Next Article in Journal
Ice Cavitation Deicing for Aerospace Applications
Previous Article in Journal
Turbulent Flame Behavior near Blow-Off in Multi-Stage Swirl Combustors: A Hybrid RANS-LES Study
 
 
Font Type:
Arial Georgia Verdana
Font Size:
Aa Aa Aa
Line Spacing:
Column Width:
Background:
Article

Design of a Ramjet-Assisted Shell with Front Intake

by
Kishore Manoharan
*,
Yogeshkumar Velari
and
P. A. Ramakrishna
Department of Aerospace Engineering, Indian Institute of Technology Madras, Chennai 600036, India
*
Author to whom correspondence should be addressed.
Aerospace 2026, 13(3), 215; https://doi.org/10.3390/aerospace13030215
Submission received: 8 October 2025 / Revised: 30 January 2026 / Accepted: 13 February 2026 / Published: 27 February 2026
(This article belongs to the Section Astronautics & Space Science)

Abstract

Artillery shells are usually large-caliber projectiles fired by artillery guns. Present long-range artillery shells use techniques such as the base bleed system to reduce the drag coefficient of the shell, but could only increase the range of the shell by around 20–30%. This paper explores the feasibility of designing a ramjet-propelled artillery shell without altering the gun in its existing form. In this theoretical study, a ramjet propulsion system was attached to a 122 mm artillery shell to constitute a 155 mm artillery shell, an industry standard widely used by armies worldwide. The muzzle velocity of the shell provides sufficient velocity for the efficient operation of the ramjet engine. A front air intake portion is designed for the supersonic flow to ingest a high mass flow rate to the engine’s combustion chamber. Characteristics such as net thrust developed by the engine, combustion efficiency, and its changes to geometry modifications are discussed in this study.

1. Introduction

Extending the range of artillery guns has remained a constant necessity for armies worldwide. The range of an artillery shell can be increased by increasing the muzzle velocity imparted to the shell, decreasing the aerodynamic drag of the shell, or incorporating an active propulsion system into the shell during its flight. The barrel’s length and the gun’s chamber pressure determine the shell’s muzzle velocity. However, increasing any of these parameters may lead to an increase in the weight of the gun, which would negatively affect its mobility on the field.
The aerodynamic drag of the shell can be decreased by the use of a base bleed unit, a widely used technique that uses a gas generator unit at the rear end of the shell. The gas generator fills the gases into the wake region behind the shall during the flight, improving the base pressure and reducing the drag coefficient. However, the range improvement by using a base bleed unit is limited, ranging between 5 to 20% [1]. Another way to enhance the range of an artillery shell is to provide active propulsion to the shell during its flight. A solid rocket motor is being used for this purpose in a few shell designs. However, the use of a solid ramjet is another promising way to propel the shell due to its higher specific impulse over the solid rocket motor. Unlike a solid rocket motor, which carries an oxidizer along with the fuel, a ramjet can use atmospheric air as the oxidizer. The gun provides sufficient high velocity to the shell necessary for the aerodynamic compression in the ramjet intake, making it a suitable choice for this application. This study explores the feasibility of a ramjet-propelled artillery shell without altering the gun in its existing form. In this paper, a theoretical study on an attached ramjet propulsion system to an existing 122 mm artillery shell to constitute a 155 mm artillery shell is carried out. The study investigates further the impact of the ramjet’s burn time on the artillery’s range. Understanding the effects of combustion on the functioning of the inlet and quantifying the net forces on the shell is the prime objective of this theoretical study.

2. Literature Review

Several researchers have carried out studies to understand the inlet and combustion performance of a solid fuel ramjet. Gany [1] analyzed the feasibility of a ramjet-propelled artillery shell. It was concluded in his work that the use of a solid fuel ramjet could enhance the range by 200–300%, which is significantly higher than that of using a base bleed unit. Krishnan et al. [2] analyzed the possibility of bypass control of inlet air to obtain a pseudo-vacuum trajectory throughout the flight. Ran and Mavris [3] suggested the use of a mixed compression method for the intake design velocity above Mach 2 due to its higher pressure recovery compared to that by other methods (Figure 1). Internal compression methods can be prone to boundary layer separation as they have a higher surface area in contact with the incoming flow. A significantly stronger shock could cause boundary layer separation, thus creating unevenly distributed flow. Also, above Mach 2, the external compression method may lead to higher wave drag and internal pressure losses owing to high turning angles.
Despite a number of studies on solid fuel ramjets in hybrid configurations being published [4,5], the configuration has not seen much practical use due to the challenges of achieving sustained combustion of fuel with air. The concept of ducted rockets has been studied extensively as a ramjet variant [6,7] and as a better alternative to the hybrid configuration. Shorter combustion chambers benefit greatly from the complex recirculation flow patterns resulting from two distinct jet streams, as observed by Vanka et al. [6]. Also, Velari et al. [8,9] have also shown that the ramjet with SFRJ configurations has achieved a comparatively lesser range than that of a ducted rocket. The impact of gas generator nozzle holes on fuel–air mixing and combustion efficiency in ducted rocket configuration has been analyzed [10]. It has been found that decreasing the hole radius improves combustion efficiency, but this improvement eventually diminishes.
Figure 1. Pressure recovery for external and mixed intakes [11].
Figure 1. Pressure recovery for external and mixed intakes [11].
Aerospace 13 00215 g001
Thangadurai et al. [12] discussed the effect of combustion on the supersonic inlet system. The effect of heat addition at different modes of operation was analyzed by full engine simulation. Results showed that the terminal shock moves upstream upon heat addition in the combustor. The location of the shock and the shock reflections are affected not only by the geometries of the intake but also by the amount of heat released in the combustor. Comparing air–fuel ratios of 15–20, the lower air–fuel ratio could achieve a higher peak temperature because of the poor combustion at a high air–fuel ratio.
Since the ramjet projectiles are ejected from the barrel at high Mach numbers, conventional hydrocarbon-based fuel cannot provide sensible heat addition over and above the high stagnation inlet conditions. Higher combustion temperatures from a fuel with a higher heat of combustion will result in increased thrust and specific impulse. Due to its high heat of combustion, several researchers have used and studied metalized fuels for ramjet applications. Compared to polymeric fuel, metals release heat at a higher volumetric rate. Among all the metal fuels used, boron has the highest heat of combustion, making it a very desirable fuel for ramjets and ducket rocket configurations [13,14,15]. However, its high boiling and melting points (3931 and 2450 K, respectively) could cause significant ignition and combustion-related problems in the projectile system [16]. Furthermore, a boron-based propulsion system is not recommended because boron is more costly and hazardous than other metals. Using aluminium (Al), ammonium perchlorate (AP), and hydroxyl-terminated polybutadiene (HTPB), Nanda and Ramakrishna [17] developed affordable fuel-rich solid propellants that had energetics similar to boron-based FRPs. To attain high burn rates, a range of catalysts and AP particle sizes was tested. Rathi and Ramakrishna [18] extensively reviewed using aluminium-based fuel-rich propellant for the hypersonic flight test conditions. Yogeshkumar et al. [19] reported a class of propellant based on Al, AP, and HTPB, resulting in zero residue and necessary mechanical strength to withstand gun-launch conditions.

