The Effect of Contraction–Expansion Nozzle on High-Temperature Shock Tube Flow
Abstract
1. Introduction
2. Experimental System and Measurement Method
3. Physical Model and Calculation Method
3.1. Governing Equations
3.2. Non-Equilibrium Model
3.3. Physical Model and Grid Generation
4. Results and Discussion
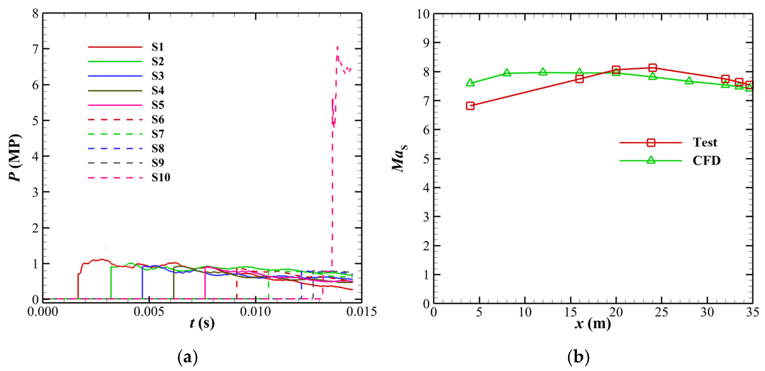
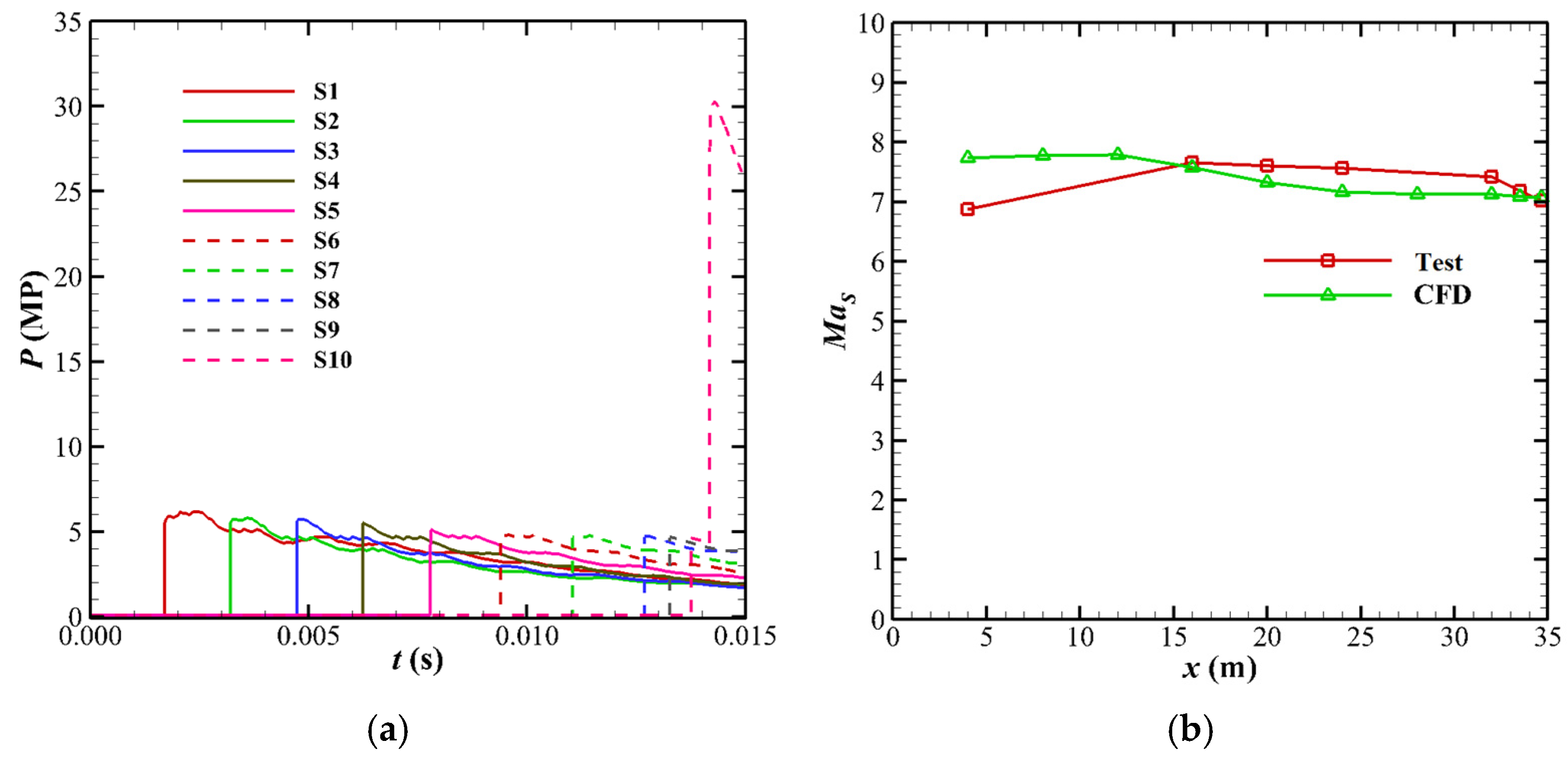
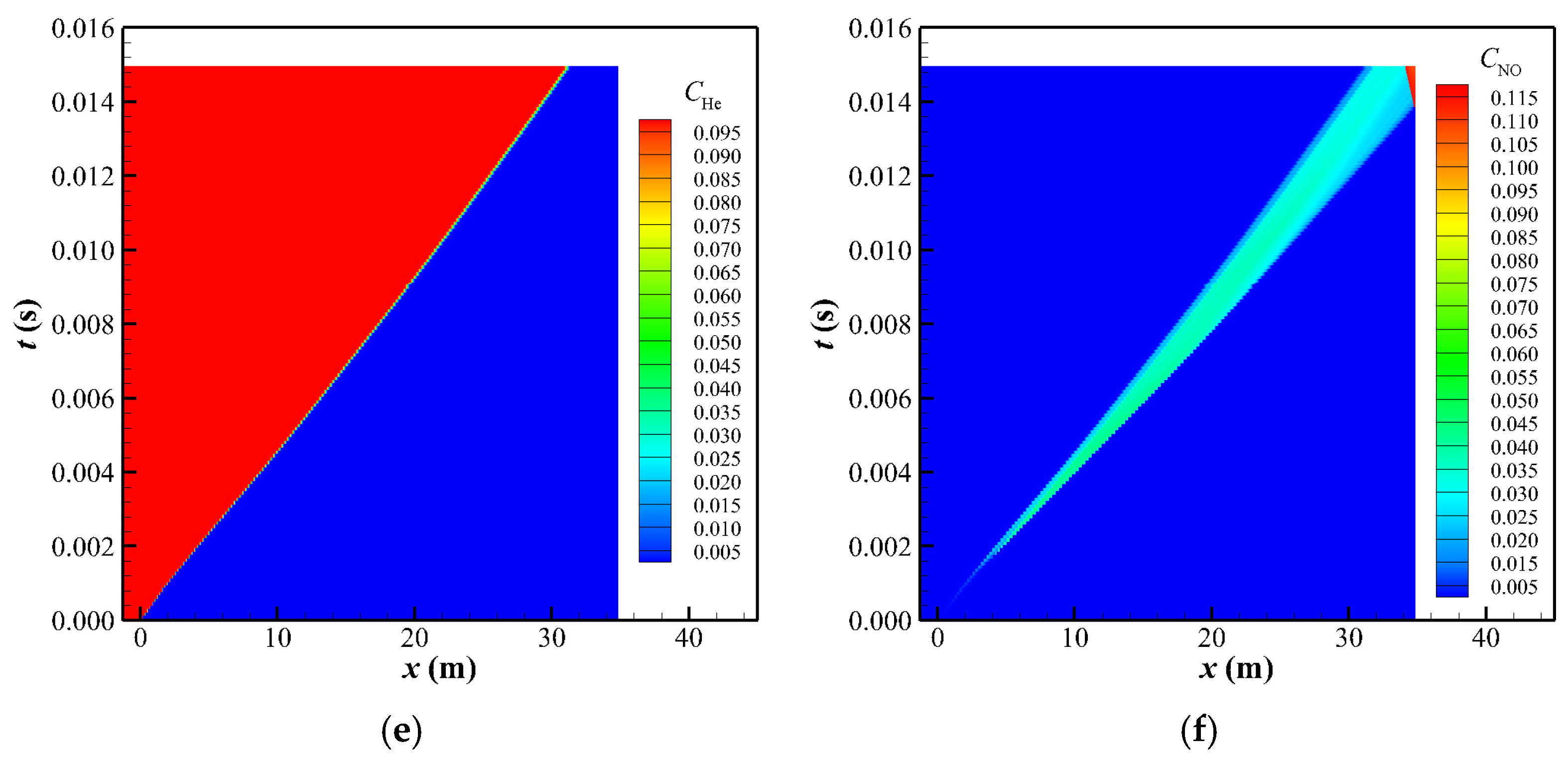
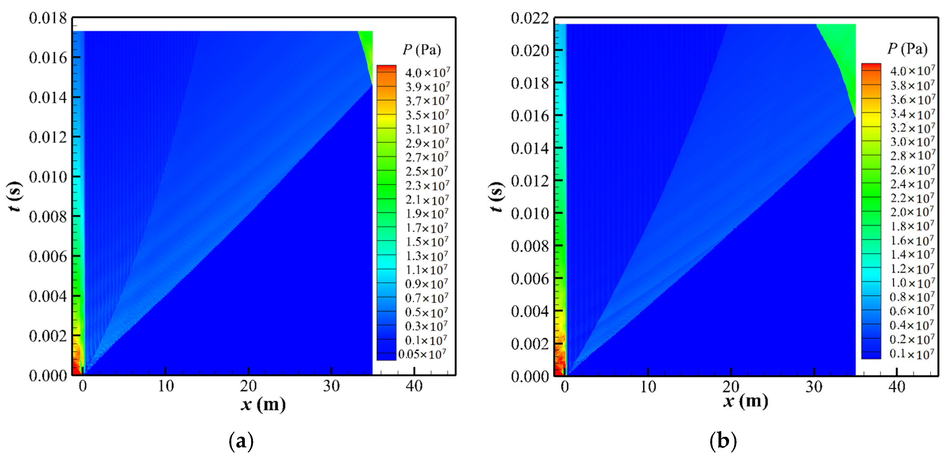
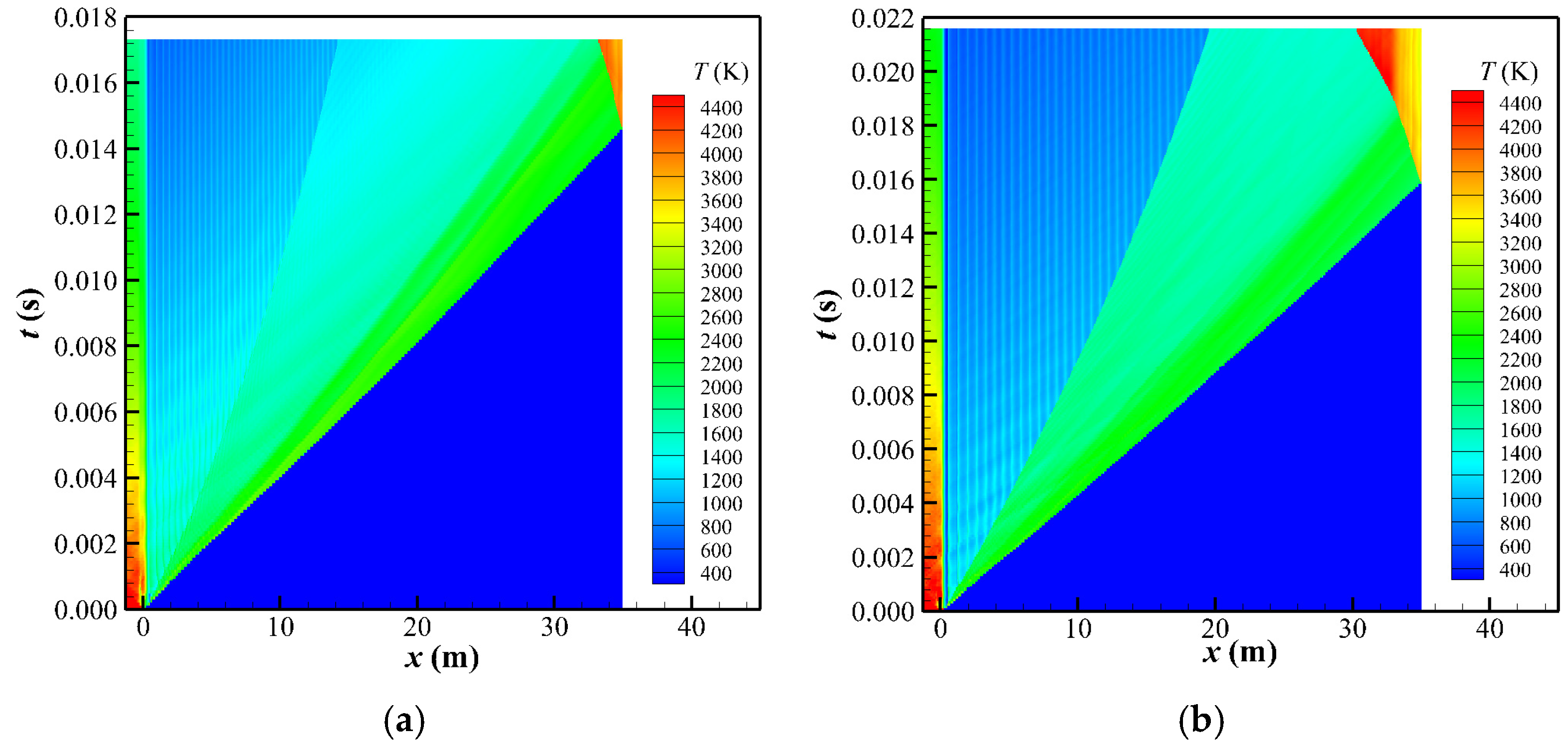
