Ice Cavitation Deicing for Aerospace Applications
Abstract
1. Introduction
2. ICD Concept and Preliminary Criteria for the Selection of ICD Materials
2.1. Notations
| B | magnetic flux density, T (tesla). |
| Br | remanent magnetic flux density of a permanent magnet, T (tesla). |
| CC | capacitance of an energy-storage capacitor, F. |
| E | elastic modulus, Pa. |
| g | acceleration due to gravity, m/s2. |
| l | length, m. |
| Ltot | total inductance of the capacitor-discharge circuit, H. |
| Msat | Saturation magnetization, A/m. |
| Pcav | water cavitation pressure. |
| Psat | saturation pressure of water vapor. |
| qi | latent heat of ice melting, which is 333 kJ/kg. |
| qw | latent heat of water evaporation. |
| QC | initial energy stored in the capacitor, J. |
| QICD | density of the energy required for ICD (J/m2). |
| Qtot | total density of the energy requirement of an ICD, which includes the circuit losses (J/m2). |
| r | aspect ratio, l/w. |
| Rtot | total serial resistance of the entire power circuit. This includes the resistance (ESR) of the capacitor, switch, metal foil, and lids, Ω. |
| Rm = ρe∙r/tm | resistance of the metal foil, where tm is the material thickness, Ω. |
| Rrest = Rtot − Rm | resistance of all other circuit components, lids, bus bars, ESR of the switch, and capacitor, Ω. |
| tp | thermal pulse length, s. |
| T0 | initial temperature of the ICD, °C. |
| Tm | ice-melting temperature, 0 °C. |
| TICD | maximum (cavitation) temperature of the metal foil before cavitation occurs. TICD = Tevap shown in some figures. |
| Tno_ice | maximum ICD temperature in the absence of ice, °C. |
| vice | maximum ice velocity, m/s. |
| V0 | initial capacitor voltage, V. |
| w | width, m. |
| z | normal to the ICD plane coordinate, m. |
| α | coefficient of thermal expansion (CTE), K−1. |
| γ | CP/CV ratio of water vapor. |
| µ | shear modulus, Pa. |
| µ0 | permeability of vacuum, 4π∙10−7, H/m. |
| ρ | density, kg/m3. |
| ρe | electrical resistivity, Ω∙m. |
| ρv | water vapor density at atmospheric pressure, Pa. |
| ρcav | water vapor density at cavitation pressure, Pa. |
| σ | stress, Pa. |
| σTS | thermal stress, Pa. |
| σyield | yield stress, Pa. |
| maximum temperature difference between two points in a material. |
2.2. Calculations of the ICD Energy Requirement
2.3. Overheating Ice-Free Areas of ICD
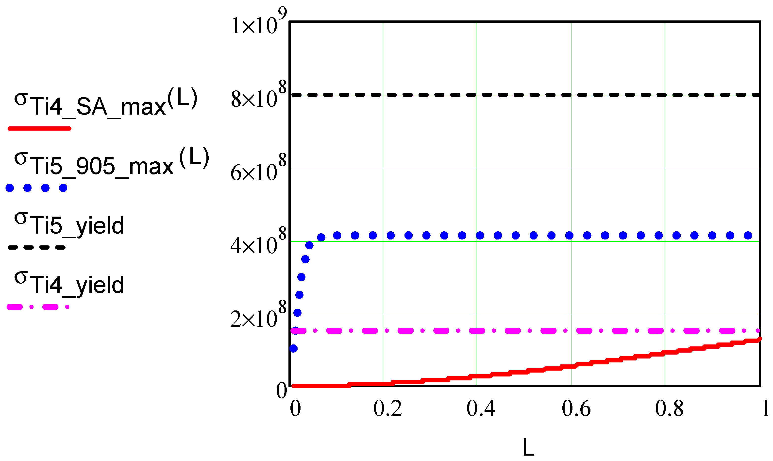
2.4. Thermal Stress of ICD
2.5. Cavitation Pressure of Water and Its Work on Ice Sheet
2.6. Can ICD Break Ice Sheet?
2.7. Effect of Convective Cooling and Aerodynamic Heating
2.8. COMSOL Multiphysics Simulation
2.9. Summary of Materials Analysis
- Invar, tungsten, titanium grade 5, and SS 17-7PH have shear strengths higher than their maximum thermal stress at 400 °C. The foils made of these metals can be used with any HT adhesive analyzed in this study.
