Large Eddy Simulation of Combustion for High-Speed Airbreathing Engines
Abstract
1. Introduction
2. Large Eddy Simulation of High-Speed Airbreathing Propulsion
3. Large Eddy Simulation Modeling
3.1. LES Subgrid Flow Modeling
3.2. LES Combustion Modeling
4. Numerical Methods for High-Speed Flows
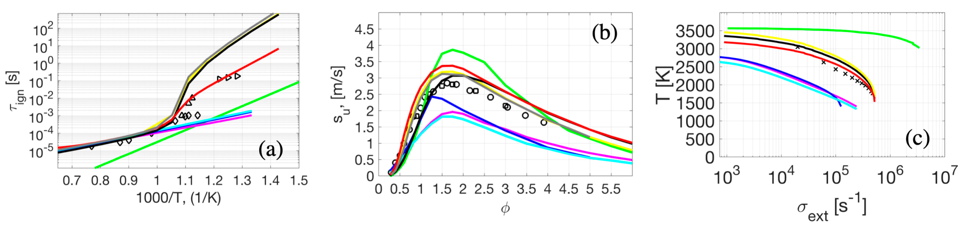
5. Combustion Chemistry
6. Examples of Supersonic Combustion LES
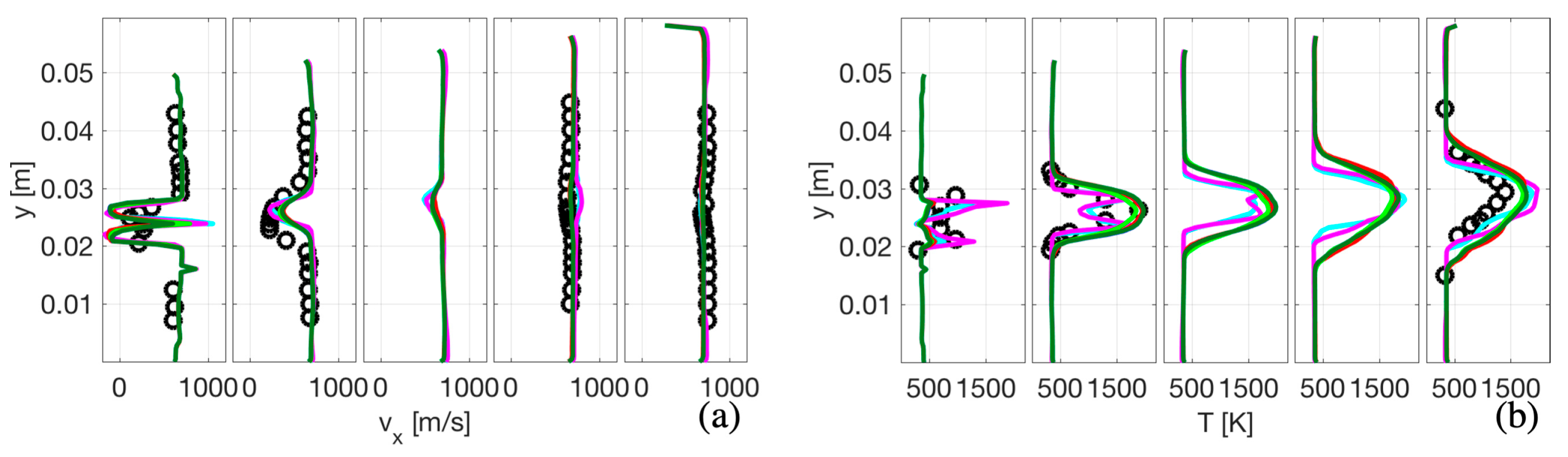
6.1. The Waidmann Supersonic Combustion Experiments
6.2. The Fotia and Driscoll Direct Connect Facility Experiments
6.3. The Small-Scale Flight Experiment (SSFE)
7. Conclusions
Author Contributions
Funding
Institutional Review Board Statement
Informed Consent Statement
Data Availability Statement
Acknowledgments
Conflicts of Interest
References
- Sagaut, P. Large Eddy Simulation for Incompressible Flows; Springer: Berlin/Heidelberg, Germany, 2001. [Google Scholar]
- Menon, S.; Fureby, C. Computational Combustion. In Encyclopedia of Aerospace Engineering; Blockley, R., Shyy, W., Eds.; John Wiley & Sons: Hoboken, NJ, USA, 2010. [Google Scholar]
- Echekki, T.; Mastorakos, E. (Eds.) Turbulent Combustion Modeling, Fluid Mechanics and Its Applications; Springer Science & Business Media: Berlin/Heidelberg, Germany, 2011. [Google Scholar]
- Hawkes, E.R.; Sankaran, R.; Sutherland, J.C.; Chen, J.H. Direct Numerical Simulation of Turbulent Combustion: Fundamental Insights Towards Predictive Models. J. Phys. Conf. Ser. 2005, 165, 65. [Google Scholar] [CrossRef]
- Guiterrez, L.F.; Tamagno, J.P.; Elaskar, S.A. RANS Simulation of Turbulent Diffusive Combustion using OpenFoam. J. Appl. Fluid Mech. 2016, 9, 669. [Google Scholar]
- Ingenito, A.; Bruno, C. Physics and Regimes of Supersonic Combustion. AIAA J. 2010, 48, 515. [Google Scholar] [CrossRef]
- Genin, F.; Menon, S. Simulation of Turbulent Mixing Behind a Strut Injector in Supersonic Flow. AIAA J. 2009, 48, 526–539. [Google Scholar] [CrossRef]
- Koo, H.; Donde, P.; Raman, V. LES-based Eulerian PDF Approach for the Simulation of Scramjet Combustors. Proc. Comb. Inst. 2013, 34, 2093. [Google Scholar] [CrossRef]
- Fureby, C.; Nordin-Bates, K.; Petterson, K.; Bresson, A.; Sabelnikov, V. A Computational Study of Supersonic Combustion in Strut Injector and Hypermixer Flow Fields. Proc. Comb. Inst. 2014, 35, 2127. [Google Scholar] [CrossRef]
- Moule, Y.; Sabelnikov, V.; Mura, A.; Smart, M. Computational Fluid Dynamics Investigation of a Mach 12 Scramjet Engine. J. Prop. Power 2014, 30, 461. [Google Scholar] [CrossRef]
- Saghafian, A.; Terrapon, V.E.; Pitsch, H. An Efficient Flamelet-Based Combustion Model for Compressible Flows. Comb. Flame 2015, 162, 652. [Google Scholar] [CrossRef]
- Larsson, J.; Laurence, S.; Bermejo-Moreno, I.; Bodart, J.; Karl, S.; Vicquelin, R. Incipient Thermal Choking and Stable Shock-train Formation in the Heat-release Region of a Scramjet Combustor. Part II: Large Eddy Simulations. Comb. Flame 2015, 167, 907. [Google Scholar] [CrossRef]
