Next Article in Journal
An rVPM-Based Aerodynamic Hybrid Optimization Method for Coaxial Rotor with Differentiated Upper and Lower Blades in Both Hover and High-Speed Cruising States
Previous Article in Journal
An Adaptive Similar Scenario Matching Method for Predicting Aircraft Taxiing Time
 
 
Font Type:
Arial Georgia Verdana
Font Size:
Aa Aa Aa
Line Spacing:
Column Width:
Background:
Article

Structural Analysis and Testing of a Flexible Rudder Using a Cosine Honeycomb Structure

1
School of Electrical and Power Engineering, Hohai University, Nanjing 211100, China
2
AVIC Chengdu Aircraft Industry Group Co., Ltd., Chengdu 610000, China
*
Author to whom correspondence should be addressed.
Aerospace 2024, 11(6), 462; https://doi.org/10.3390/aerospace11060462
Submission received: 17 April 2024 / Revised: 23 May 2024 / Accepted: 27 May 2024 / Published: 8 June 2024

Abstract

This paper introduces a new type of flexible rudder surface based on the cosine-type zero Poisson’s ratio honeycomb to enhance the adaptive capabilities of aircraft and enable multi-condition, rudderless flight. The zero Poisson’s ratio honeycomb structure exhibits exceptional in-plane and out-of-plane deformation capacities, as well as a high load-bearing capability. To investigate the deformation characteristics of flexible rudder surfaces utilizing cosine honeycomb structures, this study undertakes a comprehensive investigation through finite element simulation and 3D printing experiments. Moreover, this study analyzed the impact of honeycomb parameters and layout on the deflection performance and weight. The flexible rudder surface, fabricated from nylon, achieves smooth and consistent chordwise bending deformation, as well as uniform spanwise deformation within a tolerance of ±25°, and the maximum equivalent stress observed was 31.99 MPa, which is within the material’s allowable stress limits (50 MPa). Finite element simulation results indicate that once the deflection angle of the rocker exceeds 15°, a discernible deviation arises between the actual deflection angle of the flexible control surface and that of the rocker. Furthermore, this deviation escalates with increasing rocker rotation angles, and this discrepancy can be mitigated by augmenting the number of cosine honeycomb cells within the flexible rudder surface. Finally, a prototype of the flexible rudder surface was successfully produced using 3D printing technology, and the experimental results confirmed the deformation behavior, aligning with simulation outcomes with a deviation of less than 20%. These findings confirm the effective deflection performance of the designed flexible rudder surface, highlighting its potential application in small unmanned aerial vehicles.