3. Design Considerations

3.1. Design Constraints

To be able to fire the shell without any alterations to the existing gun, the length of the complete shell was kept the same as that of the existing 155 mm shell. The material of the shell was considered to be steel as it is robust enough to withstand harsh working conditions. It shatters into smaller regular fragments after detonation, thus increasing the lethality of the projectile. The dimensions of the 122 mm artillery shell used for the study are given in Figure 2.
While this study primarily focuses on the aerothermodynamic feasibility of the ramjet shell, the structural survival of the projectile under gun-launch conditions is a critical design constraint. A standard 155 mm artillery shell experiences initial gun launch accelerations in the order of 10,000 to 15,000 g upon firing. These extreme loads pose significant structural challenges for the ramjet components, specifically the intake cowl, struts, and the solid-fuel grain. In practical realizations, these challenges are typically addressed through appropriate material selection and structural reinforcement strategies. High-strength steels are commonly employed in gun-launched systems to withstand extreme launch loads, and the same approach has been adopted for this study. An intake cowl thickness of 5 mm is considered to provide necessary structural rigidity against both aerodynamic heating and the initial launch shock. It is acknowledged that increasing this thickness for more structural margins will inevitably increase the structural mass and decrease the intake capture area, for a fixed outside calibre. Any increase in structural mass would result in a corresponding decrease in muzzle velocity for a fixed propellant charge. The sensitivity analysis reported in Section 6 addresses the impact of such a velocity decrement and finds that the system maintains a considerable range advantage even if the launch velocity decreases to a lower Mach number due to increased structural weight. For the propellant grain, mechanically supported configurations—such as a central metallic mandrel or segmented grain designs—can significantly improve survivability under axial acceleration. The outside-to-inside burning grain geometry adopted in the present study inherently provides improved resistance to compressive loading due to the presence of a central metallic rod. A detailed finite element analysis (FEA) to ensure structural integrity remains a subject for future structural optimization studies.

3.2. Ducted Rocket Configuration

Figure 3 shows a schematic of the chosen ducted rocket configuration. The configuration has two combustors, as illustrated in Figure 3. Unlike a classical solid-fuel ramjet, where air passes directly over the grain, this design utilizes a primary gas generator, consisting of fuel-rich propellant. This configuration was selected because the choked flow through the primary nozzle ensures that the fuel mass flow rate remains independent of the secondary chamber pressure and flight altitude. This decoupling is critical for maintaining performance stability as an artillery shell’s trajectory rapidly changes. Studies [8,9] have also shown that the ramjet with SFRJ configurations can achieve a comparatively lesser range than that of a ducted rocket.
The fuel-rich propellant considered in this study is a composition prepared by Rathi [16] and consists of hydroxyl-terminated polybutadiene (HTPB), ammonium perchlorate (AP), aluminum (Al), iron oxide (IO), and polytetrafluoroethylene (PTFE) in the ratio 25:34.65:30:0.35:10. Other properties of this propellant used for the study are discussed later in the paper. The diameter of the nozzles of the primary chamber is fixed at 5.8 mm to achieve a reasonable propellant burn time. The primary chamber pressure P c 1 is given by
P c 1 = C m ˙ f A p
where A p is the primary nozzle throat area in m2, P c 1 is the primary chamber pressure in Pa, C is the characteristic velocity of fuel-rich gases in m/s, and m ˙ f is the mass flow rate of the propellant in kg/s.
The chamber pressure is usually fixed according to the burn rate law to provide the required fuel flow rates, as discussed in Section 5. The major species of gases through the primary chamber nozzles and their characteristic velocity are obtained from Chemical Equilibrium Analyses (CEA) software [21] and are given as input conditions for the computations.

3.3. Air Intake and Muzzle Velocity

The inlet considered here is a front intake, which can capture a higher mass flow rate and provide better pressure recovery. Since the ramp angle of the inlet is fixed by the geometry of a 122 mm shell, achieving maximum pressure recovery becomes unfeasible. The axial distance of the cowl lip from the foremost point of the shell is determined such that the inlet operates at critical conditions (i.e., the oblique shock wave hits the cowl lip) at the design Mach number. The cowl is made 5 mm thick to withstand the structural loads imposed on it. The mass flow rate of air depends on the lateral location of the cowl lip.
The preliminary estimation of the mass of the shell using the design conditions is tabulated in Table 1. Assuming the shell is fired through a 155 mm, 39 caliber gun, the kinetic energy of the ramjet-propelled shell is equated to that of the standard M795 High Explosive projectile (nominal mass 47 kg [22]), corresponding to a reference muzzle velocity of approximately 830 m/s.

