan, M. (2023). Cross-language influences in the processing of L2 prosody. In I. Elgort, A. Siyanova-Chanturia, & M. Brysbaert (Eds.), Cross-language influences in bilingual processing and second-language acquisition (pp. 47–73). John Benjamins Publishing Company. [Google Scholar] [CrossRef]
- Chahal, D. (2001). Modeling the intonation of Lebanese Arabic using the autosegmental-metrical framework: A comparison with English [Ph.D. dissertation, University of Melbourne]. Available online: https://www.academia.edu/12342015/Modeling_the_Intonation_of_Lebanese_Arabic_Using_the_Autosegmental_Metrical_Framework_A_Comparison_with_English_2001_PhD_Dissertation_University_of_Melbourne (accessed on 9 June 2025).
- Cooper, N., Cutler, A., & Wales, R. (2002). Constraints of lexical stress on lexical access in English: Evidence from native and non-native listeners. Language and Speech, 45, 207–228. [Google Scholar] [CrossRef]
- Council of Europe. (2024). Common European Framework of Reference for Languages: Level descriptions. Available online: https://www.coe.int/en/web/common-european-framework-reference-languages/level-descriptions (accessed on 9 June 2025).
- Dahmen, S., Grice, M., & Roessig, S. (2023). Prosodic and segmental aspects of pronunciation training and their effects on L2. Languages, 8, 74. [Google Scholar] [CrossRef]
- del Mar Vanrell, M., Feldhausen, I., & Astruc, L. (2018). The discourse completion task in romance prosody research: Status quo and outlook. Methods in Prosody: A Romance, 6, 191. [Google Scholar] [CrossRef]
- Destruel, E. (2016). Focus marking asymmetries in colloquial and standard French: A stochastic optimality-theoretic account. Journal of French Language Studies, 26(3), 299–326. [Google Scholar] [CrossRef]
- Destruel, E., Lalande, L., & Chen, A. (2024). The development of prosodic focus marking in French. Frontiers in Psychology, 15, 1360308. [Google Scholar] [CrossRef]
- Ding, C., & Yan, J. (2023). The study of pauses in oral production from the perspective of language proficiency. International Journal of Language, Literature, and Culture, 3, 7–15. [Google Scholar] [CrossRef]
- El Zarka, D. (2011). Prosodic encoding of the thetic/categorical distinction in Egyptian Arabic: A preliminary investigation. Available online: https://www.semanticscholar.org/paper/Prosodic-encoding-of-the-thetic-categorical-in-%3A-a-Zarka/da2be8ef51c03e41af551321c8d001996f1aaed2 (accessed on 9 June 2025).
- El Zarka, D. (2013a). On the interaction of information structure and prosody: The case of Egyptian Arabic [Habilitation Thesis, University of Graz]. Available online: http://unipub.uni-graz.at/obvugroa/2243867 (accessed on 9 June 2025).
- El Zarka, D. (2013b). Pragmatic functions and the biological codes: Evidence from the prosody of sentence topic and focus in Egyptian Arabic declaratives. In S. Hancil, & D. Hirst (Eds.), Iconicity in language and literature (Volume 13, pp. 109–126). John Benjamins Publishing Company. [Google Scholar] [CrossRef]
- El Zarka, D. (2017). Arabic intonation. Oxford Handbooks Online. [Google Scholar] [CrossRef]
- El Zarka, D., & Hödl, P. (2021). A study on the perception of prosodic cues to focus by Egyptian listeners: Some make use of them, but most of them don’t. Speech Communication, 132, 55–69. [Google Scholar] [CrossRef]
- Feldhausen, I., Trouvain, J., & Zahner-Ritter, K. (2025). Prosody for teaching French as a foreign language: First steps in identifying needs among teachers. Pedagogical Linguistics. [Google Scholar] [CrossRef]
- Féry, C. (1993). German intonational patterns. De Gruyter. [Google Scholar] [CrossRef]
- Finger, H., Goeke, C., Diekamp, D., Standvoß, K., & König, P. (2017, July 10–13). LabVanced: A unified JavaScript framework for online studies. International Conference on Computational Social Science IC2S2, Cologne, Germany. Available online: https://www.labvanced.com/static/2017_IC2S2_LabVanced.pdf (accessed on 9 June 2025).