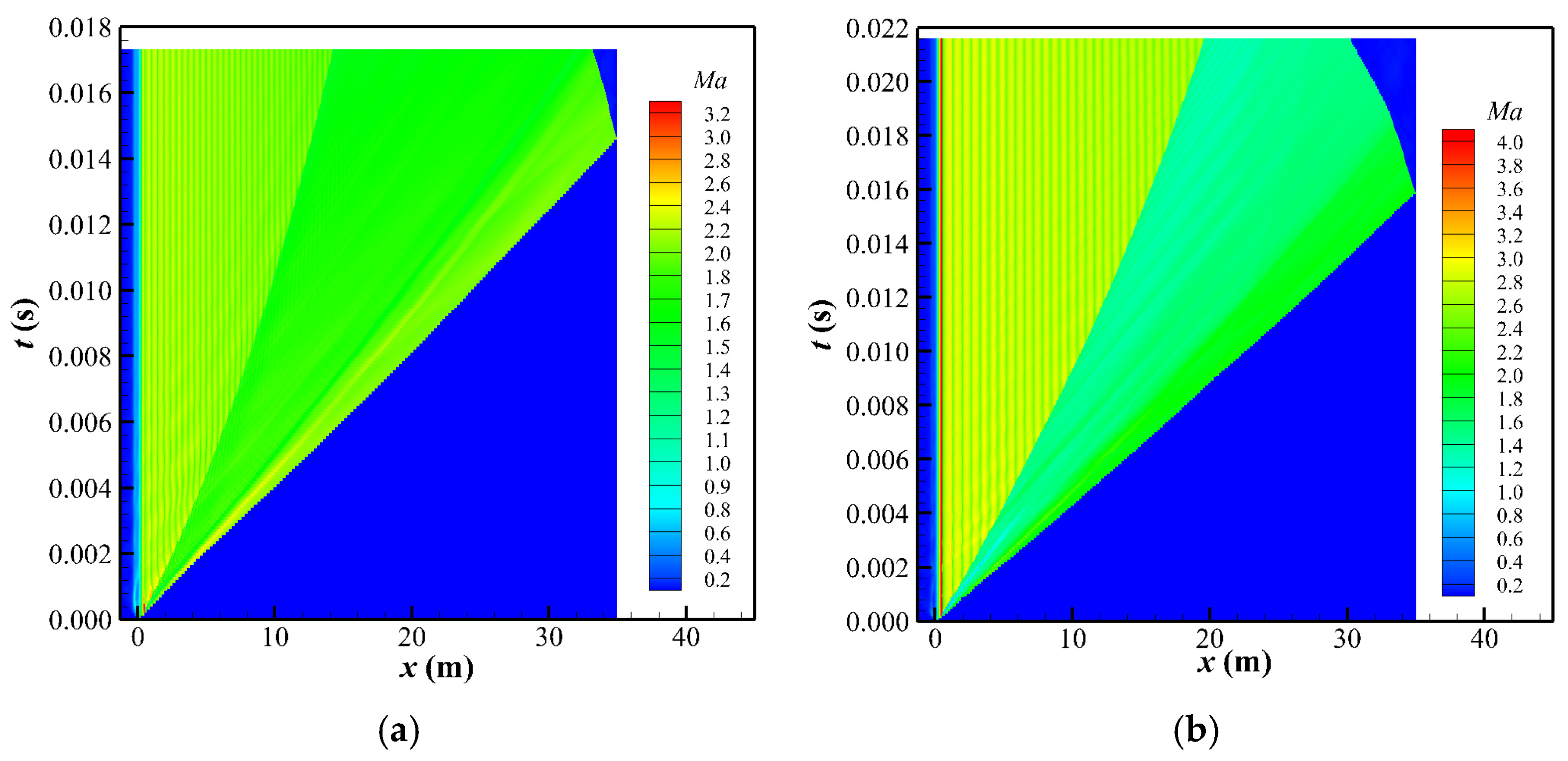
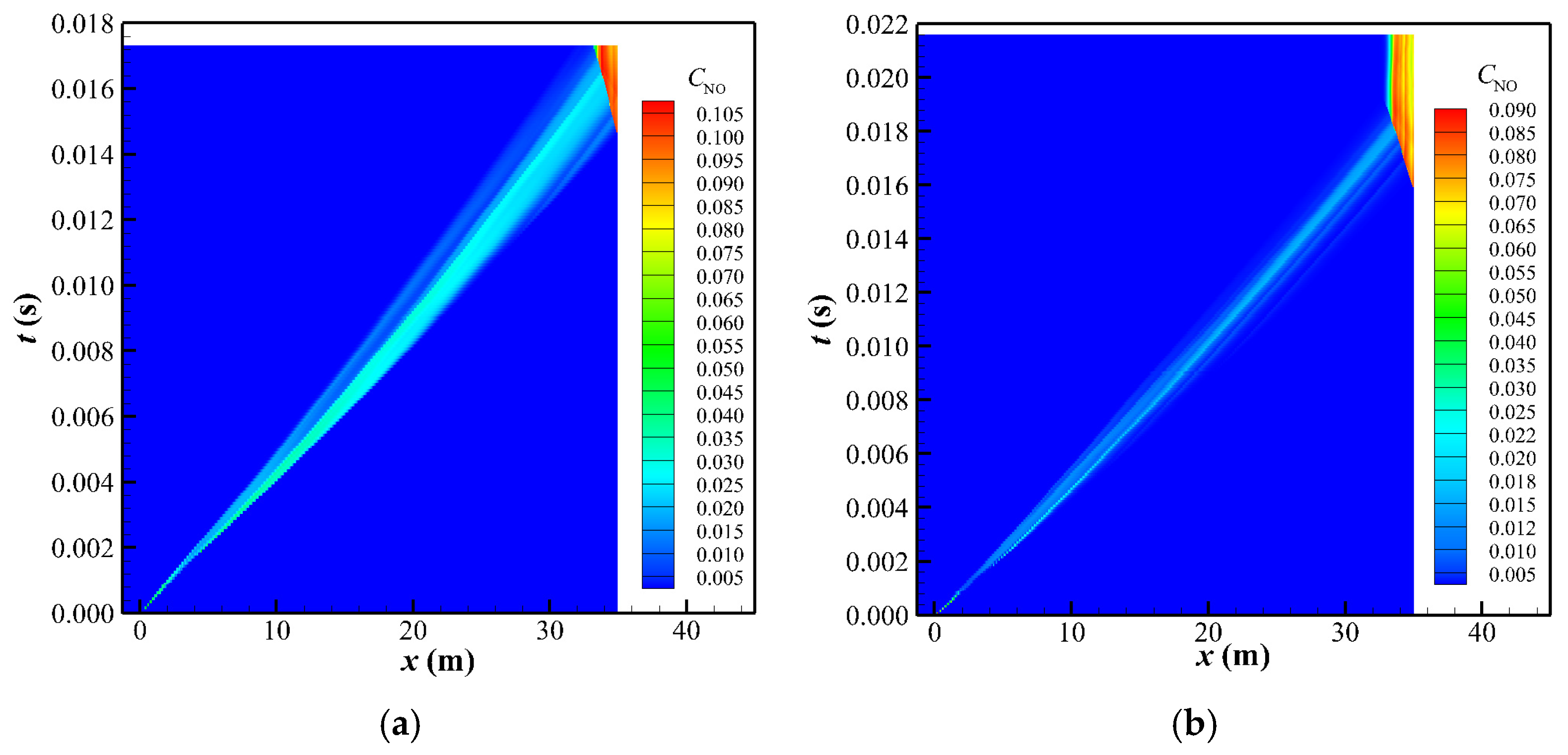
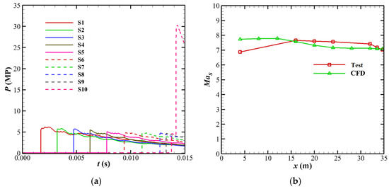
4.1. Validation of the Computational Method and Flow Analysis
4.2. Effect of Contraction–Expansion Nozzle
5. Conclusions
- (1)
- The simulation results accurately capture the flow details at different times and positions within the shock tube, including variations in pressure, density, temperature, Mach number, and the mass fractions of gas, including He and NO.
- (2)
- Following diaphragm rupture, the interaction between the right-moving rarefaction wave system and the left-moving rarefaction wave within the shock tube leads to wavefront deflection. This interaction between rarefaction waves and shocks significantly influences the strength and propagation characteristics of the shock.