4. Computational Considerations

4.1. Boundary Conditions and Grid Independence Studies

Figure 4 shows the dimensions of the shell considered for the computational study. The caliber of the shell (D) is 155 mm. All geometries with the appropriate dimensions were designed using Ansys Spaceclaim 2020R1. As explained earlier, the intake geometry was determined to operate in the critical mode at the design Mach number of 2.6. In-built Ansys meshing 2020R1 was used for meshing operations. The tetrahedral mesh was chosen based on time and computational considerations.
Pressure far-field boundary conditions with imposed temperature and Mach number conditions were chosen as the inlet conditions. Adiabatic walls with standard wall functions are imposed on all the geometry walls, such as the center body and the outer cowl. Pressure outlet conditions with sea level pressure were prescribed as the outlet. Major species obtained from Chemical Equilibrium Analyses (CEA2) software, as explained in Section 3.2, are used to generate the combustion model for the computations. The turbulence model used was the standard k- ϵ model with standard coefficients. Standard simulation conditions are tabulated in Table 2.
For grid independence studies, simulations were carried out in Ansys Fluent for different mesh geometries. For example, for a 15-degree sector with a circular primary nozzle, the results of the grid independence study are given in Figure 5, with the nose of the shell taken as the origin. Refining the mesh from 0.42 million to 0.81 million elements leads to a major improvement in capturing the flow mechanics, as seen by the substantial increase in thrust and efficiency in Table 3. However, refining to 1.55 million elements results in insignificant changes (0.4% in thrust), indicating a grid-independent solution. Furthermore, for the chosen mesh, the boundary-layer first-layer thickness was set to 0.05 mm to satisfy the y + conditions of standard k- ϵ turbulence models with standard wall functions, as shown in Figure 6.

4.2. Combustion Model

Based on the literature, a non-premixed combustion model [23] is used to simulate the combustion in the secondary chamber [24]. This method produces a probability density function (PDF) assuming chemical equilibrium and a Lewis number of one. Because of this, the species equations in this method can be reduced to a single variable conservation of mixture fraction, f. Mixture fraction, f is defined as
f = Z i Z i , ox Z i , fuel Z i , ox
where Z i is the elemental mass fraction for element, i. This combustion model is validated using a ducted rocket system.The geometry and propellant chosen (Figure 7) are identical to those used by Kim and Natan [24] in their research. The objective of this validation was to verify that the current non-premixed combustion model settings could reproduce the theoretical benchmark values established in the literature. The major species of the gases used as the input for the model are tabulated in Table 4. Figure 8 shows the temperature variation for a global air-to-fuel ratio of 5. The inputs to the Chemical Equilibrium Analysis (CEA) and the subsequent CFD model were based on isobaric combustion conditions, with chemical equilibrium. The CFD model further assumes a Lewis number of unity and treats the reaction rates as infinite (equilibrium chemistry). As shown in Figure 9, the equilibrium temperatures obtained by our model closely agree with the theoretical values reported in the reference study. It is noted that Kim and Natan [24] reported their experimental results deviated only within an acceptable error margin from these theoretical predictions due to mixing inefficiencies and heat losses. As this study is primarily a theoretical feasibility analysis, aligning with the theoretical benchmark of the reference case is regarded as a suitable approach to validate the solver settings and reaction chemistry before applying them to the proposed artillery shell geometry.
To evaluate the performance of the secondary combustor, the combustion efficiency ( η c ) is characterized as the ratio of the characteristic velocity obtained from the simulations ( C s i m ) to the theoretically predicted characteristic velocity ( C t h e o ) given by Equation (6):
η c = C s i m C t h e o .

5. Results and Discussions

5.1. Estimation of Intake Mass Flow Rate

Different geometries of different intake capture areas are designed to capture different mass flow rates. Non-premixed combustion model simulations of these geometries are performed to select the optimum intake capture area without mass spillage. An air–fuel ratio of 15 is used for these simulations.
As observed in Figure 10, the mass flow rate of 10.75 kg/s is chosen as there was no mass spillage for an air–fuel ratio of 15. Considering a safety factor, the mass flow rate of 10 kg/s is chosen to design the intake capture area, and a convergent-divergent nozzle of area ratio 2.1 is designed to accommodate the mass flow rate.

5.2. Axisymmetric Analysis

Since the geometry is axisymmetric about the flow direction, the 2D axisymmetric model is designed for further analysis. However, this analysis could not capture important phenomena such as fuel mixing. The axisymmetric assumption forces the solver to treat the discrete fuel nozzles as a continuous annular ring. This configuration creates a film of fuel-rich gas entering the secondary combustor. As evident in the temperature contour (Figure 11), this results in a flow in which combustion is limited to the fuel–air interface, producing a disc of hot air. Consequently, the 2D model significantly underpredicts combustion efficiency compared to the 3D model, where the nozzles are modeled discretely, aiding better mixing.

5.3. Three Dimensional Analysis

A shell model with an eight-primary propellant nozzle diameter of 5.8 mm is designed for three-dimensional geometry analysis, as shown in Figure 12 (case C1). Because of better mixing, a spillage-free flow could only be obtained at AF 25, which also aids in increased burn time. Hence, an air–fuel ratio of 25 is maintained for the rest of the study.

5.4. Effect of the Fuel Flow Direction

The direction of fuel flow has a significant effect on combustion. Hence, it is essential to understand its effects and reach an ideal design for optimum combustion. The optimization of the fuel injection angle is a trade-off between mixing efficiency and intake stability. It is well established in theory that axial injection results in poor mixing due to the absence of cross-flow penetration, leading to incomplete combustion. Therefore, the design goal was to maximise the injection angle to promote mixing without disrupting the inlet flow. The 45-degree configuration (Figure 13) maintains a stable shock system while providing a significant radial velocity component for mixing, while the radial injection of fuel creates a substantial aerodynamic blockage that pushes the terminal shock out of the isolator, resulting in intake unstart and mass spillage (Figure 14). Consequently, the 45-degree angle is selected as the optimum operational limit, balancing mixing requirements with the aerodynamic stability of the front intake.

5.5. Effect of the Number of Primary Nozzles

Simulations are carried out to understand the effect of the number of primary chamber nozzles on the performance of the shell. Hence, a model is designed to have twenty-four primary nozzles (case C2) to compare with the previous model with eight nozzles (case C1). The primary nozzle throat area of the two cases is maintained constant. The total temperature contour of Case C2 is shown in Figure 15. As shown in Table 5, comparing Case C1 (8 nozzles) to Case C2 (24 nozzles), the secondary chamber temperature increased from 1360 K to 1644 K (approximately 21%), while the combustion efficiency improved from 0.830 to 0.893.

