Comparative Study of the Thermal Enhancement for Spacecraft PCM Thermal Energy Storage Units
Abstract
1. Introduction
2. Physical and Mathematical Models
2.1. Latent Heat Thermal Energy Storage Units for Spacecraft
2.1.1. Selection of the PCM
2.1.2. Selection of the Thermal Conductivity Enhancers (TCE)
2.2. Simulation of PCM Charging Process
2.2.1. Mathematical Formulation
- All materials, including porous foam media, are homogeneous.
- The volume change of the PCMs during melting and the thermal capillary convection at the free surface is neglected.
- Natural convection within the PCMs is considered negligible under microgravity conditions.
2.2.2. Initial and Boundary Conditions
2.3. Topology Optimization Methodology
2.3.1. Solid Isotropic Material with Penalization (SIMP) Method
2.3.2. Objective Function
2.3.3. Other Descriptions
2.4. Numerical Method
2.5. Model Validation
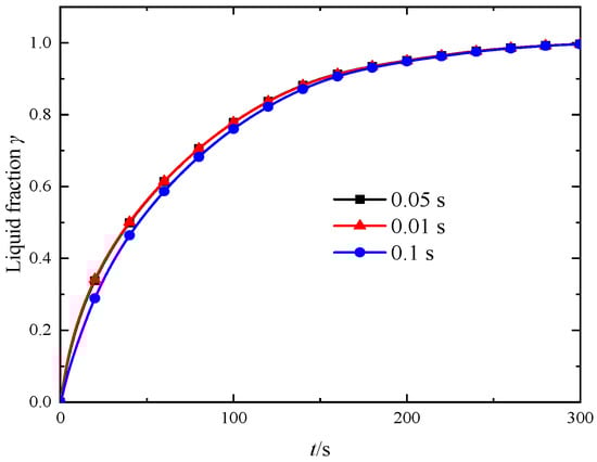
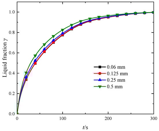
2.5.1. Independent Verification
2.5.2. Comparison of Numerical Method and Experiment
2.6. Multi-Criteria Decision Making
2.6.1. Subjective Weight: Analytic Hierarchy Process
- Construct a hierarchical model based on the actual situation, divided into the target layer, criterion layer, and solution layer;
- Construct a comparison matrix by comparing the criteria two by two based on a 9-point scale [29].
- Normalize the comparison matrix (n-th order square matrix), find the maximum eigenvalue λmax and perform the consistency test:where n is the number of criteria, and there are three criteria in this study.
- RI is the random index, which can be found in reference [30]. If RI < 0.1, the consistency is considered good; if RI > 0.1, a new comparison matrix needs to be reconstructed to improve the consistency.
- Derive the weight matrix based on the comparison matrix.
2.6.2. Objective Weight: Entropy Method
2.6.3. TOPSIS Method
2.6.4. Combination of Weights
3. Results
3.1. Topology Optimization Result
3.2. Numerical Simulation Result
3.3. Evaluation Result of TOPSIS Method
3.4. Further Discussion
4. Conclusions
- The graphite foam-based PCM thermal energy storage unit melted the fastest, but its low porosity made the heat storage less, which was unsuitable for enhancing heat transfer for spacecraft after a comprehensive evaluation.
- Only topologically optimized fins were also unsuitable because the reinforcement effect is not apparent when the fin volume fraction was small; when the fin volume fraction was large, the PCM filling decreased.
- Porous foam medium (aluminum foam, copper foam, and graphite foam) enhanced PCM melting well. The copper foam was better than aluminum foam, and the foam media had the best enhancing effect for the same metal material, mass, and heat storage.
- The topologically optimized aluminum fins with a small volume fraction combined with high porosity copper foam ranked the best in the comprehensive assessment within the studied range. The metal foam can be replaced by a lattice structure and processed using additive manufacturing considering practical factors.