- Fulton, J.A.; Edwards, J.R.; Cutler, A.; McDaniel, J.; Goyne, C. Turbulence/Chemistry Interactions in a Ramp-Stabilized Supersonic Hydrogen-Air Diffusion Flame. Comb. Flame 2016, 174, 152. [Google Scholar] [CrossRef]
- Nordin-Bates, K.; Fureby, C.; Karl, S.; Hannemann, K. Understanding Scramjet Combustion using LES of the HyShot II Combustor. Proc. Comb. Inst. 2017, 36, 2893. [Google Scholar] [CrossRef]
- Lacaze, G.; Vane, Z.; Oefelein, J.C. Large Eddy Simulation of the HIFiRE Direct Connect Rig Scramjet Combustor. AIAA J. 2017. [Google Scholar] [CrossRef]
- Hassan, E.; Peterson, D.M.; Walters, K.; Luke, E.A. Reacting Dynamic Hybrid Reynolds-Averaged Navier—Stokes/Large-Eddy Simulation of a Supersonic Cavity. In Proceedings of the 2018 Aerospace Sciences Meeting, Kissimmee, FL, USA, 8–12 January 2018. [Google Scholar]
- Ruan, J.L.; Ribert, G.; Domingo, P. Stabilisation and Extinction Mechanisms of Flames in Cavity Flameholder Scramjets. Comb. Theory Model. 2020, 25, 193. [Google Scholar] [CrossRef]
- Fureby, C. Supersonic Turbulent Combustion Physics—A Grand Challenge for Numerical Modeling. In Stratospheric Flying Opportunities for High-Speed Propulsion Concepts; von Karman Institute Lecture Series; The von Karman Institute: Sint-Genesius-Rode, Belgium, 2021. [Google Scholar]
- Ferri, A. Mixing-Controlled Supersonic Combustion. Annu. Rev. Fluid Mech. 1973, 5, 301. [Google Scholar] [CrossRef]
- Curran, E.T.; Heiser, W.H.; Pratt, D.T. Fluid Phenomena in Scramjet Combustion Systems. Annu. Rev. Fluid Mech. 1996, 28, 323. [Google Scholar] [CrossRef]
- Huang, S.; Chen, Q.; Cheng, Y.; Xian, J.; Tai, Z. Supersonic Combustion Modeling and Simulation on General Platforms. Aerospace 2022, 9, 366. [Google Scholar] [CrossRef]
- Saghafian, A.; Shunn, L.; Philips, D.A.; Ham, F. Large Eddy Simulations of the HIFiRE Scramjet using a Compressible Flamelet/Progress Variable Approach. Proc. Comb. Inst. 2015, 35, 2172. [Google Scholar] [CrossRef]
- Giacomazzi, E.; Picchia, F.R.; Arcidiacono, N. On the Distribution of Lewis and Schmidt Numbers in Turbulent Flames. In Proceedings of the 30th Event of the Italian Section of the Combustion Institute, Ischia, Italy, 20–23 June 2007. [Google Scholar]
- Erlebasher, G.; Hussaini, M.; Special, C.; Sang, T. Towards the Large Eddy Simulation of Compressible Turbulent Flows. J. Fluid Mech. 1992, 238, 155. [Google Scholar] [CrossRef]
- Kim, W.-W.; Menon, S. A New Dynamic One Equation Subgrid-scale Model for Large Eddy Simulations. In Proceedings of the 33rd Aerospace Sciences Meeting and Exhibit, Reno, NV, USA, 9–12 January 1995. [Google Scholar] [CrossRef]
- Cook, A.W.; Cabot, W.H. Hyperviscosity for Shock-Turbulence Interactions. J. Comp. Phys. 2005, 203, 379. [Google Scholar] [CrossRef]
- Pitsch, H. Large-Eddy Simulation of Turbulent Combustion. Annu. Rev. Fluid Mech. 2006, 38, 453. [Google Scholar] [CrossRef]