- Flege, J. E. (1995). Second language speech learning theory, findings, and problems. In W. Strange (Ed.), Speech perception and linguistic experience: Issues in cross-language research (pp. 233–277). Workshop on Cross-Language Speech Perception, Baltimore. York Press. [Google Scholar]
- Flege, J. E., & Bohn, O.-S. (2021). The revised speech learning model (SLM-r). In R. Wayland (Ed.), Second language speech learning. theoretical and empirical progress. Cambridge University Press. [Google Scholar]
- Graham, C., & Post, B. (2018). Second language acquisition of intonation: Peak alignment in American English. Journal of Phonetics, 66, 1–14. [Google Scholar] [CrossRef]
- Grice, M., & Baumann, S. (2002). Deutsche intonation und GToBI. Linguistische Berichte, 191, 267–298. [Google Scholar]
- Grice, M., Baumann, S., & Benzmüller, R. (2005). German intonation in autosegmental-metrical phonology. In S.-A. Jun (Ed.), Prosodic typology. The phonology of intonation and phrasing (pp. 55–83). Oxford University Press. [Google Scholar]
- Grice, M., Ritter, S., Niemann, H., & Roettger, T. B. (2017). Integrating the discreteness and continuity of intonational categories. Journal of Phonetics, 64, 90–107. [Google Scholar] [CrossRef]
- Gussenhoven, C. (2018). The phonology of tone and intonation. Cambridge University Press. [Google Scholar]
- Gut, U. (2009). Non-native speech. A corpus-based analysis of phonological and phonetic properties of L2 English and German. Peter Lang. [Google Scholar] [CrossRef]
- Gut, U., & Pillai, S. (2014). Prosodic marking of information structure by Malaysian speakers of English. Studies in Second Language Acquisition, 36(2), 283–302. [Google Scholar] [CrossRef]
- Hellmuth, S. (2014). Investigating variation in Arabic intonation: The case for a multi-level corpus approach. In Perspectives on Arabic linguistics XXIV–XXV (pp. 63–90). John Benjamins Publishing Company. [Google Scholar] [CrossRef]
- Jongman, A., & Tremblay, A. (2020). Word prosody in second language acquisition. In C. Gussenhoven, & A. Chen (Eds.), The Oxford handbook of language prosody (pp. 593–604). Oxford University Press. [Google Scholar] [CrossRef]
- Jun, S.-A., & Fougeron, C. (2000). A phonological model of French intonation. In A. Botinis (Ed.), Intonation: Analysis, modelling and technology (pp. 209–242). Springer Netherlands. [Google Scholar] [CrossRef]
- Krifka, M. (2008). Basic notions of information structure. Acta Linguistica Hungarica, 55(3–4), 243–276. [Google Scholar] [CrossRef]
- Kügler, F. (2008, May 6–9). The role of duration as a phonetic correlate of focus. Speech Prosody 2008 (pp. 591–594), Campinas, Brazil. [Google Scholar]
- Ladd, D. R. (1980). The structure of intonational meaning: Evidence from English. Indiana University Press. [Google Scholar]
- Ladd, D. R. (2008). Intonational phonology (2nd ed.). Cambridge University Press. [Google Scholar]
- Landis, J. R., & Koch, G. G. (1977). The measurement of observer agreement for categorical data. Biometrics, 33(1), 159–174. [Google Scholar] [CrossRef] [PubMed]
- Lintfert, B. (2010). Phonetic and phonological development of stress in German [Ph.D. dissertation, University of Stuttgart]. Available online: http://elib.uni-stuttgart.de/handle/11682/2688 (accessed on 9 June 2025).
- Manzoni-Luxenburger, J., Andreeva, B., & Zahner-Ritter, K. (2024, July 2–5). Intonational patterns under time pressure: Phonetic strategies in Bulgarian learners of German and English. Speech Prosody 2024 (pp. 369–373), Leiden, The Netherlands. [Google Scholar] [CrossRef]
- Mennen, I. (2004). Bi-directional Interference in the intonation of dutch speakers of greek. Journal of Phonetics, 32, 543–563. [Google Scholar] [CrossRef]
- Mennen, I. (2014). Beyond segments: Towards a L2 intonation learning theory. In E. Delais-Roussarie, M. Avanzi, & S. Herment (Eds.), Prosody and language in contact (pp. 171–188). Springer International Publishing. [Google Scholar] [CrossRef]
- Mücke, D., & Grice, M. (2014). The effect of focus marking on supralaryngeal articulation—Is it mediated by accentuation? Journal of Phonetics, 44, 47–61. [Google Scholar] [CrossRef]
- Nassar, M., Shatnawi, M., & Bawareed, A. (2024). Cleft constructions in Arabic and English: A contrastive study. Middle East Research Journal of Linguistics and Literature, 4(02), 20–30. [Google Scholar] [CrossRef]
- Nelder, J. A., & Mead, R. (1965). A simplex method for function minimization. The Computer Journal, 7(4), 308–313. [Google Scholar] [CrossRef]
- O’Brien, M., & Gut, U. (2010). Phonological and phonetic realisation of different types of focus in L2 speech. Achievements and Perspectives in SLA of Speech: New Sounds, 1, 331–336. [Google Scholar]
- Ouhalla, J. (1999). Focus and arabic clefts. In G. Rebuschi, & L. Tuller (Eds.), Linguistik aktuell/linguistics today, 24 (pp. 335–360). John Benjamins Publishing Company. [Google Scholar] [CrossRef]