5.6. Effect of the Contour of the Primary Nozzle

To understand the effects of the contours of the primary nozzle on combustion, an elliptical primary nozzle in the same area as that of the circular nozzle is compared. Initially, an elliptical nozzle with 6.22% more perimeter than the circular counterpart is used for the analysis (case C3).
The increase in the perimeter of the nozzle supports better combustion. The nozzle throat temperature increases by 2.65%, and the net thrust increases by around 12%, rising from 1848 N (Case C2) to 2069 N (Case C3) as tabulated in Table 5. To understand the effect of the contour further, the perimeter of the elliptical nozzle is increased further while maintaining the area constant (case C4). The perimeter is increased further by around 12%, the nozzle throat temperature is increased by 1.4%, and the net thrust by 5%.
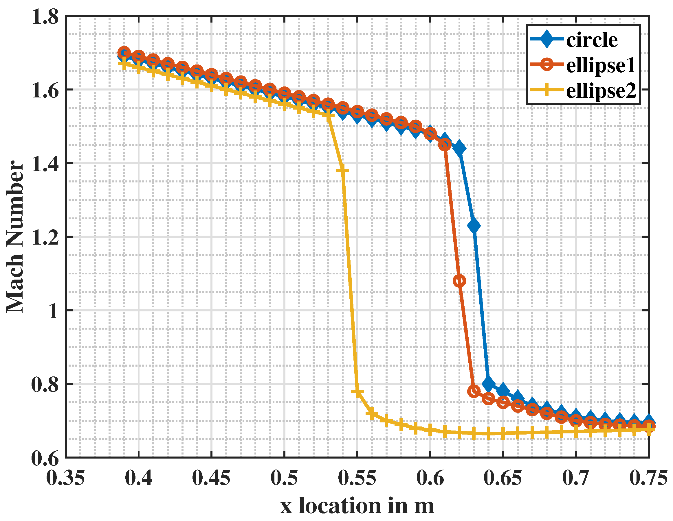
To understand the physical mechanism behind the performance improvement, CO2 mass fraction streamlines, which is a key combustion product and the radial temperature profiles for the three configurations are compared in Figure 16 and Figure 17, respectively. The circular nozzle results in a narrower high-temperature region. However, as the perimeter increases with the elliptical configurations (ellipse1 and ellipse2), the temperature profile broadens significantly. This indicates that the elliptical geometry enhances the entrainment of secondary air into the fuel jet. If one compares the circular nozzle to its elliptical counterpart (ellipse1) and the ellipse with a higher perimeter (ellipse2), we can observe that the terminal shock in the ellipse contour occurs ahead of that in the circular primary nozzle (Figure 18). This can be attributed to the nozzle throat temperature being higher in the elliptical port than in the circular port. Hence, the terminal shock positions itself upstream to accommodate the mass flow through the throat of the CD nozzle.

5.7. Effect of the Orientation of the Primary Nozzle

The elliptical primary nozzle used in Section 5.6 is rotated by 90 degrees to understand the effect of the orientation on the net thrust and combustion efficiency (case C5). The major and minor axis interchange provides a lesser penetration length of the air through the fuel jet for combustion, thus leading to poor combustion efficiency and net thrust compared to the former configuration. Hence, the former orientation used in Section 5.6 is opted for for further analysis.

5.8. Effect of the Struts

For the shell to remain structurally sound and hold the outer casing with the inner shell structure, struts are essential. Three 3 × 25 mm struts are positioned as indicated in Figure 19 to give the required structural integrity as per engineering approximations. These are quite arbitrary and would require a very thorough structural analysis to determine their location and size, which is beyond the scope of the current paper. The addition of struts causes mass flow blockage, and thereby, it is necessary to reduce the inlet capture area. By iterations, it was found that the inlet capture area corresponding to a mass flow rate of 7 kg/s is spillage-free, and hence it is used for further analysis. The addition of a strut promotes turbulence mixing, further increasing the combustion efficiency. As shown in Case C6 (Table 5), this configuration achieved the highest combustion efficiency of 0.913 and a secondary-chamber temperature of 1885 K.

5.9. Off-Design Performance Analysis

Since the artillery shell operates over a wide range of velocities during its trajectory, it is impossible for the shell to operate at its design condition throughout its flight time. Hence, it is necessary to understand the behavior of the shell at off-design conditions. Figure 20 presents the variation in net thrust and intake pressure recovery for flight Mach numbers ranging from 2.4 to 3.0, with the fixed intake geometry designed for Mach 2.6. As observed in Figure 20, the net thrust peaks at the design Mach number of 2.6. At lower Mach numbers (M = 2.4), the thrust remains robust, as the pressure recovery is higher (0.53). However, as the Mach number increases beyond the design point to 3.0, the total pressure recovery drops significantly to 0.32. This reduction is attributed to the strengthening of the shocks and the corresponding increase in shock losses associated with the fixed-geometry intake operating at supercritical conditions. Consequently, the net thrust decreases to approximately 430 N at Mach 3.0. Despite this drop, the engine continues to produce net positive thrust, thereby improving the range even at higher Mach numbers.

