Mechanistic Insights into Effects of Perforation Direction on Thermal Hydraulic Performance of Ribs in a Rectangular Cooling Channel
Abstract
1. Introduction
2. Experimental Setup and Methods
2.1. Test Rig
2.2. Rib Configuration
2.3. Method for Determining the Heat Transfer Coefficient
2.4. Uncertainty Analysis
3. Numerical Method
3.1. Governing Equations
3.2. Boundary Conditions and Discretization Schemes
3.3. Discretization Schemes and Solution Control
3.4. Mesh Independence Test
4. Data Reduction
5. Results and Discussion
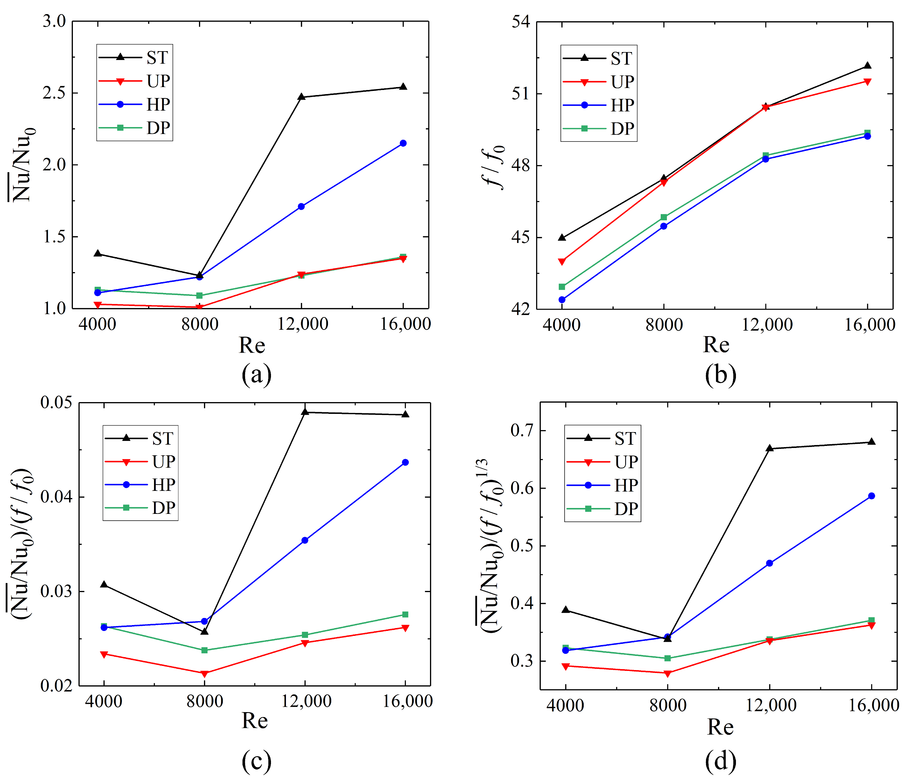
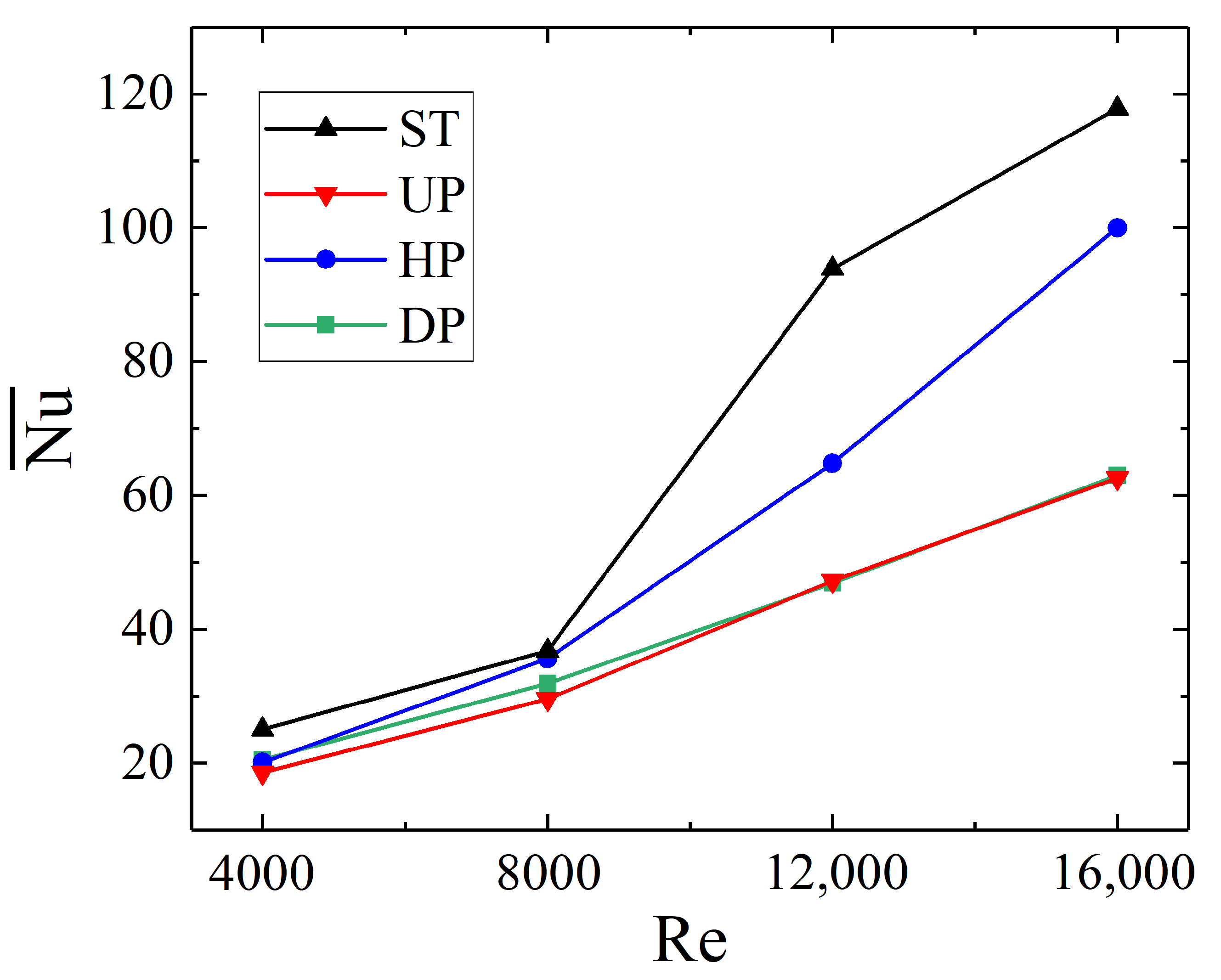
5.1. Heat Transfer Characteristics
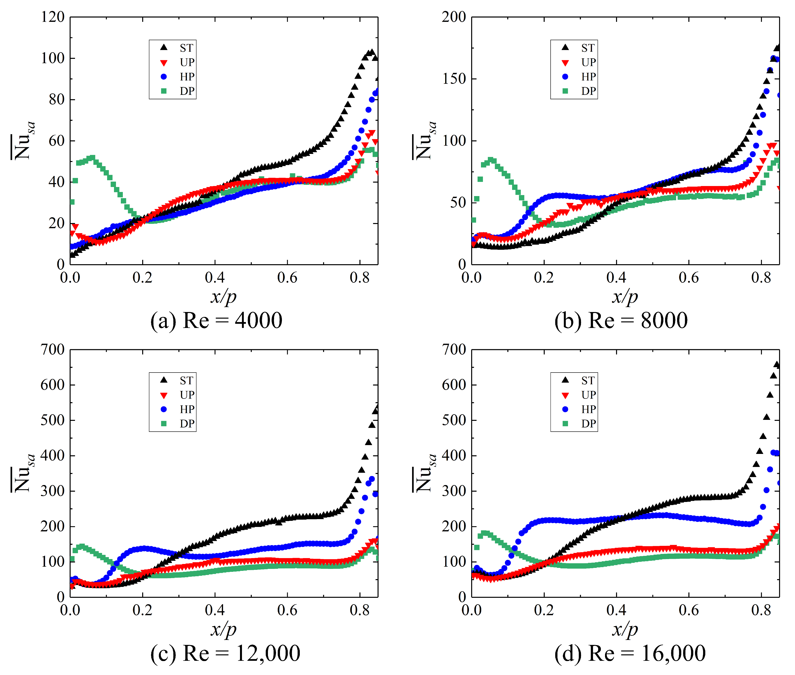
5.2. Flow Structures
5.3. Thermal Performance
6. Conclusions
- (1)
- Due to low frictional resistance and relatively high heat transfer coefficients, horizontal perforated ribs exhibit the highest thermal performance index at , while solid-type ribs have the highest thermal performance index under other operating conditions.
