A High-Efficient Modeling Method for Aerodynamic Loads of an Airfoil with Active Leading Edge Based on RFA and CFD
Abstract
1. Introduction
2. Methods
2.1. Computational Fluid Dynamics (CFD)
2.2. Rational Function Approximation (RFA)
2.3. Identification of Coefficient Matrices
3. Validations of the Applied Methods
3.1. CFD Method
3.2. Identification Method
3.2.1. Steady Components
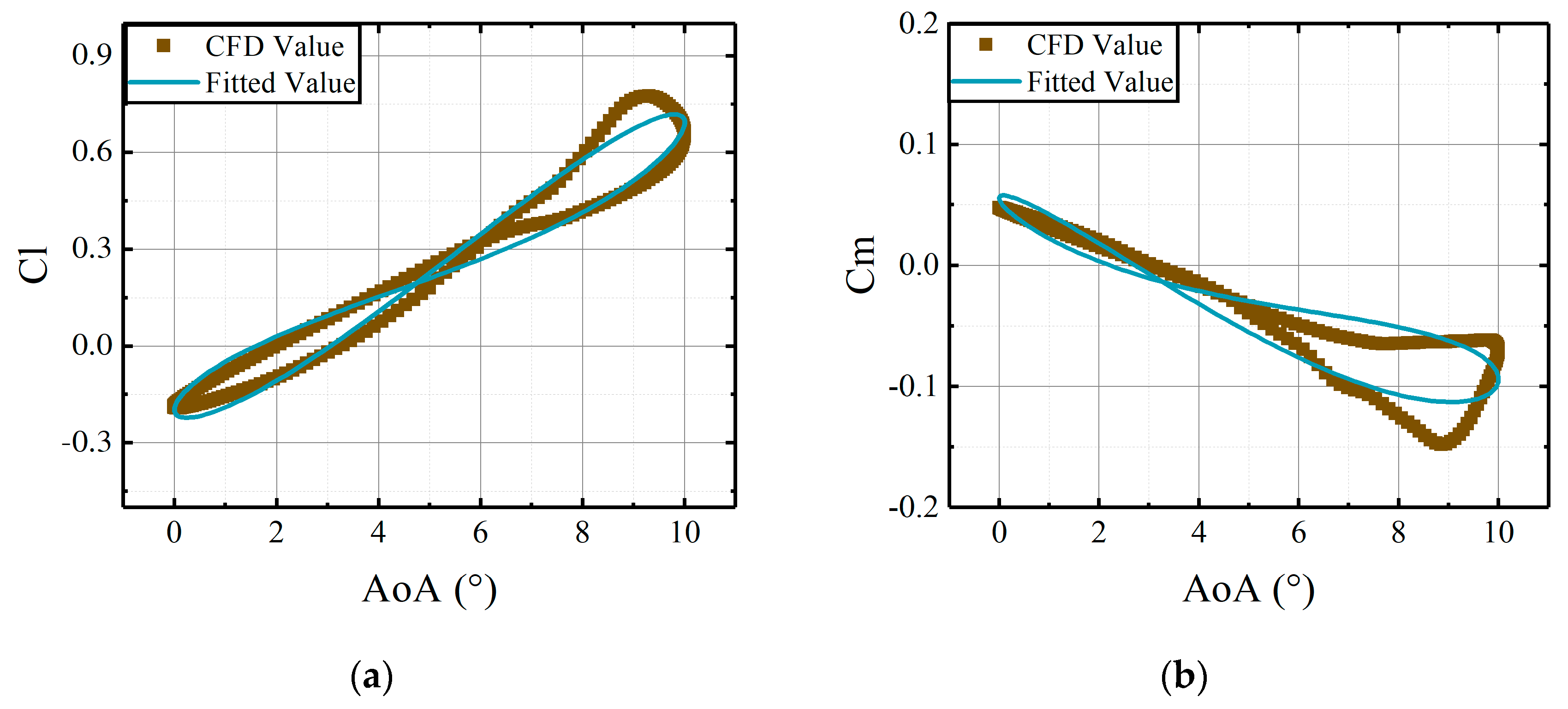
3.2.2. Dynamic Components
- (1)