6. Trajectory Simulations

A projectile motion simulation was developed using Simulink 2015b, a MATLAB-based software, to obtain the trajectory of the shell with and without active propulsion [9]. Figure 21 shows the block diagram of the algorithm developed. A rigid-body motion block that accounts for time-varying mass properties was used in the projectile motion module to calculate the projectile’s motion and orientation based on the forces and moments acting on it. The forces acting on the shell are gravitational forces, lift, and drag when the ramjet is not employed, and thrust when a ramjet is employed. Since the angle of attack is assumed to be zero, the lift is zero for the projectile.
The International Standard Atmosphere (ISA) was used to model the atmosphere, which provides the variation in pressure, density, and temperature with altitude in Table 6. These data for the specific altitude are transferred to the other modules to calculate the Mach number corresponding to the net force ( F E ) that is estimated using computations when the ramjet is employed (case C6). A constant value of 9.81 m/s2 was assumed for the acceleration due to gravity, ‘g’. When a ramjet is employed, the reduction in mass of the shell due to the burning of propellant is accounted for when calculating the gravitational effects at each time step. As the angle of attack is zero, the drag acting on the shell and thrust produced by a ramjet remain on the same body/wind x-axis. The muzzle velocity of the shell, launch angle (i.e., the angle at which the shell is fired with respect to ground), size and weight of the shell, propellant weight, burn time, and net force as a function of Mach number based on the computations, both for ramjet on and off conditions, are fed into the simulation to obtain the corresponding trajectory. The pressure recovery as a function of Mach number and the secondary chamber pressure P c 2 were also incorporated into the algorithm based on the computations. The variable step, ODE 45 (Dormand-Prince) solver, was used in the Simulink configuration, which uses the six-stage, fifth-order, Runge–Kutta method. The maximum time step was set to be 0.2 s. The simulation stops when the altitude of the shell reaches less than or equal to zero and provides the trajectory of the shell as the output.
Many parameters, including the ramjet’s Mach number, air mass flow rate ( m ˙ a ), air–fuel (A/F) ratio, and specific impulse I s p , are dependent on the atmospheric properties. As a result, a ramjet’s net force largely depends on the altitude at which it operates. Given that there is an intake and exhaust, a shell with a ramjet experiences different drag forces than one without it. The propellant’s characteristics also affect the value of I s p and characteristic velocity, in addition to the A/F ratio. Chemical Equilibrium Analyses (CEA) [21] was incorporated into this algorithm to compute the properties listed above for the ramjet operating in both on-design and off-design scenarios. The I s p obtained from CEA software ( I s p , C E A ) assumes that the air is carried on board the system as an oxidizer. This is converted into ramjet impulse ( I s p , r a m ) using the following Equation (4).
I s p , r a m = A F + 1 I s p , C E A η c A F V i
where V i is the muzzle velocity of the shell in m/s, η c is the combustion efficiency.
Variations in flight altitude result in corresponding changes in the pressure within the secondary combustion chamber. This pressure directly influences the total mass flow rate through the engine nozzle, which possesses a fixed throat geometry throughout the flight. The mass flow ratio (MFR), also known as the capture area ratio, is the ratio of the actual flow rate to the maximum air flow rate that can pass through the intake. To ensure continuity of mass flow, the engine adopts specific strategies depending on the operating regime. Under subcritical conditions, the intake maintains the airflow by spilling a fraction of its maximum mass flow rate. Conversely, during supercritical operation, the engine adjusts the back pressure by adjusting the position of the terminal normal shock wave within the diffuser [25]. At any point of the flight, the continuity equation (Equation (5)) is satisfied by the program.
P c 2 A t c theo η c = m ˙ a ( M F R ) + m ˙ f
The theoretical characteristic velocity, c theo is given by,
c theo = R T c f ( γ )
where, f ( γ ) = γ 2 γ + 1 γ + 1 2 ( γ 1 ) .
A lower MFR number could cause the intake to buzz or enter an unstable state, which would prevent the ramjet from working. As a result, the iteration loop includes a condition that the ramjet ceases operation at an MFR of 0.6 [26]. Also, at every iteration, the primary chamber pressure P c 1 is compared with the secondary chamber pressure P c 2 , and both are made equal when P c 1 goes below P c 2 .
The current simulation assumes a zero angle of attack (AoA) throughout the trajectory, as the range obtained from simulations with zero AoA matches the shell’s experimental range fairly well, with the error within an acceptable margin [9]. In a realistic operational scenario, the projectile would experience non-zero AoA oscillations due to the yaw, crosswinds, and initial launch perturbations. The presence of a non-zero AoA would have significant effects on the system’s performance. First, it would introduce increased wave drag, thereby reducing the net thrust margin and the overall range compared to the idealized projected values presented here. Also, the intake is sensitive to the flow incidence angle. Significant deviations in AoA can lead to reduced air mass flow intake and, in extreme cases, intake unstarts. While spin stabilization provides gyroscopic stability to minimize these oscillations, future comprehensive studies must incorporate full 6-DOF aerodynamics to quantify the trade-offs between flight stability and intake performance.
In the absence of an atmosphere, a projectile can reach its maximum range at an elevation angle of 45 degrees. However, depending on the thrust and the duration of propulsion, the ideal launch angle for a maximum range for a rocket or missile, which has a thrust, is often greater than 45° and ranges from 50° to 60°. In order to find the optimum launch angle, a comparative study is conducted for different launch angles. Figure 22 shows that the shell could achieve a maximum range of 40.4 km at a launch angle of 58 degrees, compared to a range of 24 km for a conventional 155 mm artillery shell.
Given the uncertainties in the estimated muzzle velocity discussed in Section 3, a sensitivity analysis was conducted to understand its impact on the final range in Table 7. The results illustrate the range of muzzle velocity deviations from the design Mach number of 2.6. Even with a significant reduction in muzzle velocity to Mach 2.4, the shell still achieves a range of 37.2 km, which is a substantial improvement over the range of a standard 155 mm projectile. Conversely, if higher launch velocities (Mach 2.8) are achieved, the range extends to 43.1 km. This analysis confirms that the ramjet-assisted shell maintains a clear performance advantage across a realistic envelope of launch conditions.
Given that both the ingested mass flow rate and air drag decrease with altitude, a regressive profile would be a good fit for the burn rate profile of the propellant grain in this particular case. To obtain the same, an outside-to-inside burning grain geometry, as shown in Figure 23, is chosen, with a metal rod diameter of 15 mm. The grain diameter of the propellant D f based on the initial propellant flow rate m ˙ f is calculated by
D f = m ˙ f ρ p π L r ˙
for a known grain length L, propellant density ρ p , and burn rate of the propellant r ˙ . The propellant only takes up 45% of the total volume available for the propellant at an initial flow rate of 0.35 kg/s. To maximize the performance of the shell, simulations have been carried out for various initial propellant flow rates that are feasible given the primary combustor volume that is available, as given in Table 8. The propellant’s volume occupancy goes up as a result of the initial flow rate increase and initial grain diameter increase. The increased volume of propellant further facilitates the increased operating time of the ramjet, thus aiding its performance. As shown in Figure 24, the shell achieves a maximum range of 48.7 km at an initial propellant flow rate of 0.75 kg/s, propellant weight of 2.6 kg and burn time of 13.4 s. Due to varying air–fuel ratio and I s p , C E A , I s p , r a m varies according to Equation (4), and the variation is plotted in Figure 25.
Figure 26 compares the drag vs. time performance of the Extended Range Full Bore with boat tail(ERFB-BT) shell [26] and the ramjet shell in order to understand the trajectory performance better. The initial momentum imparted by the net thrust generated during ramjet over its operating time counterbalances the subsequent surge in drag experienced upon ramjet deactivation. Additionally, for the remainder of its trajectory, the modified shell’s performance is comparable to that of ERFB-BT. This is because the ramjet-powered shell is operating at a far higher altitude than the ERFB-BT shell, thereby experiencing lower drag due to lower atmospheric density.

