Mitigating Forced Shock-Wave Oscillation with Two-Dimensional Wavy Surface
Abstract
1. Introduction
2. Numerical Models
2.1. Sajben Diffuser
2.2. Geometry of a Wavy Surface
2.3. Numerical Strategy
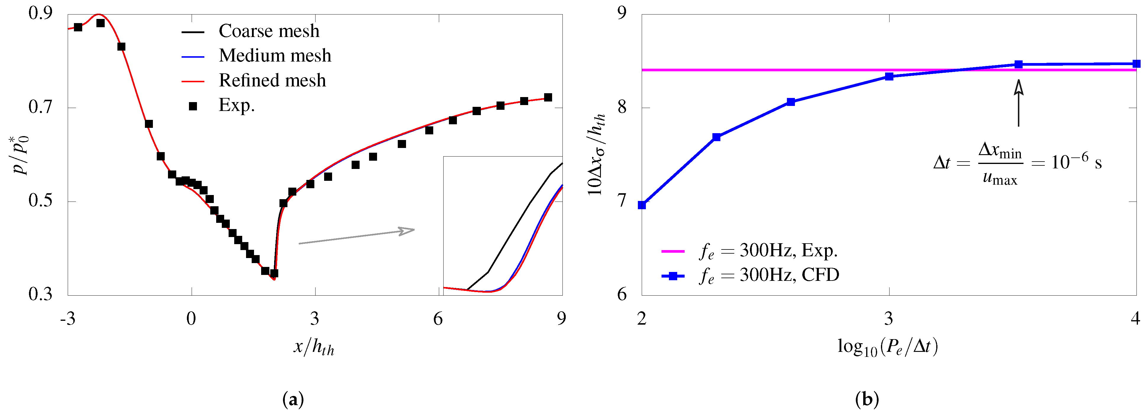
2.4. Verification and Validation
3. Numerical Results
3.1. Steady-State Flow
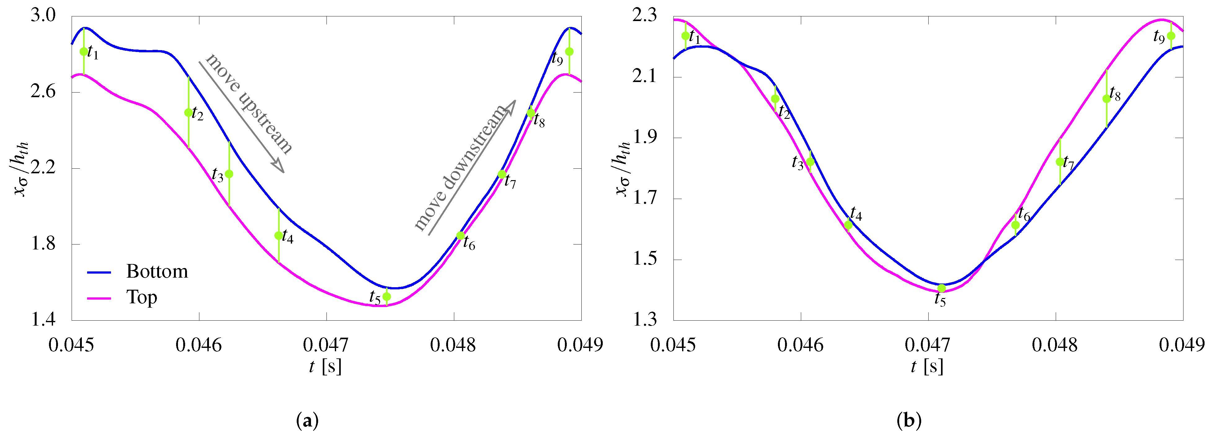
3.2. Oscillating Flow without Control
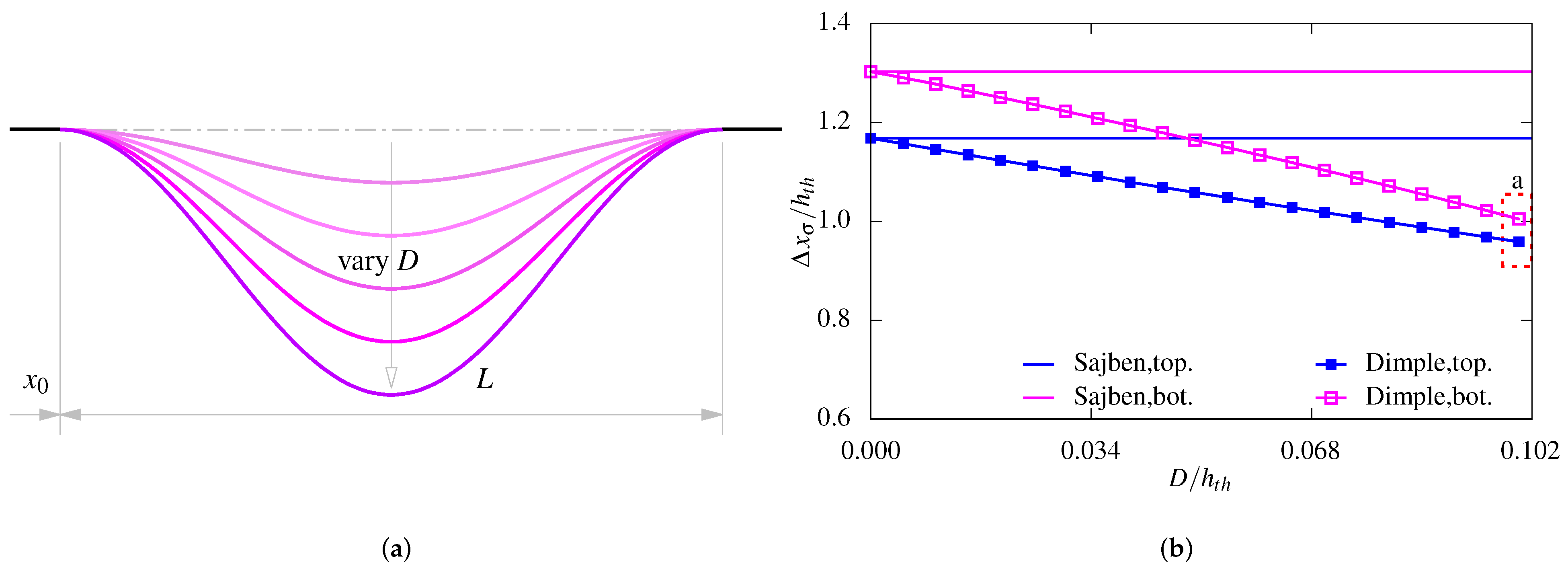
3.3. Impact of the Wavy Surface’s Depth
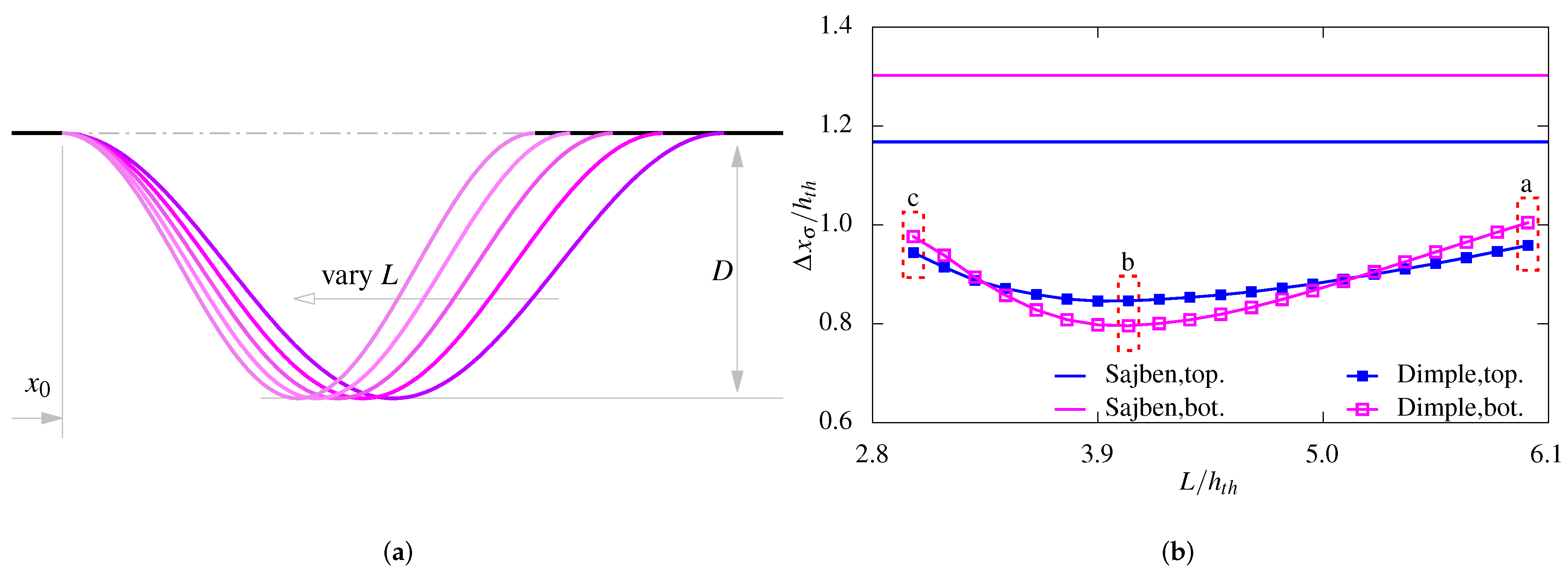
3.4. Impact of the Wavy Surface’s Length
3.5. Mitigated Shock-Wave Oscillation
4. Discussion
4.1. A Mechanism for Mitigating Shock-Wave Oscillation
4.2. The Temporal Second Shock-Wave
4.3. Limitation
- More complicated perturbation pressure impacts should be studied. Harmonic components exit in the transient back-pressure of a real ramjet engine. For a wide-Mach-number-range flight, the combustor needs to work at several modes. The perturbation frequency will change when switching between the transonic and supersonic modes. An adaptive control strategy would be applied to the variable wavy surface.
