An Analytical Reentry Solution Based Online Time-Coordinated A* Path Planning Method for Hypersonic Gliding Vehicles Considering No-Fly-Zone Constraint
Abstract
1. Introduction
- (1)
- An analytical steady gliding path model is established. The analytical steady gliding path is designed based on a quadratic function altitude-velocity profile. The control commands are derived explicitly according to the desired terminal altitude and velocity instead of through trajectory iteration, which improves the planning efficiency. The analytical steady gliding path model constructs the mapping between the control variables and the terminal states, which provides an important basis for improving the A* algorithm to satisfy the dynamic and terminal constraints.
- (2)
- An improved A* algorithm that can achieve arrival time control is proposed for HGV. On the one hand, to solve the problem of the infeasible path for HGV in the classic A* algorithm, a dynamically considered path extension method is proposed based on the analytical steady gliding path mode. The path extension method takes terminal altitude and velocity as the design variables and uses the established analytical steady gliding path model for one-step integration to obtain path nodes. This path extension method ensures path nodes satisfy the dynamic constraints, making it possible for the A* algorithm to be applied to the path planning problem of HGV. On the other hand, the evaluation function of the A* algorithm is modified to consider the arrival time constraint. A heuristic switching function is designed and introduced in the path evaluation function to achieve arrival time control. The penalty function is introduced to ensure that the vehicles’ paths satisfy the no-fly zone and force-thermal constraints. Thus, the improved A* algorithm can simultaneously consider time-coordination requirements and no-fly-zone constraints.
- (3)
- An online arrival time coordination method is proposed. The method determines the expected arrival time of all HGVs based on each vehicle’s time-to-go prediction results, eliminating the need to specify arrival times in advance. The arrival time is adjusted with the change in the HGVs’ states. Thus, the path-planning method can respond to sudden threats, increasing the online application ability.
2. Problem Formulation
2.1. Dynamic Model
2.2. Problem Statement
3. Analytical Steady Gliding Path Model
4. Time-Coordinated A* Path Planning Method Considering No-Fly-Zone Constraints
4.1. Framework of the Time-Coordinated A* Path Planning Method
| Algorithm 1. Time-coordinated A* path planning algorithm |
| INPUT: initial states of n HGVs, extension step , target point, terminal constraints, process constraints, control capacity constraints, no-fly zones constraints. |
| 1: while existing one HGV’s range-to-go larger than the radius of FAAC , do |
| 2: determine the leader HGV and the desired joint arrival time according to all the HGVs’ states based on the arrival-time online coordination method described in Section 4.4. |
| 3: for every HGV do |
| 4: use the path node extension method described in Section 4.1 to obtain a series of reachable path nodes departing from the current waypoint. |
| 5: estimate every node’s time-to-go utilizing the analytical estimation method described in Section 4.2. |
| 6: evaluate every path node’s path cost utilizing the evaluation function described in Section 4.3. |
| 7: select the optimal node with the lowest path cost as the next waypoint, substitute the AOA and bank angle corresponding to the optimal node into the dynamic model to update the states of HGV. |
| 8: end for |
| 9: end while |
| OUTPUT: all the HGVs’ flight paths. |
4.2. Node Extension Method
| Algorithm 2. Node extension |
| INPUT: current states , , , , , , extension step , terminal altitude constraint interval , terminal velocity constraint interval . |
| 1: select N and M points in the terminal altitude constraint interval and terminal velocity constraint interval , respectively, and combine them with each other to form altitude-velocity combinations satisfying the terminal constraint, where (, ), (, ). |
| 2: for every do |
| 3: solve the corresponding flight-path angle according to Equation (27). |
| 4: solve the corresponding drag acceleration according to Equation (29). |
| 5: solve the corresponding AOA according to Equation (30) and solve the corresponding bank angle and according to Equation (32). |
| 6: substitute the AOA and the bank angles into Equations (1)–(6) to obtain the path nodes and . |
| 7: end for |
| OUTPUT: extension nodes and , where , . |
4.3. Analytical Estimation of Time-to-Go
4.4. Path Evaluation Method
4.4.1. Evaluation Function
4.4.2. Dealing with Path Node Constraints
- (1)
- Control capacity constraints.
