Air Traffic Complexity Assessment Based on Ordered Deep Metric
Abstract
1. Introduction
- (1)
- We design a new loss function which considers the sample order, and propose an ordered deep metric algorithm ODM.
- (2)
- A new air traffic complexity assessment method ATCA-ODM is proposed based on ODM to improve the accuracy of the complexity assessment.
- (3)
- The effectiveness of the proposed ODM algorithm and the performance of our complexity assessment method ATCA-ODM are verified on historical air traffic data.
2. Related Works
3. Method
3.1. Motivation
3.2. Definition of Ordered Loss
3.2.1. Interclass Loss
3.2.2. Intracluster Loss
3.2.3. Ordered Loss
3.3. ODM Algorithm and Its Complexity
| Algorithm 1 ODM |
| Input: Air traffic images, ; |
Output: Trained GoogleNet model.
|
3.4. Assessing Air Traffic Complexity Based on ODM
4. Experiments
4.1. Experimental Setup
4.2. Results and Discussions
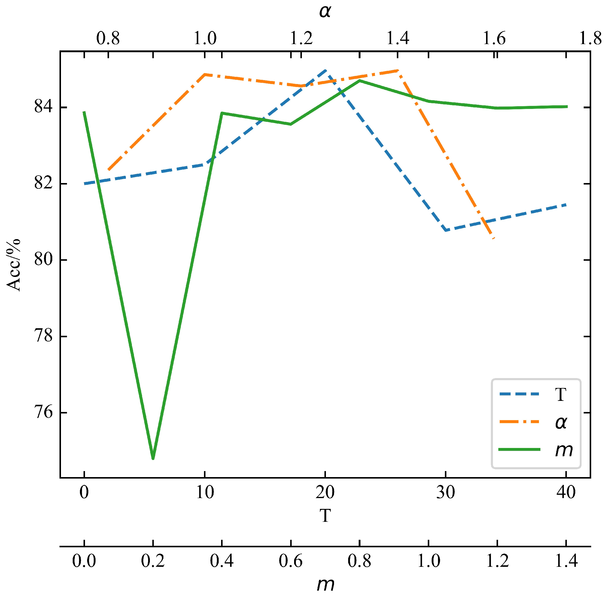
4.2.1. Hyperparameters’ Searching
4.2.2. Performance Verification
4.2.3. Ablation Experiments
5. Conclusions
Author Contributions
Funding
Institutional Review Board Statement
Informed Consent Statement
Data Availability Statement
Acknowledgments
Conflicts of Interest
References
- Orasanu, J.; Parke, B.; Kraft, N.; Tada, Y.; Hobbs, A.; Anderson, B.; Dulchinos, V. Evaluating the Effectiveness of Schedule Changes for Air Traffic Secrvice (Ats) Providers: Controller Alertness and Fatigue Monitoring Study; Technical Report; US Department of Transportation, Federal Aviation Administration: Washington, DC, USA, 2012.
- Delahaye, D.; García, A.; Lavandier, J.; Chaimatanan, S.; Soler, M. Air traffic complexity map based on linear dynamical systems. Aerospace 2022, 9, 230. [Google Scholar] [CrossRef]
- Gutiérrez Teuler, G.; Arnaldo Valdés, R.M.; Gómez Comendador, V.F.; López de Frutos, P.M.; Rodríguez Rodríguez, R. Study of the impact of traffic flows on the atc actions. Aerospace 2022, 9, 467. [Google Scholar] [CrossRef]
- Cao, X.; Zhu, X.; Tian, Z.; Chen, J.; Wu, D.; Du, W. A knowledge-transfer-based learning framework for airspace operation complexity evaluation. Transp. Res. Part C Emerg. Technol. 2018, 95, 61–81. [Google Scholar] [CrossRef]
- Djokic, J.; Lorenz, B.; Fricke, H. Air traffic control complexity as workload driver. Transp. Res. Part C Emerg. Technol. 2010, 18, 930–936. [Google Scholar] [CrossRef]
- Delgado-Aguilera Jurado, R.; Gómez Comendador, V.F.; Zamarreño Suárez, M.; Pérez Moreno, F.; Verdonk Gallego, C.E.; Arnaldo Valdés, R.M. Assessment of potential conflict detection by the atco. Aerospace 2022, 9, 522. [Google Scholar] [CrossRef]
- Xiao, M.; Zhang, J.; Cai, K.; Cao, X. Atcem: A synthetic model for evaluating air traffic complexity. J. Adv. Transp. 2016, 50, 315–325. [Google Scholar] [CrossRef]
- Andraši, P.; Radišić, T.; Novak, D.; Juričić, B. Subjective air traffic complexity estimation using artificial neural networks. Promet-Traffic Transp. 2019, 31, 377–386. [Google Scholar] [CrossRef]
- Xie, H.; Zhang, M.; Ge, J.; Dong, X.; Chen, H. Learning air traffic as images: A deep convolutional neural network for airspace operation complexity evaluation. Complexity 2021, 2021, 6457246. [Google Scholar] [CrossRef]
- Gianazza, D. Forecasting workload and airspace configuration with neural networks and tree search methods. Artif. Intell. 2010, 174, 530–549. [Google Scholar] [CrossRef]
- Netjasov, F.; Janić, M.; Tošić, V. Developing a generic metric of terminal airspace traffic complexity. Transportmetrica 2011, 7, 369–394. [Google Scholar] [CrossRef]
- Delahaye, D.; Puechmorel, S. Air traffic complexity based on dynamical systems. In Proceedings of the 49th IEEE Conference on Decision and Control (CDC), Atlanta, GA, USA, 15–17 December 2010; pp. 2069–2074. [Google Scholar]
- Zhu, X.; Cao, X.; Cai, K. Measuring air traffic complexity based on small samples. Chin. J. Aeronaut. 2017, 30, 1493–1505. [Google Scholar]