- Weller, H.G.; Tabor, G.; Gosman, A.D.; Fureby, C. Application of a Flame-Wrinkling LES Combustion Model to a Turbulent Shear Layer Formed at a Rearward Facing Step. Proc. Comb. Inst. 1998, 27, 899. [Google Scholar] [CrossRef]
- Zhang, H.; Chen, Y.; Lv, Y. Development and Validation of a Combustion Large Eddy Simulation Solver based on Fully Compressible Formulation and Tabulated Chemistry. Aerosp. Sci. Technol. 2021, 127, 107693. [Google Scholar] [CrossRef]
- Saghafian, A. High-Fidelity Simulations and Modeling of Compressible Reacting Flows. Ph.D. Thesis, Stanford University, Stanford, CA, USA, 2014. [Google Scholar]
- Colin, O.; Ducros, F.; Veynante, D.; Poinsot, T. A Thickened Flame Model for Large Eddy Simulation of Turbulent Premixed Combustion. Phys. Fluids 2000, 12, 1843. [Google Scholar] [CrossRef]
- Fureby, C. LES Modeling of Combustion for Propulsion Applications. Phil. Trans. R. Soc. A 2009, 367, 2957. [Google Scholar] [CrossRef] [PubMed]
- Giacomazzi, E.; Bruno, C.; Favini, B. Fractal Modeling of Turbulent Combustion. Comb. Theory Model. 2000, 4, 391. [Google Scholar] [CrossRef]
- Sabelnikov, V.; Fureby, C. LES Combustion Modeling for High Re Flames using a Multi-phase Analogy. Comb. Flame 2013, 160, 83. [Google Scholar] [CrossRef]
- Gao, F.; O’Brian, E. A Large Eddy Simulation Scheme for Turbulent Reacting Flows. Phys Fluids A 1993, 5, 1282. [Google Scholar] [CrossRef]
- Jones, W.P.; Marquis, A.J.; Wang, F. Large Eddy Simulation of a Premixed Propane Turbulent Bluff Body Flame using the Eulerian Stochastic Field Method. Fuel 2015, 140, 514. [Google Scholar] [CrossRef]
- Menon, S. Subgrid Combustion Modeling for Large Eddy Simulations. Int. J. Engine Res. 2000, 1, 209. [Google Scholar] [CrossRef]
- Nilsson, T.; Fureby, C. LES of H2-air Jet Combustion in High Enthalpy Supersonic Crossflow. Phys. Fluids 2021, 33, 035133. [Google Scholar] [CrossRef]
- Magnussen, B.F. On the Structure of Turbulence and Generalized Eddy Dissipation Concept for Chemical Reactions in Turbulent Flow. In Proceedings of the 19th Aerospace Sciences Meeting, St. Louis, MO, USA, 12–15 January 1981. [Google Scholar] [CrossRef]
- Chomiak, J. A Possible Propagation Mechanism of Turbulent Flames at High Reynolds Numbers. Comb. Flame 1970, 15, 319. [Google Scholar] [CrossRef]
- Batchelor, G.K.; Townsend, A.A. The Nature of Turbulent Motion at Large Wave-numbers. Proc. Roy. Soc. Lond. A 1949, 199, 238. [Google Scholar]
- Kawai, S.; Lele, S.K. Localized Artificial Diffusivity Scheme for Discontinuity Capturing on Curvilinear Meshes. J. Comp. Phys. 2008, 227, 9498. [Google Scholar] [CrossRef]
- Adams, N.A.; Shariff, K. A High-Resolution Hybrid Compact-ENO Scheme for Shock-Turbulence Interaction Problems. J. Comp. Phys. 1996, 127, 27. [Google Scholar] [CrossRef]