1. Introduction

Variable wings can spontaneously adjust their shape in different flight missions and under various environmental conditions to maintain superior aerodynamic performance. This adaptability gives variable wings a significant advantage in managing complex and dynamic flight environments. Research and application in the field of variable wings not only enhance the aerodynamic efficiency of aircraft but may also bring transformative technological advancements to the aerospace industry in the future [1,2].
A breakthrough in the variable wings is the development of the flexible wing, which integrates the trailing edge with the main airfoil and allows for a continuous variable curvature deformation of the wing. Flexible wings help reduce wing flutter and delay airflow separation, both of which are critical for improving overall aircraft performance [3,4]. To enhance the deformation performance and stability of the flexible trailing edge, numerous studies on flexible trailing edge airfoils have emerged in recent years, yielding significant results. Research in the direction of flexible wings primarily focuses on fields such as smart materials [5,6,7], flexible skins [8], bionics [9], deformation structures [10,11], and smart actuators [12,13].
Flexible wings exhibit large deformation and various deformation modes, making it challenging for conventional materials to meet the requirements of in-plane deformation, bearing and transferring aerodynamic loads, and achieving a light weight [14]. Therefore, a critical challenge in variable wing research is the development of innovative smart materials that can provide deformation and flexibility while withstanding aerodynamic loads [15]. Zero Poisson’s ratio honeycomb structures, as a type of smart material, offer characteristics such as a light weight, energy absorption, and buffering, providing new design opportunities for flexible trailing edges [16]. These structures feature a lower equivalent modulus of elasticity and certain load-bearing capacities, facilitating tensile and compressive deformation and effectively preventing saddle, hyperbolic, and dome deformation during the deformation process. This makes them highly promising in the field of variable body wings [17,18]. Consequently, various research teams worldwide have conducted extensive research on flexible trailing edge airfoils, employing zero Poisson’s ratio honeycomb structures in combination with mechanical actuation. Gong et al. developed a variable curvature trailing edge structure based on a star-shaped zero Poisson’s ratio honeycomb, enabling a smooth and continuous deformation of the wing’s trailing edge curvature, with a maximum deflection of 53 mm [19]. Boston et al. introduced a mixed-span deformable wing, demonstrating the viability of utilizing zero Poisson’s ratio honeycomb structures as shape-adaptive airfoils, and experimental results indicated a 0.08 m increase in wingspan and a 21% lift increase when the honeycomb structure was fully expanded [20]. Xiong et al. proposed a flexible variable trailing edge structure using a zero Poisson’s ratio honeycomb in combination with a positive Poisson’s ratio honeycomb filling, and experimental findings showcased a lighter wing structure, faster deformation response, and a flexible trailing edge deflection of 22.4° within 1 s [21]. These studies collectively indicate the feasibility of employing zero Poisson’s ratio honeycomb as a deformation structure for flexible wings. The ability to achieve various deformations by altering the honeycomb structure or parameters offers new avenues for designing flexible variable airfoils.
Zero Poisson’s ratio honeycomb structures, particularly accordion honeycomb, have garnered significant attention in the context of flexible wing applications. Characterized by its lightweight and variable properties, the accordion honeycomb, as a representative zero Poisson’s ratio honeycomb, has progressively found applications in the flexible joints of variant wings [22,23]. For instance, Wang et al. designed a distributed eccentric beam trailing edge, utilizing an accordion zero Poisson’s ratio honeycomb structure, which achieved substantial tensile deformation and reduced the wing structural mass by 18% compared to the original design [24]. Despite its lower in-plane dimensionless elastic modulus, accordion honeycomb necessitates stringent processing and production requirements. Consequently, researchers have derived a series of structures from the accordion honeycomb design, transitioning from the V-shaped straight beam to curved beam variants, including wave-shaped [25], U-shaped [26], and cosine [17,18] configurations. The performance of these curved beam variants has been further enhanced, often exhibiting a lower elastic modulus compared to the original accordion honeycomb structure. Among these structures, only when the thickness in the normal direction of the wavy and U-shaped honeycomb designs is sufficient, can a lower transverse dimensionless elastic modulus be achieved. Consequently, the weight of these two designs is insufficient, thereby significantly restricting their application scenarios. The cosine honeycomb structure amalgamates the benefits of wave-shaped and accordion honeycomb designs, resulting in a lighter structure that is simpler to manufacture than other traditional flexible structures. Most significantly, the cosine honeycomb design possesses a lower transverse dimensionless elastic modulus compared to existing flexible honeycombs, thereby facilitating deformation. Silvestro et al. designed a flexible wing with variable chord length, employing a continuous cosine honeycomb structure as the primary deformation mechanism. The wing exhibits a significant deformation effect, with a maximum chord length deformation of up to 30% [27]. Li et al. proposed a three-dimensional beam lattice structure by extending a two-dimensional cosine beam into three dimensions, fabricating samples using selective laser sintering technology. Finite element analysis, coupled with experimental methods, confirmed the excellent in-plane deformation capabilities and energy absorption performance of the structure [28]. These studies highlight the exceptional deformation capabilities and vast potential of cosine honeycomb structures for use in flexible wing designs.
Currently, research on flexible rudder surfaces predominantly focuses on enhancing their deformation performance through specialized materials or structures [29,30]. However, there is a notable dearth of studies addressing the utilization of materials or structures possessing superior mechanical properties for flexible rudder surfaces and achieving comprehensive wing deformation control. Consequently, this paper proposes a flexible rudder surface and its actuation mechanism based on a cosine-type zero Poisson’s ratio honeycomb structure. The objective is to enhance the deformation performance of the flexible rudder surface and streamline the deformation method. Through comprehensive finite element simulations, 3D printing experiments, and other methodologies, the deformation characteristics of this innovative flexible rudder surface are systematically examined, thereby confirming its viability for integration into small unmanned aircraft.

