DBO-PSO: Mechanism Modeling Method for the E-ECS of B787 Aircraft Based on Adaptive Hybrid Optimization
Abstract
1. Introduction
2. Mechanistic Model of Aircraft Air-Conditioning System Based on Effectiveness-Number of Transfer Units
2.1. Heat Exchanger
2.2. Compressor
2.3. Turbine
2.4. Condenser
3. DBO-PSO Hybrid Optimization Algorithm
3.1. Algorithm Principle
3.2. Steps and Implementation of the DBO-PSO Hybrid Optimization Algorithm
4. Experimental Results and Analysis
4.1. Construction of a Single Flight Cycle Mechanism Model Under Different Conditions
4.2. Optimization Performance Analysis of DBO-PSO Algorithm
4.3. Comparison Results Between the Single Flight Cycle Mechanism Model Data and the Real Data
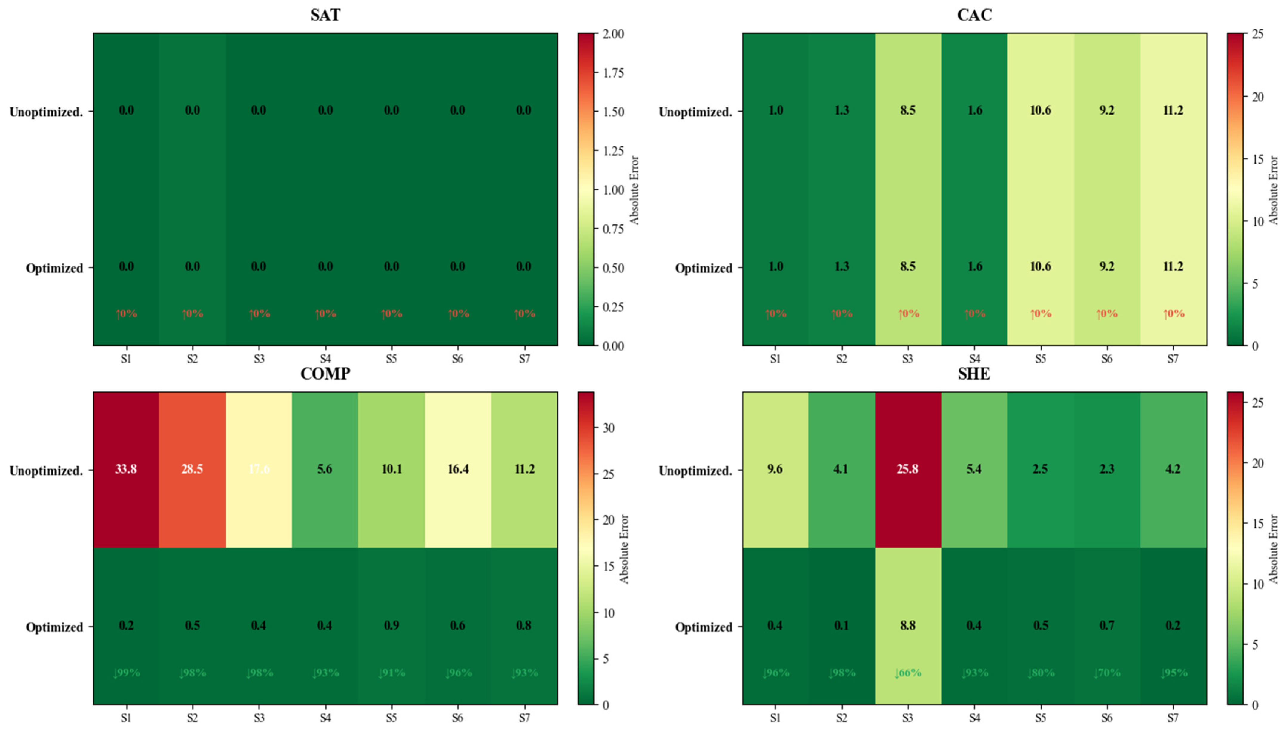
4.4. The Ablation Experiment of DBO-PSO Optimization Method
4.5. Comparison Results Between Multi Flight Cycle Mechanism Model Data and Real QAR Data
5. Conclusions
Author Contributions
Funding
Data Availability Statement
Conflicts of Interest
References
- Luo, Y.; Zhao, H.; Xiong, B. Research on air conditioning performance monitoring and trend prediction of A320 aircraft based on big data analysis. In Proceedings of the 2021 IEEE 3rd International Conference on Civil Aviation Safety and Information Technology (ICCASIT), Changsha, China, 20–22 October 2021; pp. 375–379. [Google Scholar]
- Duan, Z.D.; Sun, H.R.; Wu, C.Y.; Hu, H.T. Multi-objective optimization of the aircraft environment control system based on component-level parameter decomposition. Energy 2022, 245, 123330. [Google Scholar] [CrossRef]
- Boeing Company. 787 Training Student Lab Notebook: Air Conditioning Systems—ECS Book 1 of 5; Boeing Company: Crystal City, VA, USA, 2010; pp. 1–623. [Google Scholar]
- Mäkelä, L.; Aaltonen, J.; Koskinen, K.T.; Mäentausta, K. Model-Based Fault Identification of Fighter Aircraft’s Environmental Control System. In Proceedings of the Aerospace Europe 6th CEAS Conference, Bucharest, Romania, 16–20 October 2017; Volume 265, pp. 1–7. [Google Scholar]
- Liebherr-Aerospace. A319/A320/A321 Environmental Control System-Familiarization Training; Liebherr-Aerospace: Toulouse, France, 2004. [Google Scholar]
- Burroughs, J.D.; Hammond, R.A. Control analysis and design features of EASY5. In Proceedings of the 1983 American Control Conference, San Francisco, CA, USA, 22–24 June 1983; pp. 58–63. [Google Scholar]
- Hoffman, G.L. Environmental control system simulation using EASY5, as applied to the F-14. In Proceedings of the Intersociety Conference on Environmental Systems, San Francisco, CA, USA, 15–17 July 1985; SAE Technical Paper 851817. pp. 1–8. [Google Scholar]
