Next Article in Journal
Advanced Implementation of the Asymmetric Distribution Expectation-Maximum Algorithm in Fault-Tolerant Control for Turbofan Acceleration
Previous Article in Journal
Advanced Fiber Optic Sensing Technology in Aerospace: Packaging, Bonding, and Calibration Review
 
 
Font Type:
Arial Georgia Verdana
Font Size:
Aa Aa Aa
Line Spacing:
Column Width:
Background:
Article

Distributed Cooperative Control of Flexible Spacecraft Based on PDE-ODE Coupled Dynamics Model

1
Deep Space Exploration Laboratory, Hefei 230088, China
2
College of Astronautics, Nanjing University of Aeronautics and Astronautics, Nanjing 211106, China
3
Department of Intelligent Equipment, Changzhou College of Information Technology, Changzhou 213164, China
4
Land Satellite Remote Sensing Application Center, Ministry of Natural Resources of China, Beijing 100048, China
*
Author to whom correspondence should be addressed.
These authors contributed equally to this work.
Aerospace 2025, 12(9), 828; https://doi.org/10.3390/aerospace12090828
Submission received: 9 July 2025 / Revised: 7 September 2025 / Accepted: 10 September 2025 / Published: 15 September 2025
(This article belongs to the Section Astronautics & Space Science)

Abstract

With the increasing application of smart-material-based actuators for vibration suppression in flexible spacecraft, there is a growing need for advanced control strategies suited to distributed-parameter systems. This paper proposes a distributed cooperative control (DCC) scheme to address phase inconsistencies in actuator outputs within a decentralized control framework. The piezoelectric actuators embedded in flexible appendages are modeled as a multi-agent system that utilizes local information to improve coordination. A consensus-based cooperative controller is designed to synchronize actuator actions, with closed-loop stability rigorously established via Lyapunov’s direct method. The robustness of the controller is evaluated through Monte Carlo simulations under varying initial conditions. Comparative numerical results demonstrate that the proposed DCC achieves superior performance and energy efficiency over conventional decentralized control, along with inherent fault tolerance due to its distributed topology. Furthermore, the practical implementability of the approach is supported by discrete-time controller validation and automatic code generation, confirming its readiness for real-time embedded deployment. The study highlights the potential of DCC for enhancing vibration suppression in next-generation flexible spacecraft.

1. Introduction

The escalating demands of space missions have imposed rigorous requirements on sensing distance, on-orbit lifespan, and payload accuracy. Simultaneously, there is a notable rise in the use of flexible appendages in cutting-edge spacecraft designs, particularly in large space telescopes [1] and remote sensing satellites [2]. The vulnerability of flexible appendages to vibrations induced by external disturbances presents a significant challenge to maintaining attitude stability. Furthermore, vibrations can also result from rapid attitude maneuvers, orbital adjustments, and other thruster-induced disturbances, further exacerbating the complexity of spacecraft dynamics. If these vibrations are not adequately mitigated, they can lead to structural fatigue, diminished mission precision, and even potential mission failure. For example, the Hubble Space Telescope experienced a decrease in observational accuracy due to thermally induced vibrations, which was subsequently improved to the desired precision through adjustments in the control system [3]. Consequently, addressing vibration suppression in flexible appendages is pivotal to the success of flexible spacecraft missions.
In contemporary modeling practices for flexible spacecraft, discrete dynamical models are frequently employed as the foundation for vibration suppression control. These models are typically derived by discretizing the continuous system using the Galerkin method [4,5], finite element method [6,7], and assumed modes method [8]. Xing focused on spacecraft equipped with bidirectional hinged solar arrays, developing a dynamical model grounded in Kirchhoff plate theory and investigating the natural frequencies and global mode shapes of rigid–flexible coupling using the Rayleigh–Ritz method [9]. Zhang investigated finite-time attitude maneuvering and vibration suppression for flexible spacecraft, addressing external disturbances, inertia uncertainties, and input saturation. The control design incorporated input shaping, a multivariable continuous sliding mode controller, and a continuous compensator [10]. Hasan proposed a finite-time fault-tolerant attitude controller for a flexible spacecraft, employing a modified fast nonsingular terminal sliding mode control accounting for inertia uncertainty and environmental disturbances [11]. A robust H∞ controller was proposed for a flexible spacecraft under disturbances and parameter uncertainties, based on a finite-dimensional dynamic model [12,13]. A method for synthesizing vibration suppression components, including a zero-vibration differentiator and a bang–bang controller, was also proposed for satellites with large flexible appendages [14]. The robust collocated control strategy, based on the distributed network of actuators/sensors and designed within the μ-synthesis framework, successfully enabled active vibration control and improved pointing accuracy in flexible spacecraft, demonstrating enhanced performance over traditional PID controllers in various maneuver scenarios [15].
The vibration control strategies based on the finite-dimensional models inevitably introduce spillover effects. To effectively mitigate these effects, designing controllers based on the distributed parameter model of flexible spacecraft has emerged as a critical research focus. In Ref. [16], a flexible spacecraft was modeled using partial differential equations (PDEs), and a control strategy incorporating a boundary control torque law and a boundary control force law was developed for attitude tracking and vibration reduction. In Ref. [17], a boundary controller was proposed for a flexible spacecraft equipped with multi-sectioned solar panels and elastic connections between the main hub and the solar panels, grounded in PDEs. To address input nonlinearity, asymmetric output constraints, and uncertainties in system parameters, a boundary control scheme was formulated to dampen vibrations and regulate the spacecraft’s attitude utilizing the backstepping technique [18]. For a flexible spacecraft consisting of a rigid central hub and two flexible appendages, a boundary control approach with prescribed performance was introduced to achieve the desired attitude angle while simultaneously mitigating vibrations in the appendages [19]. For the large flexible spacecraft ETS-VIII, a synthesis of a linearly interpolated gain scheduling controller was proposed using its linear parameter-varying (LPV) model [20].
In contrast to boundary control, the deployment of distributed actuators for vibration suppression offers superior fault tolerance and an expanded range of control capabilities. This approach has found extensive application in the development of controllers for distributed parameter models of flexible spacecraft. Taking into account external disturbances, a hybrid dynamic model was established, integrating PDEs with ordinary differential equations (ODEs). Subsequently, a sophisticated vibration control strategy was devised, incorporating both boundary control laws and a distributed control law, to attenuate spacecraft vibrations and achieve the desired attitude [13]. Focusing on flexible spacecraft equipped with a solar array and multi-input distributed piezoelectric actuators, a feedback controller based on ODE–PDEs has been proposed to achieve precise attitude trajectory tracking and slewing [21]. In Ref. [22], the variational method and Hamilton’s principle were employed to derive a distributed parameter model for the asymmetric flexible spacecraft system, and a decentralized controller (DC) was designed based on this model to mitigate spillover effects.
However, the aforementioned work did not account for the influence of phase inconsistency among actuators. Such inconsistencies arise from the spatial distribution of actuators, variations in vibration mode interactions, and time delays caused by differences in distance to the disturbance source. When the phase difference between actuators deviates from 0° or 180°, the output torques mutually affect each other, resulting in a degradation of control performance. Distributed cooperative control (DCC) addresses this issue by integrating control information from neighboring control units to mitigate the detrimental effects of phase inconsistency among actuators. This approach has been widely applied in the suppression of vibrations. In Ref. [9], a strategy, integrating PD feedback and interaction feedback among adjacent control units, was proposed to address the vibration issues in solar power satellites. Ref. [13] introduced a DCC scheme that utilized decentralized sensors and actuators for vibration control in flexible structures with multiple autonomous substructure models. In Ref. [23], DCC was proposed to tackle the vibration suppression problem of flexible satellite solar panels modeled using the agent-based component framework.
While research on vibration suppression in flexible spacecraft using distributed cooperative control (DCC) has demonstrated promising control effectiveness, most existing studies have focused on discrete system models. This paper introduces a consensus coordination term into the vibration controller for flexible spacecraft, conceptualizing the actuators as a multi-agent system operating within a distributed parameter model framework. By leveraging graph theory and consensus theory, we propose a DCC strategy designed to mitigate the detrimental effects of phase inconsistencies among decentralized actuators. The DCC design for the flexible spacecraft’s ODE-PDE coupled dynamics is fundamentally grounded in the boundary control framework of Krstić ([24]), with theoretical foundations in PDE analysis established by Evans ([25]). This approach aims to prevent the degradation of control performance that such inconsistencies can cause, thereby enhancing both control effectiveness and fault tolerance. Furthermore, by addressing spillover effects, this DCC method, built upon a distributed parameter model, is intended to minimize vibrations in flexible appendages.
In summary, the main contributions of this paper are threefold:
  • Innovative PDE-ODE Coupled Modeling: We establish a distributed parameter model for flexible spacecraft with appendages, explicitly integrating PDE-governed elastic dynamics and ODE-based rigid-body motion. This framework overcomes simplification limitations in conventional DC model.
  • Distributed Cooperative Control Synthesis: A novel multi-agent control strategy is proposed, enabling autonomous actuator coordination under actuator failures. Unlike centralized methods, this design achieves higher fault tolerance through real-time reconfiguration.
  • Stability-Guaranteed Gain Design: Rigorous Lyapunov-based stability analysis derives sufficient conditions for control gain parameters, ensuring exponential convergence of the closed-loop system—resolving a critical challenge in nonlinear PDE-ODE control.
The paper is structured as follows: Section 2 introduces the fundamental concepts of graph theory and consensus theory, along with the distributed parameter model for asymmetric flexible spacecraft. In Section 3, we present the matrices relevant to the actuator multi-agent system and propose the DCC strategy. The stability of the closed-loop control system and the conditions for parameter settings are derived using the Lyapunov direct method. Section 4 demonstrates the control performance and fault-tolerant capability of the DCC through two case studies. Finally, Section 5 concludes the paper.

2. Dynamics Modeling

This paper addresses the distributed cooperative control problem for flexible spacecraft governed by coupled ODE-PDE dynamics. The control objective requires simultaneous precision attitude maneuvering and synchronized vibration suppression in flexible appendages through a distributed piezoelectric actuator network. Building upon our prior centralized control framework [22,26], we propose a fully distributed architecture where actuators utilize only local strain/curvature measurements and neighbor communication. Crucially, this approach not only guarantees global stability for both attitude tracking and vibration synchronization under ODE-PDE coupling constraints but also enhances system robustness and fault tolerance. The theoretical advances focus on distributed control synthesis and stability analysis, while adopting the coupled system model from [22,26].

2.1. Basis of Graph Theory

Algebraic graph theory serves as the foundation for the distributed cooperative control of multi-agent systems. In this section, we provide a concise introduction to the fundamental concepts in algebraic graph theory. For a more comprehensive understanding, readers are encouraged to consult the works of scholars such as Godsil ([27]) and Diestel ([28]).
Definition 1: 
The Laplace matrix  L  of the graph   G  is defined as follows:
L = D A = ( l i j ) n × n
where  D n × n represents the weighted in-degree matrix, and A n × n denotes the weighted adjacency matrix, n denotes the number of vertexes in the graph   G .
The elements l i j of the Laplace matrix L n × n satisfy the following expression:
l i i = j = 1 , j i n a i j , i = j l i j = a i j , i j
Therefore, the Laplace matrix L satisfies the following properties: l i j 0 , i j  and  j = 1 n l i j = 0 , i = 1 , 2 , , n . For an undirected graph, L is symmetric; For a directed graph, L may be asymmetric.

