Optimal Circle-to-Ellipse Orbit Transfer for Sun-Facing E-Sail
Abstract
1. Introduction
2. Problem Description
2.1. Spacecraft Dynamics
2.2. Trajectory Optimization
3. Numerical Simulations
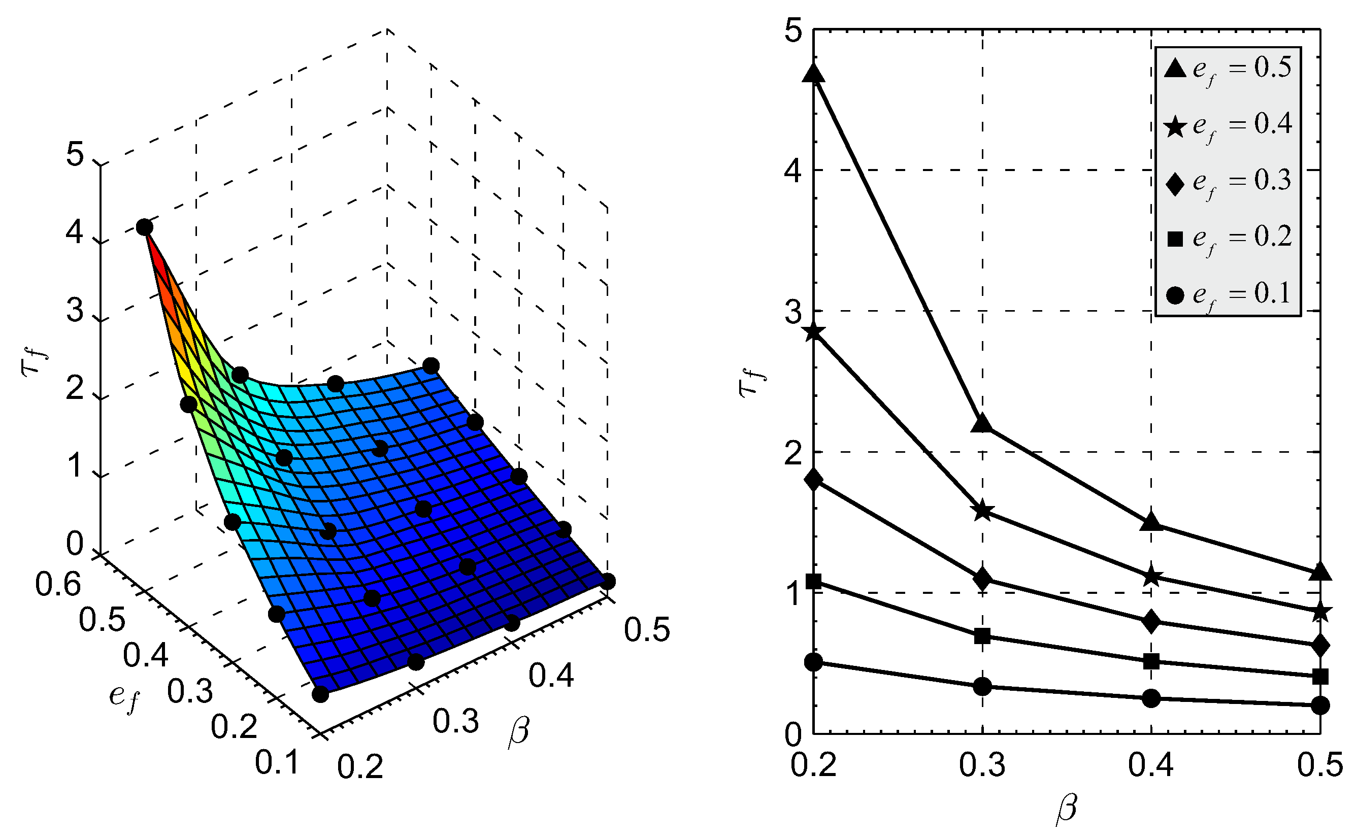
3.1. Mission Application
3.1.1. Mars Case
3.1.2. Venus case
3.1.3. Jupiter Case
4. Conclusions
Author Contributions
Funding
Institutional Review Board Statement
Informed Consent Statement
Data Availability Statement
Conflicts of Interest
Abbreviations
| a | osculating orbit semimajor axis [au] |
| propulsive acceleration vector [mm/s2] | |
| e | osculating orbit eccentricity |
| E | specific orbital energy [km2/s2] |
| dimensionless specific orbital energy | |
| h | orbital specific angular momentum magnitude [km2/s] |
| dimensionless Hamiltonian function | |
| radial unit vector | |
| transverse unit vector | |
| J | dimensionless performance index |
| O | Sun’s center of mass |
| p | semilatus rectum [au] |
| r | Sun-spacecraft radial distance [au] |
| s | dimensionless switching parameter |
| t | time [days] |
| polar reference frame | |
| u | radial component of the spacecraft velocity [km/s] |
| dimensionless reference propulsive acceleration magnitude | |
| polar angle [rad] | |
| dimensionless variable adjoint to | |
| dimensionless variable adjoint to | |
| dimensionless variable adjoint to | |
| Sun’s gravitational parameter [km3/s2] | |
| dimensionless radial distance | |
| dimensionless time | |
| dimensionless radial velocity | |
| final dimensionless constraint | |
| osculating orbit apse line rotation angle [rad] | |
| Subscripts | |
| 0 | initial, parking orbit |
| a | aphelion |
| f | final, target orbit |
| Jupiter | |
| Mars | |
| p | perihelion |
| Venus |
References
- Bassetto, M.; Niccolai, L.; Quarta, A.A.; Mengali, G. A comprehensive review of Electric Solar Wind Sail concept and its applications. Prog. Aerosp. Sci. 2022, 128, 100768. [Google Scholar] [CrossRef]
- Janhunen, P. Electric sail for spacecraft propulsion. J. Propuls. Power 2004, 20, 763–764. [Google Scholar] [CrossRef]
- Janhunen, P.; Lebreton, J.P.; Merikallio, S.; Paton, M.; Mengali, G.; Quarta, A.A. Fast E-sail Uranus entry probe mission. Planet. Space Sci. 2014, 104, 141–146. [Google Scholar] [CrossRef]
- Mengali, G.; Quarta, A.A.; Janhunen, P. Considerations of electric sailcraft trajectory design. J. Br. Interplanet. Soc. 2008, 61, 326–329. [Google Scholar]
- Quarta, A.A.; Mengali, G. Electric sail mission analysis for outer solar system exploration. J. Guid. Control Dyn. 2010, 33, 740–755. [Google Scholar] [CrossRef]
- Sanchez-Torres, A. Propulsive force in electric solar sails for missions in the heliosphere. IEEE Trans. Plasma Sci. 2019, 47, 1657–1662. [Google Scholar] [CrossRef]