Author Contributions
Funding
Data Availability Statement
Conflicts of Interest
References
- Kumar, A.; Tiwari, A.K.; Said, Z. A comprehensive review analysis on advances of evacuated tube solar collector using nanofluids and PCM. Sustain. Energy Technol. Assess. 2021, 47, 101417. [Google Scholar] [CrossRef]
- Selvnes, H.; Allouche, Y.; Manescu, R.I.; Hafner, A. Review on cold thermal energy storage applied to refrigeration systems using phase change materials. Therm. Sci. Eng. Prog. 2020, 22, 100807. [Google Scholar] [CrossRef]
- Raquel, L.; Luis, B. Phase change materials and energy efficiency of buildings: A review of knowledge. J. Energy Storage 2020, 27, 101083. [Google Scholar] [CrossRef]
- Thakur, A.K.; Prabakaran, R.; Elkadeem, M.R.; Sharshir, S.W.; Arici, M.; Wang, C.; Zhao, W.; Hwang, J.-Y.; Saidure, R. A state of art review and future viewpoint on advance cooling techniques for Lithium–ion battery system of electric vehicles. J. Energy Storage 2020, 32, 101771. [Google Scholar] [CrossRef]
- Garmendia, I.; Vallejo, H.; Seco, M.; Anglada, E. Design and fabrication of a phase change material heat storage device for the thermal control of electronics components of space applications. Aerospace 2022, 9, 126. [Google Scholar] [CrossRef]
- Raj, C.R.; Suresh, S.; Bhavsar, R.R.; Singh, V.K.; Govind, K.A. Influence of fin configurations in the heat transfer effectiveness of Solid-solid PCM based thermal control module for satellite avionics: Numerical simulations. J. Energy Storage 2020, 29, 101332. [Google Scholar] [CrossRef]
- Zhao, L.; Xing, Y.; Liu, X. Experimental investigation on the thermal management performance of heat sink using low melting point alloy as phase change material. Renew. Energy 2020, 146, 1578–1587. [Google Scholar] [CrossRef]
- Ali, H.M.; Janjua, M.M.; Sajjad, U.; Yan, W.M. A critical review on heat transfer augmentation of phase change materials embedded with porous materials/foams. Int. J. Heat Mass Transf. 2019, 135, 649–673. [Google Scholar] [CrossRef]
- Ali, H.M.; Saieed, A.; Pao, W.; Ali, M. Copper foam/PCMs based heat sinks: An experimental study for electronic cooling systems. Int. J. Heat Mass Transf. 2018, 127, 381–393. [Google Scholar] [CrossRef]
- Zhang, Z.; Cheng, J.; He, X. Numerical simulation of flow and heat transfer in composite PCM on the basis of two different models of open-cell metal foam skeletons. Int. J. Heat Mass Transf. 2017, 112, 959–971. [Google Scholar] [CrossRef]
- Wang, S.; Xing, Y.; Hao, Z.; Yin, J.; Hou, X.; Wang, Z. Experimental study on the thermal performance of PCMs based heat sink using higher alcohol/graphite foam. Appl. Therm. Eng. 2021, 198, 117452. [Google Scholar] [CrossRef]
- Desai, A.N.; Gunjal, A.; Singh, V.K. Numerical investigations of fin efficacy for phase change material (PCM) based thermal control module. Int. J. Heat Mass Transf. 2020, 147, 118855. [Google Scholar] [CrossRef]
- Kothari, R.; Sahu, S.K.; Kundalwal, S.I.; Mahalkar, P. Thermal performance of phase change material–based heat sink for passive cooling of electronic components: An experimental study. Int. J. Energy Res. 2021, 45, 5939–5963. [Google Scholar] [CrossRef]
- Dbouk, T. A review about the engineering design of optimal heat transfer systems using topology optimization. Appl. Therm. Eng. 2017, 112, 841–854. [Google Scholar] [CrossRef]
- Alexandersen, J.; Sigmund, O.; Meyer, K.E.; Lazarov, B.S. Design of passive coolers for light-emitting diode lamps using topology optimisation. Int. J. Heat Mass Transf. 2018, 122, 138–149. [Google Scholar] [CrossRef]
- Lazarov, B.S.; Sigmund, O.; Meyer, K.E.; Alexandersen, J. Experimental validation of additively manufactured optimized shapes for passive cooling. Appl. Energy 2018, 226, 330–339. [Google Scholar] [CrossRef]
- Pizzolato, A.; Sharma, A.; Maute, K.; Sciacovelli, A.; Verda, V. Design of effective fins for fast PCM melting and solidification in shell-and-tube latent heat thermal energy storage through topology optimization. Appl. Energy 2017, 208, 210–227. [Google Scholar] [CrossRef]
- Pizzolato, A.; Sharma, A.; Ge, R.; Maute, K.; Verda, V.; Sciacovelli, A. Maximization of performance in multi-tube latent heat storage–Optimization of fins topology, effect of materials selection and flow arrangements. Energy 2020, 203, 114797. [Google Scholar] [CrossRef]
- Tian, Y.; Liu, X.; Xu, Q.; Luo, Q.; Zheng, H.; Song, C.; Xuan, Y. Bionic topology optimization of fins for rapid latent heat thermal energy storage. Appl. Therm. Eng. 2021, 194, 117104. [Google Scholar] [CrossRef]
- Yang, K.; Zhu, N.; Chang, C.; Wang, D.; Yang, S.; Ma, S. A methodological concept for phase change material selection based on multi-criteria decision making (MCDM): A case study. Energy 2018, 165, 1085–1096. [Google Scholar] [CrossRef]
- Oluah, C.; Akinlabi, E.T.; Njoku, H.O. Selection of phase change material for improved performance of Trombe wall systems using the entropy weight and TOPSIS methodology. Energy Build. 2020, 217, 109967. [Google Scholar] [CrossRef]
- Peng, H.; Yan, W.; Wang, Y.; Feng, S. Discharging process and thermal evaluation in the thermal energy storage system with fractal tree-like fins. Int. J. Heat Mass Transf. 2022, 183, 122073. [Google Scholar] [CrossRef]
- POCOGraphite. Pocofaom Thermophysical Properties. Available online: http://www.poco.com/Portals/0/Literature/Semiconductor/78962v2PocoFoamFlyer.pdf (accessed on 1 May 2022).