- The fluid structure interaction’s impact should be evaluated. The variable wavy surface may vibrate due to the fluid–structure interaction. According to the work by Yao et al. [19], the flexible wavy surface will emulate the present wavy surface’s functions. However, the fatigue design would be implemented to prevent a potential fatigue failure of the wavy surface.
- Control over the effectiveness of the wavy surface should be verified for a real application. The present wavy surface works well for the simple flow-pattern in the diffuser. The control strategy would be evaluated for a different and complicated flow field, e.g., a real supersonic intake or an isolator of a ramjet engine. Meanwhile, the size of the wavy surface should be acceptable to the supersonic intake, and should not significantly change the whole geometry.
5. Conclusions
- The impacts of the wavy surface are investigated by increasing the depth D and decreasing the length L. Increasing the wavy surface depth D benefits toward mitigating the forced shock-wave oscillation. Decreasing the wavy surface length L may increase or decrease the oscillation amplitudes, dependent on the specific value.
- The mitigating mechanism of the optimal wavy surface on the forced shock-wave oscillation is interpreted from two viewpoints, i.e., the shock-wave stability and the work performed by a moving shock-wave. The second one is associated with the shock-wave traveling speed and the shock-wave strength. The work holds constant for a given pressure perturbation. The strong shock-wave induced by the optimal wavy surface gives rise to a small shock-wave traveling speed and a mitigated oscillation amplitude.
- The traveling second shock-wave temporarily appears in the diffuser, which is similar to the stationary shock-train. The occurrence can be interpreted with the post-shock expansion. The shock-induced flow-separation bubble generates a simple convergent effective flow-passage downstream of the initial shock-wave. The expansion wave becomes significantly strong in the flow-passage and triggers the second shock-wave.