- Bassetto, M.; Quarta, A.A.; Mengali, G. Locally-optimal electric sail transfer. Proc. Inst. Mech. Eng. Part G J. Aerosp. Eng. 2019, 233, 166–179. [Google Scholar] [CrossRef]
- Mengali, G.; Quarta, A.A. Trajectory analysis and optimization of Hesperides mission. Universe 2022, 8, 364. [Google Scholar] [CrossRef]
- Matloff, G.L. The Solar-Electric Sail: Application to Interstellar Migration and Consequences for SETI. Universe 2022, 8, 252. [Google Scholar] [CrossRef]
- Niccolai, L.; Anderlini, A.; Mengali, G.; Quarta, A.A. Electric sail displaced orbit control with solar wind uncertainties. Acta Astronaut. 2019, 162, 563–573. [Google Scholar] [CrossRef]
- Niccolai, L.; Caruso, A.; Quarta, A.A.; Mengali, G. Artificial collinear Lagrangian point maintenance with electric solar wind sail. IEEE TRansactions Aerosp. Electron. Syst. 2020, 56, 4467–4477. [Google Scholar] [CrossRef]
- Merikallio, S.; Janhunen, P. Moving an asteroid with electric solar wind sail. Astrophys. Space Sci. Trans. 2010, 6, 41–48. [Google Scholar] [CrossRef]
- Yamaguchi, K.; Yamakawa, H. Electric solar wind sail kinetic energy impactor for Near Earth Asteroid deflection mission. J. Astronaut. Sci. 2016, 63, 1–22. [Google Scholar] [CrossRef]
- Sanchez-Torres, A. Propulsive force in an electric solar sail for outer planet missions. IEEE Trans. Plasma Sci. 2015, 43, 3130–3135. [Google Scholar] [CrossRef]
- Huo, M.Y.; Mengali, G.; Quarta, A.A. Optimal planetary rendezvous with an electric sail. Aircr. Eng. Aerosp. Technol. 2016, 88, 515–522. [Google Scholar] [CrossRef]
- Quarta, A.A.; Mengali, G.; Janhunen, P. Electric sail option for cometary rendezvous. Acta Astronaut. 2016, 127, 684–692. [Google Scholar] [CrossRef]
- Slavinskis, A.; Janhunen, P.; Toivanen, P.; Muinonen, K.; Penttilä, A.; Granvik, M.; Kohout, T.; Gritsevich, M.; Pajusalu, M.; Sunter, I.; et al. Nanospacecraft fleet for multi-asteroid touring with electric solar wind sails. In Proceedings of the IEEE Aerospace Conference Proceedings, Big Sky, MT, USA, 3–10 March 2018; pp. 1–20. [Google Scholar] [CrossRef]
- Huo, M.Y.; Zhang, G.; Qi, N.; Liu, Y.; Shi, X. Initial trajectory design of electric solar wind sail based on finite Fourier series shape-based method. IEEE Trans. Aerosp. Electron. Syst. 2019, 55, 3674–3683. [Google Scholar] [CrossRef]
- Huo, M.Y.; Mengali, G.; Quarta, A.A. Electric sail thrust model from a geometrical perspective. J. Guid. Control Dyn. 2018, 41, 735–741. [Google Scholar] [CrossRef]
- Li, G.; Zhu, Z.H.; Du, C.; Meguid, S.A. Characteristics of coupled orbital-attitude dynamics of flexible electric solar wind sail. Acta Astronaut. 2019, 159, 593–608. [Google Scholar] [CrossRef]
