Aerodynamic Effects of the Oblique Angle and the Asymmetric Leading-Edge Sweep on an Oblique-Wing Aircraft
Abstract
1. Introduction
- Minimal aerodynamic center shift. In symmetric variable-sweep wings, increasing the swept-back angle causes both the center of gravity and the aerodynamic center to shift backward, with the aerodynamic center typically displacing farther after than the center of gravity. This differential shift degrades pitch stability. In contrast, the oblique-wing configuration produces negligible movement of either the aerodynamic center or center of gravity during oblique angle rotation, thereby preserving pitch stability across the entire speed ranges.
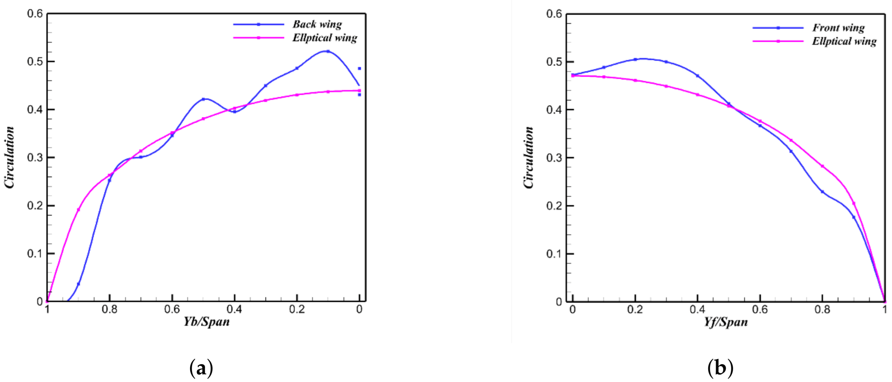
