Research on Micro-Propulsion Performance of Laser Ablation ADN-Based Liquid Propellant Enhanced by Chemical Energy
Abstract
1. Introduction
2. Experimental Setup and Methods
2.1. Preparation of Liquid Propellants
2.2. Propulsion Performance Measurements
3. Results and Discussion
3.1. Propulsion Performance Analysis of Propellants Containing Different Chemical Energy
3.2. Propulsion Performance Model
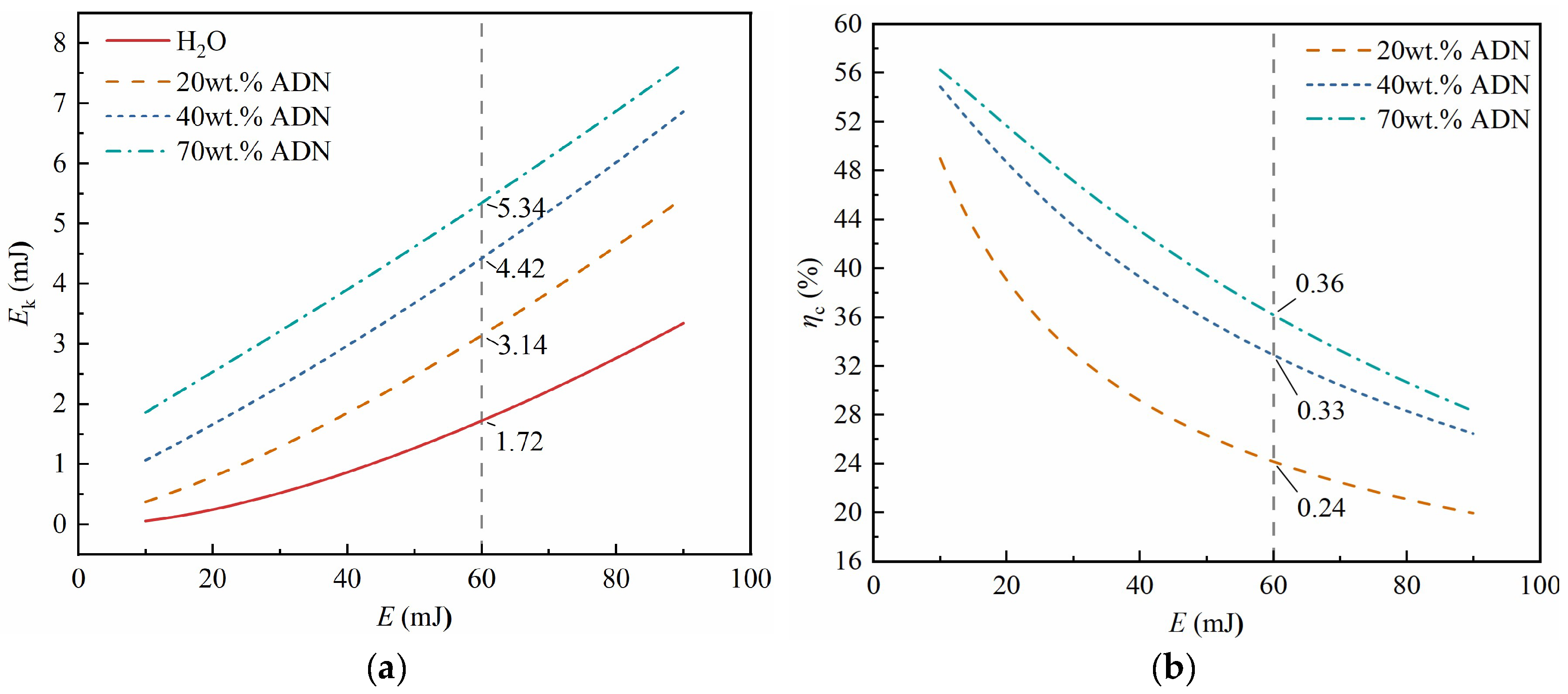
3.3. Effect of Chemical Energy in ADN-Based Liquid Propellants
3.4. Effect of Chemical-Specific Energy and Laser Specific Energy on the Ablation Efficiency
4. Conclusions
- (1)
- In the experiment, the propellant with a higher ADN mass fraction had a higher chemical energy content and better propulsion performance. The 70 wt.% ADN had a maximum impulse of 11.23 μN·s, maximum impulse coupling coefficient of 428.51 μN/W, maximum specific impulse of 167.55 s, and maximum ablation efficiency of 17.50%. Among them, the improvement in the specific impulse compared to H2O was as high as 19%.