- Strang, G. On Construction and Comparison of Difference Schemes. SIAM J. Num. Anal. 1968, 5, 506. [Google Scholar] [CrossRef]
- Hairer, E.; Wanner, G. Solving Ordinary Differential Equations, II: Stiff and Differential-Algebraic Problems, 2nd ed.; Springer: Berlin/Heidelberg, Germany, 1991. [Google Scholar]
- Kurgaonov, A.; Tadmor, E. New High Resolution Central Schemes for Nonlinear Conservation Laws and Convection-Diffusion Equations. J. Comp. Phys. 2000, 160, 241. [Google Scholar] [CrossRef]
- Kurgaonov, A.; Noelle, S.; Petrova, G. Semidiscrete Central Upwind Schemes for Hyperbolic Conservation Laws and Hamilton Jacobi Equations. SIAM J. Sci. Comp. 2001, 23, 707. [Google Scholar] [CrossRef]
- Philips, G.M.; Taylor, P.J. Theory and Applications of Numerical Analysis; Academic Press: Cambridge, MA, USA, 1996. [Google Scholar]
- Fedina, E.; Fureby, C.; Bulat, G.; Maier, W. Assessment of Finite Rate Chemistry Large Eddy Simulation Combustion Models. Flow Turb. Comb. 2017, 99, 385. [Google Scholar] [CrossRef]
- Zettervall, N.; Fureby, C. A Computational Study of Ramjet, Scramjet and Dual-mode Ramjet Combustion in Combustor with a Cavity Flameholder. In Proceedings of the 2018 AIAA Aerospace Sciences Meeting, Kissimmee, FL, USA, 8–12 January 2018. [Google Scholar] [CrossRef]
- Marinov, N.M.; Westbrook, C.K.; Pitz, W.J. Detailed and Global Chemical Kinetics Model for Hydrogen. In Proceedings of the 8th International Symposium on Transport Properties, San Fransisco, CA, USA, 16–20 July 1995. [Google Scholar]
- Eklund, D.R.; Stouffer, S.D. A Numerical and Experimental Study of a Supersonic Combustor Employing Swept Ramp Fuel Injectors. In Proceedings of the 30th Joint Propulsion Conference and Exhibit, Indianapolis, IN, USA, 27–29 June 1994. [Google Scholar] [CrossRef]
- Baurle, R.A.; Girimaji, S.S. Assumed PDF Turbulence-Chemistry Closure with Temperature Composition Correlations. Comb. Flame 2003, 134, 131. [Google Scholar] [CrossRef]
- Davidenko, D.M.; Gökalp, I.; Dufour, E.; Magre, P. Numerical Simulation of Hydrogen Supersonic Combustion and Validation of Computational Approach. In Proceedings of the 12th AIAA International Space Planes and Hypersonic Systems and Technologies, Norfolk, VA, USA, 15–19 December 2003. [Google Scholar] [CrossRef]
- Jachimowski, C.J. An Analytical Study of the Hydrogen-Air Reaction Mechanism with Application to Scramjet Combustion; NASA Technical Paper 2791; NASA: Washington, DC, USA, 1988. [Google Scholar]
- Alekseev, V.A.; Christensen, M.; Konnov, A.A. The Effect of Temperature on the Adiabatic Burning Velocities of Diluted Hydrogen Flames: A Kinetic Study using an Updated Mechanism. Comb. Flame 2015, 162, 1884. [Google Scholar] [CrossRef]
- Wang, H.; You, X.; Joshi, A.V.; Davis, S.G.; Laskin, A.; Egolfopoulos, F.; Law, C.K. USC Mech. Version II. High-Temperature Combustion Reaction Model of H2/CO/C1-C4 Compounds. Available online: http://ignis.usc.edu/USC_Mech_II.htm (accessed on 6 April 2021).