- (2)
- Process constraints.
- (3)
- Terminal constraints.
- (4)
- No-fly zone constraints.
4.5. Arrival-Time Online Coordination Method
5. Numerical Simulation
5.1. Simulation Conditions
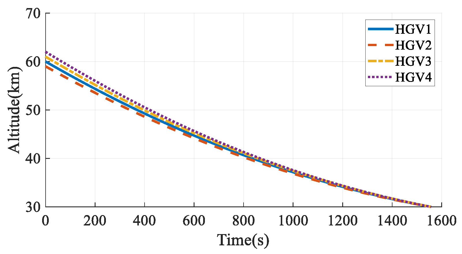
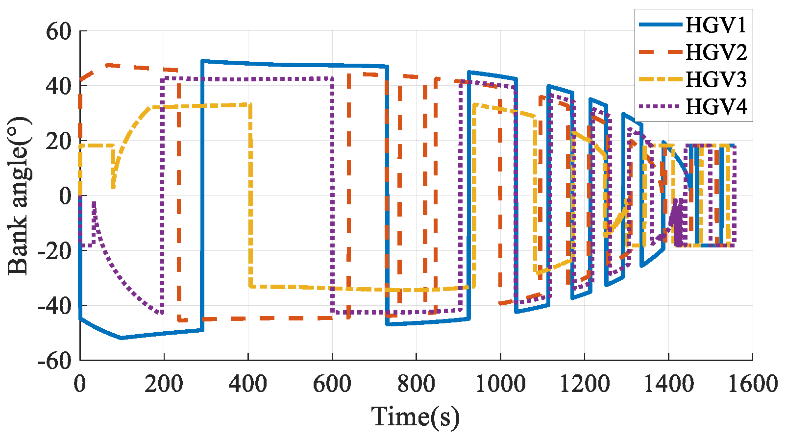
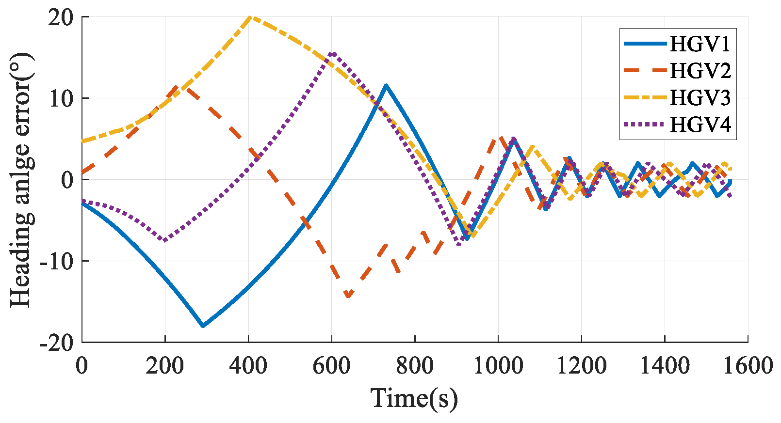
5.2. Time-Coordinated Path Planning Simulations
5.3. Monte-Carlo Simulation
6. Conclusions
Author Contributions
Funding
Data Availability Statement
Conflicts of Interest
References
- Liang, Z.; Ren, Z.; Li, Q.; Chen, J. Decoupled three-dimensional entry trajectory planning based on maneuver coefficient. Proc. Inst. Mech. Eng. Part G J. Aerosp. Eng. 2017, 231, 1281–1292. [Google Scholar] [CrossRef]
- Li, W.; Cassandras, C.G. Centralized and distributed cooperative Receding Horizon control of autonomous vehicle missions. Math. Comput. Model. 2006, 43, 1208–1228. [Google Scholar] [CrossRef]
- Shen, L.; Chen, J.; Wang, N. Overview of air vehicle mission planning techniques. Acta Aeronaut. Astronaut. Sin. 2014, 35, 593–606. (In Chinese) [Google Scholar]
- Luo, M.; Hou, X.; Yang, J. Surface Optimal Path Planning Using an Extended Dijkstra Algorithm. IEEE Access 2020, 8, 147827–147838. [Google Scholar] [CrossRef]
- Zhu, D.-D.; Sun, J.-Q. A New Algorithm Based on Dijkstra for Vehicle Path Planning Considering Intersection Attribute. IEEE Access 2021, 9, 19761–19775. [Google Scholar] [CrossRef]
- Zhang, L.; Lin, Z.; Wang, J.; He, B. Rapidly-exploring Random Trees multi-robot map exploration under optimization framework. Robot. Auton. Syst. 2020, 131, 103565. [Google Scholar] [CrossRef]
- Mandloi, D.; Arya, R.; Verma, A.K. Unmanned aerial vehicle path planning based on A* algorithm and its variants in 3d environment. Int. J. Syst. Assur. Eng. Manag. 2021, 12, 990–1000. [Google Scholar] [CrossRef]
- Tang, B.; Hirota, K.; Wu, X.; Dai, Y.; Jia, Z. Path Planning Based on Improved Hybrid A* Algorithm. J. Adv. Comput. Intell. Intell. Inform. 2021, 25, 64–72. [Google Scholar] [CrossRef]
- Chen, J.; Li, M.; Yuan, Z.; Gu, Q. An Improved A* Algorithm for UAV Path Planning Problems. In Proceedings of the 2020 IEEE 4th Information Technology, Networking, Electronic and Automation Control Conference (ITNEC), Chongqing, China, 12–14 June 2020; IEEE: Piscataway, NJ, USA, 2020; pp. 958–962. [Google Scholar]