- Zhao, C.; Huo, M.Y.; Qi, J.; Cao, S.; Zhu, D.; Sun, L.; Sun, H.; Qi, N. Coupled attitude-vibration analysis of an E-sail using absolute nodal coordinate formulation. Astrodynamics 2020, 4, 249–263. [Google Scholar] [CrossRef]
- Du, C.; Zhu, Z.H.; Li, G. Analysis of thrust-induced sail plane coning and attitude motion of electric sail. Acta Astronaut. 2021, 178, 129–142. [Google Scholar] [CrossRef]
- Du, C.; Zhu, Z.H.; Kang, J. Attitude control and stability analysis of electric sail. IEEE Trans. Aerosp. Electron. Syst. 2022. [Google Scholar] [CrossRef]
- Bassetto, M.; Mengali, G.; Quarta, A.A. Thrust and torque vector characteristics of axially-symmetric E-sail. Acta Astronaut. 2018, 146, 134–143. [Google Scholar] [CrossRef]
- Bassetto, M.; Mengali, G.; Quarta, A.A. Attitude dynamics of an electric sail model with a realistic shape. Acta Astronaut. 2019, 159, 250–257. [Google Scholar] [CrossRef]
- Bassetto, M.; Mengali, G.; Quarta, A.A. Stability and control of spinning E-sail in heliostationary orbit. J. Guid. Control Dyn. 2019, 42, 425–431. [Google Scholar] [CrossRef]
- Bassetto, M.; Mengali, G.; Quarta, A.A. E-sail attitude control with tether voltage modulation. Acta Astronaut. 2020, 166, 350–357. [Google Scholar] [CrossRef]
- Mengali, G.; Quarta, A.A.; Aliasi, G. A graphical approach to electric sail mission design with radial thrust. Acta Astronaut. 2013, 82, 197–208. [Google Scholar] [CrossRef]
- Quarta, A.A.; Mengali, G. Analysis of electric sail heliocentric motion under radial thrust. J. Guid. Control Dyn. 2016, 39, 1431–1435. [Google Scholar] [CrossRef]
- Bassetto, M.; Quarta, A.A.; Mengali, G.; Cipolla, V. Spiral trajectories induced by radial thrust with applications to generalized sails. Astrodynamics 2020, 5, 121–137. [Google Scholar] [CrossRef]
- Bassetto, M.; Boni, L.; Mengali, G.; Quarta, A.A. Electric sail phasing maneuvers with radial thrust. Acta Astronaut. 2021, 179, 99–104. [Google Scholar] [CrossRef]
- Fu, B.; Sperber, E.; Eke, F. Solar sail technology—A state of the art review. Prog. Aerosp. Sci. 2016, 86, 1–19. [Google Scholar] [CrossRef]
- Bovesecchi, G.; Corasaniti, S.; Costanza, G.; Tata, M.E. A novel self-deployable solar sail system activated by shape memory alloys. Aerospace 2019, 6, 78. [Google Scholar] [CrossRef]
- Zhang, F.; Gong, S.; Baoyin, H. Three-axes attitude control of solar sail based on shape variation of booms. Aerospace 2021, 8, 198. [Google Scholar] [CrossRef]
- Zou, J.; Li, D.; Wang, J.; Yu, Y. Experimental study of measuring the wrinkle of solar sails. Aerospace 2022, 9, 289. [Google Scholar] [CrossRef]
- McInnes, C.R. Orbits in a generalized two-body problem. J. Guid. Control Dyn. 2003, 26, 743–749. [Google Scholar] [CrossRef][Green Version]
