Next Article in Journal
Experimental and Numerical Assessment of Crashworthiness Properties of Composite Materials: A Review
Next Article in Special Issue
Exploration of Solar Power System Integration for Sustainable Air Transportation—A Case Study for Seaplane Air Taxi Operations
Previous Article in Journal
The Effect of Contraction–Expansion Nozzle on High-Temperature Shock Tube Flow
Previous Article in Special Issue
Concept Evaluation of Radical Short–Medium-Range Aircraft with Turbo-Electric Propulsion
 
 
Font Type:
Arial Georgia Verdana
Font Size:
Aa Aa Aa
Line Spacing:
Column Width:
Background:
Article

Characterizing the Full Climate Impact of Individual Real-World Flights Using a Linear Temperature Response Model

Department of Mechanical, Manufacturing and Biomedical Engineering, Trinity College Dublin, University of Dublin, D02 PN40 Dublin, Ireland
*
Author to whom correspondence should be addressed.
Aerospace 2025, 12(2), 121; https://doi.org/10.3390/aerospace12020121
Submission received: 11 December 2024 / Revised: 21 January 2025 / Accepted: 31 January 2025 / Published: 5 February 2025

Abstract

Aviation’s non-CO2 effects account for approximately 66% of the sector’s Effective Radiative Forcing (ERF). However, non-CO2 emissions and their climate effects are particularly challenging to assess due to the number of variables involved. This research provides a framework for characterizing the full climate impact of individual real-world flights in terms of global surface temperature change (ΔT) with the aid of a validated CFM56-7B26/3 engine model and spatially and temporally resolved meteorological data. Different modelling methods were used to evaluate NOx and soot emissions and the relative differences between them were quantified, while a contrail formation model was implemented to quantify the distances travelled where persistent contrails were formed. The ΔT was evaluated over 77 years using a Linear Temperature Response Model (LTR). The results show that NOx-induced effects such as the increase in short-term ozone had the highest impact on ΔT in the first year of emissions, while CO2 was more detrimental to ΔT in the long term. Unlike the mid and long-range flights examined, the climb segment of the short-range flight had a more significant impact on ΔT than the cruise segment. ΔT sensitivity studies for different emission modelling methods showed differences up to 13% for NOx and 14% for soot.

1. Introduction

The importance of the aviation sector in the 21st century is undeniable, whether it be regarding travel, the economy, tourism, research, etc. In February 2024, air traffic reached and surpassed the pre-pandemic levels and forecasted an additional four billion passengers by 2043 compared to 2023 due to the expected 3.8% yearly rise in passengers over the next 20 years [1]. With the expected rise in air traffic, there are consequences for adverse climate and environmental impacts such as global warming resulting from aviation Carbon Dioxide (CO2) emissions. Aviation does not contribute to global anthropogenic CO2 emissions as much as other sectors, as it accounted for about 2% of emissions in 2022 [2]; however, since it is one of the most difficult sectors to decarbonize, alongside the fact that air traffic and the decarbonization of other sectors is rising, this percentage is expected to increase [3]. Technological improvements have shown a positive impact on fuel burn, but this fuel efficiency is still behind the International Civil Aviation Organization’s (ICAO) aspirational 2% increase in efficiency per annum goal [4], and the fact that the passenger demand is outpacing the technological improvements means aviation’s CO2 emissions will keep rising.
To evaluate the full climate impact of aviation based on the sector’s CO2 emissions only is not sufficient, since this Greenhouse Gas (GHG) is not the only emission from aircraft engines with adverse climate effects. Figure 1 illustrates the direct non-CO2 emissions that are exhausted from the engines, they are Nitrogen Oxides (NOx), soot, water vapour (H2O), and Sulfur Oxides (SOx). These emissions perturb the earth’s radiative energy balance, causing radiative forcing (RF) changes in the atmosphere, which results in either a warming or cooling effect on the climate [5]. NOx emissions undergo complex chemical reactions in the atmosphere, which result in GHG concentration changes like an increase in the formation of short-term tropospheric ozone (O3S) and the depletion of methane (CH4), which have a warming and cooling effect on the climate, respectively. Updated studies have found that the CH4 depletion caused by NOx emissions also results in a long-term reduction in background O3 and stratospheric water vapour (SWV) reduction [6,7], where both result in a cooling effect. H2O emitted directly from an aircraft engine is a GHG that enhances the warming effect on the climate [6]. SOx emissions due to the fuel sulfur content and soot emissions are precursors to aerosol formation, where sulphate (SO4) and soot aerosols have a minor cooling and warming effect on the climate, respectively [8]. The larger contribution to climate forcing comes from the indirect effects of H2O emissions and SO4 and soot aerosols due to their role in the formation of contrails, as they prove to be efficient ice nucleation particles, where emitted water vapour droplets condense over the particles, leaving behind linear contrails [9], which can produce a warming or cooling effect depending on the time of day, with the nighttime exclusively resulting in a warming effect. A study performed by Lee et al. [6] for the contribution of global aviation to anthropogenic climate impact in 2018 shows that non-CO2 emissions have a contribution of about 66% of the total aviation Effective Radiative Forcing (ERF); however, this number is associated with a large uncertainty due to the complexity and limited understanding of the non-CO2 effects, with the largest uncertainty coming from contrail cirrus. These non-CO2 emissions and their effects have much shorter lifetimes than CO2, where they can last in the atmosphere from seconds to a number of weeks compared to CO2 lifetime, which can last for up to centuries due to its accumulative nature, which means that mitigating these short-lived emissions can have an immediate impact on change in climate surface temperatures [10].
The Paris Agreement to stop global temperature rise well below 2 °C or to 1.5 °C relative to pre-industrial levels does not formally include international aviation emissions, only domestic aviation CO2 emissions [6]. This led several international organizations to start implementing regulations, policies, and roadmaps that will help align with the Paris Agreement such as the European Union’s (EU) Emissions Trading System (ETS), which introduces a limit on the amount of GHG emissions and assigns a financial cost for CO2 production, which is around 80 EUR per tonne of CO2 at present time [12], and ICAO’s Carbon Offsetting and Reduction Scheme for International Aviation (CORSIA), which promotes a carbon-neutral aviation sector by offsetting any CO2 emissions growth above 2020 levels, which will be aided by the implementation of alternative fuels, technological improvements, or operational measures [4]. Policies and roadmaps are often targeted towards CO2 emissions and over-look their non-CO2 counterparts, where the European Commission stated that the introduction of policies to target the reduction of non-CO2 emissions from aviation requires further research due to the absence of internationally recognized methodology to estimate these emissions at cruise and climate impact metric which introduces additional complexity and uncertainties [13]. Furthermore, much-needed trade-off studies between CO2 and non-CO2 emissions introduce additional complexities, where a case study by Freeman et al. [14] found that a 20% reduction in NOx emissions resulted in a 2% CO2 penalty, hence increasing the total RF. Contrail avoidance strategies such as flight level changes or flying around Ice Supersaturated Regions (ISSRs) have also been proposed; however, such strategies would also lead to CO2 penalties due to increased flight time or fuel burn. However, targeting the smaller percentage of persistent contrails only rather than their non-persistent counterparts could result in positive climate effects since they have similar sky coverage. A case study by Teoh et al. [15] for such avoidance strategies showed a total climate impact mitigation of 50.1% and 35.6% for a CO2 penalty of 0.014% on a 20-year and 100-year time horizon, respectively.
Estimating the NOx and soot emissions for a flight is not as straightforward as CO2, H2O, and SO4 since they are not dependent only on fuel composition. There are several variables involved in estimating NOx and soot emissions such as the engine power settings, ambient conditions, and engine design [16]. The ICAO Emissions Databank (EDB) provides NOx and soot emission indices for a wide variety of engines measured at Sea-level-Static (SLS) conditions for the four power settings of the Landing and Takeoff (LTO) cycle [17]; however, there are no measurements for these emissions available at altitude for other flight segments such as Climb, Cruise, and Descent (CCD), which is why several methodologies have been developed to estimate emissions at those segments. Assessing the non-CO2 effects in the atmosphere is also particularly challenging, since unlike CO2, their effects depend on the location of emissions where NOx emissions have greater effects on O3 and CH4 changes in the atmosphere at higher altitudes [18] and contrail coverage increases significantly at higher altitudes due to the colder temperatures which allow contrails to persist [19]. Due to the low ambient relative humidity there, the H2O direct climate effects are higher at stratospheric altitudes, where supersonic flights are more prominent [20]. All these different factors highlight the multidisciplinary nature of this work and emphasize the necessity of developing multi-disciplinary frameworks to comprehensively evaluate the full climate impact of aviation.
Recently, more aviation climate impact studies started to adopt such multi-disciplinary frameworks. The work of Saluja et al. [21] studied the effect of engine design parameters such as operating pressure ratio and turbine inlet temperature for different combustor technologies (rich burn and twin annular premixed swirler) on the climate impact of aircraft. The framework used in the study included a simple aircraft performance model and an engine model developed using the Gas Turbine Simulation Program (GSP), which were used to obtain parameters such as fuel consumption and engine thermodynamic data for flights between 60 city pairs, to be used as inputs for the different emission models, with the ambient relative humidity kept at 60% along all flight paths. Finally, the climate impact for the cruise segment of the flights was evaluated in terms of Average Temperature Response (ATR) using the AirClim tool [22].
Dallara et al. [23] discusses the effects of future aircraft climate mitigation strategies such as shifting cruise altitudes, operational contrail avoidance, low-NOx combustors, alternative fuels, etc., on the climate and operating costs. The framework applied encompasses the conceptional design tool Program for Aircraft Synthesis Studies (PASS) for aircraft design and performance analysis, which consists of modules from different disciplines such as aerodynamics, propulsion, aircraft performance, noise, economics, etc., that facilitate quick exploration of the design space. The PASS tool was used to produce the parameters required as inputs for emission modelling, where an analytical expression was used to evaluate NOx emissions with relative humidity kept at 60%, and the soot emission index was taken as a constant for all flight segments. A Linear Temperature Response Model (LTR) was utilized to evaluate the climate impact in terms of ATR of a hypothetical fleet of narrow-body aircraft; however, a contrail formation model was not applied as contrails were assumed to be formed along all flight distances covered, hence overestimating their climate impacts. Proesmans et al. [24] also utilizes a multi-disciplinary approach involving aircraft design and performance analysis, emission modelling, and climate impact assessment to perform aircraft design optimization for minimum global warming impact by changing wing, engine, and mission design variables. The study applies a similar climate impact assessment methodology to the one used by Dallara et al. [23]; however, it was improved upon by evaluating the points along the mission profile where contrails are formed.
The main objective of this study was to develop a multi-disciplinary framework to characterize the climate impact of individual real-world flights in terms of CO2 and non-CO2 effects. In this case, the use of real-world flight data provides a key novel aspect to this study, which aided with the development, calibration, and validation of aircraft performance and propulsion system models. The models were utilized alongside temporally and spatially resolved meteorological data to provide accurate inputs for different emission models and a contrail formation model to accurately characterize the full climate impact of simulated real-world flights, with varying routes and ranges, in terms of global surface temperature change (ΔT) using an LTR model. Furthermore, this paper presents the different emissions and their resulting climate impacts on a per-flight and per-flight segment basis to highlight the effects of varying flight routes, ranges, and segments that are often overlooked in aviation climate impact studies; moreover, it also quantifies the relative errors between the different emission modelling methods.