- Preservation of sweep effectiveness in the root region. The pressure distribution on an oblique wing is nearly parallel to the free-stream direction and uniformly distributed along the span, effectively eliminating the severe root stall tendency in symmetric fixed swept wings. This uniformity substantially increases the root region lift coefficient, resulting in a maximum lift-to-drag ratio in the transonic condition that is typically higher than that of comparable conventional variable-sweep or fixed swept-wing configurations [5].
2. Conceptual Design of the Oblique-Wing Aircraft
3. Aerodynamic Performance Analysis
3.1. High-Fidelity Aerodynamic Analytical Method Based on Solving RANS
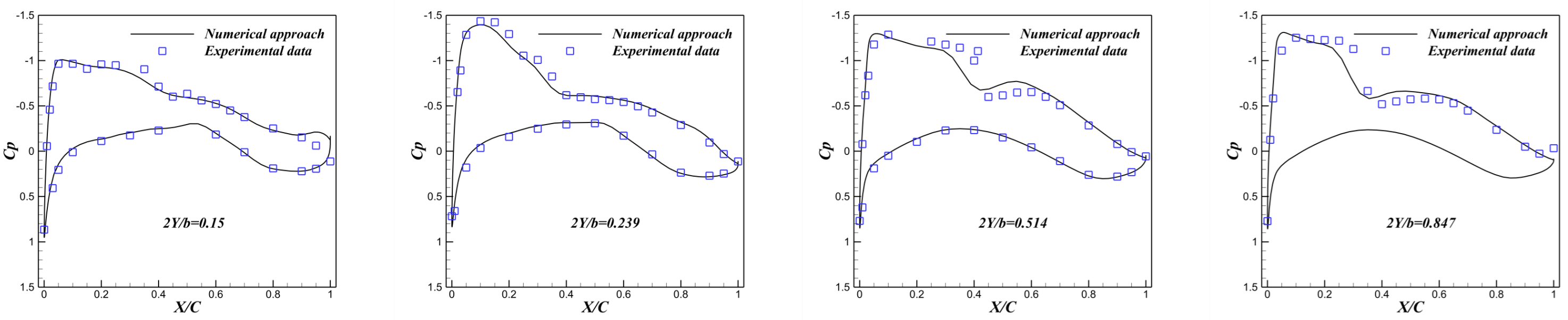
3.2. Validation of RANS Solver
3.3. Mesh Convergence
3.4. Aerodynamic Performance in Different Mach Numbers for Transonic and Supersonic Conditions