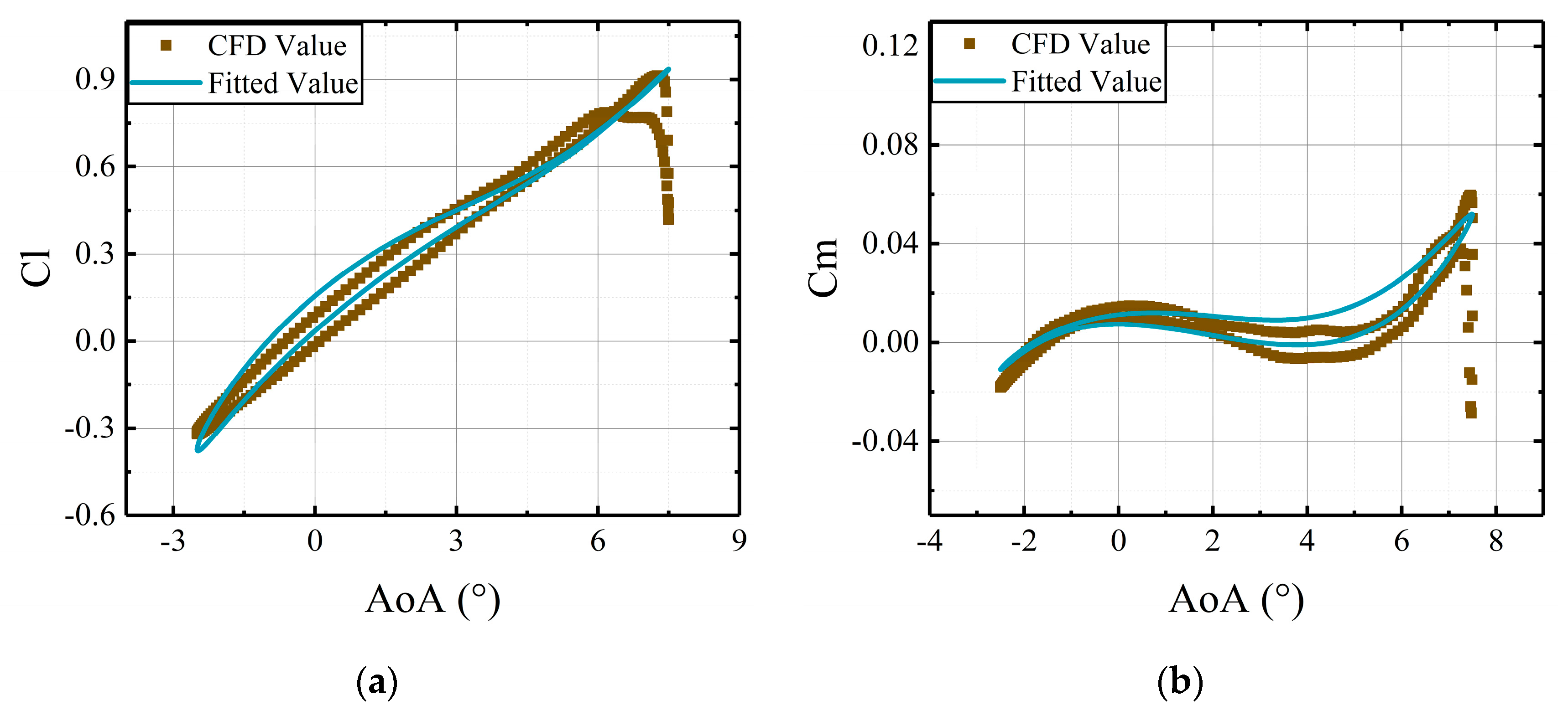
- Parameter identification of active leading edge under independent deflections
- (2)
- Parameter identification of the main airfoil under pitch motions
- (3)
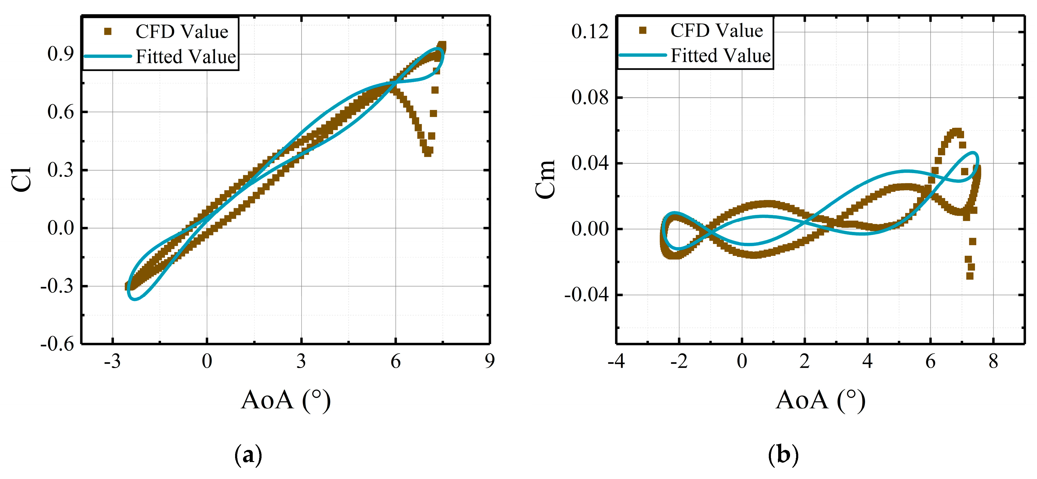
- Parameter identification of active leading edge under pitch control
4. Validations of the Aerodynamic Model
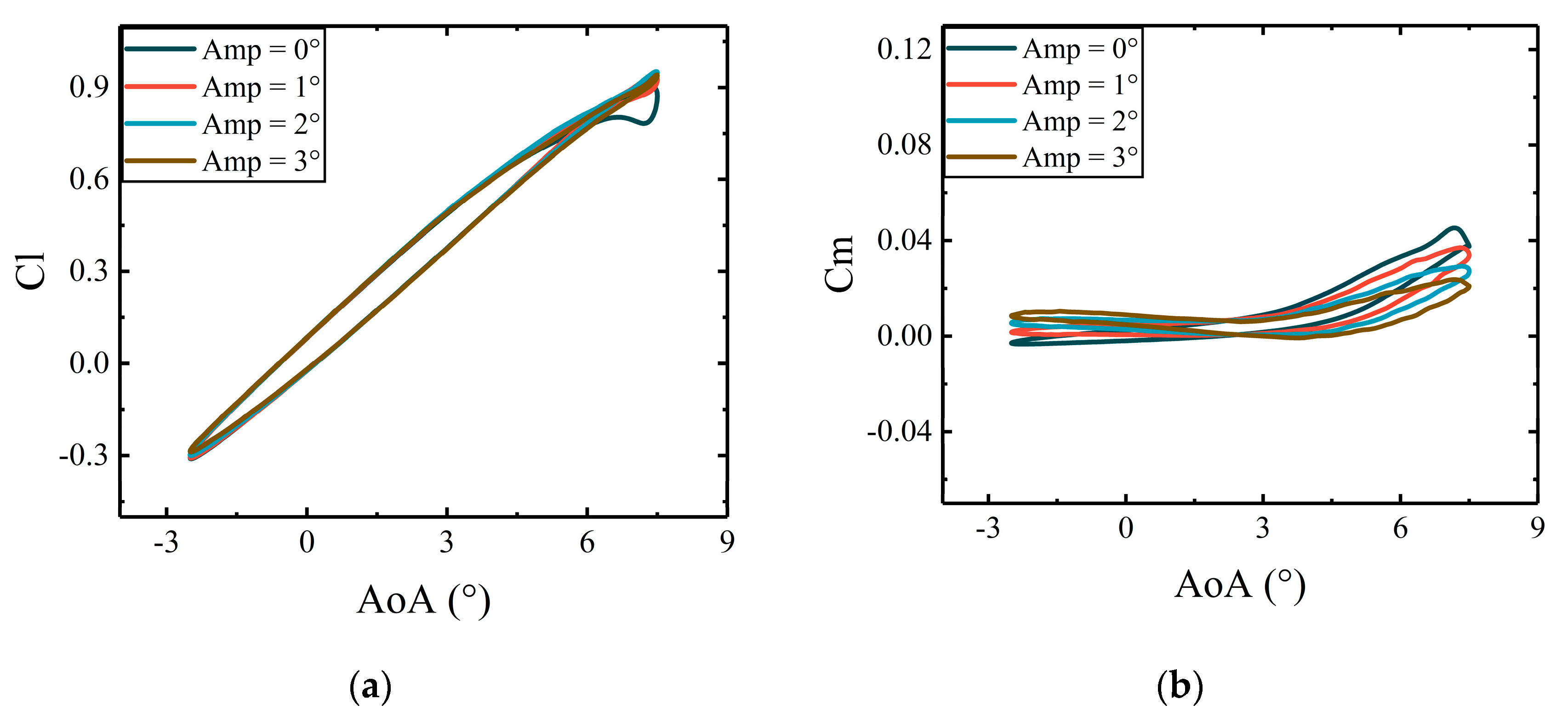
4.1. Deflection Amplitudes of Active Leading Edge
4.2. Deflection Frequencies of Active Leading Edge
4.3. Deflection Phases of Active Leading Edge
4.4. The Comparisons of Error Distributions and Computational Efficiency
5. Conclusions
- (1)
- For the airfoil with an active leading edge, the CFD method with an overlapping grid approach can simulate the unsteady flow accurately within the narrow gap. The high-fidelity CFD results can be used in the modeling process developed in this study. However, the CFD method is relatively inefficient and time-consuming.