2. Methodology

An overview of the methodology that was implemented in this study is illustrated in Figure 2. This study involves a multidisciplinary modelling chain, where real-world flight data and spatially and temporally resolved meteorological conditions (represented in light blue) are used as inputs to simulate individual real-world operations by relying on aircraft and engine performance models (represented in yellow). The emissions of the flights and contrail lengths are evaluated using the contrail formation model and the NOx and soot emission models (represented in orange) with the aid of meteorological conditions and parameters provided by the aircraft and engine models at flight conditions such as thrust, fuel flow, combustor temperatures, and pressures, etc. The NOx emissions are modelled using the P3T3 method [25], the Boeing Fuel Flow Method 2 (BFFM2) [26], and the DLR method [27], whereas the soot emissions are modelled using the P3T3 method [28] and the T4/T2 method [29,30]. The emission inventory (represented in dark blue) facilitates a database for storing important parameters for individual flights such as emissions, fuel burn, and contrail lengths to be used as inputs for the LTR model (represented in green), which can be used to evaluate their climate impact in terms of global surface temperature change. Evaluating the full climate impact of aviation requires capturing complex interactions between flight and engine operation, emissions, meteorological conditions, and atmospheric science. Therefore, the use of such a multidisciplinary modelling chain that involves validated aircraft and engine models would allow us to capture the different interdependencies accurately and rapidly without the need for higher fidelity approaches.

2.1. Real-World Flight Data

An extensive flight database of approximately 3000 flights was provided by Ryanair for this study through their partnership with Trinity College Dublin. Ryanair is Europe’s largest airline group as it operates a fleet of 594 aircraft, 335 of them being B737-800NG aircraft [31]. The flight database provided includes data for individual flights’ real-world operations such as Take-off Weight (TOW), mission range, and actual fuel burn, which aided in the development and validation of the engine and aircraft models and full-mission simulations for this study. The use of such data provides an opportunity to accurately evaluate engine-out emissions for real-world flights prior to computing their resultant climate impact.

2.2. NPSS Engine Performance Model

Numerical Propulsion System Simulation (NPSS) is a software originally developed by NASA in 1995. It is used for the modelling and analysis of propulsion systems by the aerospace industry [32]. Prior to this work, an NPSS model for a CFM56-7B26/3 turbofan engine representative of a Boeing 737-800NG aircraft’s engine as illustrated in Figure 3 was developed in the work of Gallagher et al. [33]. This is a physics-based propulsion model which was validated for thrust and Thrust Specific Fuel Consumption (TSFC), as seen in Table 1. For on-design analysis, the model was calibrated to match the SLS operating points provided by the ICAO EDB [17] for the same engine and the Top-Of-Climb (TOC) and Rolling-Take-Off (RTO) operating points from a NASA study [34], where the model outputs were varied by using the component design variables. Generalized component performance maps were used for accurate off-design analysis. This model would be useful to characterize engine performance accurately and rapidly without having to use higher fidelity approaches that require massive amounts of computational time, and it would be used to provide internal engine parameters, which will aid with the evaluation of an aircraft’s emissions along its flight path such as fuel flow (Wf), Fuel–Air ratio (FAR), and combustor, compressor, and turbine inlet temperatures and pressures.

2.3. SUAVE-NPSS Model

The design tool Stanford University Aerospace Vehicle Environment (SUAVE) was used to develop a B737-800NG aircraft model. SUAVE is a physics-based conceptional aircraft design tool which also allows coupling with external propulsion surrogates and the simulation of full-flight missions [35]. The NPSS model was integrated within the SUAVE B737-800NG model and calibrated and validated using real-world flight data. The calibrated SUAVE-NPSS model validation for a full 500 Nautical Mile (NM) mission in Figure 4 shows exceptional accuracy with respect to actual fuel burn data for different flight segments, culminating in a block fuel error of 2.1% relative to the real-world data. Further validation of the combined SUAVE-NPSS model across a wide range of mission range and takeoff weights demonstrated an average total fuel flow error of 5%, which illustrates the strong generalization capabilities of the calibrated low-fidelity modelling tool [33]. For a more detailed description of the development, calibration, and validation of the SUAVE-NPSS model, the reader is referred to the work of Gallagher et al. [33].

2.4. Full Mission Simulation

For the scope of this study, three real-world Ryanair missions with varying routes and ranges were simulated, referred to herein as a short-range, a medium-range, and a long-range flight as seen in Table 2. This is carried out to account for the different ambient atmospheric and engine operating conditions along the different routes and ranges.

2.5. Meteorological Data

To model the emissions and potential contrail formation points for the three flights, ambient temperature, pressure, and relative humidity with respect to water (RHw) data along the flight trajectories were required as inputs. The temperature and pressure along the flight trajectories were modelled according to the International Standard Atmosphere model [36], while the RHw data to be used in this study were sourced from the Modern-Era Retrospective analysis for Research and Applications version-2 (MERRA-2) [37]. This dataset was developed by the NASA Global Modeling and Assimilation Office, where data assimilation models that combine numerical simulations with atmospheric observations were used. The dataset contains geophysical variables like RHw with respect to water at a temporal resolution of 3 h, a spatial resolution of 0.625° × 0.5° in longitude and latitude, and a vertical resolution of 42 pressure levels from 1000 hPa to 0.1 hPa. The use of such temporally and spatially resolved data facilitates accurate capturing of the variations of contrail formation thresholds and the impact of NOx emissions due to varying atmospheric conditions over a wide range of routes and altitudes.

2.6. Fuel-Proportional Emissions

This emission index (EI) for each of the CO2, H2O, and SO4 emissions is assumed constant in this study throughout all the flight phases, which makes the emissions of each species very simple to model due to them being directly proportional to the fuel burned in a mission. The emission indices used for modelling the emissions of the flights are EICO2 = 3.16 kg/kg fuel, EIH2O = 1.26 kg/kg fuel, and EISO4 = 0.0002 kg/kg fuel [38]. The emission index of SO4 was taken in reference to a 50% conversion factor from average fuel sulfur content to optically active SO4 [39].

2.7. NOx Emissions

2.7.1. P3T3 Method

The P3T3 method is the most preferred method to use to estimate NOx emissions by engine manufacturers since it provides the most accurate results. The P3T3 method is implemented in this study as described in [25]. The main limitation of using this method is the required knowledge of internal engine parameters which are considered proprietary information by engine manufacturers, this limits the potential use of this method for research without access to this information. For this study, however, the availability of the validated NPSS model described removes this limitation since the model can provide accurate insights into the required internal engine parameters.
As a first step, the ground test data for the CFM56-7B26/3 engine EINOx at the four LTO operating points are obtained from the ICAO EDB [17], and the combustor inlet temperature T3, pressure P3, and FAR at the four LTO points at SLS conditions are obtained from the NPSS model. Then, the four EINOx, P3, and FAR points are plotted against T3 to produce three second-order polynomial curve fits. To evaluate the EINOx at a specific point along the flight path, T3 at that point is used to obtain the reference EINOx, P3, and FAR from the polynomial fits by interpolation, where the EINOx at altitude is computed using Equation (1) by applying a humidity correction and an altitude correction to the combustor parameters:
EINO x Alt = EINO x Ref   ×   P 3 Alt P 3 Ref y ×   e H   ×   FAR Alt FAR Ref z
The exponents y and z are engine–combustor combination dependent, where they are taken as 0.5 and 0, respectively, as suggested by the literature, which cancels out the FAR term [26]. The humidity term is computed as described in [40] with Equations (2)–(4):
H = 19 × ( 0.00634 ω )
ω = ( 0.62197058   ×   RH w   ×   P sat ) P sat   ×   68.9473 ( RH w   ×   P sat )
P sat = 6.107   ×   10 7.5   ×   T ambc 237.3 T ambc   ×   68.9476
where ω represents the humidity ratio in g/kg dry air, Psat represents the saturation vapour pressure in hPa, and Tambc is the ambient temperature in °C.