- Roberge, V.; Tarbouchi, M.; Labonté, G. Comparison of parallel genetic algorithm and particle swarm optimization for real-time UAV path planning. IEEE Trans. Ind. Inform. 2012, 9, 132–141. [Google Scholar] [CrossRef]
- Fu, Y.; Ding, M.; Zhou, C. Phase angle-encoded and quantum-behaved particle swarm optimization applied to three-dimensional route planning for UAV. IEEE Trans. Syst. Man Cybern.-Part A Syst. Hum. 2011, 42, 511–526. [Google Scholar] [CrossRef]
- Zhang, X.; Xia, S.; Zhang, T.; Li, X. Hybrid FWPS cooperation algorithm based unmanned aerial vehicle constrained path planning. Aerosp. Sci. Technol. 2021, 118, 107004. [Google Scholar] [CrossRef]
- Tian, M.X. Unmanned aerial vehicle path planning with improved ant colony algorithm. Comput. Sci. Appl. 2020, 10, 1900–1907. [Google Scholar]
- Luo, G.-C.; Yu, J.-Q.; Mei, Y.-S.; Zhang, S.-Y. UAV path planning in mixed-obstacle environment via artificial potential field method improved by additional control force. Asian J. Control 2015, 17, 1600–1610. [Google Scholar] [CrossRef]
- Hu, Y.; Yao, Y.; Ren, Q.; Zhou, X. 3D multi-UAV cooperative velocity-aware motion planning. Future Gener. Comput. Syst. 2020, 102, 762–774. [Google Scholar] [CrossRef]
- Wu, W.; Wang, X.; Cui, N. Fast and coupled solution for cooperative mission planning of multiple heterogeneous unmanned aerial vehicles. Aerosp. Sci. Technol. 2018, 79, 131–144. [Google Scholar] [CrossRef]
- Ruchti, J.; Senkbeil, R.; Carroll, J.; Dickinson, J.; Holt, J.; Biaz, S. Unmanned aerial system collision avoidance using artificial potential fields. J. Aerosp. Inf. Syst. 2014, 11, 140–144. [Google Scholar] [CrossRef]
- Han, P.; Shan, J.; Meng, X. Re-entry trajectory optimization using an hp-adaptive Radau pseudospectral method. Proc. Inst. Mech. Eng. Part G J. Aerosp. Eng. 2013, 227, 1623–1636. [Google Scholar] [CrossRef]
- Feng, X.; Lv, Y.; Gao, Y.; Li, Y. Adaptive Radau pseudo-spectral optimization for descending trajectory of a hypersonic cruise vehicle. Aerosp. Syst. 2020, 3, 275–286. [Google Scholar] [CrossRef]
- Wu, Y.; Deng, J.; Li, L.; Su, X.; Lin, L. A hybrid particle swarm optimization-gauss pseudo method for reentry trajectory optimization of hypersonic vehicle with navigation information model. Aerosp. Sci. Technol. 2021, 118, 107046. [Google Scholar] [CrossRef]
- Liu, X.; Shen, Z.; Lu, P. Entry trajectory optimization by second-order cone programming. J. Guid. Control Dyn. 2016, 39, 227–241. [Google Scholar] [CrossRef]