- Kim, S.; Seo, M.; Laptev, I.; Cho, M.; Kwak, S. Deep metric learning beyond binary supervision. In Proceedings of the IEEE/CVF Conference on Computer Vision and Pattern Recognition, Long Beach, CA, USA, 15–20 June 2019; pp. 2288–2297. [Google Scholar]
- Dubey, A.; Santra, A.; Fuchs, J.; Lübke, M.; Weigel, R.; Lurz, F. A bayesian framework for integrated deep metric learning and tracking of vulnerable road users using automotive radars. IEEE Access 2021, 9, 68758–68777. [Google Scholar] [CrossRef]
- Wang, F.; Liu, H. Understanding the behaviour of contrastive loss. In Proceedings of the IEEE/CVF Conference on Computer Vision and Pattern Recognition, Nashville, TN, USA, 19–25 June 2021; pp. 2495–2504. [Google Scholar]
- Zhang, M.; Cheng, Q.; Luo, F.; Ye, L. A triplet nonlocal neural network with dual-anchor triplet loss for high-resolution remote sensing image retrieval. IEEE J. Sel. Top. Appl. Earth Obs. Remote Sens. 2021, 14, 2711–2723. [Google Scholar] [CrossRef]
- Teh, E.W.; DeVries, T.; Taylor, G.W. Proxynca++: Revisiting and revitalizing proxy neighborhood component analysis. In Proceedings of the European Conference on Computer Vision, Glasgow, UK, 23–28 August 2020; Springer: Cham, Switzerland, 2020; pp. 448–464. [Google Scholar]
- Kim, S.; Kim, D.; Cho, M.; Kwak, S. Proxy anchor loss for deep metric learning. In Proceedings of the IEEE/CVF Conference on Computer Vision and Pattern Recognition, Seattle, WA, USA, 14–19 June 2020; pp. 3238–3247. [Google Scholar]
- Loshchilov, I.; Hutter, F. Decoupled weight decay regularization. In Proceedings of the International Conference on Learning Representations, Vancouver, BC, Canada, 30 April–3 May 2018. [Google Scholar]
- Hastie, T.; Rosset, S.; Zhu, J.; Zou, H. Multi-class adaboost. Stat. Its Interface 2009, 2, 349–360. [Google Scholar] [CrossRef]
- Zhang, S.; Li, X.; Zong, M.; Zhu, X.; Cheng, D. Learning k for knn classification. ACM Trans. Intell. Syst. Technol. (TIST) 2017, 8, 1–19. [Google Scholar] [CrossRef]
- Taud, H.; Mas, J. Multilayer perceptron (mlp). In Geomatic Approaches for Modeling Land Change Scenarios; Springer: Berlin/Heidelberg, Germany, 2018; pp. 451–455. [Google Scholar]
- Noble, W.S. What is a support vector machine? Nat. Biotechnol. 2006, 24, 1565–1567. [Google Scholar] [CrossRef]
- Breiman, L. Random forests. Mach. Learn. 2001, 45, 5–32. [Google Scholar] [CrossRef]










| Model | Acc | MAE | F1 |
|---|---|---|---|
| GoogleNet | 72.06% | 0.3328 | 70.23% |
| GoogleNet + Intracluster loss | 74.47% | 0.2874 | 74.60% |
| GoogleNet + Interclass loss | 84.54% | 0.1648 | 84.44% |
| GoogleNet + ODM | 85.34% | 0.1631 | 85.40% |
Publisher’s Note: MDPI stays neutral with regard to jurisdictional claims in published maps and institutional affiliations. |
© 2022 by the authors. Licensee MDPI, Basel, Switzerland. This article is an open access article distributed under the terms and conditions of the Creative Commons Attribution (CC BY) license (https://creativecommons.org/licenses/by/4.0/).
Share and Cite
Chen, H.; Zhang, L.; Yuan, L.; Zhu, W.; Liu, L. Air Traffic Complexity Assessment Based on Ordered Deep Metric. Aerospace 2022, 9, 758. https://doi.org/10.3390/aerospace9120758
Chen H, Zhang L, Yuan L, Zhu W, Liu L. Air Traffic Complexity Assessment Based on Ordered Deep Metric. Aerospace. 2022; 9(12):758. https://doi.org/10.3390/aerospace9120758
Chicago/Turabian StyleChen, Haiyan, Linghui Zhang, Ligang Yuan, Weiqi Zhu, and Li Liu. 2022. "Air Traffic Complexity Assessment Based on Ordered Deep Metric" Aerospace 9, no. 12: 758. https://doi.org/10.3390/aerospace9120758
APA StyleChen, H., Zhang, L., Yuan, L., Zhu, W., & Liu, L. (2022). Air Traffic Complexity Assessment Based on Ordered Deep Metric. Aerospace, 9(12), 758. https://doi.org/10.3390/aerospace9120758