2.2. Dynamics Model

The control objective entails executing precise rigid-body attitude maneuvers while maintaining position stability and effectively suppressing vibrations in flexible appendages. To accomplish these objectives, this study is founded upon two fundamental assumptions:
Assumption 1: 
The planar rigid–flexible model intentionally neglects gravitational forces, orbital motion, and three-dimensional dynamics. This simplification is justified for three key reasons: (i) it provides a standard benchmark for isolating fundamental control challenges in PDE-ODE coupled systems; (ii) for typical low-Earth-orbit spacecraft, flexure-induced orbital perturbations are orders of magnitude smaller than the orbital radius, making their influence negligible in control-stability analysis; and (iii) the dominant attitude–vibration coupling is fully retained within this framework, consistent with established PDE-based spacecraft control methodologies [17,19,21].
Assumption 2: 
The spacecraft possesses bilateral appendages with uniform material properties, exhibiting identical stiffness and density.
Assumption 3: 
The system employs decentralized, symmetrically distributed actuators and sensors.
The dynamic model of the flexible spacecraft was established. As illustrated in Figure 1, the asymmetric flexible spacecraft consisted of three components: the central hub, and the right and the left flexible appendages. x 1 O 1 y 1  denotes an orbital frame associated with the spacecraft’s nominal trajectory in the absence of flexible appendage vibrations, while x 2 O 2 y 2 denotes the local rotating reference frame. Additionally, x 3 O 3 y 3 and x 4 O 4 y 4 represent the floating coordinate system of the two appendages. If we disregard the vibration of flexible appendages and their influence on the spacecraft’s orbit, the angle between x 1 O 1 y 1 and x 2 O 2 y 2 directly captures the spacecraft’s attitude variations. The radius, mass and moment of inertia of the central hub are denoted as R , M and J , respectively. The lengths of the right and the left flexible appendages are denoted as L 1 , L 2 , respectively. Furthermore, the masses of the right and the left flexible appendage end loads are M 1 and M 2 , respectively. Elastic deformations of the right and the left flexible appendages are represented by ξ 1 ( x , t ) and ξ 2 ( x , t ) respectively, and θ denotes the attitude angle of the central hub.
For convenience, the symbol (t) will be omitted in the following discussion, such as θ = θ ( t ) . Moreover, the symbols are introduced as follows: ( ) x = ( ) / x , ( ) x x = 2 ( ) / x 2 , ( ) x x x = 3 ( ) / x 3 , ( ) x x x x = 4 ( ) / x 4 , ( ˙ ) = ( ) / t , ( ¨ ) = 2 ( ) / t 2 .
In our previous research, the coupled dynamic equations governing the flexible spacecraft continuum system, described by PDE-ODEs, were derived using Hamilton’s principle [22]. The system’s kinetic energy E k , potential energy E p , and the virtual work δ W done by non-conservative forces are expressed as follows:
E k = 1 2 J θ ˙ 2 + 1 2 M ( X ˙ 2 + Y ˙ 2 ) + 1 2 0 L 1 ρ ( x ) ( x + R ) 2 θ ˙ 2 + 2 ( x + R ) θ ˙ ξ ˙ 1 ( x , t ) + ξ ˙ 1 ( 2 x , t ) + X ˙ 2 + Y ˙ 2 + 2 [ ( x + R ) θ ˙ + ξ ˙ 1 ( x , t ) ] ( X ˙ cos θ Y ˙ sin θ ) d x + 1 2 0 L 2 ρ ( x ) ( x + R ) 2 θ ˙ 2 + 2 ( x + R ) θ ˙ ξ ˙ 2 ( x , t ) + ξ ˙ 2 ( 2 x , t ) + X ˙ 2 + Y ˙ 2 + 2 [ ( x + R ) θ ˙ + ξ ˙ 2 ( x , t ) ] ( X ˙ cos θ Y ˙ sin θ ) d x + 1 2 M 1 ( L 1 + R ) 2 θ ˙ 2 + 2 ( L 1 + R ) θ ˙ ξ ˙ 1 ( L 1 , t ) + ξ ˙ 1 ( 2 L 1 , t ) + X ˙ 2 + Y ˙ 2 + 2 [ ( L 1 + R ) θ ˙ + ξ ˙ 1 ( L 1 , t ) ] ( X ˙ cos θ Y ˙ sin θ ) + 1 2 M 2 ( L 2 + R ) 2 θ ˙ 2 + 2 ( L 2 + R ) θ ˙ ξ ˙ 2 ( L 2 , t ) + ξ ˙ 2 ( 2 L 2 , t ) + X ˙ 2 + Y ˙ 2 + 2 [ ( L 2 + R ) θ ˙ + ξ ˙ 2 ( L 2 , t ) ] ( X ˙ cos θ Y ˙ sin θ )
E p = 1 2 0 L 1 E I ( x ) ξ 1 x x 2 d x + 1 2 0 L 2 E I ( x ) ξ 2 x x 2 d x
δ W = τ d θ + F X d X + F Y d Y + j = 1 N 1 u 1 j d ξ 1 ( x j , t ) + j = 1 N 2 u 2 j d ξ 2 ( x j , t )
where ρ ( x ) is the densities of the right and left flexible appendages, respectively, and E I ( x ) is the bending stiffness of the right and left flexible appendages. X and Y denote the displacement of the central hub’s center of mass in the inertial system along the O X and O Y axes, respectively. τ is the control torque on the central hub; The control forces F X , F Y act on the main rigid body in the corresponding directions. Meanwhile, u i , j represents a distributed control force applied by piezoelectric actuators mounted on the flexible appendages, where the subscript i indicates to which flexible appendage the control force is applied, and the subscript j indicates the position on the flexible appendage where the force acts. i = 1 and i = 2 respectively represent the control force u i , j is applied to the right and the left flexible appendages; j is the actuator index indicating that the control force u i , j is applied at the position x j on the flexible appendages, with N 1 and N 2 being the maximum number of actuators per side.
By substituting the kinetic energy E k , potential energy E p , and virtual work δ W into Hamilton’s equations δ ( E k E p ) d t + δ W d t = 0 , and performing variation and simplification, the dynamic equations of the system are obtained as:
0 = τ J θ ¨ 0 L 1 ρ ( x + R ) 2 θ ¨ d x 0 L 1 ρ ( x + R ) ξ ¨ 1 ( x , t ) d x 0 L 1 ρ ( x + R ) ( Y ¨ cos θ Y ˙ θ ˙ sin θ X ¨ sin θ X ˙ θ ˙ cos θ ) d x 0 L 1 ρ ( x + R ) θ ˙ + ξ ˙ 1 ( x , t ) ( Y ˙ sin θ + X ˙ cos θ ) d x 0 L 2 ρ ( x + R ) 2 θ ¨ d x + 0 L 2 ρ ( x + R ) ξ ¨ 2 ( x , t ) d x + 0 L 2 ρ ( x + R ) ( Y ¨ cos θ Y ˙ θ ˙ sin θ X ¨ sin θ X ˙ θ ˙ cos θ ) d x 0 L 2 ρ ( x + R ) θ ˙ + ξ ˙ 2 ( x , t ) ( Y ˙ sin θ + X ˙ cos θ ) d x M 1 L 1 + R L 1 + R θ ¨ + ξ ¨ 1 L 1 , t M 1 L 1 + R ( Y ¨ cos θ Y ˙ θ ˙ sin θ X ¨ sin θ X ˙ θ ˙ cos θ ) M 1 L 1 + R θ ˙ + ξ ˙ 1 L 1 , t ( Y ˙ sin θ + X ˙ cos θ ) + M 2 L 2 + R L 2 + R θ ¨ + ξ ¨ 2 L 2 , t + M 2 L 2 + R ( Y ¨ cos θ Y ˙ θ ˙ sin θ X ¨ sin θ X ˙ θ ˙ cos θ ) M 2 L 2 + R θ ˙ + ξ ˙ 2 L 2 , t ( Y ˙ sin θ + X ˙ cos θ )
0 = F X M X ¨ M 1 X ¨ M 2 X ¨ ρ L 1 X ¨ ρ L 2 X ¨ + 0 L 1 ρ ( x + R ) θ ˙ + ξ ˙ 1 ( x , t ) θ ˙ cos θ + ρ ( x + R ) θ ¨ + ξ ¨ 1 ( x , t ) sin θ d x + 0 L 2 ρ ( x + R ) θ ˙ + ξ ˙ 2 ( x , t ) θ ˙ cos θ + ρ ( x + R ) θ ¨ + ξ ¨ 2 ( x , t ) sin θ d x + M 1 L 1 + R θ ˙ + ξ ˙ 1 L 1 , t θ ˙ cos θ + M 1 L 1 + R θ ¨ + ξ ¨ 1 L 1 , t sin θ + M 2 L 2 + R θ ˙ + ξ ˙ 2 L 2 , t θ ˙ cos θ + M 2 L 2 + R θ ¨ + ξ ¨ 2 L 2 , t sin θ
0 = F Y M Y ¨ M 1 Y ¨ M 2 Y ¨ ρ L 1 Y ¨ ρ L 2 Y ¨ + 0 L 1 ρ ( x + R ) θ ˙ + ξ ˙ 1 ( x , t ) sin θ θ ˙ ρ ( x + R ) θ ¨ + ξ ¨ 1 ( x , t ) cos θ d x + 0 L 2 ρ ( x + R ) θ ˙ + ξ ˙ 2 ( x , t ) sin θ θ ˙ ρ ( x + R ) θ ¨ + ξ ¨ 2 ( x , t ) cos θ d x + M 1 L 1 + R θ ˙ + ξ ˙ 1 L 1 , t θ ˙ sin θ M 1 L 1 + R θ ¨ + ξ ¨ 1 L 1 , t cos θ + M 2 L 2 + R θ ˙ + ξ ˙ 2 L 2 , t θ ˙ sin θ M 2 L 2 + R θ ¨ + ξ ¨ 2 L 2 , t cos θ
0 = 0 L 1 ρ ( x + R ) θ ¨ + ξ ¨ 1 ( x , t ) d x 0 L 1 E I ξ 1 x x x x d x + j = 1 N 1 u 1 j + 0 L 1 ρ ( Y ¨ cos θ Y ˙ θ ˙ sin θ X ¨ sin θ X ˙ θ ˙ cos θ ) d x
0 = 0 L 2 ρ ( x + R ) θ ¨ + ξ ¨ 2 ( x , t ) d x 0 L 2 E I ξ 2 x x x x d x + j = 1 N 2 u 2 j + 0 L 2 ρ ( Y ¨ cos θ Y ˙ θ ˙ sin θ X ¨ sin θ X ˙ θ ˙ cos θ ) d x
ξ 1 ( 0 , t ) = ξ 2 ( 0 , t ) = 0 ξ 1 x ( 0 , t ) = ξ 2 x ( 0 , t ) = 0 ξ 1 x x L 1 , t = ξ 2 x x L 2 , t = 0 M 1 L 1 + R θ ¨ + ξ ¨ 1 L 1 , t = M 1 ( Y ¨ cos θ Y ˙ θ ˙ sin θ X ¨ sin θ X ˙ θ ˙ cos θ ) + E I ξ 1 x x x L 1 , t M 2 L 2 + R θ ¨ + ξ ¨ 2 L 2 , t = M 2 ( Y ¨ cos θ Y ˙ θ ˙ sin θ X ¨ sin θ X ˙ θ ˙ cos θ ) + E I ξ 2 x x x L 2 , t
where Equations (6)–(10) represent ODE–PDEs describing the dynamics of the system, while boundary conditions are given by Equation (11). The derived dynamics equations clearly reveal the system’s pronounced nonlinearity, stemming from trigonometric functions, integral terms, and higher-order derivatives, with the equations intricately coupled through a combination of ordinary and partial differential equations. The intricate nature of the dynamical equations introduces new challenges and necessitates more sophisticated considerations in the design of the controller.

3. Control Design and Stability Analysis

3.1. Piezoelectric Actuator Multi-Agent and Its Graph

To facilitate the design of cooperative controllers, we consider all piezoelectric actuators on each flexible appendage as a set of graphs, wherein each agent is represented as a vertex, and the communication relationships among agents are depicted as edges. As illustrated in Figure 2, the piezoelectric actuators are categorized into three agent types based on their positions on the flexible appendage: (I) the piezoelectric actuator nearest to the root of the flexible appendage, capable of communicating solely with the right side; (II) the actuator situated in the middle of the flexible appendage, capable of communicating with neighboring actuators; (III) the actuator closest to the end of the flexible appendage, capable of communicating exclusively with the left side. Under these assumptions and definitions, for a flexible appendage containing n piezoelectric actuators, the graph formed by the piezoelectric actuators is an undirected graph.
Assuming that the weights of the edges of each vertex in the graph are all set to 1, the weighted adjacency matrix A N i × N i of the graph can be expressed as:
A = 0 1 0 1 0 1 1 0 0 0
where N i ( i = 1 , 2 ) denotes the number of actuators in the appendage i.
The in-degree matrix D N i × N i is given by:
D = 1 0 0 0 2 0 0 2 0 1
And Laplace matrix L N i × N i is given by:
L = D A = 1 1 0 1 2 1 1 2 0 1