- (2)
- Horizontal perforated ribs can compress the recirculation zone behind the ribs, reducing channel pressure loss, while the airflow passing through the horizontal perforations enhances heat transfer behind the ribs. At high Reynolds numbers, the use of horizontal perforated ribs can reduce channel pressure loss without significantly compromising heat transfer enhancement.
- (3)
- Changing the direction of rib perforation can induce complex flow structures behind the rib, resulting in various effects on flow and heat transfer. Upward-tilted perforated ribs increase flow friction and diminish heat transfer compared to horizontal perforated ribs. Downward-tilted perforated ribs direct the airflow to impinge directly on the area behind the rib, enhancing local heat transfer behind the rib. However, the overall heat transfer performance of downward-tilted perforated ribs is not as notable as that of horizontal perforated ribs.
Author Contributions
Funding
Data Availability Statement
Acknowledgments
Conflicts of Interest
Nomenclature
| c | specific heat capacity, |
| hydraulic diameter, m | |
| e | rib height, m |
| f | friction factor |
| H | channel height, m |
| h | heat transfer coefficient, |
| k | thermal conductivity, |
| L | channel length, m |
| Nusselt number | |
| number of perforations on a rib | |
| p | rib pitch, m |
| volume flow rate, | |
| Reynolds number | |
| open area ratio of perforated ribs | |
| r | radius of a perforation, m |
| T | temperature, K |
| t | time, s |
| mean axial velocity, | |
| W | channel width, m |
| Prandtl number | |
| Greek Symbols | |
| Pressure drop, Pa | |
| density, | |
| kinematic viscosity, | |
| thermal index | |
| Subscripts | |
| g | gas |
| w | wall |
| spanwise-averaged | |
| Abbreviations | |
| CFD | computational fluid dynamics |
| TLC | thermographic liquid crystal |
| DP | downward-tilted perforated ribs |
| HP | horizontal perforated ribs |
| UP | upward-tilted perforated ribs |
| ST | solid-type ribs |
References
- Zhang, F.; Song, H.; Liu, C.L.; Liu, H.Y.; Ye, L.; Zhou, T.L.; Li, B.R. Study on the film cooling effectiveness of shaped holes in the suction surface gill region of the turbine blade. Int. J. Therm. Sci. 2023, 184, 107977. [Google Scholar] [CrossRef]
- Li, L.; Liu, C.L.; Xu, Z.P.; Zhu, H.R.; Zhang, F. Experimental and numerical research on film cooling characteristics on the compound angle hole. Phys. Fluids 2022, 34, 125128. [Google Scholar] [CrossRef]
- Fan, X.J.; Li, L.; Zou, J.S.; Zhou, Y.Y. Cooling methods for gas turbine blade leading edge: Comparative study on impingement cooling, vortex cooling and double vortex cooling. Int. Commun. Heat Mass Transf. 2019, 100, 133–145. [Google Scholar] [CrossRef]
- Li, G.; Li, A.; Zhang, S.; Wang, C.; Lu, X. Film Cooling Performance on a Turbine Blade With Subregional Compound Angle. ASME J. Heat Mass Transf. 2024, 146, 053801. [Google Scholar] [CrossRef]
- Nourin, F.N.; Amano, R.S. Review of gas turbine internal cooling improvement technology. ASME J. Energy Resour. Technol. 2021, 143, 080801. [Google Scholar] [CrossRef]
- Dinh, C.T.; Nguyen, T.M.; Vu, T.D.; Park, S.G.; Nguyen, Q.H. Numerical investigation of truncated-root rib on heat transfer performance of internal cooling turbine blades. Phys. Fluids 2021, 33, 076104. [Google Scholar] [CrossRef]
- Su, W.J.; Huang, T.H.; Liu, Y.H. Heat transfer and friction in trapezoidal channels with X-shaped ribs. Int. J. Therm. Sci. 2021, 164, 106871. [Google Scholar] [CrossRef]
- He, P.; Mader, C.A.; Martins, J.R.R.A.; Maki, K.J. Aerothermal optimization of a ribbed U-bend cooling channel using the adjoint method. Int. J. Heat Mass Transf. 2019, 140, 152–172. [Google Scholar] [CrossRef]