2. Deformable Structure

2.1. The Cosine Honeycomb Structure

The properties of the cosine-type zero Poisson’s ratio honeycomb structure render it particularly suitable for scenarios involving circular and one-dimensional deformation. Its lightweight nature, ease of fabrication, and low dimensionless modulus of elasticity contribute to its significant potential for application in variant airfoil contexts [31]. The cosine honeycomb structure is depicted in Figure 1, and the structural parameters of the cosine honeycomb are shown in Table 1. The cosine honeycomb comprises alternating connections of cosine beams and vertical beams. The primary function of the cosine structure is to withstand the load during deformation, while the vertical beam contributes partially to the stiffness requirements of the honeycomb structure.
Cosine cellular function expression:
y = h 1 cos π x L
Dimensionless equivalent modulus of elasticity in the X-direction [18]:
E x E = π 3 t 3 ( η t + 1 ) 2 λ E ( h + g )
λ E = π 2 h 2 + 2 k ν + 1 t 2 1 E l l i p t i c E π h 2 + π 2 h 2 2 k ν + 1 t 2 + t 2 + 1 E l l i p t i c K π h 2
E is the elastic modulus of honeycomb raw materials.
Dimensionless equivalent modulus of elasticity in the Y-direction [18]:
E y E = η t η t + 1
Dimensionless equivalent modulus of elasticity in the Z-direction [18]:
E z E = π ( h + g ) η t + 2 E l l i p t i c E ( π h 2 ) π ( η t + 1 ) ( h + g )
E l l i p t i c K is the first type of complete elliptic integral function, and E l l i p t i c E is the second type of complete elliptic integral function. The physical interpretations of each parameter are detailed in Table 1.

2.2. Zero Poisson’s Ratio Honeycomb Comparison Experiment

A comparative analysis of three typical zero Poisson’s ratio honeycomb(accordion honeycomb, star-shaped honeycomb, and cosine honeycomb) was carried out by using finite element simulation and experimental methods. Employing the 3D modeling software CREO 6.0, the cell dimensions for all three types of honeycomb were standardized at 15 mm × 15 mm, with a 2 mm depth along the Z-axis and a 1 mm width for both straight and honeycomb beams. The honeycomb structure consisted of a 5 × 4 array of cells, complemented by straight beams at both ends along the X-axis for structural support. The geometric shapes of the three 3D-printed honeycomb panels accurately align with the software modeling specifications mentioned previously, as shown in Figure 2.
A numerical static analysis on the three types of honeycomb structures was performed utilizing the finite element method implemented with the software ANSYS 18.0 (ANSYS Inc., Canonsburg, PA, USA). The material properties of these structures are configured as flexible bodies composed of nylon material (PA11), possessing a density of 1240 kg/m3, a Young’s modulus of 1800 MPa, and a Poisson’s ratio of 0.4. The grid partitioning method employs program adaptive partitioning, employing a grid size of 0.5 mm. Simulation analysis is performed to assess both in-plane deformation performance and out-of-plane bending deformation performance, under two distinct boundary conditions:
(1)
In the scenario of in-plane stretching, a fixed constraint is enforced on the left side of the honeycomb structure along the X direction, while an in-plane force is exerted on the right side along the X direction. The force magnitude increases incrementally from 0 to 10 N in 1 N steps, without imposing any displacement constraints along the Y and Z directions.
(2)
For out-of-plane bending, a fixed constraint is imposed on the left side of the honeycomb structure along the X direction, while an out-of-plane normal force is applied along the Z direction on the right side of the X direction. The force increases gradually from 0 to 0.1 N in increments of 0.01 N, with no displacement constraint along the X and Y directions.
In the in-plane tensile test, the force is applied and measured with a force gauge, while structural deformation is gauged using a vernier caliper. In the out-of-plane bending experiment, the force required for a significant deformation of the accordion and cosine honeycomb structures was minimal, posing challenges for force gauge application. Consequently, weights with a mass of 1 g were incrementally added to increase the force, simulating increments of 0.01 N.
The simulation and experimental results show that the cosine honeycomb’s in-plane tensile and out-of-plane bending properties are better than those of the other two honeycombs, and thus it is more suitable to be used as a deformation structure for flexible rudder surfaces. The simulation and experimental data are shown in Figure 3.
The in-plane equivalent elastic modulus of the cosine honeycomb structure obtained through theoretical calculation, simulation analysis, and experimental measurement is shown in Table 2.
From the above analysis results, it can be seen that the theoretical value, simulation calculation value, and experimental deviation of the in-plane equivalent elastic modulus of the cosine honeycomb are basically within 10%, which verifies the accuracy of the theoretical and simulation models.