- Any metal foil analyzed in this study can be safely attached to a solid base using the two HT silicone adhesives analyzed.
- The main cause of thermal stress in the adhesive is the temperature gradient at the interface with the hot metal foil. Only two HT silicone adhesives, two Cotronics low-expansion silicate-based adhesives, and the composite-material silicate-based LOCTITE 2000 adhesive had strengths higher than their maximum thermal stress at 400 °C.
- Oxidation in air above 400 °C limits the use of tungsten, Invar, and titanium grade 5.
- The best among the metals were SS 17-7PH and Ti grade 4 on Cotronics 1531.
- The best among the adhesives were Cotronics 1531 silicone adhesive and Cotronics 905 and 940LE low-thermal-expansion silicate-based adhesives.
3. Experimental Work
3.1. Metals Selection
3.2. Substrate Materials Selection
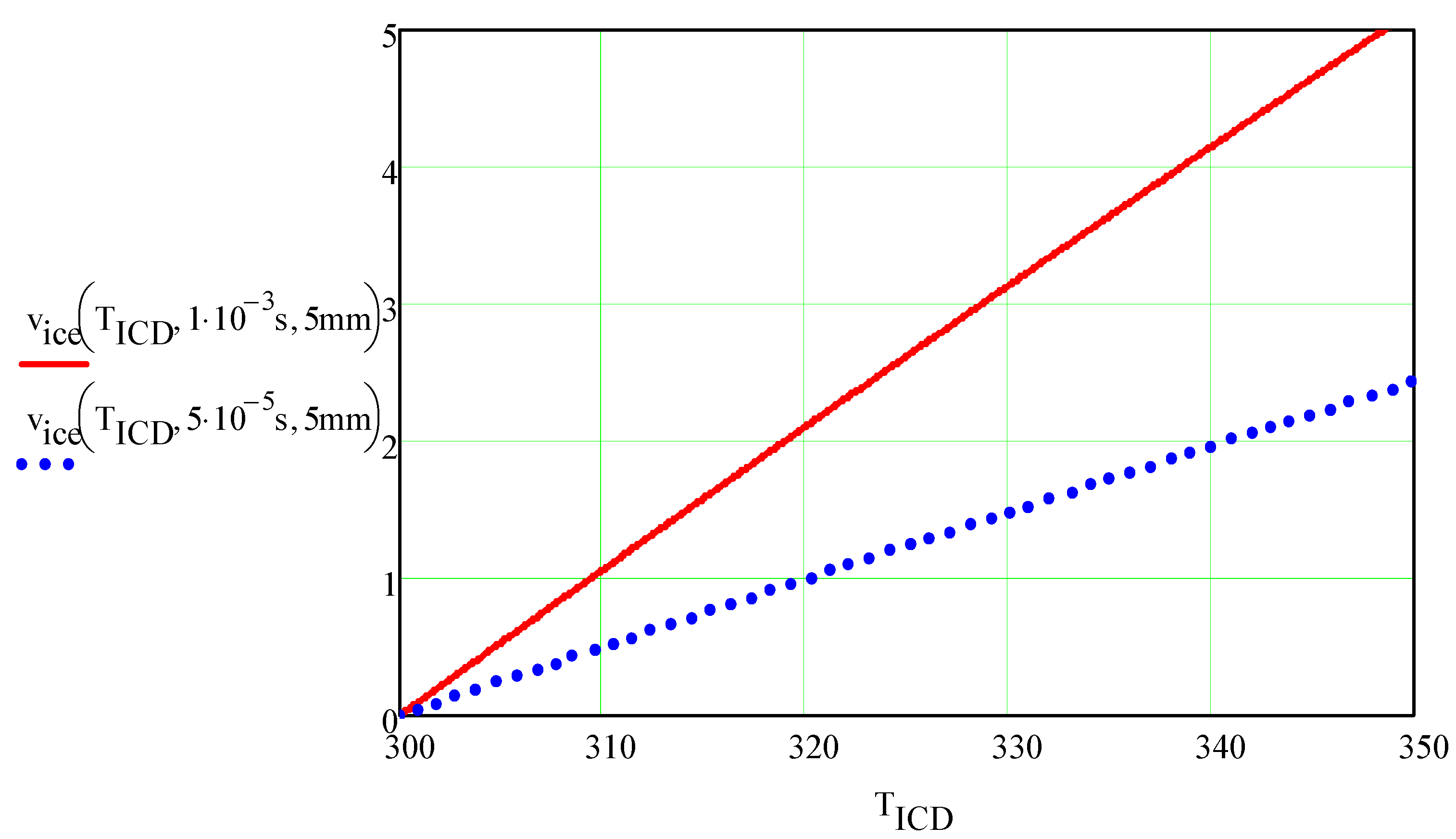
3.3. Measurements of Ice Velocity
3.4. Magnetic Support of Ferromagnetic ICD Foils
3.5. Electronics
3.6. Experimental Results
3.7. Absence of Cavitation Damage (CD)
4. Feasibility of a Full-Scale ICD
5. Conclusions
Supplementary Materials
Funding
Data Availability Statement
Acknowledgments
Conflicts of Interest
Appendix A
| Material | ρ | C | α | ρe | k | E | σyield at 400 °C | σts at 400 °C |
|---|---|---|---|---|---|---|---|---|
| Units | kg/m3 | J/kg∙K | K−5 | 10−8 Ω∙m | W/m∙K | GPa | MPa | MPa |
| Invar, as rolled, Tmax ≤ 400 °C | 8100 | 515 | 0.3 | 82 | 10.2 | 125 | 240–280 | 140 |
| SS 17-7PH, CH900 Tmax = 482 °C | 7800 | 460 | 1.1 | 83 | 16.4 | 204 | 1200 | 780 |
| Ti Grade 5, TH1050 Tmax ≤ 400 °C | 4430 | 526 | 0.85 | 178 | 7 | 114 | 800 | 400 |
| Ti Grade 4 as rolled Tmax = 426 °C | 4540 | 523 | 0.85 | 56 | 17 | 116 | 150 | 360 |
| Tungsten cold rolled Tmax ≤ 400 °C | 19300 | 134 | 0.4 | 5.4 | 163 | 300 | 600–700 | 625 |
| Molybdenum TZM Tmax = 400 °C | 10220 | 217 | 0.5 | 5.3 | 130 | 330 | 650–780 | 700 |
| Inconel 783 Tmax = 700 °C | 7810 | 435 | 11 | 120 | 11.4 | 173 | 750 | 727 |
| SS 304 full hard | 7900 | 450 | 1.7 | 72 | 17.3 | 200 | 140 | 1384 |
| SS 430C | 7740 | 460 | 1.1 | 60 | 26 | 200 | 190 | 864 |
| Nb cold rolled Tmax ≤ 400 °C | 8570 | 268 | 0.7 | 16 | 53 | 103 | 300 | 288 |
| Substrates | ρ | C | α | Tmax | k | E | σyield at 400 °C | σts at 400 °C |
|---|---|---|---|---|---|---|---|---|