- (2)
- The coefficient matrices of the RFA approach can concisely establish the relationship between aerodynamic loads and airfoil motions. The computational results from the developed model are in good agreement with the CFD results. The identification method can be applied to identify the matrices from the RFA approach, which helps to improve the accuracy of the developed model.
- (3)
- The shapes of components for the airfoil with an active leading edge can be considered in the developed model based on the CFD method. Thus, under reasonable boundary conditions, the model developed in this study can accurately and efficiently calculate the aerodynamic loads for the airfoil with an active leading edge. Compared to the CFD method, the computational efficiency of the model provides a distinct advantage for computationally intensive applications such as the aeroelastic analysis of active rotor.
Author Contributions
Funding
Institutional Review Board Statement
Informed Consent Statement
Data Availability Statement
Conflicts of Interest
References
- Friedmann, P.P. On-blade control of rotor vibration, noise, and performance: Just around the corner? J. Am. Helicopter Soc. 2014, 59, 1–37. [Google Scholar] [CrossRef]
- Enenkl, B.; Klöppel, V.; Preißler, D.; Jänker, P. Full scale rotor with piezoelectric actuated blade flaps. In Proceedings of the 28th European Rotorcraft Forum, Bristol, UK, 17–19 September 2002; Royal Aeronautical Society: London, UK, 2002. [Google Scholar]
- Straub, F.K.; Kennedy, D.K.; Stemple, A.D.; Anand, V.R.; Birchette, T.S. Development and whirl tower test of the SMART active flap rotor. In Proceedings of the SPIE-The International Society for Optical Engineering, San Diego, CA, USA, 14–18 March 2004; SPIE: Washington, DC, USA, 2004; pp. 1–11. [Google Scholar] [CrossRef]
- Straub, F.K.; Anand, V.R.; Birchette, T.S.; Lau, B.H. Smart rotor development and wind tunnel test. In Proceedings of the 35th European Rotorcraft Forum, Hamburg, Germany, 22–25 September 2009; DGLR: Berlin, Germany, 2009; pp. 413–434. [Google Scholar]
- Lorber, P.; Neill, J.J.; Hein, B.; Isabella, B.; Andrews, J.; Brigley, M.; Wong, J.; LeMasurier, P.; Wake, B. Whirl and wind tunnel testing of the Sikorsky active flap demonstration rotor. In Proceedings of the 67th American Helicopter Society, Virginia Beach, VA, USA, 3–5 May 2011; AHS International: Fairfax, VA, USA, 2011; pp. 3138–3156. [Google Scholar]
- Dieterich, O.; Enenkl, B.; Roth, D. Trailing edge flaps for active rotor control aeroelastic characteristics of the ADASYS rotor system. In Proceedings of the 62nd American Helicopter Society, Phoenix, AZ, USA, 9–11 May 2006; AHS International: Fairfax, VA, USA, 2006; pp. 964–985. [Google Scholar]
- Stacey, S.; Connolly, N.; Court, P.; Allen, J.; Monteggia, C.; Oliveros, J.M. Leonardo helicopters active rotor programmes to improve helicopter comfort & performance. In Proceedings of the 74th American Helicopter Society, Phoenix, AZ, USA, 14–17 May 2018; Vertical Flight Society: Fairfax, VA, USA, 2018; pp. 2866–2882. [Google Scholar]
- Zhou, J. Research on Vibration Control of Active Rotor with Trailing-Edge Flaps. Ph.D. Thesis, Nanjing University of Aero-nautics and Astronautics, Nanjing, China, 2021. [Google Scholar]
- Jing, S.; Zhao, G.; Gao, Y.; Zhao, Q. Effects of leading edge radius on stall characteristics of rotor airfoil. Aerospace 2024, 11, 470. [Google Scholar] [CrossRef]