- Liu, Z.; Zheng, W.; Wang, Y.; Wen, G.; Zhou, X.; Li, Z. A cooperative guidance method for multi-hypersonic vehicles based on convex optimization. In Proceedings of the 2020 Chinese Automation Congress (CAC), Shanghai, China, 6–8 November 2020; IEEE: Piscataway, NJ, USA, 2020; pp. 2251–2256. [Google Scholar]
- Liu, Z.; Lu, H.R.; Zheng, W.; Wen, G.; Wang, Y.; Zhou, X. Rapid time-coordination trajectory planning method for multi-glide vehicles. Acta Aeronaut. Astronaut. Sin. 2021, 42, 524497. (In Chinese) [Google Scholar]
- Li, Z.; He, B.; Wang, M.; Lin, H.; An, X. Time-coordination entry guidance for multi-hypersonic vehicles. Aerosp. Sci. Technol. 2019, 89, 123–135. [Google Scholar] [CrossRef]
- Guo, Y.; Li, X.; Zhang, H.; Wang, L.; Cai, M. Entry guidance with terminal time control based on quasi-equilibrium glide condition. IEEE Trans. Aerosp. Electron. Syst. 2019, 56, 887–896. [Google Scholar] [CrossRef]
- Liu, X.; Li, X.; Wang, X. Analytical Cooperative Reentry Guidance for Hypersonic Glide Vehicles. J. Astronaut. 2023, 44, 731–742. [Google Scholar]
- Liang, Z.; Lv, C.; Zhu, S. Lateral Entry Guidance with Terminal Time Constraint. IEEE Trans. Aerosp. Electron. Syst. 2022, 59, 2544–2553. [Google Scholar] [CrossRef]
- Yu, J.; Dong, X.; Li, Q.; Ren, Z.; Lv, J. Cooperative guidance strategy for multiple hypersonic gliding vehicles system. Chin. J. Aeronaut. 2020, 33, 990–1005. [Google Scholar] [CrossRef]
- Shen, Z.; Lu, P. On-board entry trajectory planning for sub-orbital flight. Acta Astronaut. 2005, 56, 573–591. [Google Scholar] [CrossRef]
- Harpold, J.C.; Graves, C.A., Jr. Shuttle entry guidance. Am. Astronaut. Soc. 1978, 27, 239–268. [Google Scholar]
- Jia, S.; Wang, X.; Li, F.; Wang, Y. Distributed analytical formation control and cooperative guidance for gliding vehicles. Int. J. Aerosp. Eng. 2020, 2020, 8826968. [Google Scholar] [CrossRef]






















































| Longitude (°) | Latitude (°) | Altitude (km) | Velocity (m/s) | Flight-Path Angle (°) | Heading Angle (°) | |
|---|---|---|---|---|---|---|
| HGV 1 | 0 | 5 | 60 | 6500 | 0 | 90 |
| HGV 2 | 2 | 5 | 59 | 6300 | 0 | 94 |
| HGV 3 | 4 | −4 | 61 | 6000 | 0 | 92 |
| HGV 4 | 1 | 1 | 62 | 6300 | 0 | 88 |
| Center Longitude (°) | Center Latitude (°) | Radius (km) | |
|---|---|---|---|
| No-fly zone 1 | 30 | −2 | 150 |
| No-fly zone 2 | 25 | 5 | 200 |
| No-fly zone 3 | 40 | 1 | 150 |
| Constraints | Range of Values |
|---|---|
| AOA | |
| Bank angle | |