- Vargas, J.V.C.; Bejan, A. Integrative thermodynamic optimization of the environmental control system of an aircraft. Int. J. Heat Mass Transf. 2001, 44, 3907–3917. [Google Scholar] [CrossRef]
- Pérez-Grande, I.; Leo, T.J. Optimization of a commercial aircraft environmental control system. Appl. Therm. Eng. 2002, 22, 1885–1904. [Google Scholar] [CrossRef]
- Tu, Y.; Lin, G. Dynamic simulation of humid air environmental control system. In Proceedings of the 40th International Conference on Environmental Systems, Barcelona, Spain, 11–15 July 2010; pp. 1–10. [Google Scholar]
- Jordan, P.; Schmitz, G. A modelica library for scalable modelling of aircraft environmental control systems. In Proceedings of the 10th International Modelica Conference, Lund, Sweden, 10–12 March 2014; pp. 599–608. [Google Scholar]
- Jiang, H.; Dong, S.; Zhang, H. Energy efficiency analysis of electric and conventional environmental control system on commercial aircraft. In Proceedings of the 2016 IEEE/CSAA International Conference on Aircraft Utility Systems (AUS), Beijing, China, 10–12 October 2016; pp. 1–8. [Google Scholar]
- Poudel, S. Modelling of a Generic Aircraft Environmental Control System in Modelica. Master‘s Thesis, Linköping University, Linköping, Sweden, 2019. [Google Scholar]
- Shu, Y.; Li, Y.J.; Cao, Y.Y.; Hu, J.D. Modeling and simulation research on aircraft air conditioning system. Aeronaut. Comput. Tech. 2019, 49, 72–75. [Google Scholar]
- Moir, I.; Seabridge, A. Aircraft Systems: Mechanical, Electrical, and Avionics Subsystems Integration, 3rd ed.; John Wiley & Sons: Chichester, UK, 2011. [Google Scholar]
- Devadurgam, H.; Rajagopal, S.; Munjulury, R.C. Analytical design and estimation of conventional and electrical aircraft environmental control systems. Int. J. Sustain. Aviat. 2019, 5, 1–14. [Google Scholar]
- Ablanque, N.; Torras, S.; Oliet, C.; Rigola, J. Heat exchangers modelling and calibration for complete ECS architectures simulations. In Proceedings of the 9th European Conference for Aeronautics and Space Sciences (EUCASS), Lille, France, 27 June–1 July 2022; pp. 1–11. [Google Scholar]
- Lu, Q.; Zhu, G.; Zhang, D. Study on performance of closed air circulation system driven by electric compressor. Int. J. Aeronaut. Space Sci. 2023, 24, 294–302. [Google Scholar] [CrossRef]