3.5. Aerodynamic Performance with Different Oblique Angles of the Aircraft
4. Transonic Aerodynamic Sensitivity to Different Sweep Angle for Forward and After Wing
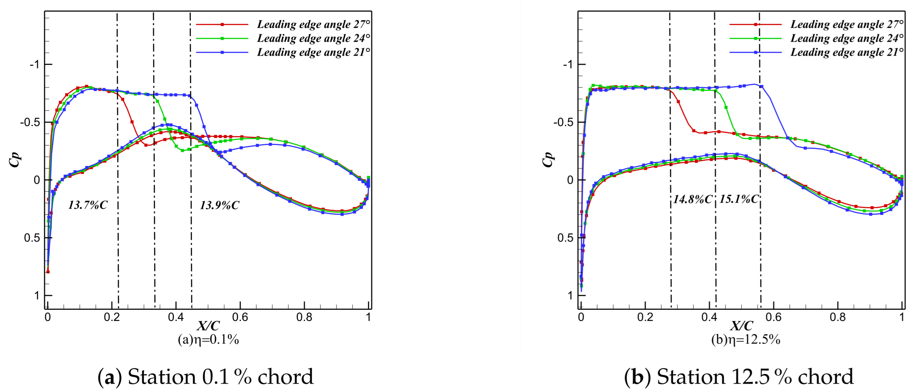
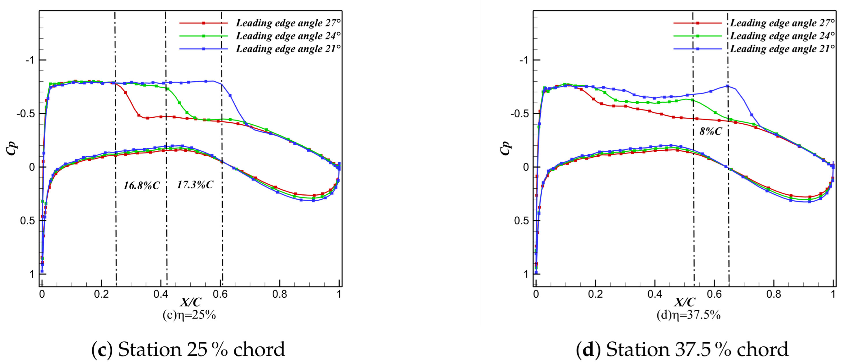
4.1. Aerodynamic Performance of Oblique Wing with Different Forward-Wing Leading-Edge Angle
4.2. Aerodynamic Performance of Oblique Wing with Different After-Wing Leading-Edge Angle at Transonic Condition
5. Conclusions
- (1)
- RANS simulations maximizing lift-to-drag ratio and minimizing the rolling moment value establish optimal oblique angles of 30° for transonic cruise and 60° for supersonic cruise. The rolling-moment curve shifts downward as the oblique angle increases.
- (2)
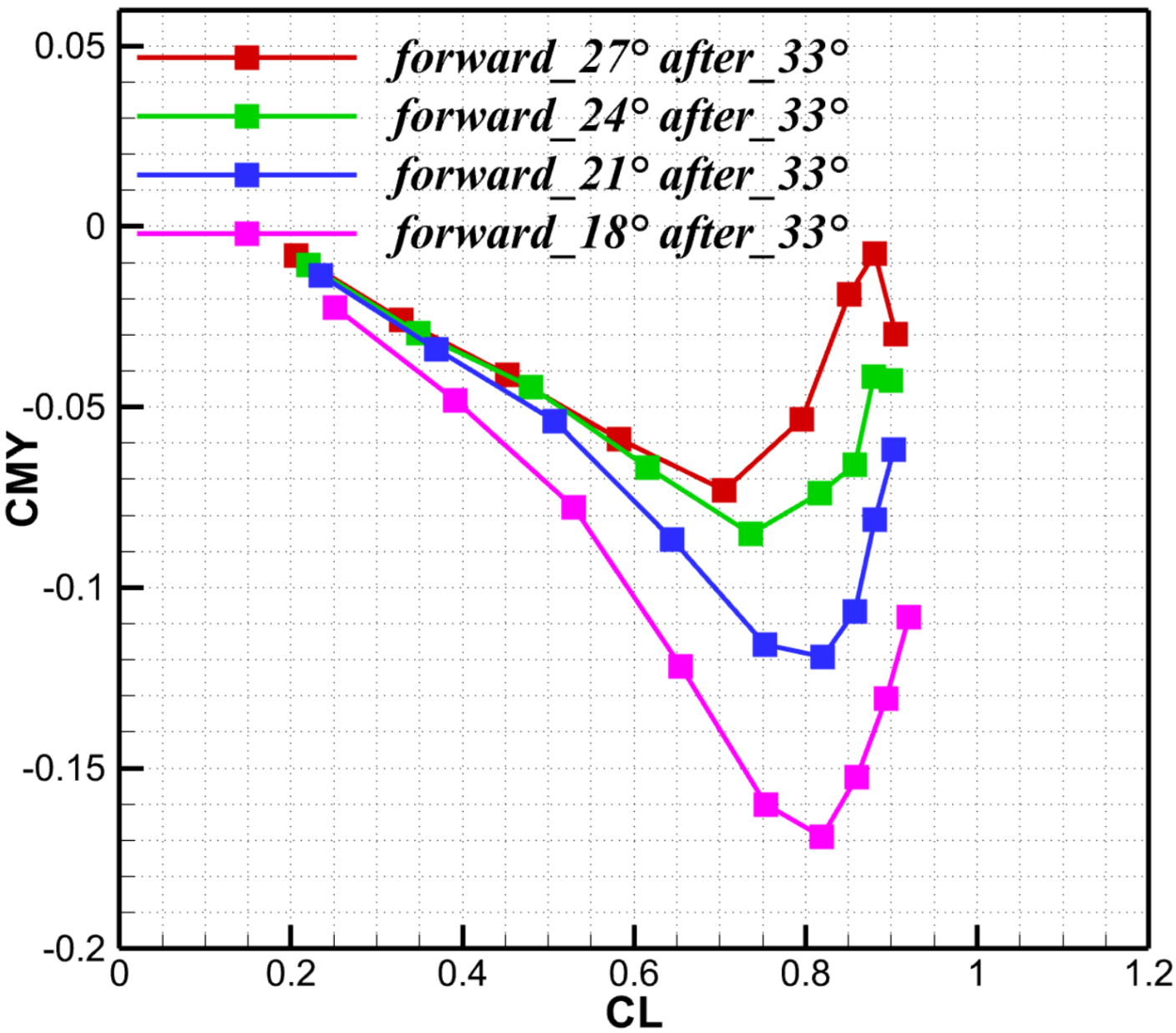
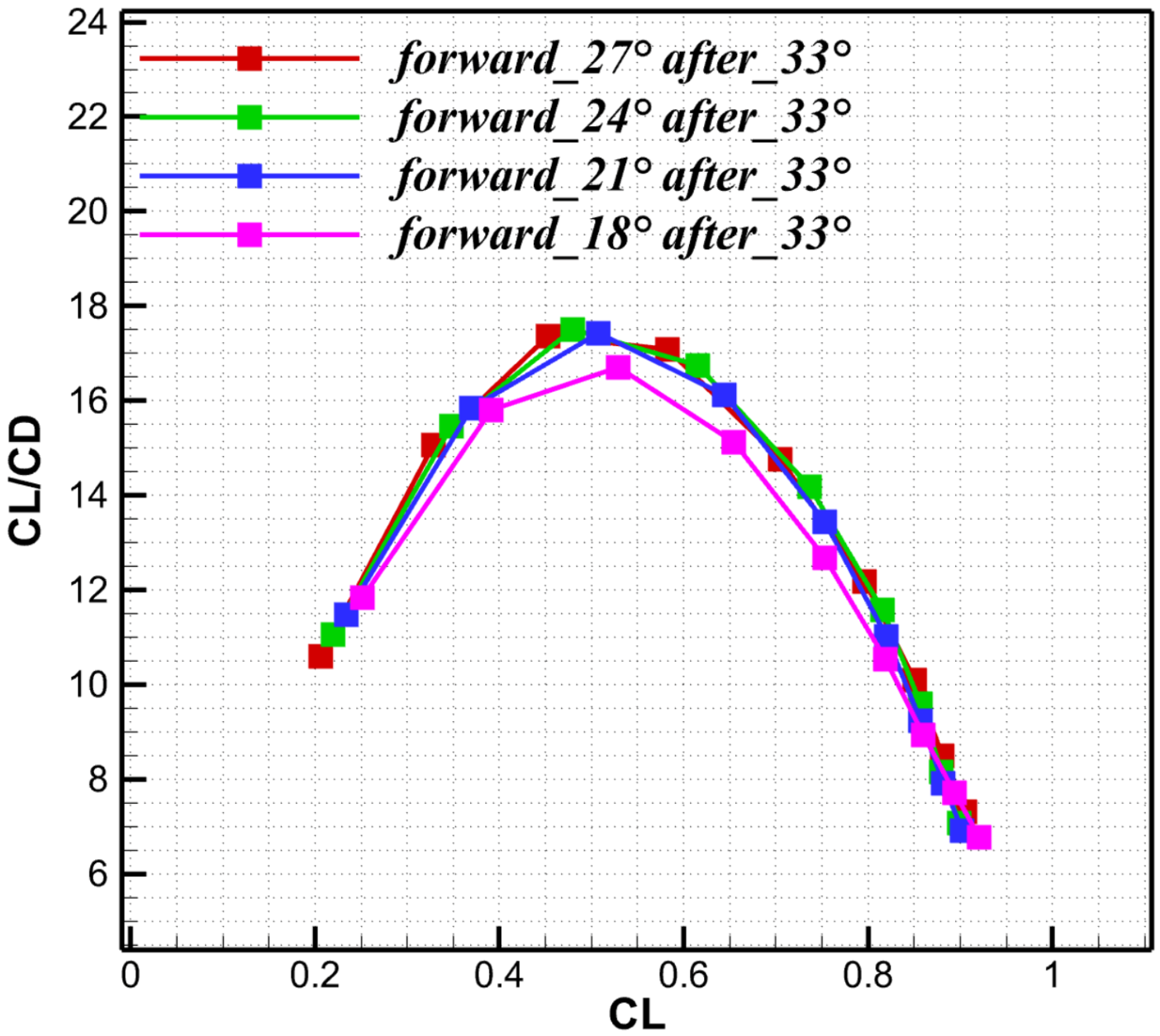
- At transonic condition, the forward wing is more sensitive for the lift-to-drag ratio than the after wing. The aerodynamic center shifts backward as the leading-edge sweep of the forward wing decreases and that of the after wing increases.
- (3)
- The rolling moment curve shifts upward when the leading edge of the forward wing is reduced, and shifts downward when the leading edge of the after wing is increased. Balancing the lift-to-drag ratio and rolling moment, the forward-wing leading edge is set to 24° and the after wing to 33°.
- (4)
- Beyond producing asymmetric surface aerodynamics, the geometric asymmetry also generates an uneven downwash. Transonic downwash produces asymmetric tail loads, resulting in a right rolling moment on the horizontal tail and a left yawing moment on the vertical tail.