| AOA rate | |
| Bank angle rate | |
| Terminal altitude | |
| Terminal velocity | |
| Radius of the FAAC | 100 km |
| Terminal heading angle error | |
| Maximum dynamic pressure | 60 kPa |
| Maximum heating rate | 3000 kW/m2 |
| Maximum aerodynamic load | 2.5 |
| Path Planning Method | Whether to Consider No-Fly Zones | Whether to Consider Time-Coordinated | Whether to Consider Online Maneuvering | |
|---|---|---|---|---|
| Case1 | Time-coordinated A* path planning method | NO | NO | NO |
| Case2 | Time-coordinated A* path planning method | YES | NO | NO |
| Case3 | Time-coordinated A* path planning method | YES | YES | NO |
| Case4 | hp-AGPM [18] | YES | YES | NO |
| Case5 | QEGC based method [25] | YES | YES | NO |
| Case6 | Time-coordinated A* path planning method | YES | YES | YES |
| Disturbance Items | Disturbance Values (3 Times Standard Deviation) | Disturbance Items | Disturbance Values (3 Times Standard Deviation) |
|---|---|---|---|
| Initial longitude | 0.5° | Initial flight-path angle | 2° |
| Initial latitude | 0.5° | Initial heading angle | 2° |
| Initial altitude | 1000 m | Lift coefficients | 10% |
| Initial velocity | 100 m/s | Drag coefficients | 10% |
| Atmospheric density | 10% |
| AT (s) | TA (m) | TV (m/s) | THAE (°) | MDP (kPa) | MHR (kW/m2) | MAL | CT (s) | ||
|---|---|---|---|---|---|---|---|---|---|
| Case 1 | HGV1 | 1567.61 | 30,005 | 2055.0 | 0.0006 | 43.64 | 848.6 | 1.13 | 1.12 |
| HGV2 | 1556.78 | 30,005 | 2033.3 | −0.0004 | 42.71 | 799.0 | 1.08 | ||
| HGV3 | 1534.49 | 30,000 | 2009.7 | −0.0003 | 40.93 | 735.7 | 1.02 | ||
| HGV4 | 1555.28 | 30,007 | 2055.5 | 0.0005 | 41.48 | 654.7 | 1.09 | ||
| Case 2 | HGV1 | 1559.01 | 30,584 | 2066.6 | −0.0006 | 41.07 | 845.1 | 1.12 | 3.18 |
| HGV2 | 1547.93 | 30,557 | 2044.8 | −0.0002 | 40.16 | 795.4 | 1.07 | ||
| HGV3 | 1537.10 | 30,572 | 2009.7 | 0.0006 | 38.06 | 650.6 | 1.00 | ||
| HGV4 | 1543.07 | 30,602 | 2066.5 | 0.0001 | 38.75 | 731.6 | 1.08 | ||
| Case 3 | HGV1 | 1557.01 | 30,460 | 2073.0 | 0.01 | 47.68 | 846.6 | 1.12 | 3.78 |
| HGV2 | 1557.06 | 30,448 | 2005.7 | −0.33 | 44.48 | 800.4 | 1.06 | ||
| HGV3 | 1557.01 | 30,488 | 2003.7 | 1.15 | 43.57 | 650.9 | 0.98 | ||
| HGV4 | 1557.01 | 30,509 | 2006.9 | −1.57 | 42.16 | 731.4 | 1.07 | ||
| Case 4 | HGV1 | 1560.01 | 30,820 | 2000.0 | −0.73 | 39.93 | 1030.1 | 1.93 | 10.7 |
| HGV2 | 1560.04 | 30,883 | 2051.6 | −0.07 | 42.18 | 1088.8 | 2.50 | ||