2.3. Design Requirements of Honeycomb

The cosine honeycomb structure applied to flexible control surfaces should possess the following characteristics: (1) a relatively small in-plane dimensionless equivalent elastic modulus; (2) a relatively small out-of-plane dimensionless equivalent bending modulus; (3) strong surface normal bearing capacity; and (4) relatively low overall mass.
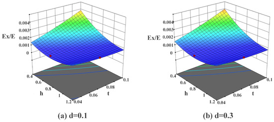
From Equations (2)–(4), it is evident that the in-plane equivalent modulus of elasticity positively correlates with the length of the cosine beam. Therefore, to minimize the in-plane equivalent modulus of elasticity of the honeycomb structure, it is more suitable to employ a cosine beam with a shorter length. Figure 4 illustrates the impact of the cosine honeycomb height factor (h), width factor (t), and thickness factor (d) on the in-plane equivalent elastic modulus. It is observed that a smaller height factor t and a larger width factor result in a higher in-plane equivalent elastic modulus, aligning with the findings of previous theoretical analyses. The variation in the in-plane equivalent bending modulus with thickness variation is minimal. Thus, to achieve a low in-plane equivalent bending modulus in the honeycomb structure, it is advisable to maintain a larger height factor and a smaller width factor.
The out-of-plane equivalent bending modulus of the cosine honeycomb is measured by the magnitude of the displacement of the side edges of the honeycomb structure: the larger the displacement under the same force, the smaller the equivalent bending modulus. Figure 5 illustrates the trend of the maximum deformation of the structure with variations in the height factor (h), width factor (t), and thickness factor (d). The figure demonstrates that the thickness coefficient notably influences the out-of-plane bending deformation capacity of the cosine honeycomb: a smaller thickness factor results in a greater displacement of the side edges under the same force. When subjected to the same external force, a higher height factor and a lower width factor lead to a sharp increase in the displacement of the honeycomb structure’s side edges. A higher height factor or smaller width factor results in dramatic structural deformation with minor parameter fluctuations, significantly reducing stability.
In order to ensure that the in-plane equivalent elastic modulus and out-of-plane equivalent bending modulus of the cosine honeycomb are as small as possible, the structural parameters of the cosine beam should simultaneously meet the requirements of smaller length (L), larger height factor (h), smaller width factor (t), and smaller thickness factor (d).