2.7.2. Boeing Fuel Flow Method 2

The BFFM2 [26] is a simplified NOx prediction method that was developed to work around the need for proprietary engine data, as it only requires the input of publicly available data such as EINOx and fuel flows at SLS conditions and shows EINOx estimates with an error of approximately ±10% relative to the P3T3 method. As a first step, the ground test data for the CFM56-7B26/3 EINOx and Wf are obtained from the ICAO EDB [17], where the Wf at the four LTO cycle operating points is adjusted for airframe installation effects using the correction factors SLS-7% = 1.1, SLS-30% = 1.02, SLS-85% = 1.013, and SLS-100% = 1.01 [26], then the EINOx values are fitted against the corrected Wf values on a log–log plot. In the next step, the Wf at a specific point at altitude along the flight path is obtained from the NPSS model and corrected to reference conditions considering the ambient conditions at altitude and flight speed with Equations (5)–(7):
W f Ref = W f Alt   ×   θ amb 3.8 δ amb   ×   e 0.2 M 2
θ amb = T amb 288.15
δ amb = P amb 101,325
where M is the Mach number, and Tamb and Pamb are the ambient temperature and pressure in Kelvin and Pascals, respectively. Finally, the reference Wf is used to obtain the reference EINOx from the log–log plot by interpolation, which is then corrected to evaluate the EINOx at the specified point at altitude along the flight path with Equation (8):
EINO x Alt = EINO x Ref   ×   δ amb 1.02 θ amb 3.3 0.5 ×   e H

2.7.3. DLR Method

The DLR method is another fuel flow correlation method developed by DLR researchers and, in several ways, is very similar to BFFM2. It requires the same inputs as BFFM2 and applies similar corrections but with slightly different formulations. It is implemented in this study as described in [27], where the ICAO EINOx and Wf are fitted on with a second-order polynomial instead of a log–log plot, and the corrections to obtain the reference Wf and the EINOx at altitude are shown in Equations (9)–(13):
W f Ref = W f Alt δ total θ total
δ Total = P total 101325
P total = P amb × ( 1 + 0.2   ×   M 2 ) 3.5
T total = T amb × ( 1 + 0.2   ×   M 2 )
EINO x Alt = EINO x Ref   ×   δ total 0.4 ×   θ total 3   ×   e H

2.8. Soot Emissions

2.8.1. P3T3 Method

The first method used to evaluate the mass of soot emissions in this study is the P3T3 method, which is implemented as described by the work of Durdina et al. [28]. It is similar to the NOx P3T3 method where the reference P3, FAR, and EIsoot (or EInvPM) from the ICAO EDB [17] are taken as functions of T3, which are then used to evaluate the EIsoot at altitude with the Döpelheuer and Lecht correlation [41] given in Equation (14):
EIsoot Alt = EIsoot Ref ×   P 3 Alt P 3 Ref 1.35 ×   FAR Alt FAR Ref 2.5

2.8.2. T4/T2 Method

The T4/T2 method is used to evaluate the EIsoot by mass in this study as described in the work of Teoh et al. [29,30]. In this method, the ICAO EIsoot values are plotted against the ratio of the turbine inlet temperature and compressor inlet temperature (T4/T2) at the four LTO cycle SLS operating points, assuming a linear fit between each adjacent point; however, the T4/T2 ratio is obtained from the NPSS model instead of using the thermodynamic equations provided in the work of Teoh et al. Finally, T4/T2 at a specific point along the flight path is used to evaluate the EIsoot at that point by interpolation.
A simplified summary of all the non-fuel proportional emission models implemented in this study is illustrated in Figure 5.

2.9. Contrail Formation Model

2.9.1. Schmidt–Appleman Criterion

To predict potential contrail formation areas in the wake of an aircraft, the Schmidt–Appleman Criterion must be satisfied. The SAC specifies that when the engine exhaust and air mixture in the plume reaches water saturation, a contrail will form. This is illustrated in Figure 6, where the exhaust–air mixing line is tangential to the vapour saturation curve with respect to water or crosses it, which allows the formation of water droplets on the particles emitted from the exhaust such as soot [42]. The SAC has been applied in a number of recent studies [24,43,44] as it offers a rapid option for evaluating contrail formation points along flight paths without the need for higher-fidelity approaches that require massive amounts of computational time.
The first step taken to predict contrail formation is to calculate the slope of the mixing line G for each point along the flight’s trajectory using Equation (15), which is dependent on the water vapour emissions index, the ambient pressure, the molar mass ratio of water vapour and air, the overall propulsion efficiency η of the aircraft, and the fuel properties. The η of the engine along each point on the trajectory is computed using Equation (16) [42], where T is the thrust in Newtons and V is the flight speed in m/s. The values of the constant parameters used for calculating the slope of the mixing line and the overall propulsion efficiency are Isobaric Heat Capacity, Cp = 1005 J/kgK, the molar mass ratio of H2O and air, ε = 0.622, and specific combustion heat, Q = 43 × 106 J/kg.
G = EI H 2 O   ×   C P   ×   P amb ε   ×   Q   ×   ( 1 η )
η = T   ×   V W f   ×   Q
The slope G is then used to compute the maximum temperature TM in Kelvin at which contrails may form. This is the temperature at the point where the mixing line is tangent to the liquid saturation vapour pressure curve, and it is calculated using Equation (17) [42].
T M = 46.46 + 9.43 ln G 0.053 + 0.72 ln G 0.053 2 + 273.15
The next step would be to calculate the critical or threshold temperature TC for contrail formation as seen in Equation (18). This temperature is calculated using Newton’s iteration method as suggested in [42].
T C = T M e sat , liq T M RH w × e sat , liq ( T C ) G
esat,liq represents the liquid saturation vapour partial pressure, which is calculated as function of temperature in Equation (19) [45]. The coefficients used in the calculation of esat,liq are C1 = −6096.9385, C2 = 16.635794, C3 = −0.02711193, C4 = 1.6735794 × 10−5, and C5 = 2.433502.
ln e sat , liq = C 1 T amb + C 2 + C 3 T amb + C 4 T amb 2 + C 5 ln ( T amb ) × 100
The criterion for the formation of contrails is dependent upon the critical temperature, where if the ambient temperature is less than the critical temperature, the SAC is considered satisfied, which theoretically means contrails can be formed.

2.9.2. Persistent Contrails

The previous section described the SAC, which, if satisfied, causes contrails to form; however, most contrails dissipate within a matter of seconds or minutes and have a negligible climate impact. Therefore, for contrails to form and persist for longer than a few minutes and potentially form contrail cirrus, the aircraft must fly through Ice Super-Saturated Regions (ISSRs), where the relative humidity with respect to ice exceeds 100% [46]. These colder ambient conditions allow for ice crystal formations that can last for longer times than water droplets. To model the ISSRs in the atmosphere along the flight path, the relative humidity with respect to ice RHi and ice saturation vapour partial pressure esat,ice is calculated with Equations (20) and (21) [45], where the coefficients used are C6 = 9.550426, C7 = −5723.265, C8 = 3.53068, and C9 = −0.00728332.
RH i = RH w   ×   e sat , liq ( T amb ) e sat , ice ( T amb )
ln e sat , ice = C 6 + C 7 T amb + C 8 ln ( T amb )   +   C 9 T amb
Figure 7 provides a summary of the process employed to model contrail formation, which shows that if the SAC is not satisfied, contrails will not form. If the SAC is satisfied, contrails will form, which leads to checking if the aircraft is flying in ISSR or not, where if the former is true, the contrails are persistent, and if the latter is true, the contrails dissipate quickly.

2.10. Linear Temperature Response Model

2.10.1. Radiative Forcing

Forcing Factor
Since non-CO2 effects vary significantly with altitude [19,47], a forcing factor s is introduced as a function of altitude h and applied to the LTR as described in the work of Dallara et al. [23]. Figure 8 shows the contrail and NOx-induced forcing agents forcing factors used in this model.
The forcing factor to be used in the LTR is obtained from Figure 8, depending on the altitude at which the aircraft is flying. For flight phases with constantly varying altitudes like climb and descent, the forcing factor at the average flight altitude at that phase is used. At altitudes lower than 5000 meters, the forcing factor at h = 5000 m is used.
Short-Lived Species
Forcing agents O3S, H2O, soot, SO4, and contrails have very short atmospheric lifetimes, which means the RF changes they cause in the atmosphere are short-lived. Therefore, the RF can be modelled from these forcing agents as directly proportional to RF caused per emission from a reference year from previous climate impact studies as seen in Equation (22)–(24) [24].
RF O 3 S t , h = s O 3 S h × RF ref E ref O 3 S × E NO x t
RF O 3 S t , h = s O 3 S h × RF ref E ref O 3 S × E NO x t
RF contrails t , h = s contrails h × RF ref L ref contrails × L t
Ei represents a particular species’ emissions from the flight in Tg, while L represents the distance travelled by a flight in kilometres where persistent contrails were formed. The distance is obtained from the contrail formation model as the total distance between each two adjacent points where persistent contrails are formed. The reference RF per emission or distance values are given in Table 3.
Long-Lived Species
Forcing agents CO2, CH4, and O3L have much longer atmospheric lifetimes and cause RF for longer times after they are emitted, and this results in more complex RF modelling methods. To model the RF caused by CO2 emissions, the change in CO2 concentration, ΔCCO2, in parts per million by volume, ppmv, caused by the aircraft is first computed using the impulse response function in Equations (25) and (26) as described in the work of Sausen and Schumann [48], the coefficients αj and τj represent the different CO2 concentrations per emission, αj, and lifetimes, τj, at different modes, j, as listed in Table 4, and ECO2 represents the aircraft CO2 emissions in Teragrams.
Δ C C O 2 t = t 0 t G C O 2 ( t-t )   ×   E CO 2 t d t
G CO 2 t = j = 1 5 α j × e - t τ j
Then, the RF caused by the change in atmospheric CO2 concentration is computed using the Intergovernmental Panel on Climate Change (IPCC) simplified expression in Equation (27) [49], where Ctotal,CO2 represents the total anthropogenic CO2 concentration in the atmosphere from all sources. Historical and predicted future CO2 concentration data were used based on the IS92a scenario [50].
RF CO 2 t = 5.35 ln C total ,   CO 2 t C total ,   CO 2 t Δ C CO 2 t  
Aircraft NOx emissions result in the depletion of CH4 and O3L in the long term, which results in an RF that has a cooling effect on the climate system. The RF resulting from NOx emissions is modelled with Equations (28) and (29) according to the work of Proesmans et al. [24]. The reference RF per emission and lifetime, τ, are represented in Table 5.
RF i t , h = s i h × t 0 t G i t t × E NO x t d t   for   i = CH 4 ,   O 3 L
G i t = RF ref E ref i × e t τ