- Slack, M.; Grillo, A. Investigation of Hydrogen-Air Ignition Sensitized by Nitric Oxide and by Nitrogen Oxide; NASA Report CR-2896; NASA: Washington, DC, USA, 1977. [Google Scholar]
- Samuelsen, S.; McDonell, V.; Greene, M.; Beerer, D. Correlation of Ignition Delay with Natural Gas and IGCC Type Fuels; Technical Report DOE Award Number: DE-FC26-02NT41431; University of California: Irvine, CA, USA, 2006. [Google Scholar]
- Snyder, A.D.; Robertson, J.; Zanders, D.L.; Skinner, G.B. Shock Tube Studies of Fuel-Air Ignition Characteristics; Technical Report AFAPL-TR-65-93-1965; Monsanto Research Corp.: Dayton, OH, USA, 1965. [Google Scholar]
- Kwon, O.C.; Faeth, G.M. Flame/Stretch Interactions of Premixed Hydrogen-Fueled Flames: Measurements and Predictions. Comb. Flame 2001, 124, 590. [Google Scholar] [CrossRef]
- Dowdy, D.R.; Smith, D.B.; Taylor, S.C.; Williams, A. The Use of Expanding Spherical Flames to Determine Burning Velocities and Stretch Effects in Hydrogen-Air Mixtures. Proc. Comb. Inst. 1990, 23, 325. [Google Scholar] [CrossRef]
- Juniper, M.; Darabiha, N.; Candel, S. The Extinction Limits of a Hydrogen Counterflow Diffusion Flame above Liquid Oxygen. Comb. Flame 2003, 135, 87. [Google Scholar] [CrossRef]
- Waidmann, W.; Alff, F.; Brummund, U.; Böhm, M.; Clauss, W.; Oschwald, M. Supersonic Combustion of Hydrogen/Air in a Scramjet Combustion Chamber. Space Tech. 1995, 15, 421. [Google Scholar] [CrossRef]
- Oschwald, M.; Guerra, R.; Waidmann, W. Investigation of the Flowfield of a Scramjet Combustor with Parallel H2-Injection through a Strut by Particle Image Displacement Velocimetry. In Proceedings of the International Symposium on Special topics in Chemical Propulsion, Schweveningen, NL, USA, 10–14 May 1993; p. 498. [Google Scholar]
- Waidmann, W.; Brummund, U.; Nuding, J. Experimental Investigation of Supersonic Ramjet Combustion (SCRAMJET). In Proceedings of the 8th International. Symposium on Transport Phenomena in Combustion, San Francisco, CA, USA, 16–20 July 1995; p. 1473. [Google Scholar]
- Oevermann, M. Numerical Investigation of Turbulent Hydrogen Combustion in a Scramjet using Flamelet Modeling. Aerosp. Sci. Tech. 2000, 4, 463. [Google Scholar] [CrossRef]
- Berglund, M.; Fureby, C. LES of Supersonic Combustion in a Scramjet Engine Model. Proc. Comb. Inst. 2006, 31, 2491. [Google Scholar] [CrossRef]
- Zhouqin, F.; Mingbo, S.; Weidong, L. Flamelet/Progress-Variable Model for Large Eddy Simulation of Supersonic Reacting Flow. In Proceedings of the 46th AIAA/ASME/SAE/ASEE Joint Propulsion Conference & Exhibit, Nashville, TN, USA, 25–28 July 2011. AIAA Paper 2010-6878. [Google Scholar]
- Potturi, A.S.; Edwards, J. LES/RANS Simulation of a Supersonic Combustion Experiment. In Proceedings of the 50th AIAA Aerospace Sciences Meeting including the New Horizons Forum and Aerospace Exposition, Nashville, TN, USA, 9–12 January 2012. [Google Scholar] [CrossRef]