- (3)
- The presence of a nozzle significantly modifies the propagation characteristics of the incident shock. In the converging section of the nozzle, the incident shock accelerates and reflects, generating new wave systems; in the diverging section, the incident shock decelerates and forms a secondary shock. The nozzle’s throttling effect results in a weakening of the shock strength and alterations in flow parameters.
- (4)
- In the region between the contact surface and the incident shock, chemical reactions have not yet reached equilibrium, leading to substantial variations in pressure, density, temperature, and mass fractions of components. As the pressure ratio between the compression tube and the shock increases, chemical nonequilibrium phenomena become more pronounced.
Author Contributions
Funding
Data Availability Statement
Conflicts of Interest
References
- Gu, S.; Olivier, H. Capabilities and limitations of existing hypersonic facilities. Prog. Aerosp. Sci. 2020, 113, 100607. [Google Scholar] [CrossRef]
- Reynier, P. Survey of high-enthalpy shock facilities in the perspective of radiation and chemical kinetics investigations. Prog. Aerosp. Sci. 2016, 85, 1–32. [Google Scholar] [CrossRef]
- Shang, J.J.S.; Yan, H. High-enthalpy hypersonic flows. Adv. Aerodyn. 2020, 2, 19. [Google Scholar] [CrossRef]
- Deutsches Zentrum fur Luft-und Raumfahrt (DLR). The high enthalpy shock tunnel Gottingen of the German Aerospace Center (DLR). J. Large-Scale Res. Facil. 2018, 4, A133. [Google Scholar] [CrossRef]
- Grinstead, J.H.; Raiche, G.A.; Olejniczak, J.; Wright, M.J.; Bogdanoff, D.W. Ames Electric Arc Shock Tube (East): Optical Instrumentation and Faculty Capabilities. Radiat. High Temp. Gases Atmos. Entry 2006, 629, 6. [Google Scholar]
- Huchel, B. Research building offers hypersonic testing, materials development. Control. Eng. 2021, 68, 12–13. [Google Scholar]
- Frank, K.L.; Marren, D.F. Advanced Hypersonic Test Facilities; AIAA: Reston, VA, USA, 2002. [Google Scholar]
- Anderson, J.D. Hypersonic and High Temperature Gas Dynamics, 2nd ed.; AIAA: Orlando, FL, USA, 2006. [Google Scholar]
- Jiang, H.; Liu, J.; Luo, S.; Huang, W.; Wang, J.; Liu, M. Thermochemical non-equilibrium effects on hypersonic shock wave/turbulent boundary-layer in-teraction. Acta Astronaut. 2022, 192, 1–14. [Google Scholar] [CrossRef]
- Fomin, N.A. 110 years of experiments on shock tubes. J. Eng. Phys. Thermophys. 2010, 83, 1118–1135. [Google Scholar] [CrossRef]
- Holden, M.S.; Wadhams, T.P.; MacLean, M.; Dufrene, A. Experimental research and analysis in supersonic and hypervelocity flows in the LENS shock tunnels and expansion tunnel. In Proceedings of the 20th AIAA International Space Planes and Hypersonic Systems and Technologies Conference, Glasgow, Scotland, 6–9 July 2015. [Google Scholar]
- Jiang, Z.; Li, J.P.; Hu, Z.; Liu, Y.; Yu, H. On theory and methods for advanced detonation-driven hypervelocity shock tunnels. Natl. Sci. Rev. 2020, 7, 1198–1207. [Google Scholar] [CrossRef] [PubMed]
- Ray, J.; Blonigan, P.; Phipps, E.T.; Maupin, K. An Assessment of the Laminar Hypersonic Double-Cone Experiments in the LENS-XX Tunnel. AIAA J. 2023, 61, 3298–3312. [Google Scholar] [CrossRef]
- Jiang, Z.L.; Hu, Z.; Wang, Y.; Han, G. Advances in critical technologies for hypersonic and high-enthalpy wind tunnel. Chin. J. Aeronaut. 2020, 33, 3027–3038. [Google Scholar] [CrossRef]
- Lenartz, M.T.; Wang, B. Development of a detonation driver for a shock tunnel. In Proceedings of the 20th ISSW, Pasadena, CA, USA, 23–28 July 1995; Sturtevanr, B., Shepherd, J.E., Eds.; World Scientific: Singapore, 1996; pp. 153–158. [Google Scholar]