2.10.2. Global Surface Temperature Change

The RF caused by the different aircraft emissions and forcing agents results in a climate response in the form of ΔT. To model this ΔT, the normalized radiative forcing, RF*, for all radiative species is first computed according to Equation (30) [24]. The RF* refers to the RF caused by a species normalized by the RF that would cause a doubling in atmospheric CO2 concentrations, RF2XCO2, and the value used for this parameter is 3.70 Wm−2 [51]. The efficacy, r, is calculated as the ratio of parameters of climate sensitivity of a forcing agent and CO2, which are obtained from Global Climate Model simulation runs [52]. The efficacy values used in this study are given in Table 6.
RF * t = i all   species RF i * t = i all   species r i × RF i t RF 2 × CO 2   for   i = all   species
After computing the RF* for all species as the sum of each individual RF*, ΔT, in Kelvin is calculated using Equations (31) and (32), which make use of Green’s impulse response function, GT, as described in the work of Sausen and Schumann [48]. The chosen time horizon for this study is 77 years from 2023 until 2100, which will facilitate the visualization of the differences between long and short-term forcing agents.
Δ T t = t 0 t G T ( t t )   ×   RF * t d t
G T t = 2.246 36.8 e t 36.8
Figure 9 provides a general overview of the methodology applied to evaluate the ΔT, where the main inputs are represented in orange, the calculations performed using the LTR model are represented in blue, and the output is represented in green.

2.11. Modelling Limitations and Uncertainties

There are several limitations when it comes to modelling non-fuel proportional emissions. One of the main ones is the presence of only four ICAO data points, which limits the accuracy of the curve fits that can be produced and introduces uncertainties due to interpolation between each adjacent point. Another one is that all these methods do not account for fuel composition, where these methods will not provide accurate results if investigating alternative fuels for the same engine. Combustor design changes also provide limitations to the P3T3 models, where the pressure and FAR exponents are derived for engine–combustor-specific combinations only [16]. The LTR model used in this study computes the ΔT caused by globally averaged radiative forcing from each species, which can affect short-lived responses like O3S that only affect the atmosphere in the regions where they are emitted, unlike CO2, which is well-mixed in the atmosphere and varies temperature globally. This model also does not directly include the effects of soot and other aerosols on the formation of contrails or their cloud interactions, since the SAC applied in this study only considers the thresholds for contrail formation using meteorological data. Furthermore, the SAC provides a binary output for persistent contrail formation, without which means certain properties of persistent contrails such as their actual lifetime and optical and geometrical properties are not taken into consideration. Other effects were also not accounted for in the model like the reduction in SWV due to methane reduction in the atmosphere, or the effects of aircraft-induced cirrus, which may lead to RF values greater than CO2 but with a large uncertainty still associated which requires further research. The cooling effects of contrails depending on the time of day were also not accounted for in this model [6]. There are also large uncertainties present within the parameters used in the LTR model such as the reference RF per emission values and the efficacies since they are best estimates [23,24,51]. This opens the door for future work where uncertainty analysis studies can be conducted by applying Monte Carlo simulation within each sub-model. The rigorous approach applied in this study with validated input data and modelling methods serves to minimize the effects of uncertainty as much as possible.

3. Results and Discussion

3.1. NOx Emission Indices

The NOx emissions indices for the three flights modelled using the three different correlation methods are presented in Figure 10. The EINOx was modelled along the three different flight paths for the different flight segments. In the take-off and initial climb segment, the lowest average EINOx is observed for flight 3. This is attributed to lower take-off thrust, which leads to lower fuel flows and combustor temperatures and pressures. The EINOx sees significant increases in the climb segments for all three flights of approximately 27–31%, where it reaches its maximum point at the TOC segment for all three flights. The high thrusts required at this segment due to differences in drag and the lower ambient temperatures and pressures at higher altitudes result in this increased EINOx. When the aircrafts reach cruise altitudes, the EINOx experiences a significant drop of 39–55% due to the drop in thrusts and fuel flows, and these parameters have negligible variations in the cruise segment, which leads to fairly constant EINOx values. The EINOx reaches its minimum value for all three flights in the descent and landing segments, where the engine usually reaches idle power settings, resulting in the lowest thrusts and fuel flow along the flight path. The trends between the EINOx values of the three different methods are consistent along the majority of the flight path, where the P3T3 method always produces the highest EINOx values and the DLR method produces the lowest. The only exceptions are seen in the descent and landing segments of all three flights and the TOC point of flights 1 and 3. This is a result of the engine requiring very high thrusts or reaching idle conditions, which results in very high or low fuel flows and combustor temperatures and pressures that lead to inconsistencies due to reference parameters being extrapolated from SLS curve fits, which is why extra care should be taken when estimating emissions in those segments.
It is also noteworthy to point out that the P3T3 method and the BFFM2 show better agreement between the EINOx values than with DLR values along the majority of the paths of all three flights. To further confirm this, the relative errors between all three methods were quantified for the modelled EINOx of the flights as shown in Figure 11. All the EINOx values for the P3T3 and BFFM2 show errors of less than ±10% between them which falls between the error bands suggested in the literature [26], while the values between these methods and the DLR method mostly fall between ±20% error bands.

3.2. Soot Emission Indices

The soot emissions indices for the three Ryanair flights modelled using the three different correlation methods are presented in Figure 12. The EIsoot values show similar trends to the EINOx along the paths of the three flights, where the lowest average EIsoot values for the take-off and initial climb segment were observed for flight 3. The EIsoot values also similarly keep increasing in the climb segment till they reach a maximum at the TOC section of the flight due to the high thrust requirements, where the P3T3 EIsoot for all flights then drops significantly; however, the T4/T2 EIsoot value remains higher for flights 2 and 3, but they both see very slight variations during the cruise segment. The EIsoot values finally reach their minimum values at the descent and approach segments due to idle engine settings. The differences between the results of the two modelling methods, however, are very significant where the values reach errors of about 90%. The errors appear to be smaller in the descent and approach segments; however, this is due to minimum reference EIsoot values taken from SLS curve fits to avoid extrapolation, which results in negative EIsoot values. These massive errors present the difficulty of modelling soot emissions for different engines, which further confirms the need for more accurate soot modelling methods to mitigate the uncertainties in emission and climate modelling studies.

3.3. Total Flight Emissions

The modelled total fuel-proportional emissions are illustrated in Figure 13, while the modelled non-fuel-proportional emissions using the different correlation methods are shown in Figure 14. The climb emissions illustrated in the figures include the takeoff and initial climb segments, while the descent emissions include the landing segment. As anticipated, flight 3 produces the highest quantity of emissions, since it is the flight with the longest range, while flight 1 emits the least quantity of pollutants. The fuel-proportionality aspect can be seen in the CO2, H2O, and SO4 emissions, where the same percentage of emissions for one pollutant can be seen in the same flight segments. This is different for NOx and soot emissions, which are not only dependent on fuel burn but also internal engine parameters and ambient conditions. The climb segments for all three flights show significantly higher fuel burn rates than the cruise segments, where the cruise fuel burn rates are 51.5%, 37.2%, and 56.4% less than their corresponding cruise segments for flights 1, 2, and 3, respectively. This shows that the emissions rate at the climb segment will also be higher at climb than at cruise; however, flights 2 and 3 spend significantly more time at cruise altitudes than in the climb segment, which leads to more fuel being burned at cruise, and, hence, a higher total amount of emissions, where the cruise segments of flights 2 and 3 represent 56% and 70% of the total amount of emissions produced. However, that is not the case for flight 1: since it is a short-haul flight lasting less than an hour, the time spent on cruise is much shorter, where, in this case, it is almost the same amount of time at climb, where the emissions rate is much higher, resulting in more emissions associated with the climb segment, which accounts for 55.2% of the total emissions produced compared to the cruise segment’s 22.2%. The descent emissions are the lowest for all three flights due to the low emissions rate at descent, where the engine is usually at idle settings and the small fraction of time spent there compared to other segments. The importance of characterizing the emissions based on flight segments comes from the effect of emissions at various altitudes on climate impact, where emissions at cruise altitudes will have the highest adverse climate impacts and aircraft at cruise altitudes usually produce the highest amounts of cumulative emissions even though the rate of emissions there is much lower than the climb segment.
Similarly, for the non-fuel-proportional emissions, the EINOx and EIsoot are significantly higher at the climb segment than at cruise; however, the emissions for flights 2 and 3 at cruise are much higher due to the amount of time spent in the mode. The P3T3 soot method, however, shows that all three flights’ climb emissions are the highest, and this is attributed to the very low EIsoot modelled in the cruise segments. The modelled total NOx emissions using the three correlation methods shown in Figure 14 justify that the three modelling methods used can accurately predict NOx emissions and with good agreement, with the lowest errors seen between the NOx P3T3 method and the BFFM2.