| Units | kg/m3 | J/kg∙K | K−5 | °C | W/m∙K | GPa | MPa | Mpa |
| SA, Cotronics | 998 | 1465 | 2 | 427 | 0.3 | 0.0012 | 1.9 | 0.01 |
| SA, Permatex | 1180 | 1050 | 30 | 399 | 0.2 | 0.0014 | ≈5.5 | 0.14 |
| Kapton | 1420 | 1090 | 1.7 | 400 | 0.12 | 2.5 | 234 | 17 |
| Cotronics 905 | 1310 | 800 | 0.054 | 1370 | 1.44 | ≈7.5 | 22 | 0.0016 |
| Cotronics 940LE | 1310 | 800 | 0.072 | 1370 | 0.72 | ≈7.5 | 24 | 0.0021 |
| Zr ceramic flex ribbon | 6000 | 540 | 1.08 | 1000 | 2.7 | 210 | 1000 | 860 |
| Upilex | 1400 | 1100 | 2.0 | ≤450 | 0.13 | 7.5 | 530 | 52 |
| Loctite 2000 | 1540 | NA | 0.7 | 1000 | 1.2 | 0.3 | 2.4 | 0.83 |
| Anodized Ti | ≤4000 | 683 | ≈0.85 | ≥700 | ≈2.3 | ≈40 | ≈3500 | 140 |
References
- Petrenko, V.F. Systems and Methods for Modifying an Ice-To-Object Interface. U.S. Patent 6870139, 2005. [Google Scholar]
- Petrenko, V.F.; Sullivan, C.R.; Kozlyuk, V.; Petrenko, F.V.; Veerasamy, V. Pulse electro-thermal de-icer (PETD). Cold Reg. Sci. Technol. 2011, 65, 70–78. [Google Scholar] [CrossRef]
- Khodakarami, S.; Agarwal, V.; Kabirzadeh, P.; Solecki, A.; Hoque, M.J.; Yang, W.; Stokowski, N.; Jacobs, J.; Chatterji, A.; Lovelace, E.; et al. Aircraft Electrothermal Pulse Deicing. J. Heat Mass Transf. 2025, 147, 012401. [Google Scholar] [CrossRef]
- Caupin, F.; Herbert, E. Cavitation in water: A review. Comptes Rendus Phys. 2006, 7, 1000–1017. [Google Scholar] [CrossRef]
- Caupin, F. Liquid-vapor interface, cavitation, and the phase diagram of water. Phys. Rev. 2005, 71, 051605-1–051605-5. [Google Scholar] [CrossRef] [PubMed]
- Petrenko, V.F. Pulse Systems and Methods for Detaching Ice. U.S. Patent 7703300, 27 April 2010. [Google Scholar]
- Magaletti, F.; Gallo, M.; Casciola, C.M. Water cavitation from ambient to high temperatures. Nat. Portf. Sci. Rep. 2021, 11, 1–10. [Google Scholar] [CrossRef] [PubMed]
- Volkersen, O. Die Nietkraftverteilung in zugbeanspruchten Nietverbindungen mit konstanten Laschenquerschnitten. Luftfahrtfor Schung 1938, 15, 41–47. [Google Scholar]
- Goland, M.; Reissner, E. The stresses in cemented joints. J. Appl. Mech. 1944, 11, A17–A27. [Google Scholar] [CrossRef]
- Hart-Smith, L.J. Adhesive-Bonded Single-Lap Joints; NASA CR-112236; NASA: Washington, DC, USA, 1973. [Google Scholar]
- Incropera, F.P.; DeWitt, D.P. Heat and Mass Transfer, 5th ed.; John Wiley & Sons: Hoboken, NJ, USA, 2002; pp. 924–925. [Google Scholar]