Author Contributions
Funding
Institutional Review Board Statement
Informed Consent Statement
Data Availability Statement
Acknowledgments
Conflicts of Interest
Abbreviations
| 2D | Two-dimensional |
| CFL | Courant Friedrichs Lewy |
| Exp. | Experimental |
| RANS | Reynolds-Averaged Navier-Stokes |
| SBLI | Shock-wave/Boundary-Layer Interaction |
| SST | Shear Stress Transport |
| URANS | Unsteady Reynolds-Averaged Navier-Stokes |
| Nomenclature | |
| A | Relative amplitude of a downstream pressure perturbation |
| c | Sound speed, m/s |
| f | Frequency of a downstream pressure perturbation, Hz |
| h | Height of a flow path, m |
| M | Mach number |
| p | Static or total pressure, Pa |
| P | Time period of a downstream pressure perturbation, s |
| t | Time, s |
| T | Temperature, K |
| x | Streamwise coordinate, m |
| y | Transverse coordinate, m |
| Specific heat ratio, 1.4 | |
| Peak-to-peak amplitude of a parameter | |
| Total pressure loss | |
| Outflow distortion | |
| Subscripts | |
| b | Bottom wall of the diffuser |
| e | Outflow section of a flow-field |
| Maximum value of a parameter | |
| Minimum value of a parameter | |
| s | Steady-state flow |
| t | Top wall of the diffuser |
| Throat of a flow path | |
| Shock-wave | |
| Superscripts | |
| Total pressure or total temperature | |
| Dimensionless wall distance | |
| Time-averaged value of a parameter | |
| Mass-averaged value of a parameter along a flow section | |
References
- Wang, C.; Yang, X.; Xue, L.; Kontis, K.; Jiao, Y. Correlation Analysis of Separation Shock Oscillation and Wall Pressure Fluctuation in Unstarted Hypersonic Inlet Flow. Aerospace 2019, 6, 8. [Google Scholar] [CrossRef]
- Liu, J.; Yuan, H.; Wang, Y.; Ge, N. Unsteady Supercritical/Critical Dual Flowpath Inlet Flow and Its Control Methods. Chin. J. Aeronaut. 2017, 30, 1877–1884. [Google Scholar] [CrossRef]
- Gao, W.; Li, Z.; Yang, J.; Zeng, Y. Effects of Trips on the Oscillatory Flow of an Axisymmetric Hypersonic Inlet with Downstream Throttle. Chin. J. Aeronaut. 2018, 31, 225–236. [Google Scholar] [CrossRef]
- Kotteda, V.M.K.; Mittal, S. Viscous Flow in a Mixed Compression Intake. Int. J. Numer. Methods Fluids 2011, 67, 1393–1417. [Google Scholar] [CrossRef]
- Su, W.Y.; Chen, Y.; Zhang, F.R.; Tang, P.P. Control of Pseudo-Shock Oscillation in Scramjet Inlet-Isolator Using Periodical Excitation. Acta Astronaut. 2018, 143, 147–154. [Google Scholar] [CrossRef]
- Bur, R.; Benay, R.; Galli, A.; Berthouze, P. Experimental and Numerical Study of Forced Shock-Wave Oscillations in a Transonic Channel. Aerosp. Sci. Technol. 2006, 10, 265–278. [Google Scholar] [CrossRef]
- Jiang, Z.; Zhang, Z.; Liu, Y.; Wang, C.; Luo, C. Criteria for Hypersonic Airbreathing Propulsion and Its Experimental Verification. Chin. J. Aeronaut. 2021, 34, 94–104. [Google Scholar] [CrossRef]
- Fry, R.S. A Century of Ramjet Propulsion Technology Evolution. J. Propuls. Power 2004, 20, 27–58. [Google Scholar] [CrossRef]