- Niccolai, L.; Bassetto, M.; Quarta, A.A.; Mengali, G. A review of Smart Dust architecture, dynamics, and mission applications. Prog. Aerosp. Sci. 2019, 106, 1–14. [Google Scholar] [CrossRef]
- Yamakawa, H. Optimal radially accelerated interplanetary trajectories. J. Spacecr. Rocket. 2006, 43, 116–120. [Google Scholar] [CrossRef]
- Bassetto, M.; Quarta, A.A.; Mengali, G.; Cipolla, V. Trajectory analysis of a Sun-facing solar sail with optical degradation. J. Guid. Control Dyn. 2020, 43, 1727–1732. [Google Scholar] [CrossRef]
- McInnes, C.R. Solar sail mission applications for non-Keplerian orbits. Acta Astronaut. 1999, 45, 567–575. [Google Scholar] [CrossRef]
- Aliasi, G.; Mengali, G.; Quarta, A.A. Artificial equilibrium points for a generalized sail in the elliptic restricted three-body problem. Celest. Mech. Dyn. Astron. 2012, 114, 181–200. [Google Scholar] [CrossRef]
- Morante, D.; Sanjurjo Rivo, M.; Soler, M. A Survey on Low-Thrust Trajectory Optimization Approaches. Aerospace 2021, 8, 88. [Google Scholar] [CrossRef]
- Vepa, R.; Shaheed, M.H. Optimal Trajectory Synthesis for Spacecraft Asteroid Rendezvous. Symmetry 2021, 13, 1403. [Google Scholar] [CrossRef]
- Shi, J.; Wang, J.; Su, L.; Ma, Z.; Chen, H. A Neural Network Warm-Started Indirect Trajectory Optimization Method. Aerospace 2022, 9, 435. [Google Scholar] [CrossRef]
- Janhunen, P.; Quarta, A.A.; Mengali, G. Electric solar wind sail mass budget model. Geosci. Instrum. Methods Data Syst. 2013, 2, 85–95. [Google Scholar] [CrossRef]

















Publisher’s Note: MDPI stays neutral with regard to jurisdictional claims in published maps and institutional affiliations. |
© 2022 by the authors. Licensee MDPI, Basel, Switzerland. This article is an open access article distributed under the terms and conditions of the Creative Commons Attribution (CC BY) license (https://creativecommons.org/licenses/by/4.0/).
Share and Cite
Quarta, A.A.; Mengali, G.; Bassetto, M.; Niccolai, L. Optimal Circle-to-Ellipse Orbit Transfer for Sun-Facing E-Sail. Aerospace 2022, 9, 671. https://doi.org/10.3390/aerospace9110671
Quarta AA, Mengali G, Bassetto M, Niccolai L. Optimal Circle-to-Ellipse Orbit Transfer for Sun-Facing E-Sail. Aerospace. 2022; 9(11):671. https://doi.org/10.3390/aerospace9110671
Chicago/Turabian StyleQuarta, Alessandro A., Giovanni Mengali, Marco Bassetto, and Lorenzo Niccolai. 2022. "Optimal Circle-to-Ellipse Orbit Transfer for Sun-Facing E-Sail" Aerospace 9, no. 11: 671. https://doi.org/10.3390/aerospace9110671
APA StyleQuarta, A. A., Mengali, G., Bassetto, M., & Niccolai, L. (2022). Optimal Circle-to-Ellipse Orbit Transfer for Sun-Facing E-Sail. Aerospace, 9(11), 671. https://doi.org/10.3390/aerospace9110671