3.2. Distributed Cooperative Controller

In our prior research [22], a decentralized controller was proposed for continuous systems involving ODE-PDEs, with the stability of closed-loop control systems rigorously validated. In this paper, we introduce novel DCC, expanding upon our previous work. These controllers consider the interaction of information among actuators and integrate a consensus coordination term, as outlined below:
τ = k p 1 e 1 k d 1 θ ˙ + E I ( L 1 + R ) ξ 1 x x x ( L 1 , t ) E I ( L 2 + R ) ξ 2 x x x ( L 2 , t ) F X = k p 2 e 2 k d 2 X ˙ E I ξ 1 x x x ( L 1 , t ) sin θ E I ξ 2 x x x ( L 2 , t ) sin θ F Y = k p 3 e 3 k d 3 Y ˙ + E I ξ 1 x x x ( L 1 , t ) cos θ + E I ξ 2 x x x ( L 2 , t ) cos θ u 11 = k p 11 e 11 k d 11 ξ ˙ 1 ( L 1 , t ) + E I ξ 1 x x x ( L 1 , t ) + c 1 , 12 ( ξ 1 ( x 1 , 2 , t ) ξ 1 ( L 1 , t ) ) + γ 1 , 12 ( ξ ˙ 1 ( x 1 , 2 , t ) ξ ˙ 1 ( L 1 , t ) ) u 1 j = k p 1 j e 1 j k d 1 j ξ ˙ 1 ( x j , t ) + c 1 , j , j 1 ( ξ 1 ( x 1 , j , t ) ξ 1 ( x 1 , j 1 , t ) ) + γ 1 , j , j 1 ( ξ ˙ 1 ( x 1 , j , t ) ξ ˙ 1 ( x 1 , j 1 , t ) ) + c 1 , j + 1 , j ( ξ 1 ( x 1 , j + 1 , t ) ξ 1 ( x 1 , j , t ) ) + γ 1 , j + 1 , j ( ξ ˙ 1 ( x 1 , j + 1 , t ) ξ ˙ 1 ( x 1 , j , t ) ) u 1 N 1 = k p 1 N 1 e 1 N 1 k d 1 N 1 ξ ˙ 1 ( x N 1 , t ) + c 1 , N 1 , N 1 1 ( ξ 1 ( x 1 , N 1 , t ) ξ 1 ( x 1 , N 1 1 , t ) ) + γ 1 , N 1 , N 1 1 ( ξ ˙ 1 ( x 1 , N 1 , t ) ξ ˙ 1 ( x 1 , N 1 1 , t ) ) u 21 = k p 21 e 21 k d 21 ξ ˙ 2 ( L 1 , t ) + E I ξ 2 x x x ( L 2 , t ) + c 2 , 12 ( ξ 2 ( x 2 , 2 , t ) ξ 2 ( L 2 , t ) ) + γ 2 , 12 ( ξ ˙ 2 ( x 2 , 2 , t ) ξ ˙ 2 ( L 2 , t ) ) u 2 j = k p 2 j e 2 j k d 2 j ξ ˙ 2 ( x j , t ) + c 2 , j , j 1 ( ξ 1 ( x 1 , j , t ) ξ 1 ( x 1 j 1 , t ) ) + γ 2 , j , j 1 ( ξ ˙ 1 ( x 1 , j , t ) ξ ˙ 1 ( x 1 , j 1 , t ) ) + c 2 , j + 1 , j ( ξ 1 ( x 1 , j + 1 , t ) ξ 1 ( x 1 , j , t ) ) + γ 2 , j + 1 , j ( ξ ˙ 1 ( x 1 , j + 1 , t ) ξ ˙ 1 ( x 1 , j , t ) ) u 2 N 2 = k p 2 N 2 e 2 N 2 k d 2 N 2 ξ ˙ 2 ( x N 2 , t ) + c 2 , N 2 , N 2 1 ( ξ 2 ( x 2 , N 2 , t ) ξ 2 ( x 2 , N 2 1 , t ) ) + γ 2 , N 2 , N 2 1 ( ξ ˙ 2 ( x 2 , N 2 , t ) ξ ˙ 2 ( x 2 , N 2 1 , t ) )
where e 1 = θ θ d ; e 2 = X X d ; e 3 = Y Y d ; e 1 , j = ξ 1 ( x j , t ) ξ 1 d ( x j , t ) ; e 2 , j = ξ 2 ( x j , t ) ξ 2 d ( x j , t ) . θ d is a constant indicating the desired attitude angle; X d and Y d are constants that represent the desired displacement; ξ 1 d and ξ 2 d are the desired elastic deformation of the right and the left flexible appendages, respectively. k p 1 , k p 2 , k p 3 , k d 1 , k d 2 , k d 3 , k p 1 j , k d 1 j ( j = 1 , 2 , N 1 ) and k p 2 j , k d 1 j ( j = 1 , 2 , , N 2 ) are positive constant coefficients. c i , j , j 1 , γ i , j , j 1 denote the position gain and velocity gain of the consensus coordination term, respectively, and c i , j , j 1 = c i , j 1 , j , γ i , j , j 1 = γ i , j 1 , j . The index i = 1 , 2 designates the flexible appendages attached to the actuator, where i = 1 corresponds to the right beam, and i = 2 corresponds to the left beam. In the DCC presented in Equation (15), initial segment signifies the control forces and torques applied to the central hub, while the subsequent parts represent the distributed controllers on the right and left flexible beams, respectively. All state variables required for the control laws in Equation (16) are either directly measurable or derivable through established sensing methods: ξ 1 ( x , t ) , ξ 2 ( x , t ) can be measured using strain gauges (for distributed deformation) and laser displacement sensors (for boundary deflection ξ 1 ( L 1 , t ) , ξ 2 ( L 2 , t ) ); ξ 1 x and ξ 2 x can be acquired via piezoelectric curvature sensors (e.g., PVDF films) or through differentiation of strain gauge signals (applicable to small deformations); ξ 1 x x x , ξ 2 x x x are measurable using embedded force/torque sensors at appendage roots or estimable via strain-rate observers; ξ ˙ 1 ( x , t ) , ξ ˙ 2 ( x , t ) can be computed through real-time backward differentiation of displacement signals with appropriate noise filtering; θ , θ ˙ are obtainable from rotary encoders and tachometers as previously described. Furthermore, the Inertial Measurement Unit (IMU) provides measurements of X , Y and X ˙ , Y ˙ to enable comprehensive state estimation [22]. The implementation feasibility of the proposed DCC algorithm is supported by currently available sensing technologies, such as distributed fiber-optic strain sensors, which have already been validated in aerospace applications [26].
Remark 1:
Practical implementation aspects, such as communication protocols and processor optimization, are well-established in related domains and can be directly applied to the proposed DCC framework. Detailed investigation of these aspects is left for future work.
Expressing the distributed control { u i j } in Equation (15) in matrix form:
u 1 = K p 1 X 1 + K d 1 X ˙ 1 + d 11 c 1 L 1 X 1 γ 1 L 1 X ˙ 1 u 2 = K p 2 X 2 + K d 2 X ˙ 2 + d 21 c 2 L 2 X 2 γ 2 L 2 X ˙ 2
where X 1 = [ ξ 1 ( x 1 , 1 , t ) , ξ 1 ( x 1 , 2 , t ) , , ξ 1 ( x 1 , N 1 , t ) ] T , X 2 = [ ξ 2 ( x 2 , 1 , t ) , ξ 2 ( x 2 , 2 , t ) , , ξ 2 ( x 2 , N 2 , t ) ] T X ˙ 1 = [ ξ ˙ 1 ( x 1 , 1 , t ) , ξ ˙ 1 ( x 1 , 2 , t ) , , ξ ˙ 1 ( x 1 , N 1 , t ) ] T , and X ˙ 2 = [ ξ ˙ 2 ( x 2 , 1 , t ) , ξ ˙ 2 ( x 2 , 2 , t ) , , ξ ˙ 2 ( x 2 , N 2 , t ) ] T represent the position and velocity information of the state vector, respectively. Additionally, K p 1 X 1 + K d 1 X ˙ 1 + d 11 and K p 2 X 2 + K d 2 X ˙ 2 + d 21 denote the DC for the right and left flexible appendages of the continuous system, respectively, encompassing the feedback calibration term and the boundary auxiliary term. Furthermore, K p i = d i a g ( [ k p , i , 1 , k p , i , 2 , , k p , i , N i ] ) and K d i = d i a g ( [ k d , i , 1 , k d , i , 2 , , k d , i , N i ] ) denote the matrix of gain coefficients in the DC; The matrices c 1 = d i a g ( [ c 1 , 1 , 2 , c 1 , 2 , 3 , , c 1 , N 1 , N 1 1 ] ) and c 2 = d i a g ( [ c 2 , 1 , 2 , c 2 , 2 , 3 , , c 2 , N 2 , N 2 1 ] ) denote position gain coefficients in the consensus coordination term within the DCC of the right and left flexible appendages, respectively. Moreover, γ 1 = d i a g ( [ γ 1 , 1 , 2 , γ 1 , 2 , 3 , , γ 1 , N 1 , N 1 1 ] ) and γ 2 = d i a g ( [ γ 2 , 1 , 2 , γ 2 , 2 , 3 , , γ 2 , N 2 , N 2 1 ] ) denote the velocity gain matrices in the consensus coordination term within the DCC of the right and left flexible appendages, respectively. Finally, L 1 and L 2 represent the Laplace matrix of the graph consisting of piezoelectric actuators on the right and left flexible appendages, respectively.
Simplifying the above equation yields:
u 1 = K p 1 c 1 L 1 X 1 + K d 1 γ 1 L 1 X ˙ 1 + d 11 u 2 = K p 2 c 2 L 2 X 2 + K d 2 γ 2 L 2 X ˙ 2 + d 21
In Equation (17), it is evident that the feedback calibration term and the consensus coordination term collectively form the feedback gain in the distributed control system, marking a departure from the conventional decentralized control. Therefore, ensuring the stability of the controller necessitates carefully designing the values for both the feedback calibration gain and the consensus coordination gain. To further illustrate the advantages of the proposed DCC scheme, a comparison with the traditional DC approach is summarized in Table 1.
Building upon prior research [22], the cooperative control energy term V 4 is introduced to the candidate Lyapunov function, which encompasses the energy terms ( V 1 , V 2 ) and an auxiliary term ( V 3 ). Thus, the resulting Lyapunov function V is expressed as follows:
V = V 1 + V 2 + V 3 + V 4
V 1 = E 1 + E 2
V 2 = 1 2 α 1 e ˙ 2 + 1 1 2 α 2 e ˙ 2 + 2 1 2 α 3 e ˙ 2 + 3 1 2 k p 1 e 1 2 + 1 2 k p 2 e 2 2 + 1 2 k p 3 e 3 2 + j = 1 N 1 1 2 k p 1 j e 1 j 2 + j = 1 N 2 1 2 k p 2 j e 2 j 2
V 3 = 1 2 β ( Y ˙ cos θ X ˙ sin θ ) 2
V 4 = 1 2 X 1 K 1 T X 1 + 1 2 X 2 K 2 T X 2
E 1 = 1 2 ρ 1 0 L 1 v 1 x 2 d x + 1 2 E I 1 0 L 1 ξ 1 x x 2 ( x , t ) d x E 2 = 1 2 ρ 2 0 L 2 v 2 x 2 d x + 1 2 E I 2 0 L 2 ξ 2 x x 2 ( x , t ) d x
v 1 x = ( x + R ) θ ˙ + ξ ˙ 1 ( x , t ) X ˙ sin θ + Y ˙ cos θ   ; 0 x L 1 v 2 x = ( x + R ) θ ˙ + ξ ˙ 2 ( x , t ) X ˙ sin θ + Y ˙ cos θ ; 0 x L 2
e 1 = θ θ d e 2 = X X d e 3 = Y Y d e 1 j = ξ 1 ( x j , t ) ξ 1 d ( x j , t ) e 2 j = ξ 2 ( x j , t ) ξ 2 d ( x j , t )
where θ d = 0.2 , X d = 0 , Y d = 0 , ξ 1 d = 0 , ξ 2 d = 0 represents denote the desired spacecraft attitude, position along the X-axis, position along the Y-axis. And K 1 , K 2 are positive definite matrices. The values of α 1 , α 2 , α 3 , β in the Equation (20) are specified as:
α 1 = J α 2 = M + M 1 + M 2 + ρ L 1 + ρ L 2 α 3 = M + M 1 + M 2 + ρ L 1 + ρ L 2 β = ( M 1 + M 2 + ρ L 1 + ρ L 2 )
Given that K 1 and K 2 are positive definite matrices, it is evident that V 4 0 . Additionally, in accordance with prior research, we have demonstrated that V 1 + V 2 + V 3 0 . Consequently, the new Lyapunov function is positive definite, signifying that
V = V 1 + V 2 + V 3 + V 4 0
where V = 0 holds if and only if θ = θ d , θ ˙ = 0 , ξ 1 ( x , t ) = 0 , ξ ˙ 1 ( x , t ) = 0 , ξ 1 x x ( x , t ) = 0 , ξ 2 ( x , t ) = 0 , ξ ˙ 2 ( x , t ) = 0 , ξ 2 x x = 0 , X = X d , X ˙ = 0 , Y = Y d and Y ˙ = 0 .
To prove the asymptotic stability, the time derivative of the Lyapunov candidate function V is derived.
V ˙ = V ˙ 1 + V ˙ 2 + V ˙ 3 + V ˙ 4
V ˙ 1 = j = 1 N 1 ( x j + R ) θ ˙ + ξ ˙ 1 ( x j , t ) X ˙ sin θ + Y ˙ cos θ u 1 j + E I θ ˙ R ξ 1 x x x ( 0 , t ) ξ 1 x x ( 0 , t ) + E I X ˙ sin θ + Y ˙ cos θ ξ 1 x x x ( 0 , t ) E I ( L 1 + R ) θ ˙ + ξ ˙ 1 ( L 1 , t ) X ˙ sin θ + Y ˙ cos θ ξ 1 x x x ( L 1 , t ) + j = 1 N 2 ( x j + R ) θ ˙ + ξ ˙ 2 ( x j , t ) X ˙ sin θ + Y ˙ cos θ u 2 j + E I θ ˙ R ξ 2 x x x ( 0 , t ) + ξ 2 x x ( 0 , t ) + E I X ˙ sin θ + Y ˙ cos θ ξ 2 x x x ( 0 , t ) E I ( L 2 + R ) θ ˙ + ξ ˙ 2 ( L 2 , t ) X ˙ sin θ + Y ˙ cos θ ξ 2 x x x ( L 2 , t )
V ˙ 2 = α 1 e ˙ 1 e ¨ 1 + α 2 e ˙ 2 e ¨ 2 + α 3 e ˙ 3 e ¨ 3 + k p 1 e 1 e ˙ 1 + k p 2 e 2 e ˙ 2 + k p 3 e 3 e ˙ 3 + j = 1 N 1 k p 1 j e 1 j e ˙ 1 j + j = 1 N 2 k p 2 j e 2 j e ˙ 2 j
V ˙ 3 = β ( Y ˙ cos θ X ˙ sin θ ) ( Y ¨ cos θ Y ˙ θ ˙ sin θ X ¨ sin θ X ˙ θ ˙ cos θ )
V ˙ 4 = X 1 K 1 T   X   ˙ 1 + X 2 K 2 T   X   ˙ 2
Furthermore, based on Equation (25), we obtain e ¨ 1 = θ ¨ , e ¨ 2 = X ¨ , e ¨ 3 = Y ¨ .Combining the kinetic Equations (6)–(8) and substituting θ ¨ , X ¨ , Y ¨ into Equation (28), the expression for V ˙ can ultimately be simplified as follows:
V ˙ = e ˙ 1 τ + k p 1 e 1 E I ( L 1 + R ) ξ 1 x x x ( L 1 , t ) + E I ( L 2 + R ) ξ 2 x x x ( L 2 , t ) + e ˙ 2 F X + k p 2 e 2 + E I ξ 1 x x x ( L 1 , t ) sin θ + E I ξ 2 x x x ( L 2 , t ) sin θ + e ˙ 3 F Y + k p 3 e 3 E I ξ 1 x x x ( L 1 , t ) cos θ E I ξ 2 x x x ( L 2 , t ) cos θ + ξ ˙ 1 ( L 1 , t ) u 11 E I ξ 1 x x x ( L 1 , t ) + k p 11 e 11 + ξ ˙ 2 ( L 2 , t ) u 21 E I ξ 2 x x x ( L 2 , t ) + k p 21 e 21 + j = 2 N 1 e ˙ 1 j ( u 1 j + k p 1 j e 1 j ) + j = 2 N 2 e ˙ 2 j ( u 2 j + k p 2 j e 2 j ) + X 1 K 1 T X ˙ 1 + X 2 K 2 T X ˙ 2
By substituting the proposed distributed controller from Equation (15) into Equation (33) and simplifying:
V ˙ = k d 1 θ ˙ 2 k d 2 X ˙ 2 k d 3 Y ˙ 2 + X ˙ 1 ( T K d 1 γ 1 L 1 ) X ˙ 1 + X 1 ( T K 1 c 1 L 1 ) X ˙ 1 + X ˙ 2 ( T K d 2 γ 2 L 2 ) X ˙ 2 + X 2 ( T K 2 c 2 L 2 ) X ˙ 2
Therefore, we stipulate that
K 1 = c 1 L 1 K 2 = c 2 L 2
The Laplace matrix is defined in Equation (14), and we ascertain that λ ( L ) > 0 , where, λ ( ) denotes the symbol for the eigenvalue. Consequently, we consider both c 1 and c 2 as positive definite matrices, i.e.,
c 1 , j , j 1 > 0 , j = 1 , 2 , , N 1 c 2 , j , j 1 > 0 , j = 1 , 2 , , N 2
Therefore, c 1 L 1 and c 2 L 2 are positive definite matrices and K 1 , K 2 satisfy the assumption of being positive definite as well. Upon substituting Equation (35) back into Equation (34), we obtain:
V ˙ = X ˙ 1 ( T K d 1 γ 1 L 1 ) X ˙ 1 + X ˙ 2 ( T K d 2 γ 2 L 2 ) X ˙ 2
To ensure that V ˙ < 0 , the gain coefficient must satisfy:
λ ( K d 1 γ 1 L 1 ) < 0 λ ( K d 2 γ 2 L 2 ) < 0
Finally, the matrices K d 1 γ 1 L 1 and K d 2 γ 2 L 2 are negative definite, ensuring that  V ˙ < 0 , and the closed-loop control system exhibits asymptotical stability. Equations (36) and (38) provide the criteria for selecting the gains.