3. Deformation Analysis of Flexible Rudder

3.1. Flexible Rudder and Actuation Mechanism

The flexible rudder in this study is shown in Figure 6. The overall structure of the flexible rudder consists of three main parts: the honeycomb structure, the actuating mechanism, and the fixing device. The actuating mechanism causes a bending deformation of the flexible rudder surface, and the fixing device mainly completes the seamless connection between the flexible rudder surface and the rigid wing. The selected wing model is a small to medium-sized UAV, the rudder is selected as a trapezoidal wing, and each important parameter of the flexible rudder model is shown in Table 3.
This paper primarily investigates the bending deformation of the flexible rudder surface along the chordal direction (X-direction) and its uniform deformation along the spreading direction (Y-direction). The specific design requirements are outlined as follows: (1) The bending deformation of the flexible rudder surface should range within ±25°, ensuring a smooth and continuous deformation profile. (2) A uniform deformation of the trailing edge should be achieved, without any noticeable warping or irregular shape along the spreading direction.
The flexible rudder in this study is shown in Figure 6. The overall structure of the flexible rudder consists of three main parts: the honeycomb structure, the actuating mechanism, and the fixing device.
In this research program, a small servo is used as the driving device, and the rocker arm, tie rod, linkage, and deformable skeleton together form a planar hinged four-bar mechanism as the actuation mechanism of the flexible rudder surface. The working principle of the actuation mechanism is shown in Figure 7: l1 = l3 = 22 mm, l2 = l4 = 51.9 mm, θ1 = θ3 = 71.45°, and R = 49.8 mm.
The actuation is a parallelogram mechanism. Ideally, the deflection angle of the flexible rudder surface β is equal to the deflection angle of the rocker arm α . The trailing edge apex deflection has the following geometric relationship with the deflection angle of the flexible rudder surface:
β = arcsin γ R
By establishing a right-angle coordinate system with the center point of the steering engine output shaft as the origin, the closed vector equation can be listed as follows:
l 1 + l 2 l 3 l 4 = 0
By solving the second-order derivative of Equation (7), the following is obtained:
φ 2 = 0 , φ 3 = l 1 φ 1 l 3 = φ 1 ν 2 = 0 , ν 3 = ν 1
where φ i are the angular velocities of the components of the actuation mechanism and ν i are the angular accelerations of the rods. From Equation (8), the actuation mechanism always maintains the parallelogram configuration during the movement process, and the two sides of the rods have the same angular velocity and angular acceleration, which is beneficial for the steering engine’s control of the rudder’s deflection angle.

3.2. Deformation and Load Analysis of Flexible Rudder

Using the Transient Structural module in ANSYS 18.0 Workbench, dynamic simulation analysis was conducted on the actuator and flexible control surface. By simulating the rotation of the rocker arm, the actuator causes a bending deformation of the flexible control surface. The simulation analysis of the flexible rudder surface and its actuation mechanism entails setting specific boundary and load conditions for the model. These conditions include fixed constraints at the front end of the flexible rudder and on both sides of the fixed rod. Additionally, each transmission mechanism is configured as a rotating vice at elevated points, with the connecting rod and rotating rod connected at the center forming a fixed connection. The fixed rod is also fixedly connected with the front edge of the flexible rudder. Friction contact is applied to the remaining contact positions, with a friction coefficient set at 0.15. The structural calculation mesh is divided using a program’s adaptive division method and the mesh size is 1 mm. Furthermore, a rotating load (ranging from 0° to 25°) is applied at the rudder rocker arm.
The bending deformation of the flexible rudder during the rotation of the rudder rocker arm from 0° to 25° is shown in Figure 8. When not deflected, there is still a small displacement of the flexible rudder surface along the Z direction, which is due to the initial displacement generated by the influence of self-weight. From the simulation results, the actuator used in this scheme can effectively drive the flexible rudder surface to produce bending deformation, and in the whole process of rudder operation, the flexible rudder surface bending deformation response is very significant, and always maintains a good smooth arc outer contour. When the rudder rocker arm deflection is 25°, the deformation of the flexible rudder along the spreading direction is as shown in Figure 9. From the tip of the wing to the wing root, relative deflection amplitude can be maintained consistently, which can achieve the consistent deformation of the flexible rudder along the spreading direction of the surface, and no bulge or concave shape is generated.
Figure 8 presents the distribution of equivalent stresses on the surface of the flexible rudder under varying deflection angles. The figure indicates that higher stresses during flexible rudder surface deflection primarily concentrate in the honeycomb region, while equivalent stresses in the non-honeycomb region are minimal. This suggests that the cosine-type honeycomb structure primarily bears the deformation task of the flexible rudder surface, necessitating sufficient strength to sustain its bending deformation without structural damage. Additionally, under the same deflection angle, the honeycomb area’s equivalent force is slightly larger closer to the front edge of the flexible rudder surface and relatively smaller closer to the rear edge, demanding higher strength for the honeycomb structure near the front edge to prevent structural damage. The maximum equivalent stress at the highest deflection angle (25°) measures 31.99 MPa, significantly lower than the material’s tensile strength (50 MPa), ensuring that the flexible trailing edge of the rudder surface, made of nylon, remains intact even under a deflection deformation of up to 25°, thereby guaranteeing structural safety.
Figure 10 illustrates the rotation angle of the rocker arm and the actual deflection angle of the flexible rudder surface under working conditions. At a rocker arm deflection of 25°, the actual deflection angle of the flexible rudder surface measures 23.9°, deviating from the expected 25°. Consequently, there exists an inherent error between the intended and actual deflection angles, with this discrepancy magnifying as the deflection angle of the servo rocker arm increases. The primary cause of this phenomenon lies in the bending deformation primarily occurring in the honeycomb area, where the honeycomb near the rudder wing root constitutes a smaller proportion along the chord and the non-honeycomb area occupies a larger portion. The bending deformation at the wing root is constrained by the rigidity of the non-honeycomb structural part as the angle increases, resulting in the actual deflection angle being smaller than the intended deflection angle. These observations suggest that augmenting the number of honeycombs on the rudder surface and increasing the proportion of chordal honeycombs can effectively improve the external contour of the flexible rudder surface during bending deformation, thereby aligning the rudder surface deflection angle closer to the actual deflection angle of the rocker arm.