- Martin, P.B.; McAlister, K.W.; Chandrasekhara, M.S.; Geissler, W. Dynamic stall measurements and computations for a VR-12 airfoil with a variable droop leading edge. In Proceedings of the AHS International Forum 59, Phoenix, AZ, USA, 6–8 May 2003. [Google Scholar]
- Geissler, W.; Dietz, G.; Mai, H.; Junker, B.; Lorkowski, T. Dynamic stall control investigations on a full size chord blade section. In Proceedings of the 30th European Rotorcraft Forum, Marseilles, France, 14–16 September 2004. [Google Scholar]
- Geissler, W.; Dietz, G.; Mai, H. Dynamic stall on a supercritical airfoil. Aerosp. Sci. Technol. 2005, 9, 390–399. [Google Scholar] [CrossRef]
- Niu, J.; Lei, J.; Lu, T. Numerical research on the effect of variable droop leading-edge on oscillating NACA 0012 airfoil dynamic stall. Aerosp. Sci. Technol. 2018, 72, 476–485. [Google Scholar] [CrossRef]
- Mishra, A. A Coupled CFD/CSD Investigation of the Effects of Leading Edge Slat on Rotor Performance. Ph.D. Thesis, University of Maryland, College Park, MD, USA, 2021. [Google Scholar]
- Mishra, A.; Baeder, J.D. Coupled aeroelastic prediction of the effects of leading-edge slat on rotor performance. J. Aircr. 2016, 53, 141–157. [Google Scholar] [CrossRef]
- Wang, H.; Jiang, X.; Chao, Y.; Li, Q.; Li, M.; Zheng, W.; Chen, T. Effects of leading edge slat on flow separation and aerodynamic performance of wind turbine. Energy 2019, 182, 988–998. [Google Scholar] [CrossRef]
- Yeo, H.; Bosworth, J.; Acree, C.W., Jr.; Kreshock, A.R. Comparison of CAMRAD II and RCAS predictions of tiltrotor aeroelastic stability. In Proceedings of the 73rd American Helicopter Society, Fort Worth, TX, USA, 9–11 May 2017. [Google Scholar]
- Saberi, H.; Hasbun, M.; Hong, J.Y.; Yeo, H.; Ormiston, R.A. Overview of RCAS capabilities, validations, and rotorcraft applications. In Proceedings of the 71st American Helicopter Society, Virginia Beach, VA, USA, 5–7 May 2015. [Google Scholar]
- Shen, J. Comprehensive Aeroelastic Analysis of Helicopter Rotor with Trailing-Edge Flap for Primary Control and Vibration Control. Ph.D. Thesis, University of Maryland, College Park, MD, USA, 2003. [Google Scholar]
- Kim, J. Design and Analysis of Rotor Systems with Multiple Trailing Edge Flaps and Resonant Actuators. Ph.D. Thesis, The Pennsylvania State University, University Park, PA, USA, 2005. [Google Scholar]
- Myrtle, T.F.; Friedmann, P.P. Application of a new compressible time domain aerodynamic model to vibration reduction in helicopters using an actively controlled flap. In Proceedings of the 24th European Rotorcraft Forum, Marseilles, France, 15–17 September 1998. [Google Scholar]
- Liu, L.; Friedmann, P.P.; Padthe, A.K. An approximate unsteady aerodynamic model for flapped airfoils including improved drag predictions. In Proceedings of the 34th European Rotorcraft Forum, Liverpool, UK, 16–19 September 2008. [Google Scholar]
- Liu, L.; Padthe, A.K.; Friedmann, P.P. Computational study of Microflaps with application to vibration reduction in helicopter rotors. AIAA J. 2011, 49, 1450–1465. [Google Scholar] [CrossRef]
- Padthe, A.K.; Liu, L.; Friedmann, P.P. A comprehensive study of active Microflaps for vibration reduction in rotorcraft. In Proceedings of the 66th American Helicopter Society, Phoenix, AZ, USA, 11–13 May 2010. [Google Scholar]
- Tiffany, S.H.; Adams, W.M. Nonlinear Programming Extensions to Rational Function Approximation Methods for Unsteady Aerodynamic Forces; NASA TP-2776; NASA: Washington, DC, USA, 1988.
- Rogers, K.L. Airplane Math Modeling Methods for Active Control Design; AGARD CP-228; NASA: Washington, DC, USA, August 1977; pp. 1–11.