3.3. Digital Implementation of the Controller

The dynamics of the flexible spacecraft are modeled using the Assumed Mode Method (AMM), which approximates the infinite-dimensional elastic deformations through a finite series expansion w ( x , t ) = j = 1 n ϕ i ( x ) q i ( t ) , where ϕ i ( x ) are spatial mode shapes satisfying the geometric boundary conditions of the appendages, and q i ( t ) are the corresponding time-varying generalized coordinates. This approach yields a tractable set of coupled ordinary differential equations suitable for numerical simulation. Importantly, the AMM is used only to construct a simulatable plant model; the distributed cooperative control (DCC) law is synthesized directly for the original continuous system through Lyapunov-based stability analysis of the coupled PDE-ODE dynamics. As a result, the controller inherently suppresses spillover effects—owing to its distributed sensing and actuation structure—independent of the AMM truncation order, thereby ensuring stability without relying on finite-dimensional model reduction.
Although the DCC laws derived above (e.g., Equation (15)) are formulated in continuous time, practical implementation requires discrete-time execution on digital hardware such as onboard computers. Thus, discretizing the control law is essential for validating its engineering feasibility.
To bridge the gap between theoretical design and practical application, this work adopts a hybrid co-simulation strategy, the core architecture of which is illustrated in Figure 3.
This architecture consists of two interconnected parts:
(1)
Discrete Controller: The control algorithm operates at a fixed sampling period, Ts. At each sampling instant k, the controller reads the sensor measurements, computes the control force vector U(k) = [τ,Fx,Fy,u11,…,u24], and holds this output value constant for the duration of one sampling period (implementing a Zero-Order Hold, ZOH).
(2)
Continuous Plant: The high-order dynamic model of the flexible spacecraft (Equations (6)–(11) remains in the continuous-time domain and is solved using a high-fidelity numerical integrator (e.g., ode15i). It evolves under the piecewise-constant control input provided by the discrete controller.
The discretization process of the controller is described as follows. First, the continuous control law is encapsulated into an independent control function:
U ( t ) = f ( y ( t ) , K , P )
where y ( t ) = [ q , q ˙ , θ , X , Y , θ ˙ , X ˙ , Y ˙ ] is the system state vector, and K , P are the controller gain parameters.
For digital implementation, this control function is invoked periodically only at discrete time instances t k = k T s :
U ( k ) = f ( y ( k T s ) , K , P )
where U(k) is the constant control force applied to the plant during the k-th sampling interval.
Furthermore, to emulate a realistic engineering environment, two types of non-ideal factors are introduced into the discrete control loop:
(1)
Sensor Noise: Gaussian white noise v(k) is added to the state feedback y(kTs), resulting in the measured output ym(k) = y(kTs) + v(k), simulating the measurement noise inherent in physical sensors.
(2)
Actuator Saturation: The computed control force U(k) is subjected to amplitude saturation constraints Umax, i.e., ∣U(k)∣ ≤ Umax, simulating the physical output limitations of real actuation hardware.
The final, implementable discrete control law, ready for deployment on embedded hardware, is given by:
U ( k ) = sat ( f ( y ( k T S ) + v ( k ) , K , P ) , U m a x )

4. Numerical Simulation and Analysis

In this section, numerical simulations are performed to validate the DCC developed in the preceding section and to compare its performance with the DC. The initial conditions were specifically configured with the central hub stationary and flexible appendages exhibiting nonzero initial displacements to achieve two primary objectives: (1) isolate DCC’s vibration damping capability by decoupling appendage dynamics from hub motion, and (2) validate robustness against direct appendage excitation (e.g., micrometeoroid impacts or thruster anomalies) without significant hub motion—representing extreme operational conditions.

4.1. Simulation Parameter Settings

The simulation parameters are configured with an asymmetric arrangement of flexible appendages on both sides, where the length of the right flexible appendage is set to 5 m, and the left flexible appendage is 3 m. Other simulation parameters are detailed in Table 2. The installation positions of piezoelectric actuators are outlined in Table 3, while the initial conditions of the system are presented in Table 4. It is essential to emphasize that this paper primarily focuses on the performance of distributed cooperative control and does not explore the influence of piezoelectric actuator layout. Readers interested in this aspect are encouraged to consult prior studies [29]. Note that to carry out numerical simulations, this study utilizes the assumed mode method to ascertain the modal frequencies.

