Aerodynamic Response of a Serpentine Inlet to Horizontal Periodic Gusts
Abstract
1. Introduction
2. Theory and Methodology
2.1. Model Description
2.2. Performance Parameter Definition
2.3. Governing Equations
2.4. Solution Algorithm
2.5. Mesh and Boundary Condition
3. Results and Discussions
3.1. Mesh Independence Examination
3.2. Unsteady Aerodynamic Solver Validation
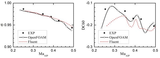
3.3. Inlet Low-Speed Performance without Gusts
3.4. Gust Model Validation
3.5. Gust Discretization Examination
3.6. Gust-Inlet Coupled Flow Field Characteristics
3.7. Inlet Aerodynamic Performance Responses to Gusts
4. Conclusions and Outlook
Author Contributions
Funding
Data Availability Statement
Conflicts of Interest
Nomenclature
| c | airfoil chord length |
| CL | lift coefficient |
| dS | surface element |
| D | exit diameter of the diffuser, 65 mm |
| DC60 | circumferential total pressure distortion index |
| vector of convective fluxes | |
| vector of viscous fluxes | |
| f | gust frequency |
| turbulent kinetic energy | |
| L | length of the serpentine inlet, mm |
| M | Mach number |
| N | number of gust discretization intervals |
| p | static pressure, Pa |
| p0 | ambient pressure |
| pe | inlet exit pressure |
| Q | Q-criterion based vorticity |
| source term | |
| t | time |
| T | gust period |
| T | temperature |
| T0 | ambient temperature |
| Te | inlet exit temperature |
| gust amplitude | |
| u | velocity component along the x-coordinate direction |
| v | velocity component along the y-coordinate direction |
| w | velocity component along the z-coordinate direction |
| velocity vector | |
| W | width of the serpentine inlet, mm |
| σ | mass flow averaged total pressure recovery coefficient |
| Ω | control volume |
| specific dissipation rate | |
| ρ0 | Ambient air density |
| μ0 | Ambient air dynamic viscosity |
| Superscripts * | total state |
| Subscripts | |
| AIP | aerodynamic interface plane |
| 0 | freestream condition |
| g | gust condition |
| τ | grid time metrics |
| avg | average value |
| min | minimum value |
| max | maximum value |
References
- Proctor, F.H.; Hamilton, D.W.; Rutishauser, D.K.; Switzer, G.F. Meteorology and Wake Vortex Influence on American Airlines FL-587 Accident; NASA/TM-2004-213018; NASA: Washington, DC, USA, 2004. [Google Scholar]
- David, R.H. 15 November 1993. Available online: https://www.ntsb.gov/safety/safety-recs/RecLetters/A93_136_141.pdf (accessed on 17 October 2022).
- Richards, M. 8 July 2015. Available online: https://data.ntsb.gov/Docket/?NTSBNumber=GAA15CA172 (accessed on 17 October 2022).
- Wu, Z.; Cao, Y.; Ismail, M. Gust loads on aircraft. Aeronaut. J. 2019, 123, 1216–1274. [Google Scholar] [CrossRef]
- Bertolin, R.; Chaves Barbosa, G.; Cunis, T.; Kolmanovsky, I.V.; Cesnik, C.E. Gust Rejection of a Supersonic Aircraft during Final Approach. In Proceedings of the AIAA Scitech 2022 Forum, San Diego, CA, USA, 3–7 January 2022; p. 2174. [Google Scholar]
- Halwas, H.K. Side Gust Effects on the Performance of Supersonic Inlet with and without Bleed System Using RANS and URANS. Ph.D. Thesis, University of Illinois, Chicago, IL, USA, 2022. [Google Scholar]