Author Contributions
Funding
Data Availability Statement
Conflicts of Interest
References
- Barbarino, S.; Bilgen, O.; Ajaj, R.M.; Friswell, M.I.; Inman, D.J. A review of morphing aircraft. J. Intell. Mater. Syst. Struct. 2011, 22, 823–877. [Google Scholar] [CrossRef]
- Alam, M.; Narenathreyas, K. Oblique wing: Future generation transonic aircraft. Int. J. Mech. Aerospace Ind. Mechatron. Eng. 2014, 8, 887–890. [Google Scholar]
- NELMS, W., Jr. Applications of oblique-wing technology-An overview. In Proceedings of the Aircraft Systems and Technology Meeting, Dallas, TX, USA, 27–29 September 1976; p. 943. [Google Scholar] [CrossRef]
- Jones, R.T. The oblique wing—Aircraft design for transonic and low supersonic speeds. Acta Astronaut. 1977, 4, 99–109. [Google Scholar] [CrossRef]
- Zandsalimy, M. Investigation of Aerodynamic Characteristics and Stability of Oblique Wing Airplanes; The University of British Columbia: Vancouver, BC, Canada, 2021. [Google Scholar]
- Mcmurtry, T.; Sim, A.; Andrews, W. AD-1 oblique wing aircraft program. In Proceedings of the 1st Flight Test Conference, Las Vegas, NV, USA, 11–13 November 1981; p. 2354. [Google Scholar]
- Enns, D.; Bugajski, D.; Klepl, M. Flight control for the F-8 oblique wing research aircraft. IEEE Control Syst. Mag. 1988, 8, 81–86. [Google Scholar] [CrossRef]
- Li, P.; Sobieczky, H.; Seebass, R. A design method for supersonic transport wings. In Proceedings of the 13th Applied Aerodynamics Conference, San Diego, CA, USA, 19–22 June 1995. [Google Scholar] [CrossRef]
- Li, P.; Sobieczky, H.; Seebass, R. Manual Aerodynamic Optimization of an Oblique Wing Supersonic Transport. J. Aircr. 1999, 36, 907–913. [Google Scholar] [CrossRef]
- Hamaki, T. Numerical Study of High L/D Oblique Flying Wing. In Proceedings of the 24th International Congress of the Aeronautical Sciences, Yokohama, Japan, 29 August–3 September 2004; pp. 2–5. [Google Scholar]
- Wintzer, M.; Sturdza, P.; Kroo, I. Conceptual Design of Conventional and Oblique Wing Configurations for Small Supersonic Aircraft. In Proceedings of the 44th AIAA Aerospace Sciences Meeting and Exhibit, Reno, NV, USA, 9–12 January 2012. [Google Scholar] [CrossRef]
- Ueno, A.; Suzuki, K. CFD-Based Shape Optimization of Hypersonic Vehicles Considering Transonic Aerodynamic Performance. In Proceedings of the 46th AIAA Aerospace Sciences Meeting and Exhibit, Reno, Nevada, 7–10 January 2008. [Google Scholar] [CrossRef]
- Ueno, A.; Suzuki, K. Two-dimensional shape optimization of hypersonic vehicles considering transonic aerodynamic performance. Trans. Jpn. Soc. Aeronaut. Space Sci. 2009, 52, 65–73. [Google Scholar] [CrossRef]
- Rütten, M.; Trenker, M.; Rosemann, H. Formation Flight Aerodynamics of Oblique Flying Wing Type Aircrafts. In Proceedings of the 6th European Congress on Computational Methods in Applied Sciences and Engineering (ECCOMAS 2012), Vienna, Austria, 10–14 September 2012. [Google Scholar]
- Deslich, J.; Gunasekaran, S.; Flick, P.; Szczublewski, D. Effects of spanloading and slew angle on an Oblique Flying Wing. In Proceedings of the AIAA Scitech 2020 Forum, Orlando, FL, USA, 6–10 January 2020. [Google Scholar] [CrossRef]
- Zhou, Z.; Huang, J. Auto Sweptback Wing Based on Low Scattering Demand for an Unmanned Aerial Vehicle in Phase Flight. Aerospace 2022, 9, 757. [Google Scholar] [CrossRef]
- Sun, H.; Zhang, H.; Wei, Z.; Li, J. Aerodynamic shape design of oblique wing for transonic/supersonic conditions: Integrating coupled drag and lateral performance using the adjoint method. Aerosp. Sci. Technol. 2026, 168, 110841. [Google Scholar] [CrossRef]
- Larrimer, B.I. Thinking Obliquely: Robert T. Jones, the Oblique Wing, NASA’s AD-1 Demonstrator, and Its Legacy; National Aeronautics and Space Administration: Washington, DC, USA, 2013.