- Ramírez Verdugo, M. D. (2002). Non-native interlanguage intonation systems: A study based on a computerized corpus of Spanish learners of English. ICAME Journal, 26, 115–132. [Google Scholar]
- Rasier, L., & Hiligsmann, P. (2007). Prosodic transfer from L1 to L2. Theoretical and methodological issues. Nouveaux Cahiers de Linguistique Française, 28, 41–66. [Google Scholar]
- Reed, M., & Michaud, C. (2015). Intonation in research and practice: The importance of metacognition. In M. Reed, & J. M. Levis (Eds.), The handbook of English pronunciation (pp. 454–470). Wiley. [Google Scholar] [CrossRef]
- Reinisch, E., Jesse, A., & McQueen, J. M. (2010). Early use of phonetic information in spoken word recognition: Lexical stress drives eye movements immediately. Quarterly Journal of Experimental Psychology, 63(4), 772–783. [Google Scholar] [CrossRef]
- Roessig, S. (2024). The inverse relation of pre-nuclear and nuclear prominences in German. Laboratory Phonology, 15(1), 1–43. [Google Scholar] [CrossRef]
- Roessig, S., Winter, B., & Mücke, D. (2022). Tracing the phonetic space of prosodic focus marking. Frontiers in Artificial Intelligence, 5, 842546. [Google Scholar] [CrossRef] [PubMed]
- Sbranna, S., Albert, A., & Grice, M. (2025). Investigating interlanguages beyond categorical analyses: Prosodic marking of information status in Italian learners of German. Journal of Phonetics, 108, 101377. [Google Scholar] [CrossRef]
- Schauffler, N. (2023). Alternation preferences affect focus marking in German and English differently. Frontiers in Psychology, 14, 1192004. [Google Scholar] [CrossRef] [PubMed]
- Swerts, M., & Zerbian, S. (2010). Intonational differences between L1 and L2 English in South Africa. Phonetica, 67(3), 127–146. [Google Scholar] [CrossRef] [PubMed]
- Trouvain, J., & Braun, B. (2021). Sentence prosody in a second language. In C. Gussenhoven, & A. Chen (Eds.), The Oxford handbook of language prosody (pp. 604–618). Oxford University Press. [Google Scholar] [CrossRef]
- Truckenbrodt, H., Gussenhoven, C., & Riad, T. (2007). Upstep on edge tones and on nuclear accents. Tones and Tune, 2, 349–386. [Google Scholar] [CrossRef]
- Turk, A., Nakai, S., & Sugahara, M. (2006). Acoustic Segment Durations in Prosodic Research: A Practical Guide. In S. Sudhoff, D. Lenertova, R. Meyer, S. Pappert, P. Augurzky, I. Mleinek, N. Richter, & J. Schließer (Eds.), Methods in Empirical Prosody Research (pp. 1–28). De Gruyter. [Google Scholar] [CrossRef]
- van Donselaar, W., Koster, M., & Cutler, A. (2005). Exploring the role of lexical stress in lexical recognition. The Quarterly Journal of Experimental Psychology Section A, 58(2), 251–273. [Google Scholar] [CrossRef]
- van Maastricht, L. (2018). Second language prosody: Intonation and rhythm in production and perception [Ph.D. dissertation, Tilburg University]. [Google Scholar]
- van Maastricht, L., Krahmer, E., & Swerts, M. (2016). Prominence patterns in a second language: Intonational transfer from Dutch to Spanish and vice versa: Transfer in L2 prominence patterns. Language Learning, 66(1), 124–158. [Google Scholar] [CrossRef]
- White, L., & Mattys, S. L. (2007). Rhythmic typology and variation in first and second languages. In P. Prieto, J. Mascaró, & M.-J. Solé (Eds.), Current issues in linguistic theory (vol. 282, pp. 237–257). John Benjamins Publishing Company. [Google Scholar] [CrossRef]
- Xu, Y., & Xu, C. X. (2005). Phonetic realization of focus in English declarative intonation. Journal of Phonetics, 33(2), 159–197. [Google Scholar] [CrossRef]
- Zahner-Ritter, K., Elsässer, N., Feldhausen, I., & Trouvain, J. (2024, July 2–5). Prosodic marking of contrastive focus in French learners of German. Speech Prosody 2024 (pp. 240–244), Leiden, The Netherlands. [Google Scholar] [CrossRef]
- Zahner-Ritter, K., Zhao, T., Einfeldt, M., & Braun, B. (2022). How experience with tone in the native language affects the L2 acquisition of pitch accents. Frontiers in Psychology, 13, 903879. [Google Scholar] [CrossRef]
- Zhang, S., & Thompson, N. (2004). DIALANG: A diagnostic language assessment system (review). The Canadian Modern Language Review/La Revue Canadienne Des Langues Vivantes, 61(2), 290–293. [Google Scholar] [CrossRef]
Disclaimer/Publisher’s Note: The statements, opinions and data contained in all publications are solely those of the individual author(s) and contributor(s) and not of MDPI and/or the editor(s). MDPI and/or the editor(s) disclaim responsibility for any injury to people or property resulting from any ideas, methods, instructions or products referred to in the content. |
© 2025 by the authors. Licensee MDPI, Basel, Switzerland. This article is an open access article distributed under the terms and conditions of the Creative Commons Attribution (CC BY) license (https://creativecommons.org/licenses/by/4.0/).