4.2. DCC Performance Evaluation vs. DC

Firstly, we use the DC as a benchmark to evaluate the performance of the proposed DCC in both attitude maneuvering and vibration suppression. The initial conditions for the simulation are outlined in Table 4, with antisymmetric initial conditions applied; specifically, the initial vibration amplitude of the right beam is set to 0.2 m, while that of the left beam is −0.2 m. Note that the 0.2 m initial amplitude was chosen to assess the control strategy’s robustness under extreme conditions, and such an amplitude may be acceptable in future large spacecraft, where new materials and increased size could lead to larger vibrations [21]. Assuming that c = γ , the control gain coefficients are provided in Table 5, Table 6 and Table 7. The selection of the gain c satisfies Equation (36), while the choice of the gain k d 1 , k d 2 / γ 1 , γ 2 is consistent with Equation (38). Consequently, the gain selections adhere to the Lyapunov stability criteria. The simulation results are presented in Figure 4, Figure 5, Figure 6, Figure 7, Figure 8, Figure 9, Figure 10, Figure 11, Figure 12 and Figure 13.
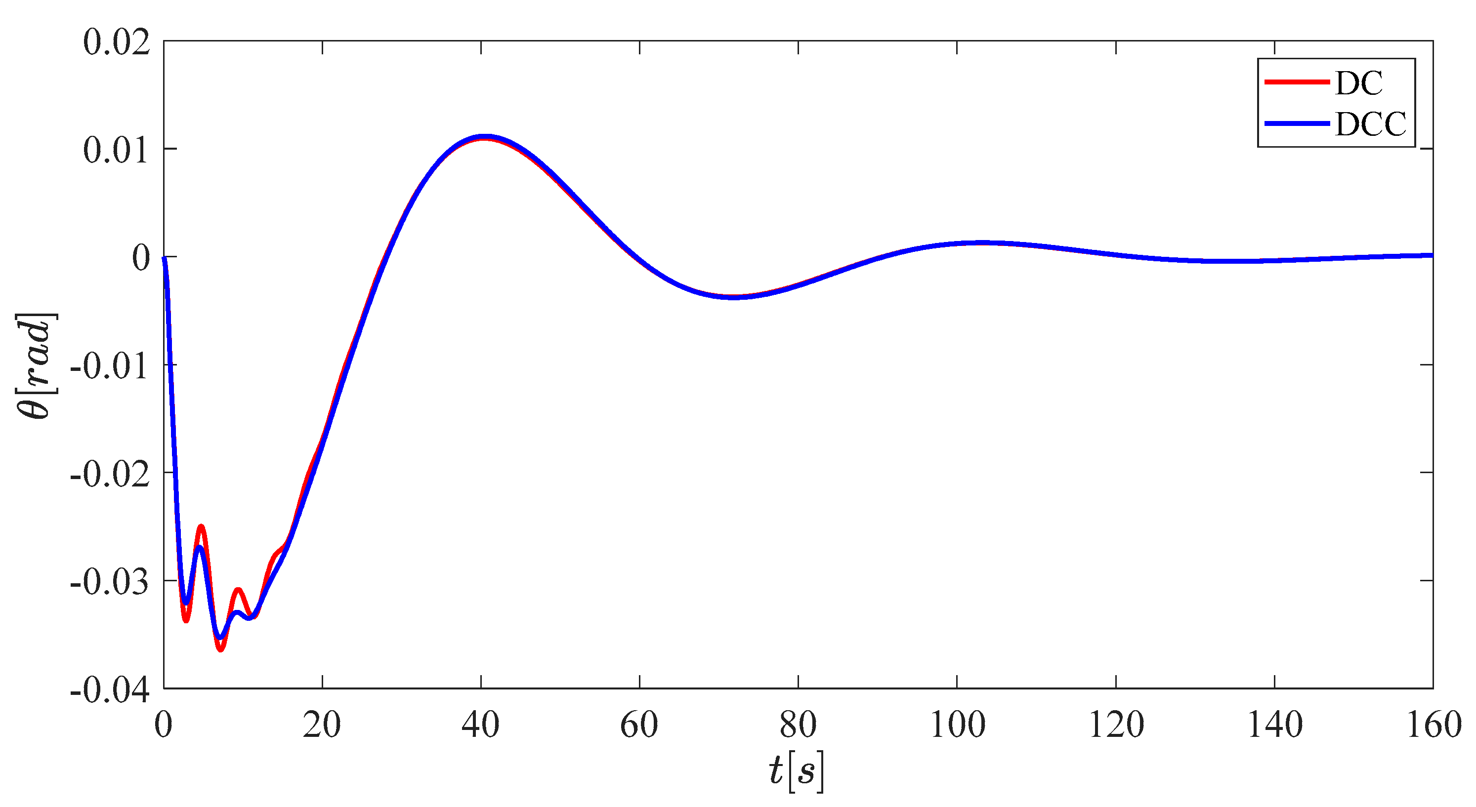
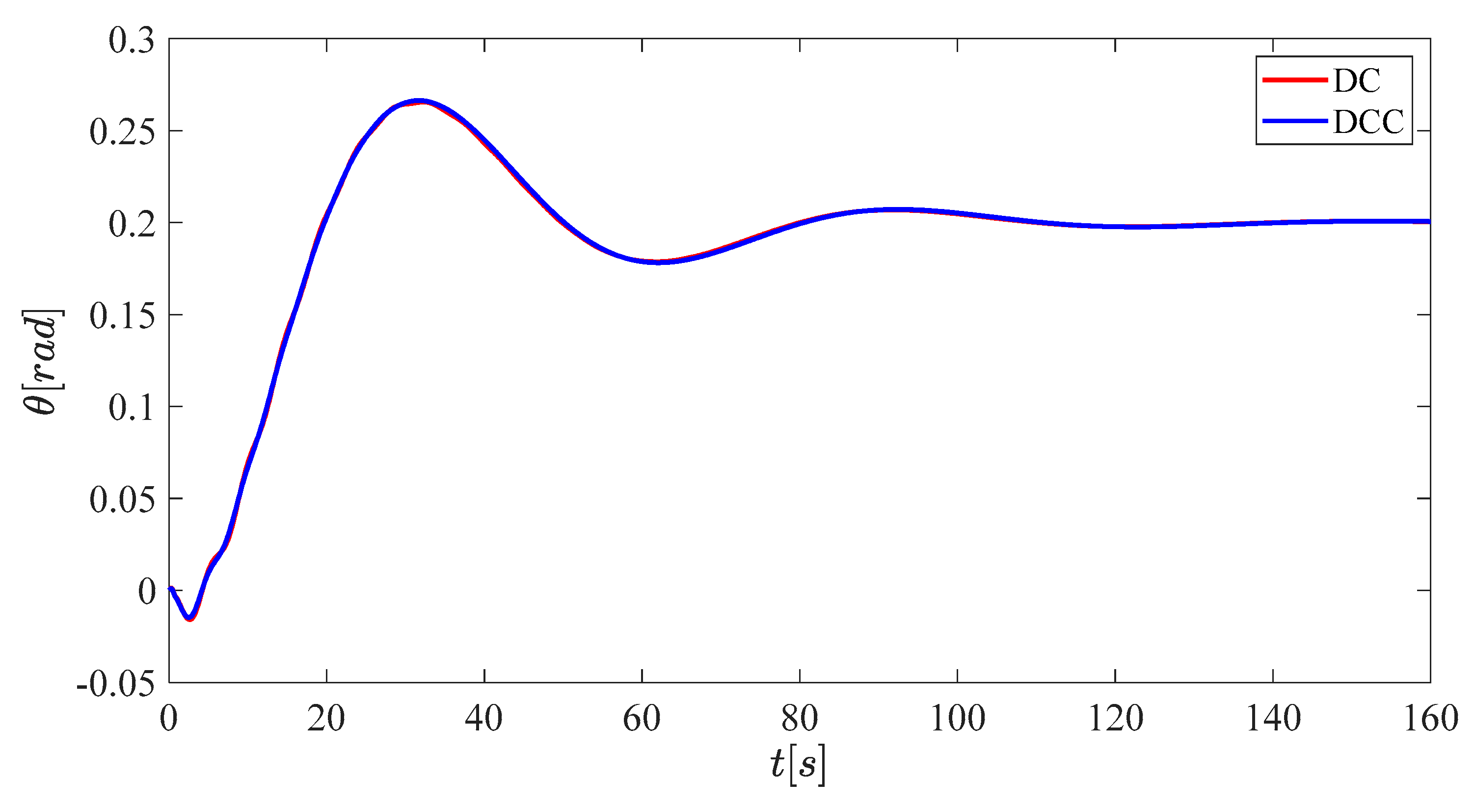
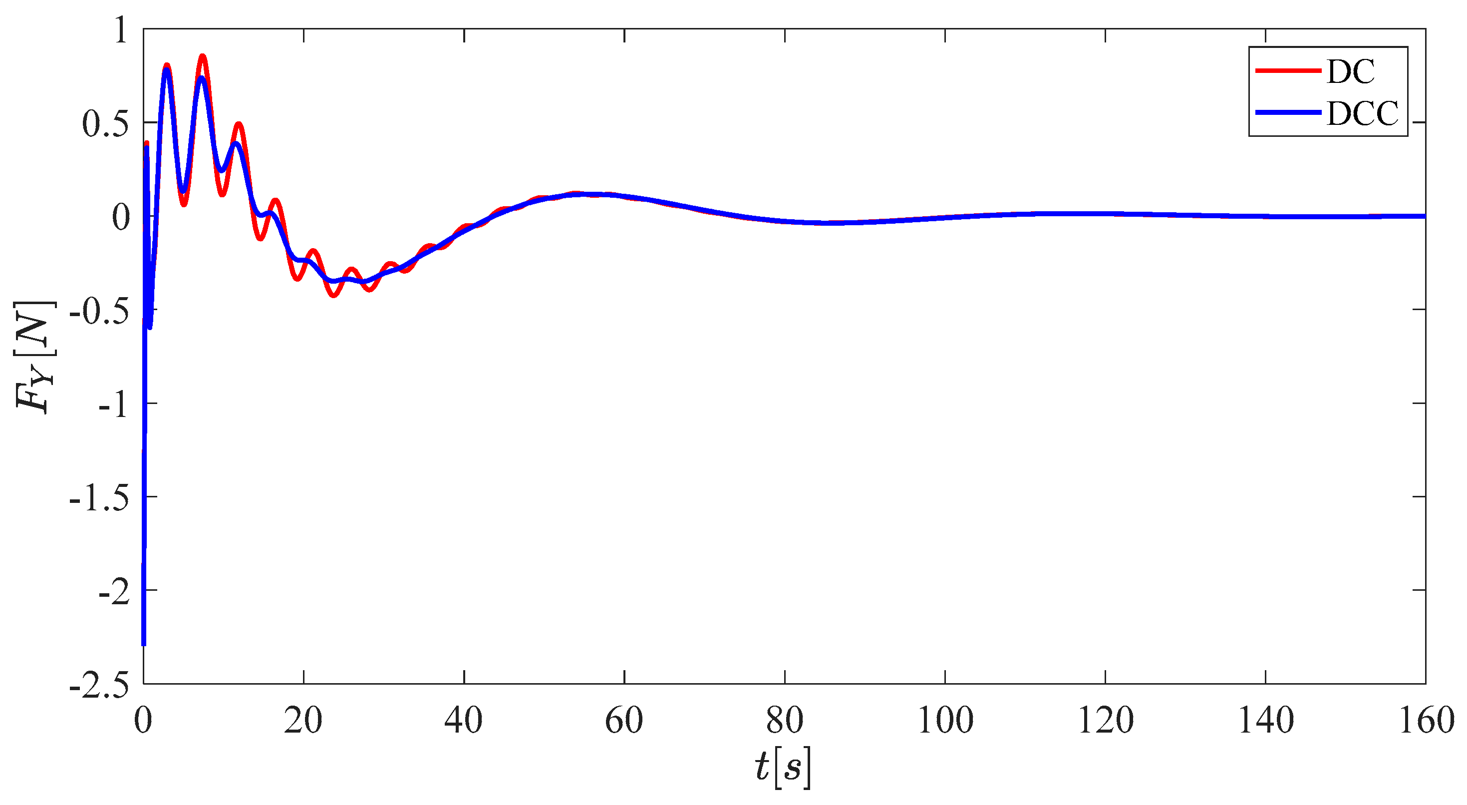
In Figure 4, Figure 5, Figure 6, Figure 7 and Figure 8, the system’s vibration under DCC and DC is illustrated. As evident from the figures, both control methods effectively achieve attitude maneuvering and vibration suppression within a reasonably short timeframe. DCC and DC share identical control parameters for the central hub, with minimal control force, differing primarily in their approach to suppressing the vibration of the flexible appendage. As illustrated in Figure 4, Figure 5 and Figure 6, the impact on the central hub’s attitude is relatively minor, and the attitude and position of the central hub under both control methods exhibit nearly identical vibration trends. Additionally, due to the asymmetric configuration, where the length of the right appendage exceeds that of the left appendage, and the initial amplitude of vibration is equal in magnitude but opposite in direction, previous research established that the primary effects on the central hub in this scenario manifest as attitude vibrations and positional oscillations along the O-Y direction, as evidenced in Figure 4, Figure 5 and Figure 6, which depict changes in the central hub’s position.
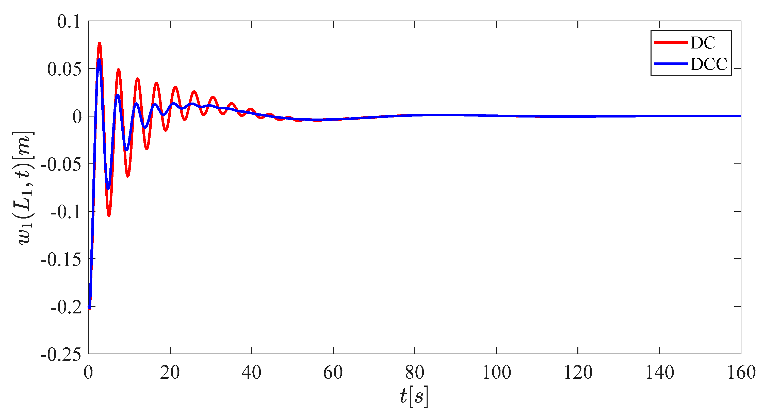
The vibration curves depicting the elastic deformation of the appendages at endpoints under DCC and DC are presented in Figure 7 and Figure 8. Observing these figures, it becomes apparent that in the asymmetric configuration, despite setting the initial conditions of the right and left flexible appendages as antisymmetric vibration conditions, the vibration of the two flexible appendages no longer maintains the antisymmetric characteristic. Notably, the maximum vibration amplitude of the right flexible appendage is smaller than that of the left. Additionally, while the vibration phase of the flexible appendage’s endpoint under DCC is nearly identical to that under DC, the amplitude is reduced to approximately 50% of that in DC at the same phase. This observation indicates that the vibration of the flexible appendage converges more rapidly under DCC, reflecting superior control performance.
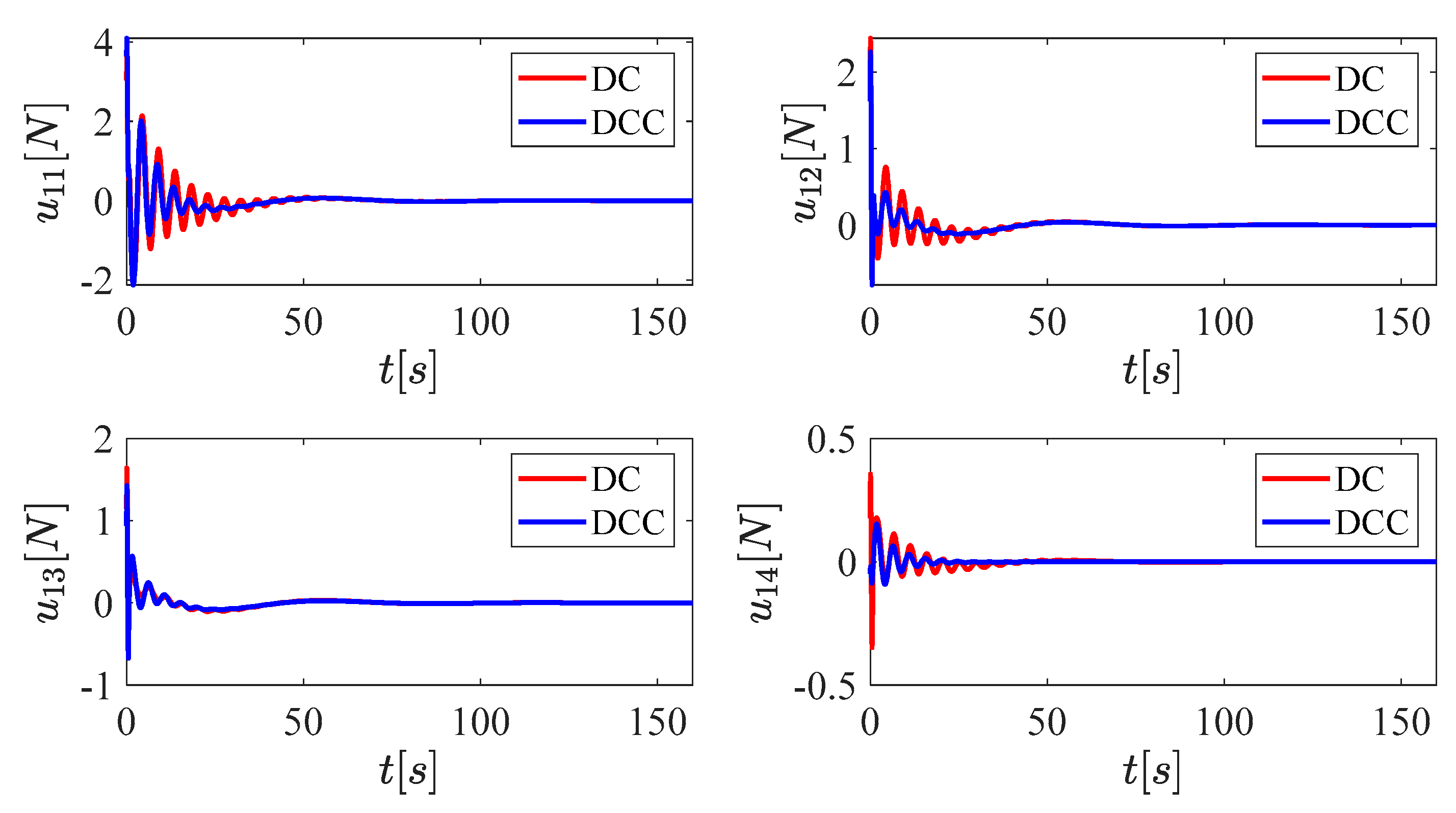
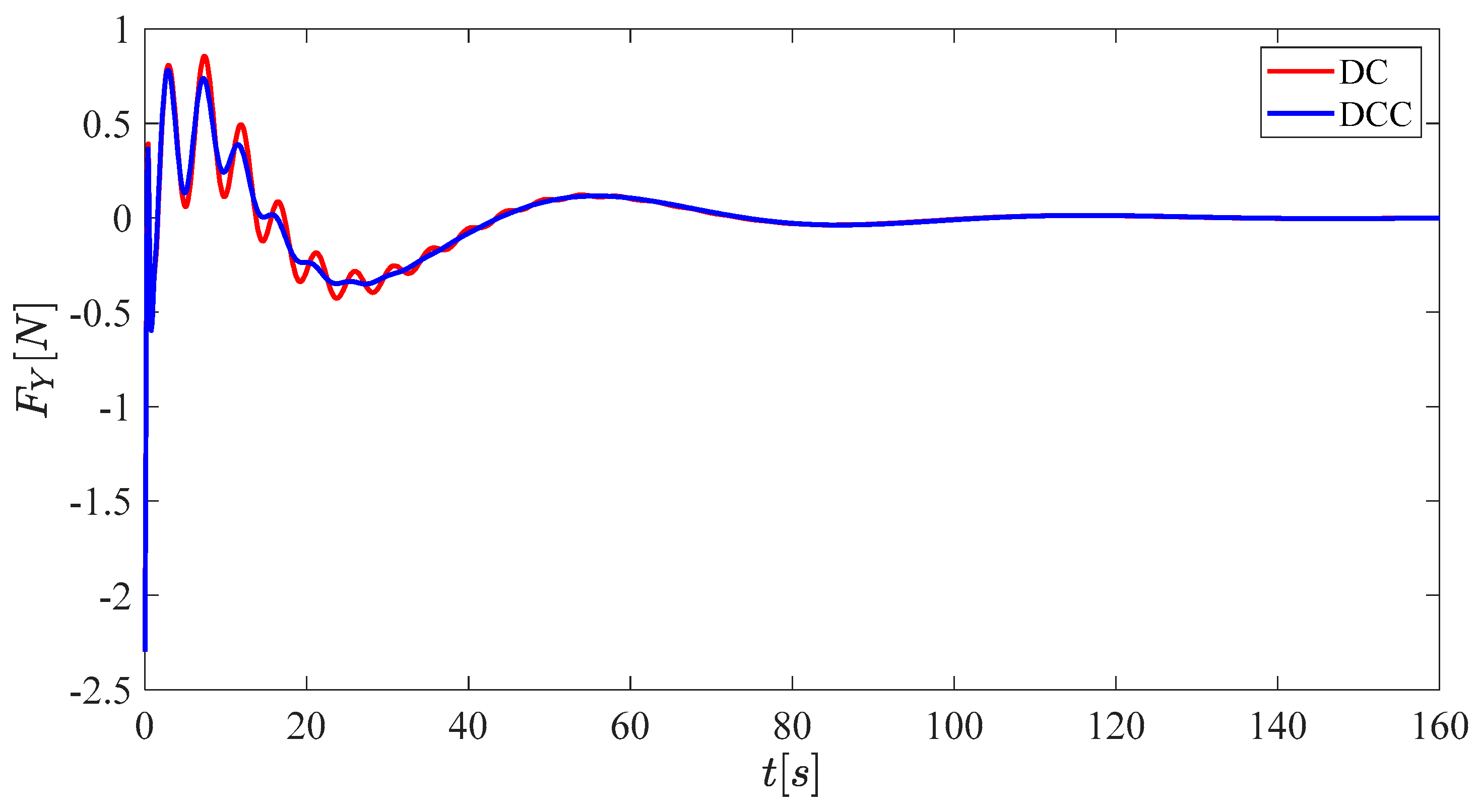
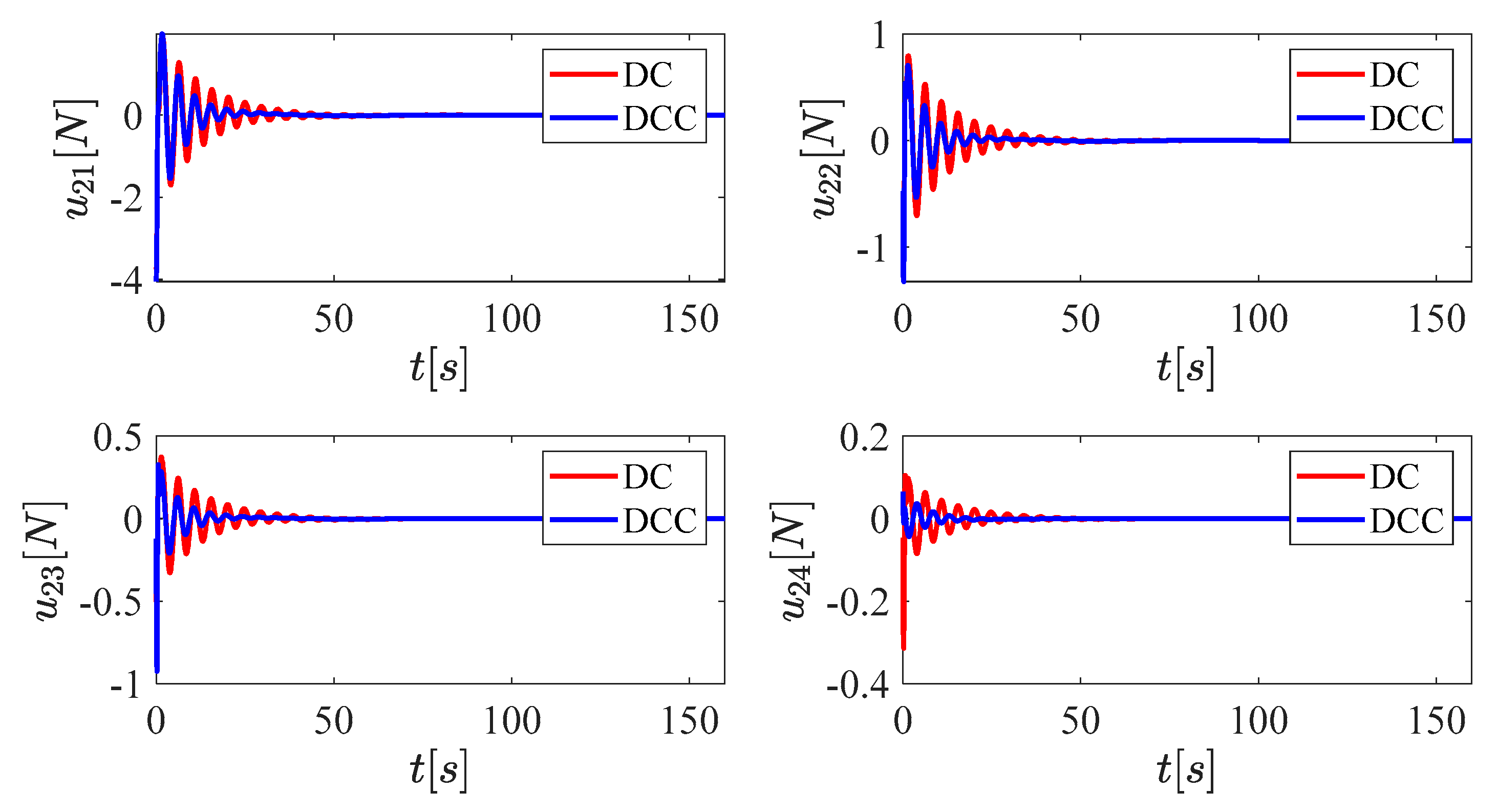
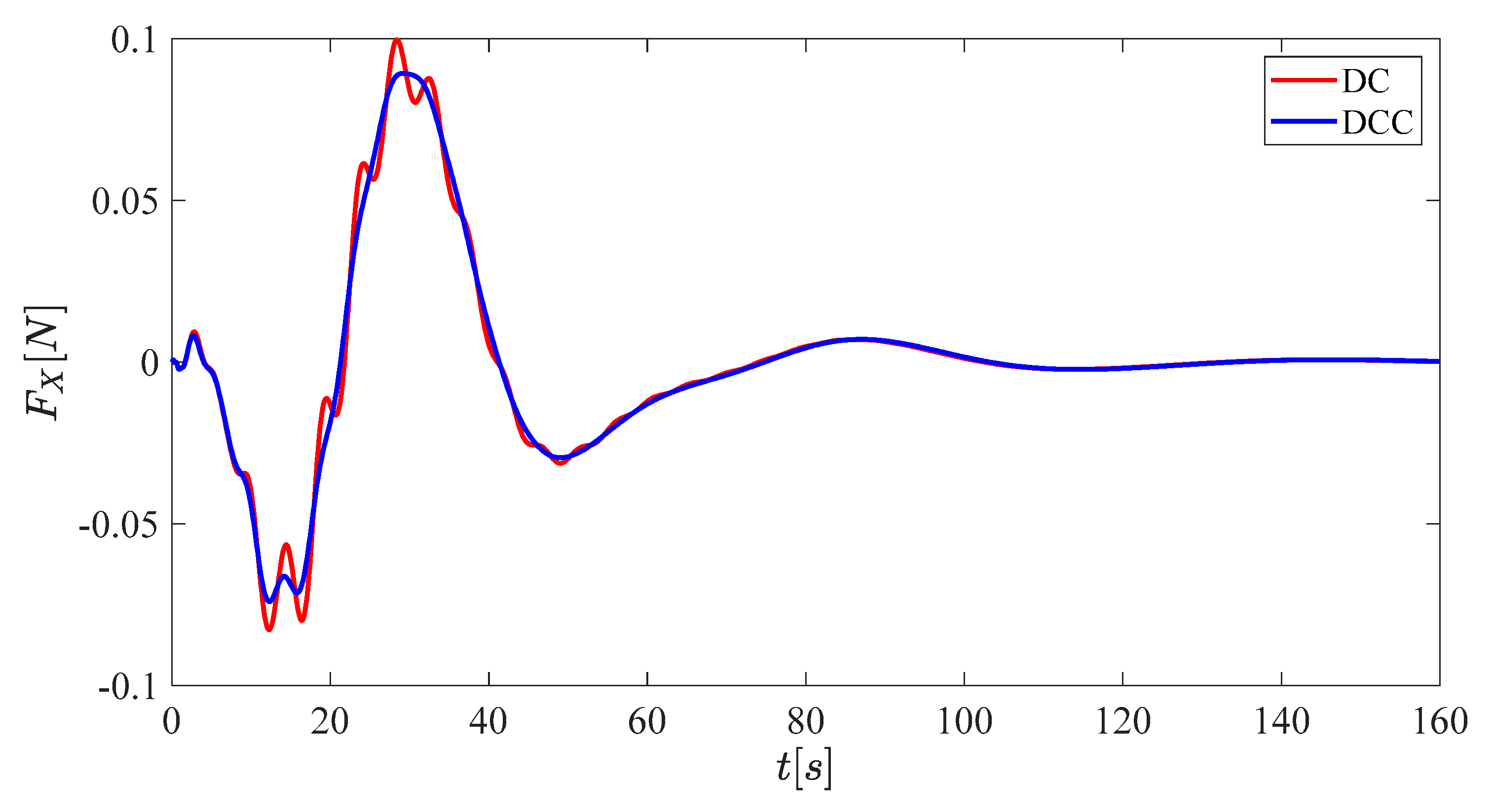
The variation curves illustrating the control forces and torques of the system under DCC and DC are displayed in Figure 9, Figure 10, Figure 11, Figure 12 and Figure 13. In comparison to DC, the control forces in DCC are generally smaller (except for θ ), whether applied to the right or left flexible appendage. This observation indicates that DCC not only improves vibration suppression performance but also reduces control energy consumption. This enhancement can be attributed to the incorporation of neighborhood information in DCC, which ensures phase consistency among control inputs from different actuators, thereby reducing perturbations arising from phase inconsistencies and minimizing mutual energy loss. Consequently, DCC exhibits enhanced control efficacy, showcasing a marked advancement in performance.