3.3. Experimental Analysis and Testing

3D printing technology was employed to manufacture a prototype of a flexible rudder and design the deflection experiment. Nylon PA11 material (the Hewlett-Packard Company, CA, USA) was chosen as the printing material, possessing a density of 1.01 g/cm3, an in-plane tensile modulus of 1700 MPa, and a normal tensile modulus of 1800 MPa. Various forces were applied at the trailing edge of the flexible rudder by suspending weights, with the weight increment set at 100 g (assuming a gravitational acceleration of 10.0 m/s2) to emulate the actuation mechanism propelling the flexible rudder. The experiments presented in this paper have enhanced the 3D-printed flexible rudder surface and its associated machining fixture through the following modifications: (1) A groove hole is incorporated at the front end of the flexible rudder surface, designed to securely mate with the protruding resin material fixation plate. (2) Two triangular resin bases are utilized to securely affix the support plate and flexible rudder surface. (3) Equidistant circular holes are incorporated at the rear of the flexible rudder surface, enabling the suspension of weights to mimic vertical force application.
The displacement of the apex at the trailing edge of both the flexible wing root and tip was measured. The displacement of the flexible trailing edge vertex is measured by a vernier caliper. To minimize the deviation, the method of taking the average of 5 measurements was adopted. The deformation angle of the flexible rudder surface can be calculated by Equation (6). The order of loading in the experiment gradually increases from 0 to 8 N in increments of 1 N. The experimental data are shown in Table 3. The bending deformation of the flexible rudder surface under forces increasing in 1 N increments is depicted in Figure 11. Additionally, Figure 12 illustrates the comparison between the error in bending deformation observed in the flexible rudder under finite element method (FEM) simulation analysis and experimental analysis. The average data recorded in the experiment are shown in Table 4.
The experimental results demonstrate that the novel flexible rudder surface proposed in this paper exhibits commendable bending deformation performance. With increasing force, the structure consistently maintains a smooth and continuous arc-type outer contour. The errors between the experimental values and the simulated results remain within 20%. These discrepancies primarily stem from instrumental measurement inaccuracies and minor structural deformations resulting from 3D printing. When applying a force of 8 N to the flexible trailing edge, the maximum deflection angle approaches 29° without structural damage, affirming the feasibility of the structural design presented herein. The flexible rudder prototype demonstrates sufficient strength to ensure stability, and the nylon material’s performance meets the predefined deformation criteria. Throughout the deflection experiment, the flexible rudder exhibits excellent chordwise bending performance and consistent spreading, indicating promising deflection capabilities for potential extensive use in small rudderless UAVs.