- Planès, T.; Delbecq, S.; Pommier-Budinger, V.; Bénard, E. Modeling and design optimization of an electric environmental control system for commercial passenger aircraft. Aerospace 2023, 10, 260. [Google Scholar] [CrossRef]
- He, Z.; Zhang, J.; Zheng, F.; Jin, X. Energy-efficiency-oriented optimal control for electrical environmental control system based on advanced neural network. Appl. Therm. Eng. 2023, 219, 119635. [Google Scholar] [CrossRef]
- Fioriti, M.; Di Fede, F. A design model for electric environmental control system in aircraft conceptual and preliminary Design. Int. Rev. Aerosp. Eng. 2023, 16, 58–72. [Google Scholar] [CrossRef]
- Fioriti, M.; Pavan, G.; Caggese, S. Static and dynamic models for the electric environmental control system in initial design. In Proceedings of the AIAA Aviation Forum and ASCEND, Las Vegas, Nevada, 29 July–2 August 2024; pp. 1–17. [Google Scholar]
- Adachi, T.; Takahashi, K.; Ishii, S. Thermodynamic analysis of a new electric environmental control system with energy recovery turbine. J. Therm. Sci. Technol. 2024, 19, 23-00295. [Google Scholar] [CrossRef]
- Celikel, G.; Proelss, K.; Riedel, J.; Schmidt, S.A.; Zandstra, S.J.; Gantus, R.A.; Hankache, W.; Michou, A.; Sanchez, F.; Michaelsen, B. A virtual demonstration of an electrical environmental control system. Eng. Proc. 2025, 90, 1–9. [Google Scholar]
- Han, Y.F.; Wu, Y.Z.; Zhong, L.L.; Bai, Z.X.; Gan, L.Z.; Wu, R.B. Baseline modeling method for aircraft air conditioning system based on improved MSET. China Saf. Sci. J. 2025, 35, 88–95. [Google Scholar]
- Peng, X. Aircraft Environmental Control Systems Modeling for Configuration Selection. Master’s Thesis, Cranfield University, Cranfield, UK, 2013. [Google Scholar]
- Hamilton Sundstrand. B787 cabin air conditioning and temperature control system. Syst. Compon. Descr. Oper. Fam. Train. 2010, 21-00-00, 1–226. [Google Scholar]
- Vargas, J.V.C.; Bejan, A. Thermodynamic optimization of finned crossflow heat exchangers for aircraft environmental control systems. Int. J. Heat Fluid Flow 2001, 22, 657–665. [Google Scholar] [CrossRef]
- Patricelli, L. Innovative Solutions for the Thermal Control of Aeronautic Vehicles. Master’s Thesis, Politecnico di Torino, Turin, Italy, 2013. [Google Scholar]
- Bergman, T.L. Fundamentals of Heat and Mass Transfer; John Wiley & Sons: Hoboken, NJ, USA, 2011. [Google Scholar]
- Nelson, T. 787 Systems and Performance. Boeing Commercial Airplanes Flight Operations Engineering Report. 2005. Available online: https://myhres.com/Boeing-787-Systems-and-Performance.pdf (accessed on 1 January 2005).