4.3. Fault Tolerance of DCC vs. DC

To evaluate the robustness and fault tolerance of the DCC, the analysis excludes central hub attitude maneuvers, thereby minimizing the influence of the rigid body control torque. As a result, the initial simulation condition set a desired attitude angle of 0, with other initial conditions remaining unchanged. Additionally, a failure scenario is introduced by assuming that the third actuator of the right flexible appendage is nonfunctional (i.e., k 13 , k d 13 are set to 0), while the other control gain coefficients remain unaffected. In the case of DC, the output of the third actuator is set to 0. Conversely, under DCC, a consensus coordination term is included in the third actuator:
u 13 = c 132 ( ξ 1 ( x 12 , t ) ξ 1 ( x 13 , t ) ) + γ 132 ( ξ ˙ 1 ( x 12 , t ) ξ ˙ 1 ( x 13 , t ) ) + c 143 ( ξ 1 ( x 14 , t ) ξ 1 ( x 13 , t ) ) + γ 143 ( ξ ˙ 1 ( x 14 , t ) ξ ˙ 1 ( x 13 , t ) )
Figure 14, Figure 15 and Figure 16 illustrate the variation curves of the central hub’s attitude and position. As can be seen from the figures, the attitude of the central hub undergoes slight oscillations before stabilizing around 0 rad within approximately 120 s. These systems often prioritize robustness and stability over rapid response due to their size, flexibility, and the complexity of their dynamics. The trade-offs made in this study reflect these priorities, aiming to ensure effective vibration suppression without compromising the overall system stability and robustness. Consequently, this equilibrium duration is deemed acceptable. Compared to Case 1, the amplitude of the positional oscillation of the central hub is reduced, with minimal vibration observed along the O-Y direction. This observation indicates that during the central hub’s attitude maneuver, the attitude control torque intensifies the flexible appendage’s vibration, which, in turn, significantly influences the central hub’s position. As the attitude angle gradually increases and stabilizes, the influence of the central hub control torque on the flexible appendage vibration diminishes. In this scenario, where the attitude angle remains nearly constant, the effect of the central rigid body’s control torque on the vibration of the flexible appendage is minimal, as reflected by the central rigid body’s position, which exhibits only small amplitude changes. Additionally, it is evident that the fault-tolerant control performance of the DCC is marginally superior to that of the DC. Figure 17 and Figure 18 illustrate the vibration of the flexible appendage, providing an intuitive demonstration of the control’s vibration suppression performance. The results show that actuator failures cause only localized performance degradation, highlighting the inherent resilience of the distributed control approach.
As shown in Figure 19, Figure 20 and Figure 21, the control force along the O-Y direction of the central hub is significantly greater than that along the O-X direction. This disparity is due to the varying magnitudes of force exerted on the central hub from both sides of the flexible appendage in the asymmetric configuration, particularly under symmetric vibration initial conditions. Given the nearly constant attitude angle, the force is predominantly directed along the O-Y direction, resulting in minimal vibration in the O-X direction and necessitating control force intervention. Additionally, it is observable that the energy consumption of the DCC is slightly lower than that of the DC in the scenario where the third actuator fails. This observation is consistent with Case 1 and can be attributed to the DCC’s ability to mitigate phase inconsistencies among actuator control forces. The curves depicting the actuator control forces on both sides of the flexible appendage are presented in Figure 22 and Figure 23. From these figures, it is also clear that in the event of an actuator failure on the right beam, the energy consumption of the DCC is lower than that of the DC, further confirming the superior performance of the DCC. For the left appendage, where all actuators are functioning normally, the results are consistent with the conclusions drawn in Case 1.