7. Conclusions

A feasibility study of designing a ramjet-propelled artillery shell without altering the gun in its existing form has been established in this study. The supersonic front intake could ingest a mass flow rate of 7 kg/s, producing a net thrust of around 1200 N. An increase in the number of primary gas generator nozzles from 8 to 24 markedly enhances mixing efficiency, resulting in a 21% rise in secondary chamber temperature and increased combustion efficiency to 89%. Additionally, altering the primary nozzle geometry from a circular to an elliptical shape—thereby increasing the perimeter by 6.22%—yields a 12% improvement in net thrust, thereby augmenting propulsion performance without modifying the flow cross-sectional area. Trajectory analysis indicates that the optimal launch angle for this ramjet-assisted projectile is 58 degrees, corresponding to a maximum range of 40.4 km, which significantly exceeds the 24 km range of conventional 155 mm shells. Sensitivity analysis of the propellant loading parameters demonstrates that increasing the initial propellant flow rate to 0.75 kg/s prolongs the burn duration to 13.4 s, enabling a theoretical maximum range of 48.7 km. This work could be a starting point for several other developments and optimizations that could improve the system.

Author Contributions

Conceptualization, K.M. and P.A.R.; Formal analysis, K.M. and Y.V.; Investigation, K.M.,Y.V. and P.A.R.; Methodology, K.M. and Y.V.; Project administration, P.A.R.; Software, K.M. and Y.V.; Supervision, Y.V. and P.A.R.; Validation, K.M. and Y.V.; Visualization, K.M.; Writing—original draft, K.M.; Writing—review and editing, Y.V. and P.A.R. All authors have read and agreed to the published version of the manuscript.

Funding

This research received no external funding.

Data Availability Statement

The data presented in this study are available on request from the corresponding author.

Acknowledgments

We acknowledge the use of the computing resources at HPCE, IIT Madras. The authors would also like to acknowledge the contribution of Reji and Jabir, Department of Aerospace Engineering, IIT Madras, in this study.

Conflicts of Interest

The authors declare no conflicts of interest.

Abbreviations

The following abbreviations are used in this manuscript:
HTPBHydroxyl-terminated Polybutadiene
APAmmonium Perchlorate
PTFEPolytetrafluoroethylene
CADComputer-Aided Design
FRPFuel-Rich Propellant
AFAir–Fuel Ratio
ISAInternational Standard Atmosphere
MFRMass Flow Ratio
C Characteristic Velocity
CEAChemical Equilibrium Analyses
DOFDegree of Freedom
AoAAngle of Attack
ERFB-BTExtended Range Full Bore-Boat Tail