| HGV3 | 1560.08 | 30,116 | 2000.0 | 2.00 | 37.93 | 758.3 | 1.36 | ||
| HGV4 | 1560.05 | 30,853 | 2027.2 | −0.91 | 43.93 | 936.1 | 1.86 | ||
| Case 5 | HGV1 | 1560.41 | 30,952 | 2082.3 | 1.81 | 41.63 | 848.5 | 1.08 | 3.24 |
| HGV2 | 1560.37 | 30,749 | 2008.4 | −1.62 | 42.08 | 800.3 | 3.15 | ||
| HGV3 | 1560.52 | 30,804 | 2004.9 | 1.04 | 37.87 | 650.86 | 3.08 | ||
| HGV4 | 1560.47 | 30,809 | 2072.2 | −0.71 | 39.88 | 734.7 | 1.05 | ||
| Case 6 | HGV1 | 1566.21 | 30,002 | 2093.1 | 1.4672 | 47.01 | 854.8 | 1.47 | 3.84 |
| HGV2 | 1565.86 | 30,000 | 2001.3 | −1.9113 | 43.51 | 804.3 | 1.09 | ||
| HGV3 | 1565.70 | 30,003 | 2000.6 | 0.5563 | 42.44 | 739.7 | 1.01 | ||
| HGV4 | 1565.86 | 30,001 | 2011.3 | −1.9736 | 41.48 | 654.1 | 1.10 | ||
Disclaimer/Publisher’s Note: The statements, opinions and data contained in all publications are solely those of the individual author(s) and contributor(s) and not of MDPI and/or the editor(s). MDPI and/or the editor(s) disclaim responsibility for any injury to people or property resulting from any ideas, methods, instructions or products referred to in the content. |
© 2024 by the authors. Licensee MDPI, Basel, Switzerland. This article is an open access article distributed under the terms and conditions of the Creative Commons Attribution (CC BY) license (https://creativecommons.org/licenses/by/4.0/).
Share and Cite
Xie, Z.; Wei, C.; Cui, N.; Guan, Y. An Analytical Reentry Solution Based Online Time-Coordinated A* Path Planning Method for Hypersonic Gliding Vehicles Considering No-Fly-Zone Constraint. Aerospace 2024, 11, 499. https://doi.org/10.3390/aerospace11060499
Xie Z, Wei C, Cui N, Guan Y. An Analytical Reentry Solution Based Online Time-Coordinated A* Path Planning Method for Hypersonic Gliding Vehicles Considering No-Fly-Zone Constraint. Aerospace. 2024; 11(6):499. https://doi.org/10.3390/aerospace11060499
Chicago/Turabian StyleXie, Zihan, Changzhu Wei, Naigang Cui, and Yingzi Guan. 2024. "An Analytical Reentry Solution Based Online Time-Coordinated A* Path Planning Method for Hypersonic Gliding Vehicles Considering No-Fly-Zone Constraint" Aerospace 11, no. 6: 499. https://doi.org/10.3390/aerospace11060499
APA StyleXie, Z., Wei, C., Cui, N., & Guan, Y. (2024). An Analytical Reentry Solution Based Online Time-Coordinated A* Path Planning Method for Hypersonic Gliding Vehicles Considering No-Fly-Zone Constraint. Aerospace, 11(6), 499. https://doi.org/10.3390/aerospace11060499