- Fallon, C.; Truyen, E.; Eakins, D.; Pervier, H.; Pervier, M.L.; Lopez, M.A. The effect of accretion temperature on microstructure and bending strength of atmospheric ice. Mater. Today Commun. 2023, 37, 107461. [Google Scholar] [CrossRef]
- Meier, O.; Scholz, D. Handbook Method for Estimating Power Requirements for Electrical De-Icing Systems; Hamburg University of Applied Sciences: Hamburg, Germany, 2010; Available online: https://www.fzt.haw-hamburg.de/pers/Scholz/MOZART/MOZART_PUB_DLRK_10-08-31.pdf (accessed on 3 September 2025).
- SAE. Ice, Rain, Fog, and Frost Protection; Society of Automotive Engineers: Warrendale, PA, USA, 1990. [Google Scholar]
- Isentropic Flow. Available online: https://www.grc.nasa.gov/www/k-12/airplane/isentrop.html (accessed on 3 September 2025).
- Bentley, J.P. Principles of Measurement Systems, 4th ed.; Pearson Education: Harlow, UK, 2005; Chapter 8. [Google Scholar]
- Thomas, O.C.; Cavicchi, R.E.; Tarlov, M.J. Effect of Surface Wettability on Fast Transient Microboiling Behavior. Langmuir 2003, 19, 6168–6177. [Google Scholar] [CrossRef]















| Material | r = l/w | Thickness mm | τp, ms | Qtot, kJ/m2 |
|---|---|---|---|---|
| 17-7PH SS | 0.789 | 0.0194 | 0.061 | 42.9 |
| Nb | 4.8 | 0.035 | 0.072 | 48.25 |
| W | 11.6 | 0.031 | 0.072 | 49.1 |
| Ti | 1.466 | 0.034 | 0.072 | 49.3 |
| Invar | 0.69 | 0.019 | 0.071 | 49.1 |
| SS440C | 1.13 | 0.023 | 0.072 | 49.4 |
| SS304 | 0.922 | 0.023 | 0.072 | 49.3 |
| T0 | −10 [°C] | 263.15 K | Ice initial temperature |
| t_SA | 1 [mm] | 1 mm | Silicone adhesive thickness |
| t_SS | 3 [mil] | 7.62 × 10−5 m | Foil thickness |
| t_ice | 100 [um] | 1 × 10−4 m | Ice thickness |
| dT | 5 [K] | 5 K | Phase transition width |
| V0 | 720 [V] | 720 V | Initial capacitor voltage |
| C | 1.5 [mF] | 0.0015 F | Capacitor capacitance |
| l | 15 [cm] | 0.15 m | SS foil length |
| w | 2 [cm] | 0.02 m | SS foil width |
| R0 | ro_e·l/(w·t_SS) | 0.128 Ω | Foil resistance |
| Rc | 0.0011 [ohm] | 0.0011 Ω | Capacitor ESR |
| Rsw | 0.0009 [ohm] | 9 × 10−4 Ω | SCR (switch) ESR |
| Rw | (0.0077 + 0.003) [ohm] | 0.0107 Ω | Lids and bus bars resistance |
| Lc | 8.4 × 10−7 [H] | 8.4 × 10−7 H | Total circuit inductance |
| Xi1 | Rtot1·sqrt(C/Lc)/2 | 3 | damping factor |
| Q | C·V0^2/(2·l·w) | 130 kJ/m2 | ICD energy density, J/m2 |