- (2)
- The established propulsion performance model’s results were in good agreement with the experimental data and could effectively explain the observed variations in the propulsion parameters. This research method can be applied to different types or concentrations of propellants, but the specific parameters of the theoretical model need to be confirmed according to the actual situation. When considering the actual contribution of the chemical energy to the kinetic energy, it is necessary to exclude the absorption heat caused by the reduction in water. For energetic propellants, the actual contribution rate of the chemical energy to the kinetic energy gradually decreases with the increase in laser energy. Therefore, in order to maximize the contribution rate of the chemical energy, it is advisable to focus on reducing the breakdown threshold of the material.
- (3)
- Under the premise of the breakdown occurring in the propellant and with no plasma shielding, the relationship between the ablation efficiency and chemical specific energy and laser specific energy determined in this article has certain universality and can be used for the design of experimental conditions and the verification of experimental results. According to this relationship, the approach to improving the ablation efficiency is to increase the chemical specific energy and reduce the breakdown threshold. In addition, the research methods discussed in this article can serve as a reference for the laser micro-ablation of other energetic materials. When laser ablation micro-thrusters using energetic liquid as a propellant are applied, the research can serve as a reference for the design of working conditions and the optimization of parameters, reducing the costs of attitude control and orbital maneuvers for micro–nano satellites. By matching the chemical energy and laser energy, situations in which the laser energy is too low to effectively release chemical energy can be avoided.
Author Contributions
Funding
Data Availability Statement
Conflicts of Interest
Appendix A

References
- Kantrowitz, A. Propulsion to Orbit by Ground-based Laser. Astronaut. Aeronaut 1972, 10, 74–76. [Google Scholar]
- Phipps, C.R. Laser Ablation Propulsion and Its Applications in Space. In Advances in the Application of Lasers in Materials Science; Ossi, P.M., Ed.; Springer Series in Materials Science; Springer International Publishing: Cham, Switzerland, 2018; pp. 217–246. [Google Scholar]
- Phipps, C.R.; Loktionov, E.Y.; Bonnal, C.; Boyer, S.A.E.; Sharaborova, E.; Tahan, G. Is Laser Space Propulsion Practical?: Review. Appl. Optics 2021, 60, H1–H11. [Google Scholar] [CrossRef]
- Phipps, C.R.; Luke, J.R.; Lippert, T.; Hauer, M.; Wokaun, A. Micropropulsion Using Laser Ablation. Appl. Phys. A 2004, 79, 1385–1389. [Google Scholar] [CrossRef]
- Phipps, C.; Luke, J.; Lippert, T.; Hauer, M.; Wokaun, A. Micropropulsion Using a Laser Ablation Jet. J. Propul. Power 2004, 20, 1000–1011. [Google Scholar] [CrossRef]
- Sinko, J.E.; Pakhomov, A.V.; Pakhomov, A.V. Laser Propulsion with Liquid Propellants Part I: An Overview. AIP Conf. Proc. 2008, 997, 195–208. [Google Scholar] [CrossRef]
- Inogamov, N.A.; Petrov, Y.V.; Khokhlov, V.A.; Zhakhovskii, V.V. Laser Ablation: Physical Concepts and Applications. High Temp. 2020, 58, 632–646. [Google Scholar] [CrossRef]
- Yu, H.C.; Li, H.Y.; Wang, Y.; Cui, L.G.; Liu, S.Q.; Yang, J. Brief review on pulse laser propulsion. Opt. Laser Technol. 2018, 100, 57–74. [Google Scholar] [CrossRef]