- Ran, S.; Zhang, P.; Rao, Y. Numerical study of heat transfer and flow structure over channel surfaces featuring miniature V rib-dimples with various configurations. Int. J. Therm. Sci. 2022, 172, 107342. [Google Scholar] [CrossRef]
- Chung, H.; Park, J.S.; Park, S.; Choi, S.M.; Rhee, D.H.; Cho, H.H. Augmented heat transfer with intersecting rib in rectangular channels having different aspect ratios. Int. J. Heat Mass Transf. 2015, 88, 357–367. [Google Scholar] [CrossRef]
- Chen, I.L.; Sahin, I.; Wright, L.M.; Han, J.C.; Krewinkel, R. Heat Transfer in a rotating, blade-Shaped, two-pass cooling channel with a variable aspect ratio. J. Turbomach. 2022, 144, 021011. [Google Scholar] [CrossRef]
- Zhang, D.W.; Li, H.W.; Tian, Y.T.; You, R.Q.; Zhang, X.J.; Wu, A. Effects of a high Reynolds number and rotation on the leading-edge heat transfer of a ribbed cooling channel with a cross-section consisting of a semicircle and a rectangle. Int. J. Heat Mass Transf. 2022, 188, 122646. [Google Scholar] [CrossRef]
- Wang, X.; Xu, H.; Wang, J.; Song, W.; Wang, L. High pressure turbine blade internal cooling in a realistic rib roughened two-pass channel. Int. J. Heat Mass Transf. 2021, 170, 121019. [Google Scholar] [CrossRef]
- Hwang, J.J.; Liou, T.M. Heat transfer in a rectangular channel with perforated turbulence promoters using holographic interferometry measurement. Int. J. Heat Mass Transf. 1995, 38, 3197–3207. [Google Scholar] [CrossRef]
- Sara, O.N.; Pekdemir, T.; Yapici, S.; Yilmaz, M. Heat-transfer enhancement in a channel flow with perforated rectangular blocks. Int. J. Heat Fluid Flow 2001, 22, 509–518. [Google Scholar] [CrossRef]
- Liu, J.; Hussain, S.; Wang, W.; Xie, G.; Sundén, B. Experimental and numerical investigations of heat transfer and fluid flow in a rectangular channel with perforated ribs. Int. Commun. Heat Mass Transf. 2021, 121, 105083. [Google Scholar] [CrossRef]
- Nuntadusit, C.; Wae-hayee, M.; Bunyajitradulya, A.; Eiamsa-ard, S. Thermal visualization on surface with transverse perforated ribs. Int. Commun. Heat Mass Transf. 2012, 39, 634–639. [Google Scholar] [CrossRef]
- Javanmard, S.; Ashrafizadeh, A. A comparative numerical study on heat transfer and pressure drop characteristics of perforated ribs. Int. J. Therm. Sci. 2023, 191, 108373. [Google Scholar] [CrossRef]
- Buchlin, J.M. Convective heat transfer in a channel with perforated ribs. Int. J. Therm. Sci. 2002, 41, 332–340. [Google Scholar] [CrossRef]
- Karwa, R.; Maheshwari, B. Heat transfer and friction in an asymmetrically heated rectangular duct with half and fully perforated baffles at different pitches. Int. Commun. Heat Mass Transf. 2009, 36, 264–268. [Google Scholar] [CrossRef]
- El Habet, M.A.; Ahmed, S.A.; Saleh, M.A. Thermal/hydraulic characteristics of a rectangular channel with inline/staggered perforated baffles. Int. Commun. Heat Mass Transf. 2021, 128, 105591. [Google Scholar] [CrossRef]
- Shevchuk, I.V.; Jenkins, S.C.; Weigand, B.; von Wolfersdorf, J.; Neumann, S.O.; Schnieder, M. Validation and Analysis of Numerical Results for a Varying Aspect Ratio Two-Pass Internal Cooling Channel. J. Heat Transf. 2011, 133, 051701. [Google Scholar] [CrossRef]
- Liu, C.; Wang, Z.; Zhang, Z.W. Investigation on Heat Transfer Augmentation in a InnerCooling Passage with Triangular V-Shaped and Inverse V-Shaped Ribs. J. Propuls. Technol. 2019, 40, 2040–2049. [Google Scholar] [CrossRef]
- Haemisch, J.; Suslov, D.; Oschwald, M. Experimental Study of Methane Heat Transfer Deterioration in a Subscale Combustion Chamber. J. Propuls. Power 2019, 35, 819–826. [Google Scholar] [CrossRef]