4.4. Monte Carlo Simulations

To further validate the robustness of the DCC algorithm compared to the DC algorithm, Monte Carlo simulations were conducted in this study. Assuming the failure of the third actuator on the right flexible appendage, the simulations incorporated a 1% random error in the initial vibration amplitude of the flexible appendages, a 5% random error in the moment of inertia, a 1% random error in the appendage’s mass, and a 5% random error in the bending stiffness. Note that, relative to the conventional DC approach, the DCC adds only a consensus-related gain term. Given its minimal influence on robustness, its uncertainty is not considered in the Monte Carlo simulations. A total of 1200 simulations were performed for both algorithms.
The Monte Carlo simulation results are shown in Figure 24, Figure 25, Figure 26 and Figure 27. Figure 24 depicts the overshooting characteristics of the right-side flexible appendage’s amplitude across 1200 Monte Carlo simulations employing DC and DCC algorithms, while Figure 25 presents the corresponding box plot of the overshooting behavior. Furthermore, Figure 26 delineates the Root Mean Square (RMS) error of the vibration amplitude, and Figure 27 illustrates the box plot of the RMS error for the vibration amplitude. The overshoot of the DC algorithm was found to exceed 46%, while that of the DCC algorithm remained below 38%. In terms of RMS error, the DC algorithm exhibited values approximating 0.0175, whereas the DCC algorithm maintained values close to 0.0155. This conclusion is distinctly illustrated in the box plots of Figure 25 and Figure 27. These results highlight the superior performance of the DCC algorithm in terms of controlling overshoot and minimizing steady-state errors, demonstrating its robustness and efficiency in handling uncertainties in the system.

4.5. Implementation Feasibility and Robustness Analysis

To transition the proposed DCC strategy from a theoretical concept to a practically implementable solution, this section presents a comprehensive validation of its robustness and implementation feasibility. This is achieved through a hybrid co-simulation framework and automatic code generation, addressing critical practical constraints such as digital sampling, sensor noise, actuator saturation, and embedded processor deployment.
The controller was implemented in the discrete-time domain with a fixed sampling period of Ts = 10 ms, while the spacecraft’s continuous-time dynamics were simulated using a high-fidelity ODE solver (ode15i). This configuration replicates the practical interaction between a digital flight control computer and continuous physical plant dynamics.
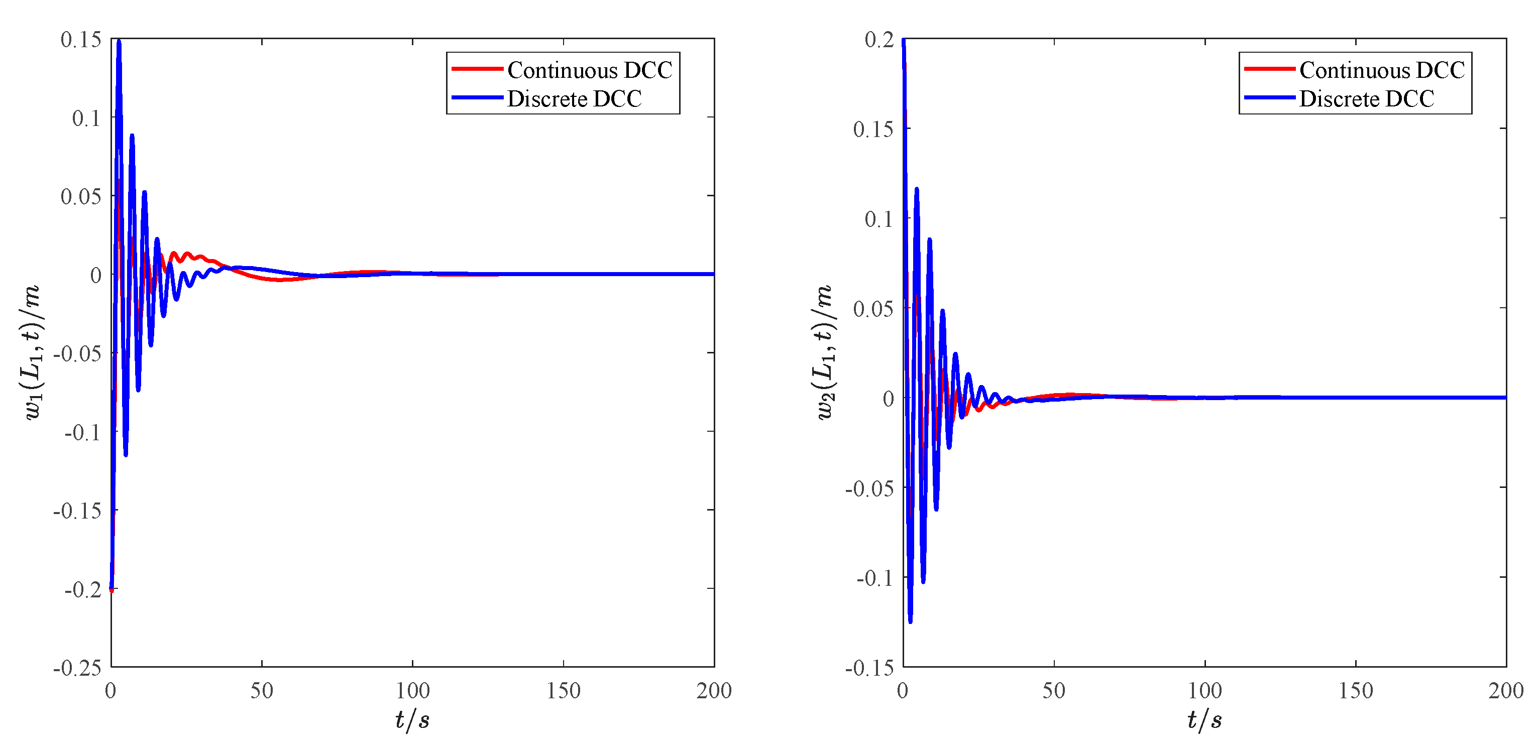
The discretized DCC controller was evaluated under practical implementation constraints including sensor noise (noise power = 1 × 10−4) and actuator saturation (Umax = 2N). As shown in Figure 28, the deflection responses demonstrate that the proposed digital implementation maintains effective vibration suppression and motion control performance under these non-ideal conditions. The results confirm that the discrete-time algorithm preserves the stability and performance characteristics of the original continuous design while exhibiting minimal performance degradation—primarily manifested as a slightly prolonged settling time with negligible residual vibration—which remains within acceptable limits for aerospace applications. This robustness is primarily due to the control strategy, which is designed to actively dissipate vibrational energy and localize the impact of disturbances through its distributed cooperative structure.
The final step in establishing implementation feasibility involved bridging the gap between control design and embedded software deployment. The core DCC control algorithm was automatically translated into efficient, platform-independent ANSI C code using MATLAB(2022b) Coder.
Figure 29 presents a screenshot of the successful code generation process along with a representative segment of the auto-generated C code for the main control function. The structured and efficient nature of the generated code confirms that the mathematical operations of the distributed cooperative control (DCC) law can be effectively translated into a form suitable for execution on bare-metal embedded processors. To validate functional equivalence, Software-in-the-Loop (SIL) testing was performed, with results (Figure 30) indicating numerical agreement within machine precision between the original MATLAB algorithm and the compiled MEX function.
This automated translation process not only confirms the algorithmic readiness for implementation but also minimizes the potential errors associated with manual coding. A static analysis of the computational load was carried out, indicating that the generated code consists primarily of algebraic operations—approximately 180 multiplications and 150 additions per control cycle, along with two trigonometric function calls. When implemented on a modern embedded processor such as an ARM Cortex-M7 operating at 400 MHz, the estimated execution time constitutes less than 1% of a typical 10 ms control period, confirming its suitability for real-time performance in isolation from other system tasks.
The hybrid simulation results demonstrate that the discretized controller retains performance and robustness under practical engineering constraints such as sensor noise and actuator saturation. Together with the successful code generation, these findings affirm the practical viability of the DCC design and establish a clear pathway for its implementation on embedded aerospace hardware.

5. Conclusions

This paper investigates distributed actuation on flexible appendages, treating piezoelectric actuators as a multi-agent system. By integrating graph theory with the original nonlinear controller, a consensus coordination term is introduced to formulate a DCC scheme. Stability is analyzed via Lyapunov’s direct method, and guidelines for selecting controller parameters are provided. Numerical simulations demonstrate that the DCC outperforms conventional DC in control effectiveness and energy efficiency, while exhibiting enhanced robustness and fault tolerance under partial actuator failures. Compared with centralized architectures, DCC’s autonomous reconfiguration of distributed agents enables superior resilience unattainable in centralized frameworks.
The practical implementability of the proposed method has been further enhanced through a discrete-time formulation of the DCC algorithm and validation via a hybrid simulation framework incorporating sensor noise and actuator saturation. Automatic code generation successfully produced efficient and portable C code, with functional correctness verified through Software-in-the-Loop (SIL) testing, confirming numerical equivalence between the generated code and the original MATLAB controller. These steps strengthen the transition from theoretical design to embedded implementation.
Note that implementing DCC requires balancing additional hardware for information exchange with improved control performance. While the present study considers planar dynamics, extending the framework to full three-dimensional motion under orbital perturbations and performing experimental validation using scaled flexible structures with air-bearing tables, suspension systems, or hardware-in-the-loop simulations represent critical directions for future work.

Author Contributions

Conceptualization, K.C., P.S. and S.L.; methodology, K.C., P.S. and S.L.; software, K.C., Z.Z., L.W. and F.M.; validation, K.C., F.M. and S.L.; formal analysis, K.C. and H.L.; investigation, K.C., Z.Z., L.W. and S.L.; resources, Z.Z., L.W. and S.L.; data curation, K.C.; writing—original draft preparation, K.C. and S.L.; writing—review and editing, K.C., H.L., K.X. and S.L.; visualization, K.C.; supervision, S.L.; project administration, S.L.; funding acquisition, S.L. All authors have read and agreed to the published version of the manuscript.

Funding

This work was partially supported by the National Natural Science Foundation of China (Grant No. U23B6001, 12472045) and the Frontier Scientific Research Program of Deep Space Exploration Laboratory (Grant No. GC04FY1003ZC3ZT-2325). The authors fully appreciate their financial support.

Data Availability Statement

Not applicable.

Acknowledgments

The authors would like to thank the reviewers for their constructive comments and suggestions that may help improve this paper.

Conflicts of Interest

The authors declare that they have no known competing financial interests or personal relationships that could have appeared to influence the work reported in this paper.