- Nori, V.; Lerma, N.; Gustavsson, J.; Segal, C.; Fernandez, R. Forced Oscillations in a Mixed-Compression Inlet at Mach 3.5 for Pulse Detonation Engine Systems. J. Fluids Eng. 2006, 128, 494. [Google Scholar] [CrossRef]
- Cohen, C.B.; Valerino, A.S. Investigation of Operating Pressure Ratio of a Supersonic Wind Tunnel Utilizing Distributed Boundary-Layer Suction in Test Section; Technical Report NACA-RM-E50H04; NACA: Washington, DC, USA, 1950. [Google Scholar]
- Delery, J.M. Shock Wave/Turbulent Boundary Layer Interaction and Its Control. Prog. Aerosp. Sci. 1985, 22, 209–280. [Google Scholar] [CrossRef]
- Pegg, R.J.; Hunt, J.L.; Petley, D.H.; Burkhardt, L.; Stevens, D.R.; Moses, P.L.; Pinckney, S.Z.; Kabis, H.Z.; Spoth, K.A.; Dziedzic, W.M.; et al. Design of a Hypersonic Waverider-Derived Airplane. In Proceedings of the 31st Aerospace Sciences Meeting, Reno, NV, USA, 11–14 January 1993. [Google Scholar] [CrossRef]
- Galli, A.; Corbel, B.; Bur, R. Control of Forced Shock-Wave Oscillations and Separated Boundary Layer Interaction. Aerosp. Sci. Technol. 2005, 9, 653–660. [Google Scholar] [CrossRef]
- Mccormick, D.C. Shock/Boundary-Layer Interaction Control with Vortex Generators and Passive Cavity. AIAA J. 1993, 31, 91–96. [Google Scholar] [CrossRef]
- Titchener, N.; Babinsky, H. A Review of the Use of Vortex Generators for Mitigating Shock-Induced Separation. Shock Waves 2015, 25, 473–494. [Google Scholar] [CrossRef]
- Bur, R.; Coponet, D.; Carpels, Y. Separation Control by Vortex Generator Devices in a Transonic Channel Flow. Shock Waves 2009, 19, 521–530. [Google Scholar] [CrossRef]
- Herges, T.; Elliott, G.; Dutton, C.; Lee, Y. Micro-Vortex Generators and Recirculating Flow Control of Normal Shock Stability and Position Sensitivity. In Proceedings of the 48th AIAA Aerospace Sciences Meeting Including the New Horizons Forum and Aerospace Exposition, Orlando, FL, USA, 4–7 January 2010. [Google Scholar] [CrossRef]
- Liang, S.M.; Tsai, C.J.; Yu, F.M. Shock Oscillation in a Two-Dimensional, Flexible-Wall Nozzle. AIAA J. 1995, 33, 1538–1541. [Google Scholar] [CrossRef]
- Yao, C.; Zhang, G.H.; Liu, Z.S. Forced Shock Oscillation Control in Supersonic Intake Using Fluid–Structure Interaction. AIAA J. 2017, 55, 2580–2596. [Google Scholar] [CrossRef]
- Zhang, Y.; Tan, H.J.; Li, J.F.; Chen, H.; Wang, C. Ramp Shock Regulation of Supersonic Inlet with Shape Memory Alloy Plate. AIAA J. 2018, 56, 1696–1702. [Google Scholar] [CrossRef]
- Bogar, T.J.; Sajben, M.; Kroutil, J.C. Characteristic Frequencies of Transonic Diffuser Flow Oscillations. AIAA J. 1983, 21, 1232–1240. [Google Scholar] [CrossRef]
- Zhang, K.; Li, J.; Zeng, F.; Wang, Q.; Yan, C. Uncertainty Analysis of Parameters in SST Turbulence Model for Shock Wave-Boundary Layer Interaction. Aerospace 2022, 9, 55. [Google Scholar] [CrossRef]
- Sajben, M.; Bogar, T.; Kroutil, J. Forced Oscillation Experiments in Supercritical Diffuser Flows with Application to Ramjet Instabilities. In Proceedings of the 17th Joint Propulsion Conference, Colorado Springs, CO, USA, 27–29 July 1981; Volume AIAA-81-1487. [Google Scholar] [CrossRef]