- Xue, J.; Shen, B. Dung beetle optimizer: A new meta-heuristic algorithm for global optimization. J. Supercomput. 2023, 79, 7305–7336. [Google Scholar] [CrossRef]
- Zilong, W.; Peng, S. A multi-Strategy dung beetle optimization algorithm for optimizing constrained engineering problems. IEEE Access 2023, 11, 98805–98817. [Google Scholar] [CrossRef]
- Morales-Castañeda, B.; Zaldívar, D.; Cuevas, E.; Fausto, F.; Rodríguez, A. A better balance in metaheuristic algorithms: Does it exist? Swarm Evol. Comput. 2020, 54, 100671. [Google Scholar] [CrossRef]
- Wang, C.B. Research on Optimal Operation of a Combined Cooling, Heating and Power Microgrid Based on an Improved Particle Swarm Algorithm. Master’s Thesis, China University of Mining and Technology, Xuzhou, China, 2022. [Google Scholar]
- Xiao, Y.Z. Research on Feature Selection Method Based on Improved Particle Swarm Optimization Algorithm. Master’s Thesis, Jilin University, Changchun, China, 2022. [Google Scholar]
- Tian, G.; Ren, Y.; Zhou, M. Dual-objective scheduling of rescue vehicles to distinguish forest fires via differential evolution and particle swarm optimization combined algorithm. IEEE Trans. Intell. Transp. Syst. 2016, 17, 3009–3021. [Google Scholar] [CrossRef]
- Wilke, D.N. Analysis of Particle Swarm Optimization Algorithm. Master’s Thesis, University of Pretoria, Pretoria, South Africa, 2005. [Google Scholar]
- Price, K.V. Differential Evolution. In Handbook of Optimization: From Classical to Modern Approach, 1st ed.; Springer: Berlin/Heidelberg, Germany, 2013; pp. 187–214. [Google Scholar]
- Liu, S.; Wang, K.; Wang, L.; Hu, W. Research on air-sending characteristics simulation of air-conditioning system of air-conditioning support equipment for airplane. In Proceedings of the 2019 2nd International Conference on Safety Produce Informatization (IICSPI), Chongqing, China, 28–30 November 2019; pp. 656–658. [Google Scholar]






















| Classification of PACK | Classic Aircraft Models | |
|---|---|---|
| Low-pressure water removal system | Two-wheel | B727, B737-300, B737-500 |
| Three-wheel | A310, B747-400, B737-600 | |
| High-pressure water removal system | Two-wheel | B737-400 |
| Three-wheel | A320, A330, B737MAX, C919 | |
| Four-wheel | A380, B777, B787, MD12 | |
| Number | Component | Parameter | Physical Eaning |
|---|---|---|---|
| 1 | CAC | CAC inlet temperature | |
| 2 | CAC outlet temperature | ||
| 3 | Primary heat exchanger | Primary heat exchanger inlet temperature | |
| 4 | Primary heat exchanger outlet temperature | ||
| 5 | Compressor | Compressor inlet temperature | |
| 6 | Compressor outlet temperature | ||
| 7 | Secondary heat exchanger | Secondary heat exchanger inlet temperature | |
| 8 | Secondary heat exchanger outlet temperature | ||
| 9 | Condenser | Condenser inlet temperature | |
| 10 | Condenser outlet temperature | ||
| 11 | Turbine | Turbine inlet temperature | |
| 12 | Turbine outlet temperature |
| Input Parameter | Measurement Unit | Ground High Temperature (Ground) | Ground Low Temperature (Ground) | FL250 (Cruise) | FL430 (Cruise) |
|---|---|---|---|---|---|
| isentropic efficiency of ACM compressor | - | 0.77 | 0.7 | 0.75 | 0.75 |
| isentropic efficiency of ACM turbine | - | 0.8 | 0.7 | 0.75 | 0.75 |