- Hsieh, W.W. Nonlinear multivariate and time series analysis by neural network methods. Rev. Geophys. 2004, 42, 1–25. [Google Scholar] [CrossRef]
- Spaid, F.W. High Reynolds number, multielement airfoil flowfield measurements. J. Aircr. 2000, 37, 499–507. [Google Scholar] [CrossRef]
- Pascioni, K.A.; Cattafesta, L.N.; Choudhari, M.M. An experimental investigation of the 30P30N multi-element high-lift airfoil. In Proceedings of the 20th AIAA/CEAS Aeroacoustics Conference (35th AIAA Aeroacoustics Conference), Atlanta, GA, USA, 16–20 June 2014. [Google Scholar] [CrossRef]
- McCroskey, W.J.; McAlister, K.W.; Carr, L.W.; Pucci, S.L. An Experimental Study of Dynamic Stall on Advanced Airfoil Sections Volume 1: Summary of the Experiment; NASA TM-84245; NASA: Washington, DC, USA, 1982.





























| Parameter | Value/Description |
|---|---|
| Airfoil | NACA0012 |
| Mach number of freestream (Ma) | 0.1 |
| Chord (m) | 1 |
| Pitch motions (°) | |
| Flow field radius (m) | 30 |
| First cell height (m) |
| Parameter | Value/Description |
|---|---|
| Airfoil | NACA0012 |
| Mach number of freestream (Ma) | 0.6 |
| Chord (m) | 1 |
| Pitch motions of ith component (°) | |
| Flow field radius (m) | 50 |
| Chord length of active leading edge (m) | 0.2 |
| Gap size (m) | 0.002 |
| First cell height (m) |
| Components | Parameter | Value |
|---|---|---|
| Main airfoil | (Ma) | 0.6 |
| (°) | 2.5 | |
| (°) | 5 | |
| (Hz) | 1 | |
| (°) | 0 | |
| Active leading edge | (Hz) | 1 |
| (°) | 180 |
| Components | Parameter | Value |
|---|---|---|
| Main airfoil | (Ma) | 0.6 |
| (°) | 2.5 | |
| (°) | 5 | |
| (Hz) | 1 | |
| (°) | 0 | |
| Active leading edge | (°) | 3 |
| (°) | 180 |
| Components | Parameter | Value |
|---|---|---|
| Main airfoil | (Ma) | 0.6 |
| (°) | 2.5 | |
| (°) | 5 | |
| (Hz) | 1 | |
| (°) | 0 | |
| Active leading edge | (°) | 3 |
| (Hz) | 1 |
Disclaimer/Publisher’s Note: The statements, opinions and data contained in all publications are solely those of the individual author(s) and contributor(s) and not of MDPI and/or the editor(s). MDPI and/or the editor(s) disclaim responsibility for any injury to people or property resulting from any ideas, methods, instructions or products referred to in the content. |
© 2025 by the authors. Licensee MDPI, Basel, Switzerland. This article is an open access article distributed under the terms and conditions of the Creative Commons Attribution (CC BY) license (https://creativecommons.org/licenses/by/4.0/).
Share and Cite
Fang, S.; Zhang, S.; Zhou, J.; Yang, W. A High-Efficient Modeling Method for Aerodynamic Loads of an Airfoil with Active Leading Edge Based on RFA and CFD. Aerospace 2025, 12, 632. https://doi.org/10.3390/aerospace12070632
Fang S, Zhang S, Zhou J, Yang W. A High-Efficient Modeling Method for Aerodynamic Loads of an Airfoil with Active Leading Edge Based on RFA and CFD. Aerospace. 2025; 12(7):632. https://doi.org/10.3390/aerospace12070632
Chicago/Turabian StyleFang, Shengyong, Sheng Zhang, Jinlong Zhou, and Weidong Yang. 2025. "A High-Efficient Modeling Method for Aerodynamic Loads of an Airfoil with Active Leading Edge Based on RFA and CFD" Aerospace 12, no. 7: 632. https://doi.org/10.3390/aerospace12070632
APA StyleFang, S., Zhang, S., Zhou, J., & Yang, W. (2025). A High-Efficient Modeling Method for Aerodynamic Loads of an Airfoil with Active Leading Edge Based on RFA and CFD. Aerospace, 12(7), 632. https://doi.org/10.3390/aerospace12070632