References

  1. Gany, A. Analysis of gun-launched, solid fuel ramjet projectiles. Int. J. Energ. Mater. Chem. Propuls. 1991, 1, 289–309. [Google Scholar] [CrossRef]
  2. Krishnan, S.; George, P.; Sathyan, S. Design and control of solid-fuel ramjet for pseudovacuum trajectories. J. Propuls. Power 2000, 16, 815–822. [Google Scholar] [CrossRef]
  3. Ran, H.; Mavris, D. Preliminary design of a 2D supersonic inlet to maximize total pressure recovery. In Proceedings of the AIAA 5th ATIO and 16th Lighter-Than-Air Sys Tech. and Balloon Systems Conferences, Arlington, VA, USA, 26–28 September 2005; p. 7357. [Google Scholar]
  4. Deborah, P.P.; Alon, G. Solid Fuel Ramjet Regulation by Means of an Air Division Valve; Technical Report, ISABE 99-7245; ISABE: Indianapolis, IN, USA, 1999. [Google Scholar]
  5. Raghunandan, B.; Ravichandran, E.; Marathe, A. Combustion related to solid-fuel ramjets. J. Propuls. Power 1985, 1, 502–504. [Google Scholar] [CrossRef]
  6. Vanka, S.P.; Craig, R.; Stull, F. Mixing, chemical reaction, and flowfield development in ducted rockets. J. Propuls. Power 1986, 2, 331–338. [Google Scholar] [CrossRef]
  7. Chen, L.; Tao, C. Study on the side-inlet dump combustor of solid ducted rocket with reacting flow. In Proceedings of the 20th Joint Propulsion Conference, Cincinnati, OH, USA, 11–13 June 1984; p. 1378. [Google Scholar]
  8. Yogeshkumar, V.; Rathi, N.; Ramakrishna, P.A. Combustion Analysis of Metalized Fueled Hybrid Ramjet for Active Propulsion of an Artillery Gun Shell. In Proceedings of the European Combustion Meeting, Dubrovnik, Croatia, 18–21 April 2017. [Google Scholar]
  9. Velari, Y.; Ramakrishna, P. Trajectory Analysis of a Solid Fuel Ramjet Propelling an Artillery Shell. J. Aerosp. Sci. Technol. 2020, 72, 132–143. [Google Scholar] [CrossRef]
  10. Zhang, Y.; Wu, Z.; Guo, Y.; Zhang, Z.; Chen, P. Study on the effect of gas injection hole radius on mixing and combustion in solid propellant ducted rockets based on total pressure distribution. Aerosp. Sci. Technol. 2025, 165, 110456. [Google Scholar] [CrossRef]
  11. Johnson, R.W. Handbook of Fluid Dynamics; CRC Press: Boca Raton, FL, USA, 2016. [Google Scholar]
  12. Thangadurai, G.R.S.; Chandran, B.S.; Babu, V.; Sundararajan, T. Numerical Analysis of Integrated Liquid Ramjet Engine. Def. Sci. J. 2008, 58, 327. [Google Scholar] [CrossRef]
  13. Gany, A.; Netzer, D. Fuel performance evaluation for the solid-fueled ramjet. Int. J. Turbo Jet Engines 1985, 2, 157–168. [Google Scholar] [CrossRef]
  14. Mandal, S.; Divvela, R.; Karmakar, S.; Roy, A. Ballistic performance of boron-HTPB fuelled hybrid gas generator-based ducted rockets (HGDR). Aerosp. Sci. Technol. 2025, 170, 111583. [Google Scholar] [CrossRef]
  15. Hashim, S.A.; Mandal, S.; Karmakar, S.; Roy, A.; KD, P.; Nahak, J.; Routary, A.; Mali, A. Impact of iron nanoparticles on boron combustion in a hybrid propellant ducted rocket configuration. Propuls. Power Res. 2025, 14, 465–483. [Google Scholar] [CrossRef]
  16. Nikunj, R. Development of Aluminum Based Fuel-Rich Propellants for Various Aerospace Applications. Ph.D. Thesis, Department of Aerospace Engineering, Indian Institute of Technology, Madras, Chennai, India, 2018. [Google Scholar]
  17. Nanda, J.K.; Ramakrishna, P. Development of AP/HTPB based fuel-rich propellant for solid propellant ramjet. In Proceedings of the 49th AIAA/ASME/SAE/ASEE Joint Propulsion Conference, San Jose, CA, USA, 14–17 July 2013; p. 4171. [Google Scholar]
  18. Rathi, N.; Ramakrishna, P. Attaining hypersonic flight with aluminum-based fuel-rich propellant. J. Propuls. Power 2017, 33, 1207–1217. [Google Scholar] [CrossRef]
  19. Yogeshkumar, V.; Rathi, N.; Ramakrishna, P. Solid Fuel-rich Propellant Development for use in a Ramjet to Propel an Artillery Shell. Def. Sci. J. 2020, 70, 329–335. [Google Scholar] [CrossRef]
  20. Morgan, J.H.; Pittman, J. Projectile and Warhead Identification Guide—Foreign; Defense Intelligence Reference Document, Report no. ngic-1143-782-98; National Ground Intelligence Center, U.S. Army Intelligence and Security Command: Charlottesville, VA, USA, 1997.
  21. Gordon, S.; McBride, B.J. Computer Program for Calculation of Complex Chemical Equilibrium Compositions and Applications. Part 1: Analysis; Technical Report; NASA: Washington, DC, USA, 1994.
  22. General Dynamics Ordnance and Tactical Systems. 155 mm M795 High Explosive Projectile. Technical Brochure, 2019. Available online: https://www.gd-ots.com/wp-content/uploads/2019/06/M795-Brochure.pdf (accessed on 9 July 2025).
  23. Kuo, K.K. Principles of Combustion; John Wiley & Sons, Inc.: Hoboken, NJ, USA, 1986. [Google Scholar]
  24. Kim, S.; Natan, B. Inlet geometry and equivalence ratio effects on combustion in a ducted rocket. J. Propuls. Power 2015, 31, 619–631. [Google Scholar] [CrossRef]
  25. Hill, P.G.; Peterson, C.R. Mechanics and Thermodynamics of Propulsion; Addison-Wesley Publishing Co.: Reading, MA, USA, 1992. [Google Scholar]
  26. Velari, Y. Analysis of a Ramjet Propelled Artillery Shell and Trajectory Simulation. Ph.D. Thesis, Department of Aerospace Engineering, Indian Institute of Technology, Madras, Chennai, India, 2022. [Google Scholar]
Figure 2. Dimensions of OF-462 122 mm shell [20].
Figure 2. Dimensions of OF-462 122 mm shell [20].
Aerospace 13 00215 g002
Figure 3. Schematics of ducted rocket configuration.
Figure 3. Schematics of ducted rocket configuration.
Aerospace 13 00215 g003
Figure 4. Dimensions of the initial configuration for the study [D—155 mm].
Figure 4. Dimensions of the initial configuration for the study [D—155 mm].
Aerospace 13 00215 g004
Figure 5. Grid independence study: Pressure along the axial direction.
Figure 5. Grid independence study: Pressure along the axial direction.
Aerospace 13 00215 g005
Figure 6. Images of the computational mesh of the domain: (a) intake region and (b) combustor and nozzle region.
Figure 6. Images of the computational mesh of the domain: (a) intake region and (b) combustor and nozzle region.
Aerospace 13 00215 g006
Figure 7. Geometry used for combustion model validation [24].
Figure 7. Geometry used for combustion model validation [24].
Aerospace 13 00215 g007
Figure 8. Total temperature contour(XZ plane) for combustion model validation for a global air–fuel ratio of 5.
Figure 8. Total temperature contour(XZ plane) for combustion model validation for a global air–fuel ratio of 5.
Aerospace 13 00215 g008
Figure 9. Equilibrium temperature comparison to validate combustion model.
Figure 9. Equilibrium temperature comparison to validate combustion model.
Aerospace 13 00215 g009
Figure 10. Combustion simulation with different intake air flow rates.
Figure 10. Combustion simulation with different intake air flow rates.
Aerospace 13 00215 g010
Figure 11. m ˙ = 10 kg/s, AF = 15: Total temperature contour for axisymmetric model.
Figure 11. m ˙ = 10 kg/s, AF = 15: Total temperature contour for axisymmetric model.
Aerospace 13 00215 g011
Figure 12. Different primary nozzle port configurations used for the study, illustrated in a 45-degree sector.