- Yang, X.H.; Bai, J.X.; Yan, H.B.; Kuang, J.J.; Lu, T.J.; Kim, T. An analytical unit cell model for the effective thermal conductivity of high porosity open-cell metal foams. Transport Porous Med. 2014, 102, 403–426. [Google Scholar] [CrossRef]
- Di Giorgio, P.; Iasiello, M.; Viglione, A.; Mameli, M.; Filippeschi, S.; Di Marco, P.; Bianco, N. Numerical analysis of a paraffin/metal foam composite for thermal storage. J. Phys. Conf. Ser. 2017, 796, 012032. [Google Scholar] [CrossRef]
- Ho, J.Y.; See, Y.S.; Leong, K.C.; Wong, T.N. An experimental investigation of a PCM-based heat sink enhanced with a topology-optimized tree-like structure. Energy Convers. Manag. 2021, 245, 114608. [Google Scholar] [CrossRef]
- Guo, Z.; Cheng, X.; Xia, Z. Principle of Minimum heat transfer potential capacity dissipation and its application in heat conduction optimization. Chin. Sci. Bull. 2003, 48, 21–25. (In Chinese) [Google Scholar] [CrossRef]
- Hou, X.; Xing, Y.; Hao, Z. Multi-objective optimization of a composite phase change material-based heat sink under non-uniform discrete heating. Appl. Therm. Eng. 2021, 197, 117435. [Google Scholar] [CrossRef]
- Xu, H.; Romagnoli, A.; Sze, J.Y.; Py, X. Application of material assessment methodology in latent heat thermal energy storage for waste heat recovery. Appl. Energy 2017, 187, 281–290. [Google Scholar] [CrossRef]
- Sánchez-Lozano, J.M.; García-Cascales, M.S.; Lamata, M.T. GIS-based onshore wind farm site selection using fuzzy multi-criteria decision making methods. Evaluating the case of Southeastern Spain. Appl. Energy 2016, 171, 86–102. [Google Scholar] [CrossRef]
- Chen, W.; Xia, J. An optimal weights combination method considering both subjective and objective weight information. Pract. Knowl. Math. 2007, 37, 17–22. (In Chinese) [Google Scholar]
- Iradukunda, A.C.; Vargas, A.; Huitink, D.; Lohan, D. Transient thermal performance using phase change material integrated topology optimized heat sinks. Appl. Therm. Eng. 2020, 179, 115723. [Google Scholar] [CrossRef]
- Cheng, L.; Liu, J.; To, A.C. Concurrent lattice infill with feature evolution optimization for additive manufactured heat conduction design. Struct. Multidiscip. O. 2018, 58, 511–535. [Google Scholar] [CrossRef]












| N-Octadecane | Copper | Aluminum | Graphite Foam | |
|---|---|---|---|---|
| Density ρ/kg/m3 | 776 | 8920 | 2719 | 550 (apparent) |
| Specific heat capacity cp/J/kg·K | 1934 (solid) 2196 (liquid) | 380 | 871 | 711 |
| Thermal conductivity k/W/m·K | 0.358 (solid) 0.13 (liquid) | 387 | 202.4 | 4/40/140 (equivalent thermal conductivity) |
| Latent heat L/J/kg | 243,500 | — | — | — |
| Phase change temperature Tm/K | 298.25 (solid) 299.65 (liquid) | — | — | — |
| Porosity ε | — | 90% 95% (ω = 10/20/40 PPI) 98% | 79% 91.6% 95% | 75% |
| ω/PPI | hfs/W/(m2·K) | Afs/m2/m3 |