3.4. Contrail Formation

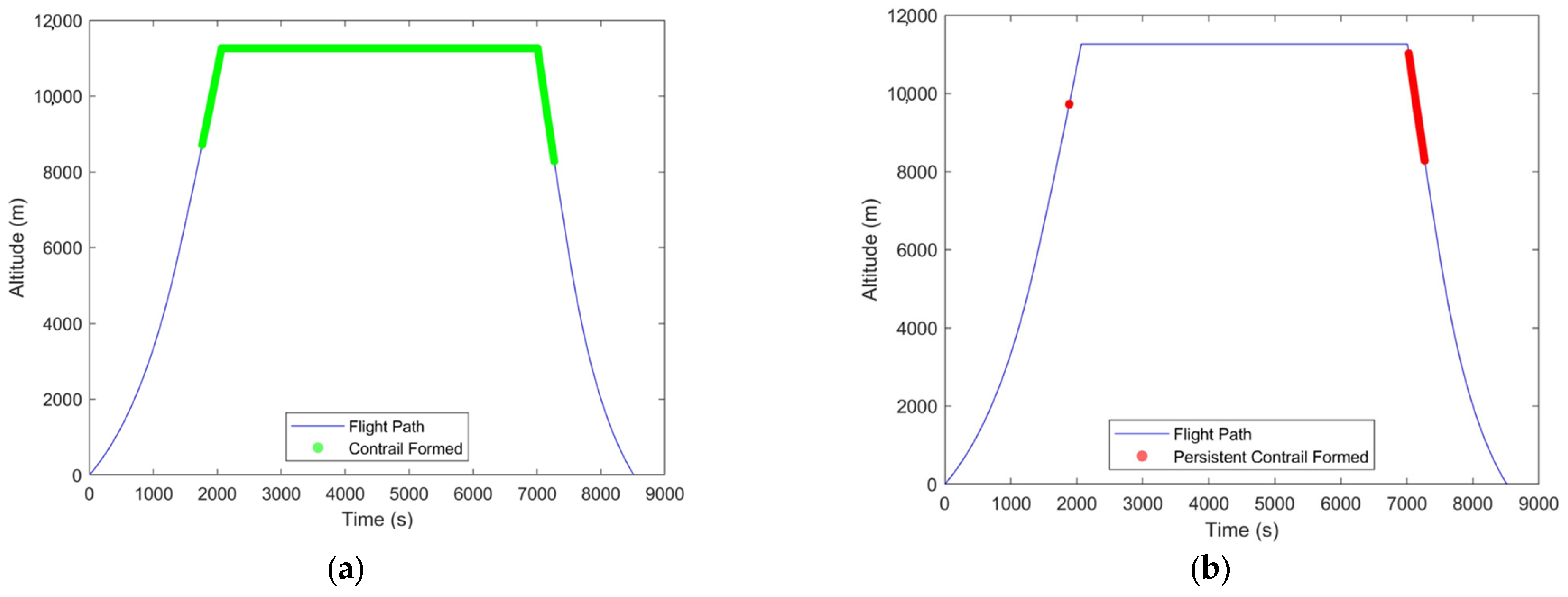
To study the effects of aircraft-induced contrails on the climate impact, the contrail formation model described in Section 2.9 was used to predict the points where contrails will form along a flight path. Figure 15 shows the formation of contrails due to flight 2 and Figure 16 for flight 3. The results show that both flights were flying through conditions that satisfy the SAC throughout the whole cruise segment and parts of the climb and descent segments. These contrail forming conditions are mostly found at higher altitudes where the ambient temperature is cold enough.
The results also show the formation of persistent contrails by flights 2 and 3, which come as a result of flying through ISSRs. Flight 2 travelled through most ISSRs at altitudes of 8000–11,000 m, whereas flight 3 travelled through ISSRs at altitudes of about 9500–11,000 m, where contrails can have significant climate impacts due to the high forcing factors at those altitudes. Flight 2 produced a total persistent contrail length of 52.3 km (Climb = 1.3%, Descent = 98.7%), while flight 3 produced a total persistent contrail length of 445.6 km (Climb = 7.3%, Cruise = 92.7%). The results show the unpredictability of ISSRs at high altitudes, and since there is no straightforward method to predict where they occur, applying aircraft re-routing measures to mitigate contrail formation by avoiding ISSRs with any degree of confidence may prove to be very challenging at the moment. Flight 1 did not result in any contrail formation points, this could be attributed to the low cruise altitude of about 8000 m of the aircraft, where warmer temperatures at those altitudes make contrail formation less likely. This is where trade-off studies for reducing aviation’s full climate impact by flying lower to mitigate contrail formation are key.

3.5. Climate Impact

3.5.1. Full Climate Impact

This section describes the results of the LTR model applied to evaluate the impact of the three flights resulting from the engine exhaust emissions and contrails on climate change. The climate impact of the NOx and soot emissions in this section was evaluated using the P3T3 model emissions, while the climate impact of contrails was evaluated using only the persistent contrail lengths. Figure 17 illustrates the surface temperature change caused by the three flights. The chosen time horizon of 2023 to 2100 allows the effects of long-lived climate forcers vs. short-lived ones to be captured, where 2023 is considered the year of the flight’s emissions. The forcing agent resulting in the biggest ΔT in the year of emissions is the short-term ozone, O3S, where the ΔT caused by CO2 emissions is negligible when compared to it, and even H2O and soot emissions can be compared to the ΔT caused by CO2 emissions in 2023. Linear contrails also cause slight changes in RF that raise the surface temperature in the year of emissions. On the other side, SO4 aerosols, CH4, and O3L result in negative RFs which cause a cooling effect that reduces surface temperature slightly in the year of emissions. The NOx induced ΔT is the net resultant ΔT caused due to RF changes by forcing agents CH4, O3L, and O3S, where the NOx-induced ΔT, being slightly lower than the O3S, is attributed to the negative forcings caused by methane and ozone. When looking on a longer time scale, however, the ΔT caused by short-lived forcing agents are always at their maximum values at the year of emissions (2023), unlike long-lived climate forcers with much longer atmosphere lifetimes, CO2, CH4, and O3L, which have caused rising in the ΔT for several years since 2023. Moreover, by the end of the time horizon, the CO2 emissions almost become the sole factor for ΔT.
Flight 1 clearly shows the lowest impact on ΔT with about one order of magnitude less than the other two flights. This can be attributed to its lower emissions, lower fuel burn, absence of contrail formation, and lower flight altitude, where forcing factors can be lower. Flights 2 and 3 show very similar trends, where the major difference is found in the ΔT caused by contrails. Flight 3 travelled much larger distances where contrails were formed, and most of its persistent contrails were formed at a cruise altitude of 11,000 m, leading to the highest forcing factors.

3.5.2. Global Surface Temperature Change Sensitivity to NOx Modelling Methods

Figure 18 shows sensitivities of the NOx-induced and total ΔT to the different NOx modelling methods. For flight 1, the three methods show very good agreement due to the flight having the least error for NOx modelled using different methods. For flights 2 and 3, the P3T3 method and BFFM2 show very good agreement, and the largest error was observed at the year of emission for flight 2 of approximately 13% between the P3T3 and DLR methods. This shows that the different NOx modelling methods can be used to accurately predict ΔT with minimal relative errors.

3.5.3. Global Surface Temperature Change Sensitivity to Soot Modelling Methods

Figure 19 illustrates the sensitivities of soot-induced and total ΔT to the different soot modelling methods. Flight 1 shows good agreement for the ΔT using both methods with relative errors of approximately 8% between the two methods, where this can be attributed to the flight having the least difference in modelled emissions between the two methods. Flights 2 and 3 see a slight increase in differences where the highest relative error for ΔT is observed at the year of emissions for flight 3 with approximately 14.2%. This shows that even with the very high relative errors of modelled EIsoot seen in Figure 10 reaching 80%, its effect on ΔT is not as large, where the relative errors are almost similar to the NOx-induced ΔT relative errors.

3.5.4. Global Surface Temperature Change Sensitivity to Flight-Segment

The importance of flight segments was highlighted in the emissions modelling results; therefore, the climate impact of different flight segments for the three flights was analyzed in Figure 20. All three flights share the common factor, where decent segments result in the lowest ΔT due to the engine being at idle conditions, resulting in lower fuel burn and emission indices. Flight 1 shows that the climb segment causes higher ΔT than cruise due to the segment accounting for 55.2% of the total fuel consumption, which led to a higher emissions rate and higher total emissions. At the year of emissions for flight 1, the ΔT of climb and cruise are significantly close, and this can be attributed to the low forcing caused by non-CO2 emissions due to the aircraft flying at lower altitudes; however, the significant increase in the climb segment ΔT to 6 × 10−9 mK by 2070 is due to the higher percentage of CO2 emissions produced within that segment and the very long atmospheric lifetime of CO2.
Flights 2 and 3 show very similar trends, where the cruise segment has the highest ΔT due to it accounting for 56% and 70% of the total fuel consumption for flights 2 and 3, respectively, leading to higher total emissions, where flight 3 is the longest in range, meaning it spends more time at the cruise segment than flight 2, resulting in higher ΔT. The climb segment climate impact at the year of emissions for flights 2 and 3 is very similar; this can be attributed to the higher climb total emissions contributed by flight 2, which causes similar ΔT to flight 3, which produces fewer total emissions but more persistent contrails within that segment. The higher total climb emissions for flight 2 also result in greater ΔT decades later due to the impact of CO2. This shows that different segments cause different climate impacts depending on the flight, where more research is required to focus on reducing emissions for different segments depending on the flight range. The difference in results of the three flights and the different flight segments highlights the value of evaluating the climate impact on a per-flight or per-flight-segment basis instead of on an averaged global or fleetwide basis, which misses a lot of the important details.