- Potturi, A.S.; Edwards, J. Investigation of Subgrid Closure Models for Finite-Rate Scramjet Combustion. In Proceedings of the 43rd Fluid Dynamics Conference, San Diego, CA, USA, 24–27 June 2013. [Google Scholar] [CrossRef]
- Fureby, C.; Fedina, E.; Tegnér, J. A Computational Study of Supersonic Combustion behind a Wedge-shaped Flameholder. J. Shock Waves 2014, 24, 41. [Google Scholar] [CrossRef]
- Changmin, C.; Taohong, Y.; Majie, Z. Large Eddy Simulation of Hydrogen/air Scramjet Combustion using Tabulated Thermo-Chemistry Approach. Chin. J. Aeronaut. 2015, 28, 1316. [Google Scholar]
- Huang, Z.-W.; He, G.-Q.; Qin, F.; Wei, X.-G. Large Eddy Simulation of Flame Structure and Combustion Mode in a Hydrogen Fueled Supersonic Combustor. Int. J. Hydrog. Energy 2015, 40, 9815. [Google Scholar] [CrossRef]
- Fureby, C. A Comparative Study of Subgrid Models, Reaction Mechanisms and Combustion Models in LES of Supersonic Combustion. AIAA J. 2019, 59, 215. [Google Scholar] [CrossRef]
- Lock, A.J.; Briones, A.M.; Qin, X.; Aggarwal, S.K.; Puri, I.K.; Hegde, U. Liftoff Characteristics of Partially Premixed Flames in Normal and Microgravity. Comb. Flame 2005, 143, 159. [Google Scholar] [CrossRef]
- Lu, T.F.; Yoo, C.S.; Chen, J.H.; Law, C.K. Three-Dimensional Direct Numerical Simulation of a Turbulent Lifted Hydrogen Jet Flame in Heated Coflow: A Chemical Explosive Mode Analysis. J. Fluid Mech. 2010, 652, 45. [Google Scholar] [CrossRef]
- Fotia, M.L.; Driscoll, J.F. Isolator–Combustor Interactions in a Direct-Connect Ramjet-Scramjet Experiment. J. Prop. Power 2012, 28, 83. [Google Scholar] [CrossRef]
- Fotia, M.L.; Driscoll, J.F. Ram-Scram Transition and Flame/Shock-Train Interactions in a Model Scramjet Experiment. J. Prop. Power 2013, 29, 261. [Google Scholar] [CrossRef]
- Steelant, J.; Varvill, R.; Defoort, S.; Hanneman, K.; Marini, M. Achievements Obtained for Sustained Hypersonic Flight within the LAPCAT-II Project. In Proceedings of the 20th AIAA International Space Planes and Hypersonic Systems and Technologies Conference, Glasgow, UK, 6–9 July 2015. [Google Scholar] [CrossRef]
- Viola, N.; Fusaro, R.; Saracoglu, B.; Schram, C.; Grewe, V.; Martinez, J.; Marini, M.; Hernandez, S.; Lammers, K.; Vincent, A.; et al. Main Challenges and Goals of the H2020 STRATOFLY Project. Aerotec. Missili Spaz. 2021, 100, 95. [Google Scholar] [CrossRef]
- Langener, T.; Steelant, J. The LAPCAT MR2 Hypersonic Cruiser Concept. In Proceedings of the 29th Congress of the International Council of the Aeronautical Sciences, St. Petersburg, Russia, 7–12 September 2014. [Google Scholar]
- Langener, T.; Steelant, J.; Karl, S.; Hannemann, K. Design and Optimization of a Small Scale M=8 Scramjet Propulsion System. In Space Propulsion; AAAF: Bordeaux, France, 2012. [Google Scholar]