- Chan, W.Y.K.; Mee, D.; Smart, M.; Turner, J. Effects of flow disturbances from cross-stream fuel injection on the drag reduction by boundary layer combustion. In Proceedings of the 18th AIAA/3AF International Space Planes and Hypersonic Systems and Technologies Conference, Tours, France, 24–28 September 2012. [Google Scholar]
- Stalker, R.J.; Morgan, R.G. The university of Queensland free piston shock tunnel T4—Initial operation and preliminary cali-bration. In Proceedings of the 4th National Space Engineering Symposium, Adelaide, Australia, 12–14 July 1988. [Google Scholar]
- Byrne, T.J. Modeling piston motion in T-ADFA free piston shock tunnel. UNSW Canberra ADFA J. Undergrad. Eng. Res. 2009, 1, 6. [Google Scholar]
- Stennett, S.J.; Gildfind, D. Optimising the X3R reflected shock tunnel free piston driver for long duration test times. In Proceedings of the 31st International Symposium on Shock Waves, Nagoya, Japan, 9–14 July 2017. [Google Scholar]
- Jacobs, C. Radiation in Low Density Hypervelocity Flows; University of Queensland: St Lucia, QLD, Australia, 2012. [Google Scholar]
- McGilvray, M.; Collen, P.; Doherty, L.; Steer, J.; Leader, J.; Glenn, A.; Hambidge, C. The Oxford T6 Stalker Tunnel: Performance, Upgrades and New Modes of Operation; Oxford University: Oxford, UK, 2022. [Google Scholar]
- Martinez Schramm, J.; Hannemann, K. Study of MHD Effects in the High-Enthalpy Shock Tunnel Göttingen (HEG) Using a 30 T-Pulsed Magnet System. In Proceedings of the 31st International Symposium on Shock Waves 2: Applications 31, Nagoya, Japan, 9–14 July 2017; Springer International Publishing: Berlin/Heidelberg, Germany, 2019; pp. 617–623. [Google Scholar]
- Kawata, S.; Shimamura, K.; Suzuki, S.; Manoharan, R.; Tanno, H. Hypersonic boundary transition measurement by Focused Laser Differential Inter-ferometry in high-enthalpy shock tunnel HIEST. In Proceedings of the AIAA SciTech 2022 Forum, San Diego, CA, USA, 3–7 January 2022; p. 0733. [Google Scholar]
- Shen, J.M.; Ma, H.D.; Li, C. Initial measurements of a 2m mach10 free piston shock tunnel at CAAA. In Proceedings of the 31st International Symposium on Shock Waves, Nagoya, Japan, 9–14 July 2017. [Google Scholar]
- Shen, J.M.; Shao, Z.J.; Ji, F.; Chen, X.; Lu, H.; Ma, H. High Enthalpy Non-Equilibrium Expansion Effects in Turbulent Flow of the Conical Nozzle. Aerospace 2023, 10, 455. [Google Scholar] [CrossRef]
- Shen, J.M.; Jin, Y.; Song, H.; Wen, S.; Chen, X.; Ji, F.; Yi, X.; Lu, H.; Bi, Z. Diagnostic method for free flow parameters of large free piston shock tunne. J. Propuls. Technol. 2024, 45, 2211026. (In Chinese) [Google Scholar]
- Shen, J.M.; Chen, X.; Yi, X.Y.; Sun, R.; Ji, F.; Bi, Z. Key technology of heavy piston soft landing in large-scale free piston shock tunnels. Acta Aerodyn. Sin. 2023, 41, 30–41. (In Chinese) [Google Scholar]
- Lynch, K.P.; Grasser, T.; Spillers, R.; Downing, C.; Daniel, K.A.; Jans, E.R.; Kearney, S.; Morreale, B.J.; Wagnild, R.; Wagner, J.L. Design and characterization of the Sandia free-piston reflected shock tunnel. Shock. Waves 2023, 33, 299–314. [Google Scholar] [CrossRef]
- Mizoguchi, M.; Aso, S.; Futae, S.; Hayashi, K. A study on increase of duration of a free piston shock tunnel. In Proceedings of the 42nd AIAA Aerospace Sciences Meeting and Exhibit, Reno, NV, USA, 5–8 January 2004; p. 1294. [Google Scholar]
- Gupta, R.N.; Thompson, R.A. A Review of Reaction Rates and Thermodynamics and Transport Properties for an 11-Species Air Model for Chemical and Thermal Nonequilibrium Calculations to 3000K; Report No.: RP-1232; NASA: Washington, DC, USA, 1990. [Google Scholar]