References

  1. Zhao, W.; Wang, X.; Liu, H.; Lu, Z.F.; Lu, Z.W. Development of Space-Based Diffractive Telescopes. Front. Inf. Technol. Electron. Eng. 2020, 21, 884–902. [Google Scholar] [CrossRef]
  2. Zhang, B.; Wu, Y.; Zhao, B.; Chanussot, J.; Hong, D.; Yao, J.; Gao, L. Progress and Challenges in Intelligent Remote Sensing Satellite Systems. IEEE J. Sel. Top. Appl. Earth Obs. Remote Sens. 2022, 15, 1814–1822. [Google Scholar] [CrossRef]
  3. Foster, C.L.; Tinker, M.L.; Nurre, G.S.; Till, W.A. Solar-Array-Induced Disturbance of the Hubble Space Telescope Pointing System. J. Spacecr. Rocket. 1995, 32, 634–644. [Google Scholar] [CrossRef]
  4. Marshall, M.; Pellegrino, S. Reduced-Order Modeling for Flexible Spacecraft Deployment and Dynamics. In Proceedings of the AIAA Scitech 2021 Forum, Virtual, 11–15 January 2021; American Institute of Aeronautics and Astronautics: Reston, VA, USA, 2021. [Google Scholar]
  5. Yan, Y.; Yue, B. Dynamic Analysis of the Flexible Spacecraft with Liquid Sloshing in Axisymmetrical Container. J. Spacecr. Rocket. 2018, 55, 282–291. [Google Scholar] [CrossRef]
  6. Ji, H.; Li, D. A Novel Nonlinear Finite Element Method for Structural Dynamic Modeling of Spacecraft Under Large Deformation. Thin-Walled Struct. 2021, 165, 107926. [Google Scholar] [CrossRef]
  7. Wang, J.; Li, D. Experiments Study on Attitude Coupling Control Method for Flexible Spacecraft. Acta Astronaut. 2018, 147, 393–402. [Google Scholar] [CrossRef]
  8. Cao, Y.; Cao, D.; He, G.; Liu, L. Thermal Alternation Induced Vibration Analysis of Spacecraft with Lateral Solar Arrays in Orbit. Appl. Math. Model. 2020, 86, 166–184. [Google Scholar] [CrossRef]
  9. Xing, W.C.; Wang, Y.Q. Vibration Characteristics Analysis of Rigid-Flexible Spacecraft with Double-Direction Hinged Solar Arrays. Acta Astronaut. 2022, 193, 454–468. [Google Scholar] [CrossRef]
  10. Zhang, X.; Zong, Q.; Dou, L.; Tian, B.; Liu, W. Finite-Time Attitude Maneuvering and Vibration Suppression of Flexible Spacecraft. J. Frankl. Inst. 2020, 357, 11604–11628. [Google Scholar] [CrossRef]
  11. Hasan, M.N.; Haris, M.; Qin, S. Vibration Suppression and Fault-Tolerant Attitude Control for Flexible Spacecraft with Actuator Faults and Malalignments. Aerosp. Sci. Technol. 2021, 120, 107290. [Google Scholar] [CrossRef]
  12. Wu, S.; Chu, W.; Ma, X.; Radice, G.; Wu, Z. Multi-Objective Integrated Robust H Control for Attitude Tracking of a Flexible Spacecraft. Acta Astronaut. 2018, 151, 80–87. [Google Scholar] [CrossRef]
  13. Liu, Y.; Fu, Y.; He, W.; Hui, Q. Modeling and Observer-Based Vibration Control of a Flexible Spacecraft With External Disturbances. IEEE Trans. Ind. Electron. 2019, 66, 8648–8658. [Google Scholar] [CrossRef]
  14. Zhang, L.; Xu, S.; Zhang, Z.; Cui, N. Active Vibration Suppression for Flexible Satellites Using a Novel Component Synthesis Method. Adv. Space Res. 2021, 67, 1968–1980. [Google Scholar] [CrossRef]
  15. Angeletti, F.; Iannelli, P.; Gasbarri, P.; Gonzalez, J.A.P.; Ellero, N.; Wattrelot, T.; Ankersen, F.; Sabatini, M.; Celani, F.; Palmerini, G.B. Robust Collocated Control of Large Flexible Space Structures. IFAC Pap. 2022, 55, 85–90. [Google Scholar] [CrossRef]
  16. Yao, Q.; Li, Q.; Huang, J.; Jahanshahi, H. PDE-Based Prescribed Performance Adaptive Attitude and Vibration Control of Flexible Spacecraft. Aerosp. Sci. Technol. 2023, 141, 108504. [Google Scholar] [CrossRef]
  17. Ataei, M.M.; Salarieh, H.; Pishkenari, H.N.; Jalili, H. Boundary Control Design for Vibration Suppression and Attitude Control of Flexible Satellites with Multi-Section Appendages. Acta Astronaut. 2020, 173, 22–30. [Google Scholar] [CrossRef]
  18. Liu, Y.; Chen, X.; Wu, Y.; Cai, H.; Yokoi, H. Adaptive Neural Network Control of a Flexible Spacecraft Subject to Input Nonlinearity and Asymmetric Output Constraint. IEEE Trans. Neural Netw. Learn. Syst. 2021, 33, 6226–6234. [Google Scholar] [CrossRef] [PubMed]
  19. Ma, J.; Wen, H.; Jin, D. PDE Model-Based Boundary Control of a Spacecraft with Double Flexible Appendages under Prescribed Performance. Adv. Space Res. 2020, 65, 586–597. [Google Scholar] [CrossRef]
  20. Hamada, Y.; Ohtani, T.; Kida, T.; Nagashio, T. Synthesis of a Linearly Interpolated Gain Scheduling Controller for Large Flexible Spacecraft ETS-VIII. Control Eng. Pract. 2011, 19, 611–625. [Google Scholar] [CrossRef]
  21. Nakka, Y.K.; Chung, S.-J.; Allison, J.T.; Aldrich, J.B.; Alvarez-Salazar, O.S. Nonlinear Attitude Control of a Spacecraft with Distributed Actuation of Solar Arrays. J. Guid. Control Dyn. 2019, 42, 458–475. [Google Scholar] [CrossRef]
  22. Cao, K.; Li, S.; Li, Y.; Xin, M. Dynamic Modeling and Distributed Control of Asymmetric Flexible Spacecraft. J. Guid. Control Dyn. 2023, 46, 141–151. [Google Scholar] [CrossRef]
  23. Zhou, W.; Zhang, K.; Wu, S.; Tan, S.; Wu, Z. Distributed Cooperative Control for Vibration Suppression of a Flexible Satellite. Aerosp. Sci. Technol. 2022, 128, 107750. [Google Scholar] [CrossRef]
  24. Miroslav, K.; Andrey, S. Boundary Control of PDEs: A Course on Backstepping Designs; Advances in Design and Control; Society for Industrial and Applied Mathematics: Philadelphia, PA, USA, 2008; ISBN 978-0-89871-650-4. [Google Scholar]
  25. Evans, L.C. Partial Differential Equations, 2nd ed.; Graduate Studies in Mathematics; American Mathematical Society: Providence, RI, USA, 2010; ISBN 978-0-8218-4974-3. [Google Scholar]
  26. Measures, R.; Abrate, S. Structural Monitoring with Fiber Optic Technology. Appl. Mech. Rev. 2002, 55, B10–B11. [Google Scholar] [CrossRef]
  27. Godsil, C.; Royle, G.F. Algebraic Graph Theory; Springer Science & Business Media: Berlin, Germany, 2001; Volume 207. [Google Scholar]
  28. Diestel, R. Graph Theory; Graduate Texts in Mathematics; Springer: Berlin/Heidelberg, Germany, 2017; Volume 173, ISBN 978-3-662-53621-6. [Google Scholar]
  29. Cao, K.; Xie, R.; Zhou, J.; Zhang, X.; Wang, J.; Li, S. Optimizing the Location of the Piezoelectric Actuator and Analyzing Its Effect on the Dynamics of Asymmetric Flexible Spacecraft. Aerospace 2023, 10, 716. [Google Scholar] [CrossRef]
Figure 1. Schematic diagram of an asymmetric flexible spacecraft structure.
Figure 1. Schematic diagram of an asymmetric flexible spacecraft structure.
Aerospace 12 00828 g001
Figure 2. Schematic diagram of the position of the three types of piezoelectric actuators.
Figure 2. Schematic diagram of the position of the three types of piezoelectric actuators.
Aerospace 12 00828 g002
Figure 3. Architecture of the hybrid co-simulation framework.
Figure 3. Architecture of the hybrid co-simulation framework.
Aerospace 12 00828 g003
Figure 4. Attitude angle of the central hub under DCC and DC.
Figure 4. Attitude angle of the central hub under DCC and DC.
Aerospace 12 00828 g004
Figure 5. Displacement of the central hub in X-direction under DCC and DC.
Figure 5. Displacement of the central hub in X-direction under DCC and DC.
Aerospace 12 00828 g005
Figure 6. Displacement of the central hub in Y-direction under DCC and DC.
Figure 6. Displacement of the central hub in Y-direction under DCC and DC.
Aerospace 12 00828 g006
Figure 7. Elastic deformation of the right endpoints under DCC and DC.
Figure 7. Elastic deformation of the right endpoints under DCC and DC.
Aerospace 12 00828 g007
Figure 8. Elastic deformation of the left endpoints under DCC and DC.
Figure 8. Elastic deformation of the left endpoints under DCC and DC.
Aerospace 12 00828 g008
Figure 9. Control torque τ on the central hub under DCC and DC.
Figure 9. Control torque τ on the central hub under DCC and DC.
Aerospace 12 00828 g009
Figure 10. Control force F X on the central hub under DCC and DC.
Figure 10. Control force F X on the central hub under DCC and DC.
Aerospace 12 00828 g010
Figure 11. Control force F Y on the central hub under DCC and DC.
Figure 11. Control force F Y on the central hub under DCC and DC.
Aerospace 12 00828 g011
Figure 12. Control force u 11 ~ u 14 under DCC and DC.
Figure 12. Control force u 11 ~ u 14 under DCC and DC.
Aerospace 12 00828 g012
Figure 13. Control force u 21 ~ u 24 under DCC and DC.
Figure 13. Control force u 21 ~ u 24 under DCC and DC.
Aerospace 12 00828 g013
Figure 14. Attitude angle of the central hub under DCC and DC in Case 2.
Figure 14. Attitude angle of the central hub under DCC and DC in Case 2.
Aerospace 12 00828 g014
Figure 15. Displacement of the central hub in X-direction under DCC and DC in Case 2.
Figure 15. Displacement of the central hub in X-direction under DCC and DC in Case 2.
Aerospace 12 00828 g015
Figure 16. Displacement of the central hub in Y-direction under DCC and DC in Case 2.
Figure 16. Displacement of the central hub in Y-direction under DCC and DC in Case 2.
Aerospace 12 00828 g016
Figure 17. Elastic deformation of the right appendage at endpoint under DCC and DC in Case 2.
Figure 17. Elastic deformation of the right appendage at endpoint under DCC and DC in Case 2.
Aerospace 12 00828 g017
Figure 18. Elastic deformation of the left appendage at endpoint under DCC and DC in Case 2.
Figure 18. Elastic deformation of the left appendage at endpoint under DCC and DC in Case 2.
Aerospace 12 00828 g018
Figure 19. Control torque τ on the central hub under DCC and DC.
Figure 19. Control torque τ on the central hub under DCC and DC.
Aerospace 12 00828 g019
Figure 20. Control force F X on the central hub under DCC and DC.
Figure 20. Control force F X on the central hub under DCC and DC.
Aerospace 12 00828 g020
Figure 21. Control force F Y on the central hub under DCC and DC.
Figure 21. Control force F Y on the central hub under DCC and DC.
Aerospace 12 00828 g021
Figure 22. Control force u 11 ~ u 14 under DCC and DC.
Figure 22. Control force u 11 ~ u 14 under DCC and DC.
Aerospace 12 00828 g022
Figure 23. Control force u 21 ~ u 24 under DCC and DC.
Figure 23. Control force u 21 ~ u 24 under DCC and DC.
Aerospace 12 00828 g023
Figure 24. Monte Carlo simulation of vibration amplitude overshoot.
Figure 24. Monte Carlo simulation of vibration amplitude overshoot.
Aerospace 12 00828 g024
Figure 25. Monte Carlo simulation box plot of vibration amplitude overshoot.
Figure 25. Monte Carlo simulation box plot of vibration amplitude overshoot.
Aerospace 12 00828 g025
Figure 26. Monte Carlo simulation of vibration amplitude RMS.
Figure 26. Monte Carlo simulation of vibration amplitude RMS.
Aerospace 12 00828 g026
Figure 27. Monte Carlo simulation box plot of vibration amplitude RMS.
Figure 27. Monte Carlo simulation box plot of vibration amplitude RMS.
Aerospace 12 00828 g027
Figure 28. Comparative deflection curves of flexible appendages under continuous and discrete DCC laws.
Figure 28. Comparative deflection curves of flexible appendages under continuous and discrete DCC laws.
Aerospace 12 00828 g028
Figure 29. (a) MATLAB Coder interface and (b) generated C code for the DCC control law.
Figure 29. (a) MATLAB Coder interface and (b) generated C code for the DCC control law.
Aerospace 12 00828 g029
Figure 30. Comparison of control output values between the original MATLAB function and its generated MEX counterpart.
Figure 30. Comparison of control output values between the original MATLAB function and its generated MEX counterpart.
Aerospace 12 00828 g030
Table 1. Comparison between the DC and the DCC scheme.
Table 1. Comparison between the DC and the DCC scheme.
AspectDCDCC
ModelingIgnores actuator phase inconsistencyExplicitly accounts for actuator phase inconsistency
ArchitectureIndependent local loops without coordinationCooperative framework with sensing–actuation coupling
Fault ToleranceGlobal performance degrades under failuresFailures cause only localized performance loss
PracticalitySimple but limited in scalability and robustnessSupported by distributed sensing and low computational load, enabling scalable embedded deployment
Table 2. Physical parameters of the system in the simulation.
Table 2. Physical parameters of the system in the simulation.
Physical ParameterValue
M  (kg)100
J  (kg· m2)160
R  (m)2
M 1  (kg)5
M 2  (kg)5
L 1  (m)5
L 2  (m)3
E I  (N·m2)120
ρ  (kg/m20
Table 3. Installation position of actuator j on flexible appendage i.
Table 3. Installation position of actuator j on flexible appendage i.
Index j = 1 j = 2 j = 3 j = 4
i = 1 1 m2 m3 m4 m
i = 2 0.6 m1.2 m1.8 m2.4 m
Table 4. Initial condition setting for system state vector.
Table 4. Initial condition setting for system state vector.
θ ( 0 ) θ ˙ ( 0 ) θ d X ( 0 ) X ˙ ( 0 ) X d Y ( 0 ) Y ˙ ( 0 ) Y d
000.2 rad000000
Table 5. Control gain coefficient setting of the central hub.
Table 5. Control gain coefficient setting of the central hub.
k p 1 k p 2 k p 3 k d 1 k d 2 k d 3
30251518080100
Table 6. Control gain coefficient setting of feedback calibration term.
Table 6. Control gain coefficient setting of feedback calibration term.
k p 11 k p 12 k p 13 k p 14 k p 21 k p 22 k p 23 k p 24
202540308888
k d 11 k d 12 k d 13 k d 14 k d 21 k d 22 k d 23 k d 24
−20−20−20−20−10−10−10−10
Table 7. Control gain coefficient setting of consensus coordination term.
Table 7. Control gain coefficient setting of consensus coordination term.
c 1 , 1 , 2 c 1 , 2 , 3 c 1 , 3 , 4 c 2 , 1 , 2 c 2 , 2 , 3 c 2 , 3 , 4
101010555
Disclaimer/Publisher’s Note: The statements, opinions and data contained in all publications are solely those of the individual author(s) and contributor(s) and not of MDPI and/or the editor(s). MDPI and/or the editor(s) disclaim responsibility for any injury to people or property resulting from any ideas, methods, instructions or products referred to in the content.

Share and Cite

MDPI and ACS Style

Cao, K.; Sun, P.; Zhou, Z.; Mo, F.; Wang, L.; Li, H.; Xiang, K.; Li, S. Distributed Cooperative Control of Flexible Spacecraft Based on PDE-ODE Coupled Dynamics Model. Aerospace 2025, 12, 828. https://doi.org/10.3390/aerospace12090828

AMA Style

Cao K, Sun P, Zhou Z, Mo F, Wang L, Li H, Xiang K, Li S. Distributed Cooperative Control of Flexible Spacecraft Based on PDE-ODE Coupled Dynamics Model. Aerospace. 2025; 12(9):828. https://doi.org/10.3390/aerospace12090828

Chicago/Turabian Style

Cao, Kai, Pan Sun, Zhitao Zhou, Fan Mo, Liguo Wang, Haiyang Li, Kaiheng Xiang, and Shuang Li. 2025. "Distributed Cooperative Control of Flexible Spacecraft Based on PDE-ODE Coupled Dynamics Model" Aerospace 12, no. 9: 828. https://doi.org/10.3390/aerospace12090828

APA Style

Cao, K., Sun, P., Zhou, Z., Mo, F., Wang, L., Li, H., Xiang, K., & Li, S. (2025). Distributed Cooperative Control of Flexible Spacecraft Based on PDE-ODE Coupled Dynamics Model. Aerospace, 12(9), 828. https://doi.org/10.3390/aerospace12090828

Note that from the first issue of 2016, this journal uses article numbers instead of page numbers. See further details here.

Article Metrics

Back to TopTop