4. Conclusions

This study presented a rigorous approach to evaluating the full climate impact of real-world flights with varying routes and ranges in terms of global surface temperature change through the application of validated aircraft and engine performance models, different emission modelling methods, a contrail formation model, and an LTR model. The results of this study show that:
  • The short-term ΔT was dominated by ozone formation, where the effects of CO2 and other emissions are almost negligible. The long-term ΔT is dominated by CO2 accumulation, and the CH4 and O3L depletion in the atmosphere also showed long-term cooling effects.
  • The short-range flight climb segment had a more significant effect on ΔT than cruise due to the higher total emissions there, while the cruise segment for the mid and long-range flights had a higher effect on ΔT due to having the highest total emissions at cruise.
  • The NOx P3T3 and BFFM2 showed the best agreement with all EINOx values falling between error bands of ±10% while the soot P3T3 and T4/T2 methods resulted in very large relative errors of up to 80%. This showed the difficulty associated with modelling soot emissions for different engines and the need for further research to accurately evaluate aviation soot emissions.
  • Persistent contrails were absent for the short-range flight due to the low cruise altitude. The mid and long-range flights formed persistent contrails at altitudes of 8000–11,000 m at random points along the mission profile. The random nature of ISSRs highlights the challenges faced with reducing aviation contrails by aircraft re-routing or flying at lower altitudes.
  • The NOx modelling method’s effect on ΔT showed relative differences of up to 13%, while the soot modelling method showed relative differences of up to 14%. This highlights the fact that different emissions modelling methods can produce fairly accurate climate impact results and that the massive relative errors between EIsoot values are not as significant when evaluating the climate impact of aviation.
The findings of this study emphasize the need to communicate the effects of non-CO2 effects which are often overlooked by policymakers and the general public to ensure their consideration of emission reduction strategies since reducing these effects can have an immediate positive impact on the climate. Furthermore, the framework and findings presented in this paper can act as a key enabler for future research in areas such as aircraft design, alternative fuel use, flight path optimization, etc., and they support the development of energy-efficient technologies in aviation that can optimize energy usage across flight operations and reduce emissions.
In terms of future work to improve upon the framework applied in this study, developing emission models that consider fuel composition and different combustor designs would prove to be useful for aircraft design and alternative fuel climate impact studies. Additionally, further research for more accurate soot modelling methods is essential, where engine-specific empirical models would be useful. Regarding the climate impact assessment methodology, implementing certain novel aspects such as a regional variation would be useful to account for the short-term effects more accurately since they are not as well-mixed in the atmosphere as CO2. Other climate effects that can be implemented into the modelling chain are the effects of soot number emissions on the formation of contrails and their interaction with clouds, the effects of aircraft-induced cirrus, the cooling effects of the reduction in SWV due to the depletion of CH4, and the different effects of contrails during different times of day. Incorporating all these additional aspects into the evaluation of the ΔT will allow for a more accurate characterization of aviation’s full climate impact.

Author Contributions

Conceptualization, C.S.; methodology, C.S. and M.A.; software, M.A.; validation, M.A.; formal analysis, M.A.; investigation, M.A.; resources, C.S.; data curation, C.S. and M.A.; writing—original draft preparation, M.A.; writing—review and editing, C.S.; visualization, M.A.; supervision, C.S.; project administration, C.S.; funding acquisition, C.S. All authors have read and agreed to the published version of the manuscript.

Funding

This publication has emanated from research conducted with the financial support of the EU Commission Recovery and Resilience Facility 18 under the Science Foundation Ireland 2050 Challenge Grant Number 22/NCF/TF/10933 #NextGenerationEU.

Data Availability Statement

The authors attest that all data for this study are included in the paper.

Acknowledgments

The authors would like to thank Ryanair for the technical support of this study through the Sustainable Aviation Research Centre at Trinity College Dublin, along with the permission to use their data.

Conflicts of Interest

The authors declare no conflicts of interest.

Abbreviations

ATRAverage Temperature Response
BFFM2Boeing Fuel Flow Method 2
CCDClimb–Cruise–Descent
CORSIACarbon Offsetting and Reduction Scheme for International Aviation
DLRDeutsches Zentrum für Luft- und Raumfahrt e.V./German Aerospace Center
EDBEmissions Databank
EIEmission Index
ERFEffective Radiative Forcing
ETSEmissions Trading System
EUEuropean Union
GHGGreenhouse Gas
ICAOInternational Civil Aviation Organization
IPCCIntergovernmental Panel on Climate Change
ISSRIce Supersaturated Region
LTOLanding and Take-off cycle
LTRLinear Temperature Response model
MERRA-2Modern-Era Retrospective analysis for Research and Applications version-2
NMNautical Mile
NPSSNumerical Propulsion System Simulation
PASSProgram for Aircraft Synthesis Studies
RFRadiative Forcing
RTORolling-Take-off
SACSchmidt–Appleman Criterion
SLSSea-level Static conditions
SUAVEStanford University Aerospace Vehicle Environment
SWVStratospheric Water Vapour
TOCTop-of-Climb
TOWTake-off Weight
TSFCThrust Specific Fuel Consumption
Chemical Symbols
CH4Methane
CO2Carbon Dioxide
H2OWater Vapour
NOxNitrogen Oxides
O3Ozone
O3SShort-term Ozone
O3LLong-term Ozone
SOxSulfur Oxides
SO4Sulfate
Symbols
CpIsobaric heat capacity of airJ/kgK
Ctotal,CO2Total anthropogenic CO2 concentrationppmv
EiEmission masskg
EICO2CO2 Emission Indexkg/kg fuel
EIH2OH2O Emission Indexkg/kg fuel
EINOxNOx Emission Indexg/kg fuel
EISO4SO4 Emission Indexkg/kg fuel
EIsootSoot Emission Indexmg/kg fuel
FARFuel–Air Ratio-
GMixing line slopePa/K
GiImpulse response function for species i-
GTGreen’s function-
HHumidity factor-
LContrail length km
MMach number-
P3Combustor inlet pressurePa
PambAmbient static pressurePa
PsatSaturation vapour pressurehPa
PtotalAmbient total pressurePa
QSpecific combustion heatJ/kg
RF*Normalized radiative forcing-
RF2XCO2Radiative Forcing causing CO2 concentration doublingW/m2
RFiRadiative Forcing due to species iW/m2
RHiRelative humidity with respect to ice-
RHwRelative humidity with respect to water-
TThrustN
T2Compressor inlet temperatureK
T3Combustor inlet temperatureK
T4Turbine inlet temperatureK
TambAmbient static temperatureK
TambcAmbient temperature°C
TCCritical temperature for contrail formationK
TMMaximum temperature for contrail formationK
TtotalAmbient total temperatureK
VFlight speedm/s
WfFuel flowkg/s
esat,iceIce saturation partial vapour pressurePa
esat,liqLiquid saturation partial vapour pressurePa
hAltitudem
jMode-
rEfficacy-
sForcing factor-
tTime years
yCombustor inlet pressure exponent-
zFuel–Air Ratio exponent-
ΔCO2Change in CO2 concentrationppmv
ΔTGlobal surface temperature changeK
αCoefficient for impulse response functionppbv/Tg
δRelative pressure-
εMolar mass ratio-
ηOverall propulsion effeciency-
θRelative temperature-
τLife-timeyears
ωHumidity ratiog/kg dry air