- Ullah, A.H.; Rostad, B.L.; Estevadeordal, J. Three-cylinder rotating system flows and their effects on a downstream dimpled airfoil. Exp. Therm. Fluid Sci. 2021, 124, 110343. [Google Scholar] [CrossRef]
- Engin, K.; Aydin, E.; Zaloglu, B.; Fenercioglu, I.; Cetiner, O. Large Scale Spanwise Periodic Vortex Gusts or Single Spanwise Vortex Impinging on a Rectangular Wing. In Proceedings of the 2018 Fluid Dynamics Conference, Atlanta, GA, USA, 25–29 June 2018; p. 3086. [Google Scholar]
- Wei, N.J.; Kissing, J.; Westner, T.T.; Wegt, S.; Schiffmann, K.; Jakirlic, S.; Hölling, M.; Peinke, J.; Tropea, C. Insights into the periodic gust response of airfoils. J. Fluid Mech. 2019, 876, 237–263. [Google Scholar] [CrossRef]
- Cordes, U.; Kampers, G.; Meißner, T.; Tropea, C.; Peinke, J.; Hölling, M. Note on the limitations of the Theodorsen and Sears functions. J. Fluid Mech. 2017, 811. [Google Scholar] [CrossRef]
- Boulbrachene, K.; De Nayer, G.; Breuer, M. Assessment of two wind gust injection methods: Field velocity vs. split velocity method. J. Wind. Eng. Ind. Aerodyn. 2021, 218, 104790. [Google Scholar] [CrossRef]
- Li, Y.; Qin, N. Gust load alleviation by normal microjet. Aerosp. Sci. Technol. 2021, 117, 106919. [Google Scholar] [CrossRef]
- Wales, C.; Jones, D.; Gaitonde, A. Prescribed Velocity Method for Simulation of Aerofoil Gust Responses. J. Aircr. 2015, 52, 64–76. [Google Scholar] [CrossRef]
- Badrya, C.; Jones, A.R.; Baeder, J.D. Unsteady aerodynamic response of a flat plate encountering large-amplitude sharp-edged gust. AIAA J. 2022, 60, 1549–1564. [Google Scholar] [CrossRef]
- Badrya, C.; Baeder, J.D.; Jones, A.R. Application of prescribed velocity methods to a large-amplitude flat-plate gust encounter. AIAA J. 2019, 57, 3261–3273. [Google Scholar] [CrossRef]
- Badrya, C.; Biler, H.; Jones, A.R.; Baeder, J.D. Effect of gust width on flat-plate response in large transverse gust. AIAA J. 2021, 59, 49–64. [Google Scholar] [CrossRef]
- Heinrich, R.; Reimer, L. Comparison of Different Approaches for Gust Modeling in the CFD Code TAU. In Proceedings of the International Forum on Aeroelasticity & Structural Dynamics, Bristol, UK, 24–27 July 2013. [Google Scholar]
- Reimer, L.; Ritter, M.; Heinrich, R.; Krüger, W. CFD-Based Gust Load Analysis for a Free-Flying Flexible Passenger Aircraft in Comparison to a DLM-Based Approach. In Proceedings of the AIAA Computational Fluid Dynamics Conference, Dallas, TX, USA, 22–26 June 2015. [Google Scholar]
- Robert, B. Developing an Accurate CFD Based Gust Model for the Truss Braced Wing Aircraft. In Proceedings of the 31st AIAA Applied Aerodynamics Conference, San Diego, CA, USA, 24–27 June 2013; p. 3044. [Google Scholar]
- Bekemeyer, P.; Thormann, R.; Rimme, S. Rapid gust response simulation of large civil aircraft using computational fluid dynamics. Aeronaut. J. 2017, 121, 1–13. [Google Scholar] [CrossRef]
- Bekemeyer, P.; Timme, S. Flexible aircraft gust encounter simulation using subspace projection model reduction. Aerosp. Sci. Technol. 2019, 86, 805–817. [Google Scholar] [CrossRef]
- Liu, H.; Huang, R.; Zhao, Y.; Hu, H. Reduced-order modeling of unsteady aerodynamics for an elastic wing with control surfaces. J. Aerosp. Eng. 2017, 30, 04016083. [Google Scholar] [CrossRef]
- Halder, R.; Damodaran, M.; Khoo, B. Deep learning based reduced order model for airfoil-gust and aeroelastic interaction. AIAA J. 2020, 58, 4304–4321. [Google Scholar] [CrossRef]