- Krejci, D.; Lozano, P. Space Propulsion Technology for Small Spacecraft. Proc. IEEE 2018, 106, 362–378. [Google Scholar] [CrossRef]
- Tummala, A.R.; Dutta, A. An Overview of Cube-Satellite Propulsion Technologies and Trends. Aerospace 2017, 4, 58. [Google Scholar] [CrossRef]
- Ou, Y.; Wu, J.J.; Cheng, Y.Q.; Zhang, Y.; Li, Y.Q. Measurement Method and Results of Divergence Angle of Laser-Controlled Solid Propellants Used in Space Propulsion. Chin. J. Aeronaut. 2023, 36, 195–206. [Google Scholar] [CrossRef]
- Robledo-Martinez, A.; Sobral, H.; Garcia-Villarreal, L.A. Dynamics of the plasma induced by laser on a cryogenically cooled aluminum target for application in space propulsion. Phys. Plasmas 2024, 31, 013501. [Google Scholar] [CrossRef]
- Ye, J.F.; Wang, S.B.; Chang, H.; Hong, Y.J.; Li, N.L.; Zhou, W.J.; Xing, B.Y.; Du, B.D.; Xie, C.Y. Development of a Laser Micro-Thruster and On-Orbit Testing. Aerospace 2024, 11, 23. [Google Scholar] [CrossRef]
- Battocchio, P.; Bazzanella, N.; Orlandi, M.; Ischia, G.; Miotello, A. Carbon nanoparticles as absorbers in PVC for laser ablation propulsion: Size effects. Appl. Phys. A 2023, 129, 220. [Google Scholar] [CrossRef]
- Senegačnik, M.; Jezeršek, M.; Gregorčič, P. Propulsion Effects After Laser Ablation in Water, Confined by Different Geometries. Appl. Phys. A 2020, 126, 136. [Google Scholar] [CrossRef]
- Cui, C.Y.; Hong, Y.J.; Ye, J.F.; Wen, M.; Li, N.L. Effects of laser energy density on impulse coupling coefficient of laser ablation of water for propulsion. Appl. Phys. A 2011, 103, 239–243. [Google Scholar] [CrossRef]
- Lele, L.; Zhiguo, D.; Jifei, Y.; Dongdong, C. Experimental analysis of carbon-doped glycidyl azide polymer with Nd:YAG laser pulse in vacuum. In Proceedings of the International Symposium on Optoelectronic Technology and Application 2018, Beijing, China, 21–23 May 2018; p. 108440A. [Google Scholar]
- Cao, J.; Du, B.; Wu, L.; Zhang, W.; Pan, Y.; Ye, Y.; Shen, R.; Zhou, B. The influence of aluminum nanoparticles on the laser ablation characteristics of hydroxylamine nitrate-based liquid propellants. Acta Astronaut. 2022, 197, 169–178. [Google Scholar] [CrossRef]
- Zhang, Y.; Zhang, D.X.; Wu, J.J.; He, Z.; Zhang, H. A Novel Laser Ablation Plasma Thruster with Electromagnetic Acceleration. Acta Astronaut. 2016, 127, 438–447. [Google Scholar] [CrossRef]
- Urech, L.; Lippert, T.; Phipps, C.R.; Wokaun, A. Polymers as fuel for laser-based microthrusters: An investigation of thrust, material, plasma and shockwave properties. Appl. Surf. Sci. 2007, 253, 7646–7650. [Google Scholar] [CrossRef]
- Ou, Y.; Wu, J.; Zhang, Y. Dynamic simulation and model of laser ablation of Al/PTFE material in the vacuum. Appl. Math. Model. 2022, 105, 670–689. [Google Scholar] [CrossRef]
- Li, Y.; Ou, Y.; Wu, J.; Zhang, Y. Modeling and simulation of laser-ignited Al-PTFE reactive material in vacuum. Case Stud. Therm. Eng. 2024, 61, 104827. [Google Scholar] [CrossRef]
- Ou, Y.; Wu, J.; Zhang, Y.; Li, J.; Zhao, Y. Plume characteristics of polymeric material doped with different metal particles under pulsed laser irradiation. Opt. Laser Technol. 2022, 152, 108132. [Google Scholar] [CrossRef]
- Wang, S.B.; Du, B.D.; Du, B.S.; Zheng, Y.Z.; Hong, Y.J.; Ye, J.F.; Xing, B.Y.; Li, C.L.; Zhang, Y.H. Impacts of Laser Pulse Width and Target Thickness on Laser Micro-Propulsion Performance. Plasma Sci. Technol. 2022, 24, 105504. [Google Scholar] [CrossRef]