- Wagner, G.; Kotulla, M.; Ott, P.; Weigand, B.; von Wolfersdorf, J. The Transient Liquid Crystal Technique: Influence of Surface Curvature and Finite Wall Thickness. J. Turbomach. 2005, 127, 175–182. [Google Scholar] [CrossRef]
- Han, J.C.; Dutta, S.; Ekkad, S. Gas Turbine Heat Transfer and Cooling Technology; CRC Press: Boca Raton, FL, USA, 2012. [Google Scholar]
- Bich, W. Revision of the ‘guide to the expression of uncertainty in measurement’. Why and how. Metrologia 2014, 51, S155. [Google Scholar] [CrossRef]
- Zhang, F.; Wang, X.; Li, J. Effects of coolants on the flow and heat transfer characteristics in a non-rotating and rotating two-pass rectangular channel. Int. J. Heat Mass Transf. 2015, 91, 390–400. [Google Scholar] [CrossRef]
- Zhang, Q.; Wang, T.; Hou, Q.; Song, K.; Hu, W.; Wu, X. Thermal hydraulic performance augmentation by petal-shaped ribs in a two-pass cooling channel. Case Stud. Therm. Eng. 2022, 40, 102542. [Google Scholar] [CrossRef]
- Menter, F.R. Two-equation eddy-viscosity turbulence models for engineering applications. AIAA J. 1994, 32, 1598–1605. [Google Scholar] [CrossRef]
- Russo, F.; Basse, N.T. Scaling of turbulence intensity for low-speed flow in smooth pipes. Flow Meas. Instrum. 2016, 52, 101–114. [Google Scholar] [CrossRef]
- Lienhard, J.H. A Heat Transfer Textbook; Courier Corporation: North Chelmsford, MA, USA, 2013. [Google Scholar]
- Lee, C.; Abdel-Moneim, S. Computational analysis of heat transfer in turbulent flow past a horizontal surface with two-dimensional ribs. Int. Commun. Heat Mass Transf. 2001, 28, 161–170. [Google Scholar] [CrossRef]
- Yeranee, K.; Rao, Y.; Xu, C.; Zhang, Y.; Su, X. Turbulent Flow Heat Transfer and Thermal Stress Improvement of Gas Turbine Blade Trailing Edge Cooling with Diamond-Type TPMS Structure. Aerospace 2024, 11, 37. [Google Scholar] [CrossRef]












| Variables | Typical Values | Uncertainty |
|---|---|---|
| 309.8 K | 0.2 K | |
| 300.0 K | 0.2 K | |
| 350.0 K | 0.2 K | |
| t | 25.0 s | 0.1 s |
| 37.5 mm | 0.5 mm | |
| 54,000 L/h | 810 L/h |
Disclaimer/Publisher’s Note: The statements, opinions and data contained in all publications are solely those of the individual author(s) and contributor(s) and not of MDPI and/or the editor(s). MDPI and/or the editor(s) disclaim responsibility for any injury to people or property resulting from any ideas, methods, instructions or products referred to in the content. |
© 2024 by the authors. Licensee MDPI, Basel, Switzerland. This article is an open access article distributed under the terms and conditions of the Creative Commons Attribution (CC BY) license (https://creativecommons.org/licenses/by/4.0/).
Share and Cite
Qian, W.; Shuai, R.; Meng, Q.; Roy, S.; Yao, S.; Wang, P. Mechanistic Insights into Effects of Perforation Direction on Thermal Hydraulic Performance of Ribs in a Rectangular Cooling Channel. Aerospace 2024, 11, 675. https://doi.org/10.3390/aerospace11080675
Qian W, Shuai R, Meng Q, Roy S, Yao S, Wang P. Mechanistic Insights into Effects of Perforation Direction on Thermal Hydraulic Performance of Ribs in a Rectangular Cooling Channel. Aerospace. 2024; 11(8):675. https://doi.org/10.3390/aerospace11080675
Chicago/Turabian StyleQian, Weijia, Ruiyang Shuai, Qingkun Meng, Subhajit Roy, Songbai Yao, and Ping Wang. 2024. "Mechanistic Insights into Effects of Perforation Direction on Thermal Hydraulic Performance of Ribs in a Rectangular Cooling Channel" Aerospace 11, no. 8: 675. https://doi.org/10.3390/aerospace11080675
APA StyleQian, W., Shuai, R., Meng, Q., Roy, S., Yao, S., & Wang, P. (2024). Mechanistic Insights into Effects of Perforation Direction on Thermal Hydraulic Performance of Ribs in a Rectangular Cooling Channel. Aerospace, 11(8), 675. https://doi.org/10.3390/aerospace11080675