- Bekemeyer, P.; Ripepi, M.; Heinrich, R.; Görtz, S. Nonlinear unsteady reduced-order modeling for gust-load predictions. AIAA J. 2019, 57, 1839–1850. [Google Scholar] [CrossRef]
- Wu, Z.; Wang, Q.; Huang, H. A methodological exploration for efficient prediction of airfoil response to gusts in wind engineering. Proc. Inst. Mech. Eng. Part A J. Power Energy 2019, 233, 738–750. [Google Scholar] [CrossRef]
- Wasserbauer, J.F. Dynamic Response of a Mach 2.5 Axisymmetric Inlet with Engine or Cold Pipe and Utilizing 60 Percent Supersonic Internal Area Contractio; NACA TN D-5338; NASA: Washington, DC, USA, 1969. [Google Scholar]
- Grenson, P.; Beneddine, S. Analysis of shock oscillations of an external compression supersonic inlet through unsteady numerical simulations. In Proceedings of the 2018 Applied Aerodynamics Conference, Atlanta, GA, USA, 25–29 June 2018; p. 3011. [Google Scholar]
- Halwas, H.K.; Aggarwal, S. Effect of Side Gust on Performance of External Compression Supersonic Inlet. J. Aircr. 2019, 56, 569–582. [Google Scholar] [CrossRef]
- Halwas, H.K.; Aggarwal, S. Side Gust Effects on the Performance of a Supersonic Inlet with Bleed. J. Aircr. 2019, 56, 2357–2370. [Google Scholar] [CrossRef]
- Kozakiewicz, A.; Frant, M. Analysis of the gust impact on inlet vortex formation of the fuselage-shielded inlet of an jet engine powered aircraft. J. Theor. Appl. Mech. 2013, 51, 993–1002. [Google Scholar]
- Kozakiewicz, A.; Frant, M. Numerical Analysis of the Intake Vortex Formation in the Case of a Double Fuselage Shielded Inlet. J. Theor. Appl. Mech. 2014, 52, 757–766. [Google Scholar]
- Übelacker, S.; Hain, R.; Kähler, C. Experimental Investigation of the Flow in a Stalling Engine Inlet. In Proceedings of the AIAA Applied Aerodynamics Conference, Atlanta, GA, USA, 16–20 June 2014. [Google Scholar]
- Sun, S.; Tan, H. Flow Characteristics of an Ultracompact Serpentine Inlet with an Internal Bump. J. Aerosp. Eng. 2018, 31, 04017089. [Google Scholar] [CrossRef]
- Sun, S.; Guo, R.W. Serpentine Inlet Performance Enhancement Using Vortex Generator Based Flow Control. Chin. J. Aeronaut. 2006, 19, 10–17. [Google Scholar] [CrossRef][Green Version]
- Menter, F.R. Two-equation eddy-viscosity turbulence models for engineering applications. AIAA J. 1994, 32, 1598–1605. [Google Scholar] [CrossRef]
- Blazek, J. Computational Fluid Dynamics: Principles and Applications; Butterworth-Heinemann: Oxford, UK, 2015. [Google Scholar]
- Wu, Z.; Bangga, G.; Cao, Y. Effects of lateral wind gusts on vertical axis wind turbines. Energy 2019, 167, 1212–1223. [Google Scholar] [CrossRef]
- Wu, Z. Rotor power performance and flow physics in lateral sinusoidal gusts. Energy 2019, 176, 917–928. [Google Scholar] [CrossRef]
- Greenshields, C. OpenFOAM User Guide Version 4.0; OpenFOAM Foundation Ltd.: London, UK, 2016. [Google Scholar]
- Kraposhin, M.V.; Ryazanov, D.A.; Elizarova, T.G. Numerical algorithm based on regularized equations for incompressible flow modeling and its implementation in OpenFOAM. Comput. Phys. Commun. 2022, 271, 108216. [Google Scholar] [CrossRef]
- Ansys ICEM CFD Tutorial Manual; Release 2022 R1; ANSYS, Inc.: Canonsburg, PA, USA, 2022.