4. The Influence of Honeycomb Parameters on the Flexible Rudder Surface

Based on prior findings, it is evident that the structural parameters of honeycomb greatly affect the deformation capability of flexible rudder surfaces. Therefore, this section concentrates on analyzing the deformation performance of flexible rudder surfaces concerning both honeycomb parameters and layout configurations.

4.1. The Influence of Cellular Parameters

The overall mass of the flexible rudder surface and the magnitude of the moment required to deflect it by 25° for variations in the honeycomb parameters are shown in Figure 13.
Figure 13 illustrates that as the height to length ratio increases, the mass of the flexible rudder surface increases, albeit marginally. Specifically, when the ratio rises from 0.5 to 2.0, the mass of the rudder surface grows by 5.13%. The torque needed to deflect the rudder surface by 25° is inversely related to the honeycomb’s height to length ratio. At H/L = 0.5, the required moment is 425.0 N·mm, decreasing to 143.4 N·mm at H/L = 2. This underscores the significant impact of the height-to-length ratio on structural strength and deformation ability, highlighting the importance of selecting an appropriate ratio.
As the width increases from 0.8 mm to 2.8 mm, the mass of the flexible rudder surface increases by 8.20%. The structural reaction torque varies significantly with width. At a cosine beam width of 0.8 mm, the output torque needed for a 25° deflection is 126.7 N·mm. However, with a width increase to 1.5 mm, the required torque jumps to 378.53 N·mm. Despite a mere 0.8 mm width change, the reaction torque triples. For T < 1.5, minor width adjustments can notably affect the required torque for rudder surface deformation. Beyond 1.5, the structural reaction torque peaks, with a subsequent significant decrease in its rate of change.
Increasing the honeycomb thickness from 0.8 mm to 1.6 mm results in a 24.4% total mass increase in the flexible rudder surface, surpassing the influence of the cosine beam height-to-length and width ratio. Hence, the thickness of the honeycomb structure deserves particular attention when designing lightweight flexible rudder surfaces with honeycomb structures. At a thickness of 0.8 mm, the required torque is 132.88 N·mm, rising to 305.92 N·mm at 1.6 mm thickness, indicating a notable increase in structural reaction torque. With each 0.1 mm increase in thickness, the required torque rises by 21.63 N·mm. Thus, to enhance bending deformation capability and minimize actuator output in flexible rudder surface design, the honeycomb structure’s thickness should be minimized while ensuring structural stability.
The total mass of the flexible rudder surface exhibits a negative correlation with honeycomb spacing. As the spacing increases from 11 mm to 22 mm, the total mass decreases by 4.9%. While increasing honeycomb spacing enlarges the deformable area of the flexible rudder surface, its impact on the overall structure mass is minor due to the surface’s hollow structure. Relative to other honeycomb parameters, changes in honeycomb spacing minimally affect actuator output torque. Thus, adjusting the cell interval offers a means to enhance or adjust the overall deformation performance of the flexible rudder surface after establishing the cosine beam height to length ratio, width, and thickness.