- Lippert, T.; Urech, L.; Fardel, R.; Nagel, M.; Phipps, C.R.; Wokaun, A. Materials for Laser Propulsion: “Liquid” Polymers. In Proceedings of the High-Power Laser Ablation 2008, Taos, NM, USA, 20–24 April 2008; p. 700512. [Google Scholar] [CrossRef]
- Fardel, R.; Urech, L.; Lippert, T.; Phipps, C.; Fitz-Gerald, J.M.; Wokaun, A. Laser Ablation of Energetic Polymer Solutions: Effect of Viscosity and Fluence on the Splashing Behavior. Appl. Phys. A 2008, 94, 657–665. [Google Scholar] [CrossRef]
- Qi, J.; Zhang, S.; Liang, T.; Tang, W.; Xiao, K.; Gao, L.; Gao, H.; Zhang, Z.; Zheng, Z. Plasma characteristics of energetic liquid polymer ablated by nanosecond laser pulses. Front. Optoelectron. 2018, 11, 261–266. [Google Scholar] [CrossRef]
- Koizumi, H.; Inoue, T.; Arakawa, Y.; Nakano, M. Dual Propulsive Mode Microthruster Using a Diode Laser. J. Propul. Power 2005, 21, 1133–1136. [Google Scholar] [CrossRef]
- Phipps, C.; Luke, J. Diode Laser-Driven Microthrusters: A New Departure for Micropropulsion. AIAA J. 2002, 40, 310–318. [Google Scholar] [CrossRef]
- Phipps, C.; Birkan, M.; Bohn, W.; Eckel, H.-A.; Horisawa, H.; Lippert, T.; Michaelis, M.; Rezunkov, Y.; Sasoh, A.; Schall, W.; et al. Review: Laser-Ablation Propulsion. J. Propul. Power 2010, 26, 609–637. [Google Scholar] [CrossRef]
- Phipps, C.R.; Luke, J.R.; Helgeson, W. Liquid-Fueled, Laser-Powered, N-Class Thrust Space Engine with Variable Specific Impulse. AIP Conf. Proc. 2008, 997, 222–231. [Google Scholar] [CrossRef]
- Itouyama, N.; Wada, A.; Habu, H.; Sago, Y. Conceptual Design of Small-Sized Thruster Using Laser Ignition of High-Energy Monopropellant. J. Propul. Power 2023, 39, 416–425. [Google Scholar] [CrossRef]
- Wingborg, N. Ammonium Dinitramide–Water: Interaction and Properties. J. Chem. Eng. Data 2006, 51, 1582–1586. [Google Scholar] [CrossRef]
- Tian, Y.B.; Xu, W.B.; Cong, W.M.; Bi, X.Q.; He, J.H.; Song, Z.; Guan, H.L.; Huang, C.D.; Wang, X.D. Research Progress on the Catalytic and Thermal Decomposition of Ammonium Dinitramide (ADN). RSC Adv. 2024, 14, 3636–3646. [Google Scholar] [CrossRef] [PubMed]
- Ide, Y.; Takahashi, T.; Iwai, K.; Nozoe, K.; Habu, H.; Tokudome, S. Potential of ADN-based Ionic Liquid Propellant for Spacecraft Propulsion. Procedia Eng. 2015, 99, 332–337. [Google Scholar] [CrossRef]
- Hou, Y.Y.; Yu, Y.S.; Liu, X.H.; Chen, J.; Zhang, T. Experimental Study on Microwave-Assisted Ignition and Combustion Characteristics of ADN-Based Liquid Propellant. ACS Omega 2021, 6, 22937–22944. [Google Scholar] [CrossRef] [PubMed]
- Li, L.; Li, G.X.; Li, H.M.; Yao, Z.P.; Zhang, T.; Wu, J.Z.; Zhang, S. Effects of Ignition Voltage and Electrode Structure on Electric Ignition and Combustion Characteristics of Ammonium Dinitramide (ADN)-Based Liquid Propellants in Electric Ignition Mode in Inert Gas Environment. Chin. J. Aeronaut. 2024, 37, 229–242. [Google Scholar] [CrossRef]
- Mao, C.; Jiang, L.; Du, B.; Zheng, Y.; Cui, H.; Wang, D.; Ye, J.; Han, J.; Hong, Y. Theoretical Investigation of Laser Ablation Propulsion Using Micro-Scale Fluid in Atmosphere. Aerospace 2024, 11, 622. [Google Scholar] [CrossRef]
- Cao, J.L.; Cui, H.C.; Zheng, Y.Z.; Pan, Y.; Zhang, J.Y.; Wu, L.Z.; Zhou, B.; Ye, Y.H.; Shen, R.Q. Effect of Absorption Depth on Chemical Energy Release from Laser Ablation of ADN-Based Liquid Propellants. Acta Astronaut. 2023, 204, 116–123. [Google Scholar] [CrossRef]