|---|---|---|
| 10 | 314.7 | 511.24 |
| 20 | 626.2 | 1022.48 |
| 40 | 1388 | 2044.97 |
| No. | Alternatives | ρeff/kg/m3 | φPCM | No. | Alternatives | ρeff/kg/m3 | φPCM |
|---|---|---|---|---|---|---|---|
| 1 | CF95%-10 PPI | 1183.20 | 0.95 | 11 | TOCF2% | 938.88 | 0.98 |
| 2 | CF95%-20 PPI | 1183.20 | 0.95 | 12 | TOAF8.4% | 938.88 | 0.916 |
| 3 | CF95%-40 PPI | 1183.20 | 0.95 | 13 | TOAF3.1% + CF98% | 938.88 | 0.95 |
| 4 | AF79% | 1183.20 | 0.79 | 14 | TOAF3.6% + AF95% | 938.88 | 0.916 |
| 5 | TOCF5% | 1183.20 | 0.95 | 15 | CF90% | 1590.40 | 0.9 |
| 6 | TOAF21% | 1183.20 | 0.79 | 16 | TOCF10% | 1590.40 | 0.9 |
| 7 | TOAF13.7% + CF98% | 1183.20 | 0.845 | 17 | AF95% | 873.15 | 0.95 |
| 8 | TOAF16.8% + AF95% | 1183.20 | 0.79 | 18 | GF75%-k = 4 | 1132.00 | 0.75 |
| 9 | CF98% | 938.88 | 0.98 | 19 | GF75%-k = 40 | 1132.00 | 0.75 |
| 10 | AF91.6% | 938.88 | 0.916 | 20 | GF75%-k = 140 | 1132.00 | 0.75 |
| No. | 1 | 2 | 3 | 4 | 5 | 6 | 7 | 8 | 9 | 10 |
| te/s | 196.4 | 180 | 174 | 68.6 | 1236.7 | 269 | 145 | 106.4 | 432.8 | 192.7 |
| ρeff/kg/m3 | 1183.2 | 1183.2 | 1183.2 | 1183.2 | 1183.2 | 1183.2 | 1183.2 | 1183.2 | 938.88 | 938.88 |
| φPCM | 0.95 | 0.95 | 0.95 | 0.79 | 0.95 | 0.79 | 0.845 | 0.79 | 0.98 | 0.916 |
| No. | 11 | 12 | 13 | 14 | 15 | 16 | 17 | 18 | 19 | 20 |
| te/s | 3221.3 | 553.5 | 266.2 | 203.4 | 84.6 | 562.3 | 327.5 | 343.9 | 34.4 | 9.9 |
| ρeff/kg/m3 | 938.88 | 938.88 | 938.88 | 938.88 | 1590.4 | 1590.4 | 873.15 | 1132 | 1132 | 1132 |
| φPCM | 0.98 | 0.916 | 0.95 | 0.916 | 0.9 | 0.9 | 0.95 | 0.75 | 0.75 | 0.75 |
Publisher’s Note: MDPI stays neutral with regard to jurisdictional claims in published maps and institutional affiliations. |
© 2022 by the authors. Licensee MDPI, Basel, Switzerland. This article is an open access article distributed under the terms and conditions of the Creative Commons Attribution (CC BY) license (https://creativecommons.org/licenses/by/4.0/).
Share and Cite
Wang, S.; Hou, X.; Yin, J.; Xing, Y.; Wang, Z. Comparative Study of the Thermal Enhancement for Spacecraft PCM Thermal Energy Storage Units. Aerospace 2022, 9, 705. https://doi.org/10.3390/aerospace9110705
Wang S, Hou X, Yin J, Xing Y, Wang Z. Comparative Study of the Thermal Enhancement for Spacecraft PCM Thermal Energy Storage Units. Aerospace. 2022; 9(11):705. https://doi.org/10.3390/aerospace9110705
Chicago/Turabian StyleWang, Shisong, Xu Hou, Jianbao Yin, Yuming Xing, and Zixian Wang. 2022. "Comparative Study of the Thermal Enhancement for Spacecraft PCM Thermal Energy Storage Units" Aerospace 9, no. 11: 705. https://doi.org/10.3390/aerospace9110705
APA StyleWang, S., Hou, X., Yin, J., Xing, Y., & Wang, Z. (2022). Comparative Study of the Thermal Enhancement for Spacecraft PCM Thermal Energy Storage Units. Aerospace, 9(11), 705. https://doi.org/10.3390/aerospace9110705