Figure 12. Different primary nozzle port configurations used for the study, illustrated in a 45-degree sector.
Aerospace 13 00215 g012
Figure 13. m ˙ = 10 kg/s, AF = 25: Mach number contour of the model with eight circular primary nozzles.
Figure 13. m ˙ = 10 kg/s, AF = 25: Mach number contour of the model with eight circular primary nozzles.
Aerospace 13 00215 g013
Figure 14. Radial flow fuel port: Mach contour.
Figure 14. Radial flow fuel port: Mach contour.
Aerospace 13 00215 g014
Figure 15. m ˙ = 10 kg/s, AF = 25: Total temperature contour of model with twenty-four circular primary nozzles.
Figure 15. m ˙ = 10 kg/s, AF = 25: Total temperature contour of model with twenty-four circular primary nozzles.
Aerospace 13 00215 g015
Figure 16. CO2 mass fraction streamlines for (a) case C2, (b) case C3 and (c) case C4.
Figure 16. CO2 mass fraction streamlines for (a) case C2, (b) case C3 and (c) case C4.
Aerospace 13 00215 g016
Figure 17. Comparison of radial total temperature profiles for different primary nozzle profiles.
Figure 17. Comparison of radial total temperature profiles for different primary nozzle profiles.
Aerospace 13 00215 g017
Figure 18. Mach number along the axial direction-Comparison with different primary nozzle contours.
Figure 18. Mach number along the axial direction-Comparison with different primary nozzle contours.
Aerospace 13 00215 g018
Figure 19. Dimensions of the struts in ramjet casing.
Figure 19. Dimensions of the struts in ramjet casing.
Aerospace 13 00215 g019
Figure 20. Variation in net thrust and pressure recovery with Mach number for the designed geometry.
Figure 20. Variation in net thrust and pressure recovery with Mach number for the designed geometry.
Aerospace 13 00215 g020
Figure 21. Block diagram of 6 DOF trajectory simulations [9].
Figure 21. Block diagram of 6 DOF trajectory simulations [9].
Aerospace 13 00215 g021
Figure 22. Horizontal range of the projectile at different launch angles.
Figure 22. Horizontal range of the projectile at different launch angles.
Aerospace 13 00215 g022
Figure 23. Grain geometry of the fuel-rich propellant housed in the primary combustion chamber.
Figure 23. Grain geometry of the fuel-rich propellant housed in the primary combustion chamber.
Aerospace 13 00215 g023
Figure 24. Horizontal range of the projectile at different propellant flow rates.
Figure 24. Horizontal range of the projectile at different propellant flow rates.
Aerospace 13 00215 g024
Figure 25. Air–fuel ratio and I s p , r a m variation over propellant burn time for an initial fuel-rich propellant mass flow rate of 0.35 kg/s.
Figure 25. Air–fuel ratio and I s p , r a m variation over propellant burn time for an initial fuel-rich propellant mass flow rate of 0.35 kg/s.
Aerospace 13 00215 g025
Figure 26. Drag vs. time comparison of ramjet-assisted shell with conventional ERFB-BT [26].
Figure 26. Drag vs. time comparison of ramjet-assisted shell with conventional ERFB-BT [26].
Aerospace 13 00215 g026
Table 1. Weight estimation of the shell.
Table 1. Weight estimation of the shell.
ComponentWeight (in kg)
122 mm shell21.80
Outer cowl with nozzle15.90
Primary CC2.94
Propellant1.26
Struts0.20
Total42.1
Table 2. Standard conditions for the simulations.
Table 2. Standard conditions for the simulations.
Operating pressure101,325 Pa
Operating inlet total pressure2.08 × 106 Pa
Design Mach number2.6
Operating temperature300 K
Solver typePressure-based
Time frameSteady
Turbulence modelStandard k- ϵ model
Species modelNon-premixed combustion
State relationChemical equilibrium
Pressure–velocity coupling schemeCoupled
Pressure discretizationStandard
Results estimationMass averaged surface integral
Table 3. Grid independence study for a 15-degree sector with key performance parameters.
Table 3. Grid independence study for a 15-degree sector with key performance parameters.
Mesh ConfigurationTotal Elements (Approx.)Sec. Chamber Temp (K)Combustion EfficiencyNet Thrust (N)% Diff (Thrust)
Coarse0.42 million15820.8651710−7.40%
Medium0.81 million16440.8931848-
Fine1.55 million16490.8951856+0.4%
Table 4. Major species and their corresponding mole fractions for combustion model validation.
Table 4. Major species and their corresponding mole fractions for combustion model validation.
SpeciesMole Fraction
Ar 0.00250
CH 4 0.02860
CO 0.09183
CO 2 0.00296
HCN 0.00002
H 2 0.35174
H 2 O 0.01407
NH30.00024
N20.20799
C (graphite)0.30005
Table 5. Results of the computational simulations.
Table 5. Results of the computational simulations.
Case ConfigurationSecondary Chamber Temperature (K)Combustion EfficiencyNet Thrust F E [T-D] (N)
C113600.8301485
C216440.8931848
C316880.8952069
C417120.9032178
C514880.8651277
C618850.9131210
Table 6. Conditions assumed for trajectory calculations.
Table 6. Conditions assumed for trajectory calculations.
Atmosphere modelISA
Initial Mach number2.6
Propellant density ρ p 1680 kg/m3
a (mm/s, at 1bar)0.939
Pressure index, n0.54
Initial propellant flow rate0.35 kg/s
Grain length, L0.18 m
Initial primary chamber pressure P c 1 21.65 bar
Initial burn rate r ˙ 4.94 mm/s
Combustion efficiency0.913
Initial C t h e o 950.6 m/s
Metal rod diameter15 mm
Table 7. Sensitivity analysis of range at different muzzle velocity conditions.
Table 7. Sensitivity analysis of range at different muzzle velocity conditions.
Mach NumberRange (in km)
2.437.2
2.640.4
2.843.1
Table 8. Grain diameter for different initial propellant flow rates.
Table 8. Grain diameter for different initial propellant flow rates.
Initial Propellant Flow Rate (in kg/s)Grain Diameter D f (in mm)Propellant Weight (in kg)Propellant Burn Time (in s)
0.2563.80.918.4
0.3574.51.269.8
0.4583.71.6111
0.5591.81.9412
0.6599.12.2712.6
0.75105.82.6013.4
Disclaimer/Publisher’s Note: The statements, opinions and data contained in all publications are solely those of the individual author(s) and contributor(s) and not of MDPI and/or the editor(s). MDPI and/or the editor(s) disclaim responsibility for any injury to people or property resulting from any ideas, methods, instructions or products referred to in the content.

Share and Cite

MDPI and ACS Style

Manoharan, K.; Velari, Y.; Ramakrishna, P.A. Design of a Ramjet-Assisted Shell with Front Intake. Aerospace 2026, 13, 215. https://doi.org/10.3390/aerospace13030215

AMA Style

Manoharan K, Velari Y, Ramakrishna PA. Design of a Ramjet-Assisted Shell with Front Intake. Aerospace. 2026; 13(3):215. https://doi.org/10.3390/aerospace13030215

Chicago/Turabian Style

Manoharan, Kishore, Yogeshkumar Velari, and P. A. Ramakrishna. 2026. "Design of a Ramjet-Assisted Shell with Front Intake" Aerospace 13, no. 3: 215. https://doi.org/10.3390/aerospace13030215

APA Style

Manoharan, K., Velari, Y., & Ramakrishna, P. A. (2026). Design of a Ramjet-Assisted Shell with Front Intake. Aerospace, 13(3), 215. https://doi.org/10.3390/aerospace13030215

Note that from the first issue of 2016, this journal uses article numbers instead of page numbers. See further details here.

Article Metrics

Article metric data becomes available approximately 24 hours after publication online.
Back to TopTop