- Du, B.S.; Zheng, Y.Z.; Mao, C.T.; Cui, H.C.; Han, J.H.; Jiang, L.Y.; Ye, J.F.; Hong, Y.J. Transmissive Mode Laser Micro-Ablation Performance of Ammonium Dinitramide-Based Liquid Propellant for Laser Micro-Thruster. Micromachines 2023, 14, 1219. [Google Scholar] [CrossRef]
- Phipps, C.R.; Luke, J.R.; McDuff, G.G.; Lippert, T. Laser Ablation Powered Mini-Thruster. In Proceedings of the International Symposium on High-Power Laser Ablation 2002, Taos, NM, USA, 21–26 April 2002; pp. 833–842. [Google Scholar]
- Yu, C.H.; Ye, J.F.; Chang, H.; Zhou, W.J.; Han, X.; Li, M.Y.; Gao, H.Y. Experimental Research on Characteristics of Impulse Coupling and Plasma Plume Generated by Laser Irradiating Copper Target with Nanosecond Pulsed Laser Propulsion. Aerospace 2023, 10, 544. [Google Scholar] [CrossRef]
- Phipps, C.R.; Turner, T.P.; Harrison, R.F.; York, G.W.; Osborne, W.Z.; Anderson, G.K.; Corlis, X.F.; Haynes, L.C.; Steele, H.S.; Spicochi, K.C.; et al. Impulse Coupling to Targets In Vacuum By KrF, HF, and CO2 Single-Pulse Lasers. J. Appl. Phys. 1988, 64, 1083–1096. [Google Scholar] [CrossRef]
- CRC Handbook of Chemistry and Physics, 97th ed.; Haynes, W.M., Ed.; CRC Press: Boca Raton, FL, USA, 2016; pp. 1–5. [Google Scholar]








| Propellant | H2O | 20 wt.% ADN | 40 wt.% ADN | 70 wt.% ADN |
|---|---|---|---|---|
| IR1036 mass fraction | 0.3% | 0.3% | 0.3% | 0.4% |
| Absorbance | 99.0% | 98.6% | 99.2% | 99.5% |
| Propellant | H2O | 20 wt.% ADN | 40 wt.% ADN | 70 wt.% ADN |
|---|---|---|---|---|
| a (μN·s) | −0.491 ± 0.025 | 0.702 ± 0.050 | 2.347 ± 0.084 | 3.800 ± 0.030 |
| b (10−9/4·(μN)1/4·m−3/4·s) | 0.230 ± 0.002 | 0.257 ± 0.003 | 0.243 ± 0.005 | 0.220 ± 0.002 |
| R2 | 0.9999 | 0.9997 | 0.9990 | 0.9998 |
Disclaimer/Publisher’s Note: The statements, opinions and data contained in all publications are solely those of the individual author(s) and contributor(s) and not of MDPI and/or the editor(s). MDPI and/or the editor(s) disclaim responsibility for any injury to people or property resulting from any ideas, methods, instructions or products referred to in the content. |
© 2025 by the authors. Licensee MDPI, Basel, Switzerland. This article is an open access article distributed under the terms and conditions of the Creative Commons Attribution (CC BY) license (https://creativecommons.org/licenses/by/4.0/).
Share and Cite
Jiang, L.; Ye, J.; Mao, C.; Du, B.; Cui, H.; Han, J.; Zheng, Y.; Hong, Y. Research on Micro-Propulsion Performance of Laser Ablation ADN-Based Liquid Propellant Enhanced by Chemical Energy. Aerospace 2025, 12, 149. https://doi.org/10.3390/aerospace12020149
Jiang L, Ye J, Mao C, Du B, Cui H, Han J, Zheng Y, Hong Y. Research on Micro-Propulsion Performance of Laser Ablation ADN-Based Liquid Propellant Enhanced by Chemical Energy. Aerospace. 2025; 12(2):149. https://doi.org/10.3390/aerospace12020149
Chicago/Turabian StyleJiang, Luyun, Jifei Ye, Chentao Mao, Baosheng Du, Haichao Cui, Jianhui Han, Yongzan Zheng, and Yanji Hong. 2025. "Research on Micro-Propulsion Performance of Laser Ablation ADN-Based Liquid Propellant Enhanced by Chemical Energy" Aerospace 12, no. 2: 149. https://doi.org/10.3390/aerospace12020149
APA StyleJiang, L., Ye, J., Mao, C., Du, B., Cui, H., Han, J., Zheng, Y., & Hong, Y. (2025). Research on Micro-Propulsion Performance of Laser Ablation ADN-Based Liquid Propellant Enhanced by Chemical Energy. Aerospace, 12(2), 149. https://doi.org/10.3390/aerospace12020149