References

  1. IATA. Global Outlook for Air Transport—Deep Change; IATA: Montreal, QC, Canada, 2024. [Google Scholar]
  2. Bergero, C.; Gosnell, G.; Gielen, D.; Kang, S.; Bazilian, M.; Davis, S.J. Pathways to Net-Zero Emissions from Aviation. Nat. Sustain. 2023, 6, 404–414. [Google Scholar] [CrossRef]
  3. Sharmina, M.; Edelenbosch, O.Y.; Wilson, C.; Freeman, R.; Gernaat, D.E.H.J.; Gilbert, P.; Larkin, A.; Littleton, E.W.; Traut, M.; van Vuuren, D.P.; et al. Decarbonising the Critical Sectors of Aviation, Shipping, Road Freight and Industry to Limit Warming to 1.5–2 °C. Clim. Policy 2021, 21, 455–474. [Google Scholar] [CrossRef]
  4. ICAO. 2022 Environmental Report; ICAO: Montreal, QC, Canada, 2023. [Google Scholar]
  5. Lee, D.S.; Pitari, G.; Grewe, V.; Gierens, K.; Penner, J.E.; Petzold, A.; Prather, M.J.; Schumann, U.; Bais, A.; Berntsen, T.; et al. Transport Impacts on Atmosphere and Climate: Aviation. Atmos. Environ. 2010, 44, 4678–4734. [Google Scholar] [CrossRef] [PubMed]
  6. Lee, D.S.; Fahey, D.W.; Skowron, A.; Allen, M.R.; Burkhardt, U.; Chen, Q.; Doherty, S.J.; Freeman, S.; Forster, P.M.; Fuglestvedt, J.; et al. The Contribution of Global Aviation to Anthropogenic Climate Forcing for 2000 to 2018. Atmos. Environ. 2021, 244, 117834. [Google Scholar] [CrossRef]
  7. Brasseur, G.P.; Gupta, M.; Anderson, B.E.; Balasubramanian, S.; Barrett, S.; Duda, D.; Fleming, G.; Forster, P.M.; Fuglestvedt, J.; Gettelman, A.; et al. Impact of Aviation on Climate: FAA’s Aviation Climate Change Research Initiative (ACCRI) Phase II. Bull. Am. Meteorol. Soc. 2016, 97, 561–583. [Google Scholar] [CrossRef]
  8. Saffaripour, M.; Thomson, K.A.; Smallwood, G.J.; Lobo, P. A Review on the Morphological Properties of Non-Volatile Particulate Matter Emissions from Aircraft Turbine Engines. J. Aerosol Sci. 2020, 139, 105467. [Google Scholar] [CrossRef]
  9. Schumann, U. Formation, Properties and Climatic Effects of Contrails. Comptes Rendus Phys. 2005, 6, 549–565. [Google Scholar] [CrossRef]
  10. Lee, D.S.; Allen, M.R.; Cumpsty, N.; Owen, B.; Shine, K.P.; Skowron, A. Uncertainties in Mitigating Aviation Non-CO 2 Emissions for Climate and Air Quality Using Hydrocarbon Fuels. Environ. Sci. Atmos. 2023, 3, 1693–1740. [Google Scholar] [CrossRef]
  11. Lee, D.S.; Fahey, D.W.; Forster, P.M.; Newton, P.J.; Wit, R.C.N.; Lim, L.L.; Owen, B.; Sausen, R. Aviation and Global Climate Change in the 21st Century. Atmos. Environ. 2009, 43, 3520–3537. [Google Scholar] [CrossRef]
  12. Efthymiou, M.; Papatheodorou, A. EU Emissions Trading Scheme in Aviation: Policy Analysis and Suggestions. J. Clean. Prod. 2019, 237, 117734. [Google Scholar] [CrossRef]
  13. Lee, D.; Arrowsmith, S.; Skowron, A.; Owen, B.; Sausen, R.; Boucher, O.; Faber, J.; Marianne, L.; Fuglestvedt, J.; van Wijngaarden, L. Updated Analysis of the Non-CO2 Climate Impacts of Aviation and Potential Policy Measures Pursuant to EU Emissions Trading System Directive Article 30(4). 2020. Available online: https://www.easa.europa.eu/document-library/research-reports/report-commission-european-parliament-and-council (accessed on 20 January 2024).
  14. Freeman, S.; Lee, D.S.; Lim, L.L.; Skowron, A.; De León, R.R. Trading off Aircraft Fuel Burn and NOx Emissions for Optimal Climate Policy. Environ. Sci. Technol. 2018, 52, 2498–2505. [Google Scholar] [CrossRef] [PubMed]
  15. Teoh, R.; Schumann, U.; Majumdar, A.; Stettler, M.E.J. Mitigating the Climate Forcing of Aircraft Contrails by Small-Scale Diversions and Technology Adoption. Environ. Sci. Technol. 2020, 54, 2941–2950. [Google Scholar] [CrossRef]
  16. Brink, L.F.J. Modeling the Impact of Fuel Composition on Aircraft Engine NOx, CO and Soot Emissions. Master’s Thesis, Massachusetts Institute of Technology, Cambridge, MA, USA, 2020. [Google Scholar]
  17. ICAO Aircraft Engine Emissions Databank. Available online: https://www.easa.europa.eu/en/domains/environment/icao-aircraft-engine-emissions-databank (accessed on 20 January 2024).
  18. Gauss, M.; Isaksen, I.S.A.; Lee, D.S.; Søvde, O.A. Impact of Aircraft NOx Emissions on the Atmosphere – Tradeoffs to Reduce the Impact. Atmos. Chem. Phys. 2006, 6, 1529–1548. [Google Scholar] [CrossRef]
  19. Fichter, C.; Marquart, S.; Sausen, R.; Lee, D.S. The Impact of Cruise Altitude on Contrails and Related Radiative Forcing. Meteorol. Z. 2005, 14, 563–572. [Google Scholar] [CrossRef]
  20. Wilcox, L.; Shine, K.P.; Hoskins, B.J. Radiative Forcing Due to Aviation Water Vapor Emissions. Atmos. Environ. 2012, 63, 1–13. [Google Scholar] [CrossRef]
  21. Saluja, H.S.; Yin, F.; Gangoli Rao, A.; Grewe, V. Effect of Engine Design Parameters on the Climate Impact of Aircraft: A Case Study Based on Short-Medium Range Mission. Aerospace 2023, 10, 1004. [Google Scholar] [CrossRef]
  22. Grewe, V.; Stenke, A. AirClim: An Efficient Tool for Climate Evaluation of Aircraft Technology. Atmos. Chem. Phys. 2008, 8, 4621–4639. [Google Scholar] [CrossRef]
  23. Dallara, E.S. Aircraft Design for Reduced Climate Impact. Ph.D. Thesis, Stanford University, Stanford, CA, USA, 2011. [Google Scholar]
  24. Proesmans, P.-J.; Vos, R. Airplane Design Optimization for Minimal Global Warming Impact. J. Aircr. 2022, 59, 1363–1381. [Google Scholar] [CrossRef]
  25. Rolt, A.M. Enhancing Aero Engine Performance through Synergistic Combinations of Advanced Technologies. Ph.D. Thesis, Cranfield University, Wharley End, UK, 2019. [Google Scholar]
  26. DuBois, D.; Paynter, G.C. “Fuel Flow Method2” for Estimating Aircraft Emissions. SAE Trans. 2006, 115, 1–14. [Google Scholar]
  27. Schaefer, M.; Bartosch, S. Overview on Fuel Flow Correlation Methods for the Calculation of NOx, CO and HC Emissions and Their Implementation into Aircraft Performance Software; Institut für Antriebstechnik: Köln, Germany, 2013. [Google Scholar]
  28. Durdina, L.; Brem, B.T.; Setyan, A.; Siegerist, F.; Rindlisbacher, T.; Wang, J. Assessment of Particle Pollution from Jetliners: From Smoke Visibility to Nanoparticle Counting. Environ. Sci. Technol. 2017, 51, 3534–3541. [Google Scholar] [CrossRef]
  29. Teoh, R.; Schumann, U.; Gryspeerdt, E.; Shapiro, M.; Molloy, J.; Koudis, G.; Voigt, C.; Stettler, M.E.J. Aviation Contrail Climate Effects in the North Atlantic from 2016 to 2021. Atmos. Chem. Phys. 2022, 22, 10919–10935. [Google Scholar] [CrossRef]
  30. Teoh, R.; Engberg, Z.; Shapiro, M.; Dray, L.; Stettler, M.E.J. The High-Resolution Global Aviation Emissions Inventory Based on ADS-B (GAIA) for 2019–2021. Atmos. Chem. Phys. 2024, 24, 725–744. [Google Scholar] [CrossRef]
  31. Our Fleet|Ryanair’s Corporate Website. Available online: https://corporate.ryanair.com/about-us/our-fleet/ (accessed on 11 November 2024).
  32. Numerical Propulsion System Simulation (NPSS). Available online: https://www.swri.org/consortia/numerical-propulsion-system-simulation-npss (accessed on 20 January 2024).
  33. Gallagher, C.; Stuart, C.; Spence, S. Validation and Calibration of Conceptual Design Tool SUAVE. In Proceedings of the AIAA AVIATION 2023 Forum, San Diego, CA, USA, 12–16 June 2023; American Institute of Aeronautics and Astronautics: Reston, VA, USA, 2023. [Google Scholar]
  34. Jones, S.M.; Haller, W.J.; Tong, M.T.-H. An N+3 Technology Level Reference Propulsion System; NASA: Washington, DC, USA, 2017.
  35. SUAVE. Available online: https://suave.stanford.edu/ (accessed on 11 November 2024).
  36. Cavcar, M. The International Standard Atmosphere (ISA). Anadolu Univ. 2000, 30, 1–6. [Google Scholar]
  37. Global Modeling and Assimilation Office (GMAO). MERRA-2 inst3_3d_asm_Np: 3d,3-Hourly,Instantaneous,Pressure-Level,Assimilation,Assimilated Meteorological Fields V5.12.4, Greenbelt, MD, USA, Goddard Earth Sciences Data and Information Services Center (GES DISC). 2015. Available online: https://data.nasa.gov/dataset/MERRA-2-inst3_3d_asm_Np-3d-3-Hourly-Instantaneous-/3by3-xpmk/about_data (accessed on 9 December 2024).
  38. IPCC. Aviation and the Global Atmosphere; IPCC: Geneva, Switzerland, 1999. [Google Scholar]
  39. Lim, L.; Lee, D.; Sausen, R.; Ponater, M. Quantifying the Effects of Aviation on Radiative Forcing and Temperature with a Climate Response Model. In Proceedings of the an International Conference on Transport, Atmosphere and Climate (TAC), Oxford, UK, 26–29 June 2006; Office for Official Publications of the European Communities: Luxembourg, 2007; pp. 202–208. [Google Scholar]
  40. Aygun, H.; Turan, O. Analysis of Cruise Conditions on Energy, Exergy and NOx Emission Parameters of a Turbofan Engine for Middle-Range Aircraft. Energy 2023, 267, 126468. [Google Scholar] [CrossRef]
  41. Döpelheuer, A.; Lecht, M. Influence of Engine Performance on Emission Characteristics. In Proceedings of the RTO AVT Symposium on Gas Turbine Engine Combustion, Emissions and Alternative Fuels, Lisbon, Portugal, 12–16 October 1998. [Google Scholar]
  42. Schumann, U. On Conditions for Contrail Formation from Aircraft Exhausts. Meteorol. Z. 1996, 5, 4–23. [Google Scholar] [CrossRef]
  43. Sun, J.; Roosenbrand, E. Fast Contrail Estimation with OpenSky Data. J. Open Aviat. Sci. 2023, 1, 1–12. [Google Scholar] [CrossRef]
  44. Roosenbrand, E.J.; Sun, J.; Hoekstra, J.M. Examining Contrail Formation Models with Open Flight and Remote Sensing Data. In Proceedings of the 12th SESAR Innovation Days, Budapest, Hungary, 5–8 December 2022; pp. 1–8. [Google Scholar]
  45. Wolf, K.; Bellouin, N.; Boucher, O. Long-Term Upper-Troposphere Climatology of Potential Contrail Occurrence over the Paris Area Derived from Radiosonde Observations. Atmos. Chem. Phys. 2023, 23, 287–309. [Google Scholar] [CrossRef]
  46. Lán, S.; Hospodka, J. Contrail Lifetime in Context of Used Flight Levels. Sustainability 2022, 14, 15877. [Google Scholar] [CrossRef]