- Hannemann, K.; Martinez Schramm, J. High Enthalpy, High Pressure Short Duration Testing of Hypersonic Flows. In Springer Handbook of Experimental Fluid Mechanics; Tropea, C., Foss, J., Yarin, A., Eds.; Springer: Berlin/Heidelberg, Germany, 2007; p. 1081. [Google Scholar]
- Hannemann, K.; Martinez Schramm, J.; Laurence, S.; Karl, S. Shock Tunnel Free Flight Force Measurements using a Complex Model Configuration. In Proceedings of the 8th European Symposium on Aerothermodynamics for Space Vehicles, Lisbon, Portugal, 2–6 March 2015. [Google Scholar]
- Martinez, J. Experimental Investigations on Hypersonic Combustion in a Large-scale High Enthalpy Short Duration Facility. In Stratospheric Flying Opportunities for High-Speed Propulsion Concepts; von Karman Lecture Series; The von Karman Institute: Sint-Genesius-Rode, Belgium, 2021. [Google Scholar]
- Martinez Schramm, J.; Karl, S.; Hannemann, K.; Ozawa, H. Ultra-Fast Temperature Sensitive Paint Shock Tunnel Heat Flux Measurements on the Intake of the LAPCAT II Small Scale Flight Experiment Configuration. In Proceedings of the International Conference on High-Speed Vehicle Science Technology, Moscow, Russia, 26–29 November 2018. HiSST 2018-2190880. [Google Scholar]
- Karl, S.; Steelant, J. Crossflow Phenomena in Streamline-Traced Hypersonic Intakes. J. Prop. Power 2018, 34, 449. [Google Scholar] [CrossRef]
- Karl, S.; Martinez Schramm, J.; Hannemann, K. Post-Test Analysis of the LAPCAT-II Subscale Scramjet. CEAS Space J. 2020, 12, 385. [Google Scholar] [CrossRef]
- Fureby, C. High Fidelity Numerical Simulations of Combustion for Airbreating Engines. In Proceedings of the 2nd International Conference on High-Speed Vehicle Science Technology, Bruges, Belgium, 11–15 September 2022. HiSST-2022-258. [Google Scholar]











Publisher’s Note: MDPI stays neutral with regard to jurisdictional claims in published maps and institutional affiliations. |
© 2022 by the authors. Licensee MDPI, Basel, Switzerland. This article is an open access article distributed under the terms and conditions of the Creative Commons Attribution (CC BY) license (https://creativecommons.org/licenses/by/4.0/).
Share and Cite
Fureby, C.; Sahut, G.; Ercole, A.; Nilsson, T. Large Eddy Simulation of Combustion for High-Speed Airbreathing Engines. Aerospace 2022, 9, 785. https://doi.org/10.3390/aerospace9120785
Fureby C, Sahut G, Ercole A, Nilsson T. Large Eddy Simulation of Combustion for High-Speed Airbreathing Engines. Aerospace. 2022; 9(12):785. https://doi.org/10.3390/aerospace9120785
Chicago/Turabian StyleFureby, Christer, Guillaume Sahut, Alessandro Ercole, and Thommie Nilsson. 2022. "Large Eddy Simulation of Combustion for High-Speed Airbreathing Engines" Aerospace 9, no. 12: 785. https://doi.org/10.3390/aerospace9120785
APA StyleFureby, C., Sahut, G., Ercole, A., & Nilsson, T. (2022). Large Eddy Simulation of Combustion for High-Speed Airbreathing Engines. Aerospace, 9(12), 785. https://doi.org/10.3390/aerospace9120785