- Sajben, M.; Bogar, T.J.; Kroutil, J.C. Forced Oscillation Experiments in Supercritical Diffuser Flows. AIAA J. 1984, 22, 465–474. [Google Scholar] [CrossRef]
- Babinsky, H.; Harvey, J.K. Shock Wave-Boundary-Layer Interactions; Cambridge University Press: Cambridge, UK, 2011. [Google Scholar]
- Bruce, P.J.K.; Babinsky, H. Unsteady Shock Wave Dynamics. J. Fluid Mech. 2008, 603, 463–473. [Google Scholar] [CrossRef]
- Hsieh, T.; Wardlaw, A.B.; Coakley, T. Ramjet Diffuser Flowfield Response to Large-Amplitude Combustor Pressure Oscillations. J. Propuls. Power 1987, 3, 472–477. [Google Scholar] [CrossRef]
- Hsieh, T.; Wardlaw, A.B.; Collins, P.; Coakley, T. Numerical Investigation of Unsteady Inlet Flowfields. AIAA J. 1987, 25, 75–81. [Google Scholar] [CrossRef]
- Culick, F.E.C.; Rogers, T. The Response of Normal Shocks in Diffusers. AIAA J. 1983, 21, 1382–1390. [Google Scholar] [CrossRef]
- Oh, J.Y.; Ma, F.; Hsieh, S.Y.; Yang, V. Interactions Between Shock and Acoustic Waves in a Supersonic Inlet Diffuser. J. Propuls. Power 2005, 21, 486–495. [Google Scholar] [CrossRef]
- Matsuo, K.; Kim, H.D. Post-Shock Expansion Phenomenon Caused by Normal Shock/Turbulent Boundary Layer Interaction. JSME Int. J. Ser. B 1993, 36, 540–552. [Google Scholar] [CrossRef][Green Version]
- Sajben, M.; Donovan, J.F.; Morris, M.J. Experimental Investigation of Terminal Shock Sensors for Mixed-Compression Inlets. J. Propuls. Power 1992, 8, 168–174. [Google Scholar] [CrossRef]
- Zukoski, E.E. Turbulent Boundary-Layer Separation in Front of a Forward-Facing Step. AIAA J. 1967, 5, 1746–1753. [Google Scholar] [CrossRef]
















| Model | ||||||||
|---|---|---|---|---|---|---|---|---|
| Sajben | 0.282 | 0.169 | 0.089 | 0.089 | ||||
| Modified | 0.274 | 0.136 | 0.098 | 0.083 |
Publisher’s Note: MDPI stays neutral with regard to jurisdictional claims in published maps and institutional affiliations. |
© 2022 by the authors. Licensee MDPI, Basel, Switzerland. This article is an open access article distributed under the terms and conditions of the Creative Commons Attribution (CC BY) license (https://creativecommons.org/licenses/by/4.0/).
Share and Cite
Yao, C.; Pu, Y.; Wang, Z.; Gao, Y. Mitigating Forced Shock-Wave Oscillation with Two-Dimensional Wavy Surface. Aerospace 2022, 9, 756. https://doi.org/10.3390/aerospace9120756
Yao C, Pu Y, Wang Z, Gao Y. Mitigating Forced Shock-Wave Oscillation with Two-Dimensional Wavy Surface. Aerospace. 2022; 9(12):756. https://doi.org/10.3390/aerospace9120756
Chicago/Turabian StyleYao, Cheng, Yuxue Pu, Zhongming Wang, and Yongxin Gao. 2022. "Mitigating Forced Shock-Wave Oscillation with Two-Dimensional Wavy Surface" Aerospace 9, no. 12: 756. https://doi.org/10.3390/aerospace9120756
APA StyleYao, C., Pu, Y., Wang, Z., & Gao, Y. (2022). Mitigating Forced Shock-Wave Oscillation with Two-Dimensional Wavy Surface. Aerospace, 9(12), 756. https://doi.org/10.3390/aerospace9120756