- Tajnesaie, M.; Jafari Nodoushan, E.; Barati, R.; Azhdary Moghadam, M. Performance comparison of four turbulence models for modeling of secondary flow cells in simple trapezoidal channels. ISH J. Hydraul. Eng. 2020, 26, 187–197. [Google Scholar] [CrossRef]
- Ye, C.; Wang, F.; Wang, C.; van Esch, B.P. Assessment of turbulence models for the boundary layer transition flow simulation around a hydrofoil. Ocean. Eng. 2020, 217, 108124. [Google Scholar] [CrossRef]
- Wu, Z.; Bangga, G.; Lutz, T.; Kampers, G.; Hölling, M. Insights into airfoil response to sinusoidal gusty inflow by oscillating vanes. Phys. Fluids 2020, 32, 125107. [Google Scholar] [CrossRef]




























| Parameter | Value |
|---|---|
| Diameter of the AIP | D (65 mm) |
| Distance between the forebody tip and the inlet | 2.0 D |
| Total length of the inlet | 2.5 D |
| Length of the diffuser | 2.3 D |
| Vertical offset of the diffuser | 0.66 D |
| Boundary | p | T | |||
|---|---|---|---|---|---|
| Farfield | inletOutlet | inletOutlet | freestreamPressure | inletOutlet | freestreamVelocity |
| Outlet | inletOutlet | inletOutlet | fixedValue | inletOutlet | zeroGradient |
| Symmetry plane | symmetry | symmetry | symmetry | symmetry | symmetry |
| Forebody_inlet | kqRWallFunction | omegaWallFunction | zeroGradient | zeroGradient | noSlip |
| Diffuser_outlet | inletOutlet | inletOutlet | fixedValue | inletOutlet | zeroGradient |
| Data Source | Number of Grid Cells | σAIP | Error of σAIP |
|---|---|---|---|
| EXP. [33] | — | 0.961 | — |
| Coarse mesh | 2.48 million | 0.968566 | 1.039 × 10−3 |
| Fine mesh | 4.20 million | 0.967687 | 1.597 × 10−4 |
| Dense mesh | 5.95 million | 0.967527 | — |
| Variable | Value |
|---|---|
| Ambient pressure, p0, Pa | 101,325 |
| Inlet exit pressure, pe, Pa | 86,126.25 |
| Air density, ρ0, kg/m3 | 1.17 |
| Air dynamic viscosity, μ0, Pa·s | 1.82 × 10−5 |
| Ambient temperature, T0, K | 300 |
| Inlet exit temperature, Te, K | 300 |
| Freestream Mach number, M | 0.235 |
| Freestream velocity, u0, m/s | 80 |
| Gust frequency, f, Hz | 25, 50, 75, 100, 125, 150, 175, 200, 225, 250, 275, 300 |
| Gust amplitude, , m/s | 4, 8, 12, 16, 20 |
| Variable | Without Gust | With Gust |
|---|---|---|
| σm/σ0 | 0.48% | 3.83% |
| DC60m/DC600 | 16.00% | 56.39% |
Publisher’s Note: MDPI stays neutral with regard to jurisdictional claims in published maps and institutional affiliations. |
© 2022 by the authors. Licensee MDPI, Basel, Switzerland. This article is an open access article distributed under the terms and conditions of the Creative Commons Attribution (CC BY) license (https://creativecommons.org/licenses/by/4.0/).
Share and Cite
Sun, S.; Wu, Z.; Huang, H.; Bangga, G.; Tan, H. Aerodynamic Response of a Serpentine Inlet to Horizontal Periodic Gusts. Aerospace 2022, 9, 824. https://doi.org/10.3390/aerospace9120824
Sun S, Wu Z, Huang H, Bangga G, Tan H. Aerodynamic Response of a Serpentine Inlet to Horizontal Periodic Gusts. Aerospace. 2022; 9(12):824. https://doi.org/10.3390/aerospace9120824
Chicago/Turabian StyleSun, Shu, Zhenlong Wu, Hexia Huang, Galih Bangga, and Huijun Tan. 2022. "Aerodynamic Response of a Serpentine Inlet to Horizontal Periodic Gusts" Aerospace 9, no. 12: 824. https://doi.org/10.3390/aerospace9120824
APA StyleSun, S., Wu, Z., Huang, H., Bangga, G., & Tan, H. (2022). Aerodynamic Response of a Serpentine Inlet to Horizontal Periodic Gusts. Aerospace, 9(12), 824. https://doi.org/10.3390/aerospace9120824