| cabin air temperature | °C | 27 | 21 | 21 | 25 |
| Environmental Condition | PACK Air Flow Ratio [kg/s] |
|---|---|
| ground high temperature | 0.92 |
| ground low temperature | 0.78 |
| FL250 | 0.48 |
| FL430 | 0.44 |
| Aircraft Type | Aircraft Fleet | Record Time Range | Effective Flight Cycle | Flight Segment | Time of Flight | Data Dimension |
|---|---|---|---|---|---|---|
| B787-9 | B-XXX1 | 2 February 2023–31 January 2024 | 549 | 1728 | 43,262 | 4 |
| B-XXX2 | ||||||
| B-XXX3 | ||||||
| B-XXX4 |
| NUM | Mechanism Model Data | Real QAR Data | Real Data Range | Deviation | Mean Absolute Error | Scope Compliance Rate | Abnormal Value Ratio |
|---|---|---|---|---|---|---|---|
| 1 | [−43, 187, 59, 0] | [−43, 188, 59.2, −0.4] | (−60, −40), (150, 190), (0, 80), (−15, 15) | [0, −1, −0.2, 0.4] | 0.4 | 100% | 0% |
| 2 | [−45, 183, 34, −13] | [−45.05, 184.3, 34.5, −13.1] | (−60, −40), (150, 190), (0, 80), (−15, 15) | [0.05, −1.3, −0.5, 0.1] | 0.4875 | 100% | 0% |
| 3 | [−50, 173, 14, −10] | [−50, 164.5, 14.4, −18.8] | (−60, −40),(150, 190), (0, 80), (−15, 15) | [0, 8.5, −0.4, 8.8] | 4.425 | 100% | 0% |
| 4 | [−56, 161, 49, −15] | [−56, 159.4, 49.4, −15.4] | (−60, −40), (150, 190), (0, 80), (−15, 15) | [0, 1.6, −0.4, 0.4] | 0.6 | 100% | 0% |
| 5 | [−38, 197, 51, −2] | [−38, 186.4, 51.9, −2.5] | (−60, −40), (150, 190), (0, 80), (−15, 15) | [0, 10.6, −0.9, 0.5] | 3 | 100% | 0% |
| 6 | [−44, 185, 22, −12] | [−44, 175.8, 22.6, −12.7] | (−60, −40), (150, 190), (0, 80), (−15, 15) | [0, 9.2, −0.6, 0.7] | 2.625 | 100% | 0% |
| 7 | [−55, 163, 41, −19] | [−55, 151.8, 41.8, −18.8] | (−60, −40), (150, 190), (0, 80), (−15, 15) | [0, 11.2, −0.8, −0.2] | 3.05 | 100% | 0% |
Disclaimer/Publisher’s Note: The statements, opinions and data contained in all publications are solely those of the individual author(s) and contributor(s) and not of MDPI and/or the editor(s). MDPI and/or the editor(s) disclaim responsibility for any injury to people or property resulting from any ideas, methods, instructions or products referred to in the content. |
© 2026 by the authors. Licensee MDPI, Basel, Switzerland. This article is an open access article distributed under the terms and conditions of the Creative Commons Attribution (CC BY) license.
Share and Cite
Han, Y.; Bai, Z.; Chen, F.; Mu, T.; Zhong, L.; Wu, R. DBO-PSO: Mechanism Modeling Method for the E-ECS of B787 Aircraft Based on Adaptive Hybrid Optimization. Aerospace 2026, 13, 195. https://doi.org/10.3390/aerospace13020195
Han Y, Bai Z, Chen F, Mu T, Zhong L, Wu R. DBO-PSO: Mechanism Modeling Method for the E-ECS of B787 Aircraft Based on Adaptive Hybrid Optimization. Aerospace. 2026; 13(2):195. https://doi.org/10.3390/aerospace13020195
Chicago/Turabian StyleHan, Yanfei, Zixuan Bai, Fuchao Chen, Tong Mu, Lunlong Zhong, and Renbiao Wu. 2026. "DBO-PSO: Mechanism Modeling Method for the E-ECS of B787 Aircraft Based on Adaptive Hybrid Optimization" Aerospace 13, no. 2: 195. https://doi.org/10.3390/aerospace13020195
APA StyleHan, Y., Bai, Z., Chen, F., Mu, T., Zhong, L., & Wu, R. (2026). DBO-PSO: Mechanism Modeling Method for the E-ECS of B787 Aircraft Based on Adaptive Hybrid Optimization. Aerospace, 13(2), 195. https://doi.org/10.3390/aerospace13020195