- Park, C. Assessment of two-temperature kinetic model for ionizing air. In Proceedings of the AIAA 22nd Thermophysics Conference, Honolulu, HI, USA, 8–10 June 1987. [Google Scholar]
- Gnoffo, P.A.; Gupta, R.N. Conservation Equations and Physical Models for Hypersonic Air Flows in Thermal and Chemical Nonequilibrium. Report No.: TP 2867; NASA: Washington, DC, USA, 1989. [Google Scholar]
- Park, C. Problems of rate chemistry in the flight regimes of aeroassisted orbital transfer vehicles. Thermal Design of Aerossisted Orbital transfer Vehicles. Prog. Astronaut. Aeronaut. AIAA 1985, 96, 511–537. [Google Scholar]
- Shen, J.; Lu, H.B.; Li, R.Q.; Chen, X.; Ma, H. The thermochemical non-equilibrium scale effects of the high enthalpy nozzle. Adv. Aerodyn. 2020, 2, 20. [Google Scholar] [CrossRef]
- Candler, G.V. Hypersonic nozzle analysis using an excluded volume equation of state. In Proceedings of the 38th AIAA Thermophysics Conference, Toronto, ON, Canada, 6–9 June 2005. [Google Scholar]
- Wang, Y.; Hu, Z.; Liu, Y.; Jiang, Z. Starting process in a large-scale shock tunnel. AIAA J. 2016, 54, 1240–1249. [Google Scholar] [CrossRef]
- Spalart, P.R.; Allmaras, S.R. A one-equation turbulence model for aerodynamic flows. In Proceedings of the 30th Aerospace Sciences Meeting and Exhibit, Reno, NV, USA, 6–9 January 1992. [Google Scholar]

















| Case | S1 | S2 | S3 | S4 | S5 | S6 | S7 | S8 | S9 | S10 |
| Location/m | 4 | 8 | 12 | 16 | 20 | 24 | 28 | 32 | 33.5 | 34.6 |
| Case | Driver Section | Driven Section | |||
|---|---|---|---|---|---|
| Pdr (MPa) | Tdr (K) | mHe:mAr | Pdn (kPa) | Tdn (K) | |
| 1 | 14.5 | 3403 | 1:9 | 10 | 287 |
| 2 | 45.0 | 4845 | 1:9 | 80 | 287 |
| Case | Mas | P0 | ||||
|---|---|---|---|---|---|---|
| Measure | Calculate | Error | Measure (MPa) | Calculate (MPa) | Error | |
| 1 | 7.5 | 7.4 | 1.3% | 5.8 | 6.2 | 6.9% |
| 2 | 7.0 | 7.1 | 1.4% | 20.3 | 21.5 | 5.9% |
| Case | No Throttling | rt = 0.111 m | rt = 0.083 m |
|---|---|---|---|
| Mas | 7.1 | 6.6 | 6.1 |
| P0 (Mpa) | 21.5 | 19.3 | 16.2 |
Disclaimer/Publisher’s Note: The statements, opinions and data contained in all publications are solely those of the individual author(s) and contributor(s) and not of MDPI and/or the editor(s). MDPI and/or the editor(s) disclaim responsibility for any injury to people or property resulting from any ideas, methods, instructions or products referred to in the content. |
© 2025 by the authors. Licensee MDPI, Basel, Switzerland. This article is an open access article distributed under the terms and conditions of the Creative Commons Attribution (CC BY) license (https://creativecommons.org/licenses/by/4.0/).
Share and Cite
Shen, J.; Yao, D.; Shao, Z.; Ji, F.; Chen, X.; Chen, W.; Li, J. The Effect of Contraction–Expansion Nozzle on High-Temperature Shock Tube Flow. Aerospace 2025, 12, 120. https://doi.org/10.3390/aerospace12020120
Shen J, Yao D, Shao Z, Ji F, Chen X, Chen W, Li J. The Effect of Contraction–Expansion Nozzle on High-Temperature Shock Tube Flow. Aerospace. 2025; 12(2):120. https://doi.org/10.3390/aerospace12020120
Chicago/Turabian StyleShen, Junmou, Dapeng Yao, Zhongjie Shao, Feng Ji, Xing Chen, Wei Chen, and Jianwei Li. 2025. "The Effect of Contraction–Expansion Nozzle on High-Temperature Shock Tube Flow" Aerospace 12, no. 2: 120. https://doi.org/10.3390/aerospace12020120
APA StyleShen, J., Yao, D., Shao, Z., Ji, F., Chen, X., Chen, W., & Li, J. (2025). The Effect of Contraction–Expansion Nozzle on High-Temperature Shock Tube Flow. Aerospace, 12(2), 120. https://doi.org/10.3390/aerospace12020120