- Morris, S.J. Integrated Aerodynamic and Control System Design of Oblique Wing Aircraft. Ph.D. Thesis, Stanford University, Stanford, CA, USA, 1990. [Google Scholar]
- Schwamborn, D.; Gerhold, T.; Heinrich, R. The DLR TAU-code: Recent applications in research and industry. In Proceedings of the ECCOMAS CFD 2006 CONFERENCE, Egmond aan Zee, The Netherlands, 5–8 September 2006. [Google Scholar]
- Spalart, P.; Allmaras, S. A one-equation turbulence model for aerodynamic flows. In Proceedings of the 30th Aerospace Sciences Meeting and Exhibit, Reno, NV, USA, 6–9 January 1992; p. 439. [Google Scholar]
- Rudnik, R.; Sitzmann, M.; Godard, J.L.; Lebrun, F. Experimental Investigation of the Wing-Body Juncture Flow on the DLR-F6 Configuration in the ONERA S2MA Facility. In Proceedings of the 27th AIAA Applied Aerodynamics Conference, San Antonio, TX, USA, 22–25 June 2009. [Google Scholar] [CrossRef]






























| Spanwise Position 2y/b (%) | Relative Thickness t/c (%) | Twist/° |
|---|---|---|
| −100 | 8 | −2 |
| −34 | 10 | −1 |
| 0 | 12 | −0.2 |
| 34 | 10 | 0.5 |
| 100 | 8 | 1 |
| Parameter | Sref | Cref | Half-Span | Xref |
|---|---|---|---|---|
| SI-unit | 0.1453 m2 | 0.14124 m | 0.5856 m | 0.5049 m |
| Grid Level | L2 | L1 | L0 |
|---|---|---|---|
| Grid number | 32063360 | 4007920 | 500990 |
| 0.47921 | 0.48405 | 0.52276 | |
| 0.02823 | 0.02852 | 0.02803 | |
| K | 16.97 | 16.97 | 18.65 |
| Forward27°, After33° | Forward24°, After33° | Forward21°, After33° | Forward18°, After33° | |
|---|---|---|---|---|
| CMX | −0.006432 | −0.00029051 | 0.006134 | 0.011165 |
| Wing Configuration | Aerodynamic Center (m) | Relative Value (m) |
|---|---|---|
| forward27, after33 | 15.414 | −0.292 |
| forward24, after33 | 15.443 | −0.321 |
| forward21, after33 | 15.425 | −0.302 |
| forward18, after33 | 15.735 | −0.612 |
| Wing Configuration | Aerodynamic Center (m) | Relative Value (m) |
|---|---|---|
| forward27, after30 | 15.373 | −0.250 |
| forward27, after33 | 15.414 | −0.292 |
| forward27, after36 | 15.465 | −0.342 |
Disclaimer/Publisher’s Note: The statements, opinions and data contained in all publications are solely those of the individual author(s) and contributor(s) and not of MDPI and/or the editor(s). MDPI and/or the editor(s) disclaim responsibility for any injury to people or property resulting from any ideas, methods, instructions or products referred to in the content. |
© 2026 by the authors. Licensee MDPI, Basel, Switzerland. This article is an open access article distributed under the terms and conditions of the Creative Commons Attribution (CC BY) license.
Share and Cite
Liu, Z.; Sun, H.; Zhang, H.; Li, J.; Fu, W. Aerodynamic Effects of the Oblique Angle and the Asymmetric Leading-Edge Sweep on an Oblique-Wing Aircraft. Aerospace 2026, 13, 91. https://doi.org/10.3390/aerospace13010091
Liu Z, Sun H, Zhang H, Li J, Fu W. Aerodynamic Effects of the Oblique Angle and the Asymmetric Leading-Edge Sweep on an Oblique-Wing Aircraft. Aerospace. 2026; 13(1):91. https://doi.org/10.3390/aerospace13010091
Chicago/Turabian StyleLiu, Zhuo, Huajun Sun, Heng Zhang, Jie Li, and Weijia Fu. 2026. "Aerodynamic Effects of the Oblique Angle and the Asymmetric Leading-Edge Sweep on an Oblique-Wing Aircraft" Aerospace 13, no. 1: 91. https://doi.org/10.3390/aerospace13010091
APA StyleLiu, Z., Sun, H., Zhang, H., Li, J., & Fu, W. (2026). Aerodynamic Effects of the Oblique Angle and the Asymmetric Leading-Edge Sweep on an Oblique-Wing Aircraft. Aerospace, 13(1), 91. https://doi.org/10.3390/aerospace13010091