| Rtot | ro_e·l/(w·t_SS) + Rc + Rw + Rsw | 0.142 Ω | Total circuit resistance |
| Qevap | Q·R0/Rtot | 108 kJ/m2 | ICD foil energy requirement |
| Foil | Substrate | Size, mm | V0, V | CC, mF | Qexp/Qtheory kJ/m2 | vexp/vtheory m/s |
|---|---|---|---|---|---|---|
| Invar | * Mica | 0.03 × 31.2 × 107 | 550 | 1.5 | 68/68 | ≈1/5 |
| Ti Grade 4 | ** Porcelain | 0.05 × 20 × 158 | 570 | 1.5 | 77/77 | ≥6/5.2 |
| Ti Grade 3 | ** Porcelain | 0.01 × 37 × 75 | 790 | 0.1 | 11.25/11.25 | ≥2/1.4 |
| SS 17-7PH | *** Mica | 0.0762 × 20 × 140 | 760 | 1.5 | 155/155 | ≥8/8 |
| SS 17-7PH | **** | 0.0762 × 15 × 150 | 600 | 1.5 | 120/120 | ≥6/7 |
| SS 17-7PH | CA | 0.0762 × 20 × 140 | 700 | 1.5 | 130/130 | 6.6/6.8 |
| SS 17-7PH | ** Porcelain | 0.0762 × 20 × 150 | 750 | 1.5 | 140/140 | ≥10/10 |
| SS 17-7PH | SA | 0.0762 × 20 × 150 | 720 | 1.5 | 130/130 | ≥4/6 |
| SS 430 | *** Mica | 0.054 × 18 × 91 | 460 | 1.5 | 97/97 | ≈2/1.8 |
| SS 304 | 3M HT tape | 0.0127 × 25.4 × 38 | 314 | 0.383 | 19.6/19.6 | ≈1/2.8 |
| Cu/Kapton | ** Porcelain | 0.009 × 14 × 214 | 400 | 0.735 | 25.5/25.5 | >2/5 |
| Niobium | CA | 0.03 × 12 × 118 | 320 | 1.5 | 54/54 | ≥1/5.8 |
Disclaimer/Publisher’s Note: The statements, opinions and data contained in all publications are solely those of the individual author(s) and contributor(s) and not of MDPI and/or the editor(s). MDPI and/or the editor(s) disclaim responsibility for any injury to people or property resulting from any ideas, methods, instructions or products referred to in the content. |
© 2026 by the author. Licensee MDPI, Basel, Switzerland. This article is an open access article distributed under the terms and conditions of the Creative Commons Attribution (CC BY) license.
Share and Cite
Petrenko, V.F. Ice Cavitation Deicing for Aerospace Applications. Aerospace 2026, 13, 217. https://doi.org/10.3390/aerospace13030217
Petrenko VF. Ice Cavitation Deicing for Aerospace Applications. Aerospace. 2026; 13(3):217. https://doi.org/10.3390/aerospace13030217
Chicago/Turabian StylePetrenko, Victor F. 2026. "Ice Cavitation Deicing for Aerospace Applications" Aerospace 13, no. 3: 217. https://doi.org/10.3390/aerospace13030217
APA StylePetrenko, V. F. (2026). Ice Cavitation Deicing for Aerospace Applications. Aerospace, 13(3), 217. https://doi.org/10.3390/aerospace13030217