  47. Köhler, M.O.; Rädel, G.; Dessens, O.; Shine, K.P.; Rogers, H.L.; Wild, O.; Pyle, J.A. Impact of Perturbations to Nitrogen Oxide Emissions from Global Aviation. J. Geophys. Res. Atmos. 2008, 113, D11. [Google Scholar] [CrossRef]
  48. Sausen, R.; Schumann, U. Estimates of the Climate Response to Aircraft CO2 and NOxEmissions Scenarios. Clim. Change 2000, 44, 27–58. [Google Scholar] [CrossRef]
  49. IPCC. Climate Change 2001: The Scientific Basis; IPCC: Geneva, Switzerland, 2001. [Google Scholar]
  50. IS92a README. Available online: https://www2.cgd.ucar.edu/vemap/supplemental/IS92a.html (accessed on 16 August 2024).
  51. IPCC. Climate Change 2007—The Physical Science Basis; IPCC: Geneva, Switzerland, 2007. [Google Scholar]
  52. IPCC. AR5 Climate Change 2013: The Physical Science Basis. Contribution of Working Group I to the Fifth Assessment Report of the Intergovernmental Panel on Climate Change; IPCC: Geneva, Switzerland, 2013. [Google Scholar]
Figure 1. Overview of the aircraft engine emissions and their resultant effects and climate impacts adapted from [11].
Figure 1. Overview of the aircraft engine emissions and their resultant effects and climate impacts adapted from [11].
Aerospace 12 00121 g001
Figure 2. Overview of methodology implemented in this study.
Figure 2. Overview of methodology implemented in this study.
Aerospace 12 00121 g002
Figure 3. Generalized block diagram of CFM56-7B26/3 NPSS model utilized on the B737-800NG.
Figure 3. Generalized block diagram of CFM56-7B26/3 NPSS model utilized on the B737-800NG.
Aerospace 12 00121 g003
Figure 4. Validation of the calibrated SUAVE-NPSS B737-800NG model against actual fuel burn data for a 500 NM mission [33].
Figure 4. Validation of the calibrated SUAVE-NPSS B737-800NG model against actual fuel burn data for a 500 NM mission [33].
Aerospace 12 00121 g004
Figure 5. Generalized summary of NOx and soot emission models implemented in this study.
Figure 5. Generalized summary of NOx and soot emission models implemented in this study.
Aerospace 12 00121 g005
Figure 6. Saturation vapour pressure curves with respect to water and ice showing contrail formation areas according to the location of the exhaust plume mixing line [43].
Figure 6. Saturation vapour pressure curves with respect to water and ice showing contrail formation areas according to the location of the exhaust plume mixing line [43].
Aerospace 12 00121 g006
Figure 7. Overview of contrail formation conditions.
Figure 7. Overview of contrail formation conditions.
Aerospace 12 00121 g007
Figure 8. Forcing factor for contrails and NOx-induced forcing agents at different altitudes [23].
Figure 8. Forcing factor for contrails and NOx-induced forcing agents at different altitudes [23].
Aerospace 12 00121 g008
Figure 9. General overview of the methodology applied using the LTR model in this study to evaluate ΔT.
Figure 9. General overview of the methodology applied using the LTR model in this study to evaluate ΔT.
Aerospace 12 00121 g009
Figure 10. Modelled EINOx along the flight paths using the three correlation methods for (a) flight 1 (b) flight 2 and (c) flight 3 (dashed lines are used to separate the different flight segments).
Figure 10. Modelled EINOx along the flight paths using the three correlation methods for (a) flight 1 (b) flight 2 and (c) flight 3 (dashed lines are used to separate the different flight segments).
Aerospace 12 00121 g010
Figure 11. Relative errors between the different methods used for modelling EINOx for all three flights: (a) P3T3 vs. BFFM2 (b) P3T3 vs. DLR (c) BFFM2 vs. DLR (blue data points represent the EINOx values, solid line represents the best-fit of the data points, and dashed lines represent the deviations from the best-fit line).
Figure 11. Relative errors between the different methods used for modelling EINOx for all three flights: (a) P3T3 vs. BFFM2 (b) P3T3 vs. DLR (c) BFFM2 vs. DLR (blue data points represent the EINOx values, solid line represents the best-fit of the data points, and dashed lines represent the deviations from the best-fit line).
Aerospace 12 00121 g011aAerospace 12 00121 g011b
Figure 12. Modelled EIsoot along the flight paths using the two correlation methods for (a) flight 1, (b) flight 2, and (c) flight 3 (dashed lines are used to separate the different flight segments).
Figure 12. Modelled EIsoot along the flight paths using the two correlation methods for (a) flight 1, (b) flight 2, and (c) flight 3 (dashed lines are used to separate the different flight segments).
Aerospace 12 00121 g012aAerospace 12 00121 g012b
Figure 13. Fuel-proportional emissions for the three flights on a per-flight segment basis (a) CO2 (b) H2O (c) SO4.
Figure 13. Fuel-proportional emissions for the three flights on a per-flight segment basis (a) CO2 (b) H2O (c) SO4.
Aerospace 12 00121 g013
Figure 14. Non-fuel-proportional emissions for the three flights on a per-flight segment basis using the different correlation methods (a) NOx (b) soot.
Figure 14. Non-fuel-proportional emissions for the three flights on a per-flight segment basis using the different correlation methods (a) NOx (b) soot.
Aerospace 12 00121 g014
Figure 15. Formation of (a) contrails and (b) persistent contrails along a schematic path of flight 2.
Figure 15. Formation of (a) contrails and (b) persistent contrails along a schematic path of flight 2.
Aerospace 12 00121 g015
Figure 16. Formation of (a) contrails and (b) persistent contrails along a schematic path of flight 3.
Figure 16. Formation of (a) contrails and (b) persistent contrails along a schematic path of flight 3.
Aerospace 12 00121 g016
Figure 17. Global surface temperature change caused by (a) flight 1, (b) flight 2, and (c) flight 3.
Figure 17. Global surface temperature change caused by (a) flight 1, (b) flight 2, and (c) flight 3.
Aerospace 12 00121 g017aAerospace 12 00121 g017b
Figure 18. Global surface temperature change sensitivity to NOx modelling method (a) flight 1, (b) flight 2, and (c) flight 3.
Figure 18. Global surface temperature change sensitivity to NOx modelling method (a) flight 1, (b) flight 2, and (c) flight 3.
Aerospace 12 00121 g018aAerospace 12 00121 g018b
Figure 19. Global surface temperature change sensitivity to soot modelling method (a) flight 1, (b) flight 2, and (c) flight 3.
Figure 19. Global surface temperature change sensitivity to soot modelling method (a) flight 1, (b) flight 2, and (c) flight 3.
Aerospace 12 00121 g019aAerospace 12 00121 g019b
Figure 20. Global surface temperature change sensitivity to flight segment (a) flight 1, (b) flight 2, and (c) flight 3.
Figure 20. Global surface temperature change sensitivity to flight segment (a) flight 1, (b) flight 2, and (c) flight 3.
Aerospace 12 00121 g020aAerospace 12 00121 g020b
Table 1. Validation results for the NPSS CFM56-7B26/3 model [33].
Table 1. Validation results for the NPSS CFM56-7B26/3 model [33].
Operating PointThrust (lbf)NPSS TSFC (lbm/hr.lbm)ICAO/NASA TSFC (lbm/hr.lbm)Error
TOC59600.6350.650−2.31%
RTO (+15 °C)20,9540.4730.474−0.21%
SLS—100%26,3000.3690.366+0.82%
SLS—85%22,3550.3520.350+0.57%
SLS—30%78900.3140.333−5.71%
SLS—7%18410.4640.466−0.43%
Table 2. Simulated flights for this study.
Table 2. Simulated flights for this study.
FlightClassificationRange (NM)
1Short-range216
2Medium-range863
3Long-range1205
Table 3. Reference RF per emission or distance values.
Table 3. Reference RF per emission or distance values.
ParameterValueUnitReference
RF ref E ref O 3 S 1.011 × 10−2Wm−2/TgNOx[24]
RF ref E ref H 2 O 7.43 × 10−6Wm−2/TgH2O[23]
RF ref E ref soot 5.0 × 10−1Wm−2/Tgsoot[23]
RF ref E ref SO 4 −1.0 × 10−1Wm−2/TgSO4[23]
RF ref E ref cont . 1.82 × 10−12Wm−2/km[24]
Table 4. Coefficients for CO2 concentration impulse response function [48].
Table 4. Coefficients for CO2 concentration impulse response function [48].
j12345
αj (ppbv/TgCO2)0.0670.11350.1520.0970.041
τj (Years)313.879.818.81.7
Table 5. Reference RF per emission values and forcing agent’s lifetime [24].
Table 5. Reference RF per emission values and forcing agent’s lifetime [24].
ParameterValueUnit
RF ref E ref CH 4 −5.16 × 10−4Wm−2/TgNox
RF ref E ref O 3 L −1.21 × 10−4Wm−2/TgNox
τ12Years
Table 6. Efficacies of different forcing agents [24].
Table 6. Efficacies of different forcing agents [24].
SpeciesCO2CH4O3H2OContrailsSO4Soot
Efficacy11.181.371.140.590.90.7
Disclaimer/Publisher’s Note: The statements, opinions and data contained in all publications are solely those of the individual author(s) and contributor(s) and not of MDPI and/or the editor(s). MDPI and/or the editor(s) disclaim responsibility for any injury to people or property resulting from any ideas, methods, instructions or products referred to in the content.

Share and Cite

MDPI and ACS Style

Awde, M.; Stuart, C. Characterizing the Full Climate Impact of Individual Real-World Flights Using a Linear Temperature Response Model. Aerospace 2025, 12, 121. https://doi.org/10.3390/aerospace12020121

AMA Style

Awde M, Stuart C. Characterizing the Full Climate Impact of Individual Real-World Flights Using a Linear Temperature Response Model. Aerospace. 2025; 12(2):121. https://doi.org/10.3390/aerospace12020121

Chicago/Turabian Style

Awde, Mohamed, and Charles Stuart. 2025. "Characterizing the Full Climate Impact of Individual Real-World Flights Using a Linear Temperature Response Model" Aerospace 12, no. 2: 121. https://doi.org/10.3390/aerospace12020121

APA Style

Awde, M., & Stuart, C. (2025). Characterizing the Full Climate Impact of Individual Real-World Flights Using a Linear Temperature Response Model. Aerospace, 12(2), 121. https://doi.org/10.3390/aerospace12020121

Note that from the first issue of 2016, this journal uses article numbers instead of page numbers. See further details here.

Article Metrics

Back to TopTop