4.2. The Influence of Honeycomb Layout Form

The research employs a trapezoidal wing rudder surface as the flexible rudder surface. Due to inherent geometric constraints, cosine honeycomb cells are arranged in a stepped pattern on both upper and lower surfaces. The study categorizes honeycomb layouts into orders: first order, characterized by a single step along the spanwise direction; zero order, with a rectangular honeycomb distribution; and second order, featuring two steps, with subsequent orders following a similar pattern. This investigation predominantly examines zero-order, first-order, second-order, and third-order flexible rudder surfaces. Figure 14 illustrates four flexible rudder surface models of varying orders.
When deflecting flexible rudder surfaces with different orders to 25°, the mass of the rudder surface itself and the required actuator torque are shown in Figure 15. The figure demonstrates a significant impact of the order on the rudder surface mass, with a 0.014 kg difference between the first and second orders. The actuator torque exhibits a negative correlation with the order: higher orders require less torque for deformation. Despite a modest 6.3 N·mm difference in torque between first and second orders, the change in rudder surface mass is substantial at 34.18%. Thus, orders greater than two not only achieve a smaller overall rudder surface mass but also demand less torque for deformation.
At a consistent rocker arm deflection angle of 25°, higher orders of the honeycomb structure result in a closer alignment between the actual and theoretical deflection angles of the flexible rudder surface, facilitating complete alignment with the rocker arm deflection angle. Figure 16 illustrates the impact of both order and cell parameters on the actual deflection angle of the flexible rudder surface.
The figure illustrates that the influence of the height to length ratio (H/L), width (T), thickness (D), and spacing (G) of the cosine honeycomb cells on the deflection performance of the flexible rudder surface aligns with previous research findings. However, with an increase in the honeycomb layout’s order, these parameters’ impact intensifies. Specifically, under identical cell parameters, a larger order in the honeycomb structure brings the deflection angle of the flexible rudder surface closer to 25°. Notably, at an order of zero, the deviation between the actual and theoretical deflection angles is significantly higher compared to orders of one or higher. Hence, it is preferable to employ an arrangement of order one or higher when integrating the honeycomb structure into trapezoidal wings. In conclusion, for the precise control of the flexible rudder surface’s deflection deformation in this setup, opting for a higher honeycomb order is more aligned with the project’s actual requirements.

5. Conclusions

The cosine honeycomb structure offers strong load-bearing capacity and minimal deformation driving force. Moreover, it exhibits exceptional in-plane and out-of-plane deformation characteristics, rendering it highly suitable as a structural component for variable wings. This study introduces a flexible rudder surface based on the cosine honeycomb structure, which demonstrates superior bending deformation performance and enables uniform and precise control of the flexible surface at low deflection angles. Notably, it boasts low implementation costs, easy installation, and lightweight design, promising significant applications in the field of unmanned aerial vehicles. The research primarily focuses on three key aspects: the selection of deformable structures, analysis of flexible rudder surface deformation, and investigation of flexible rudder surface parameters. Leveraging 3D printing technology, the production and experimentation of honeycomb structures and the flexible rudder surface were conducted to validate the deformation capabilities of the proposed structure.
  • Comparative analysis reveals the outstanding in-plane and out-of-plane deformation performance of cosine honeycomb structures. Specifically, when the cosine beam length of the honeycomb cell is minimized, with corresponding increases in the height coefficient and decreases in width and thickness coefficients, both the in-plane equivalent elastic modulus and the in-plane equivalent bending modulus of the honeycomb structure decrease.
  • The actuation mechanism consistently maintains a parallelogram geometric configuration, enabling precise control over the deflection angle and speed of the rudder surface at small angles. However, a deviation of 4.4% is observed at a deflection angle of 25°, which can be mitigated through adjustments to the honeycomb structure and geometric layout.
  • The flexible rudder successfully achieves a continuous and smooth bending deformation of the airfoil within a deviation range of ±25°, ensuring uniform and consistent deformation along the entire wingspan. Moreover, the flexible rudder surface, constructed from nylon material, consistently operates within the safe stress range during the deformation process. The study concludes with the completion of variable curvature experiments using 3D printing technology and subsequent verification of the simulation results.
  • Honeycomb structure parameters exert a substantial influence on the performance of the flexible rudder surface, with reasonable adjustments yielding improvements in bending performance. Specifically, higher orders of the honeycomb structure significantly enhance the deflection accuracy of the flexible rudder surface, resulting in closer alignment between the actual and theoretical deflection angles. Consequently, this alignment facilitates achieving complete consistency between the deflection angle of the rudder surface and the rocker arm.

Author Contributions

Conceptualization, J.H. and W.L.; methodology, J.H.; software, J.H.; validation, J.H. and D.L.; formal analysis, J.H.; investigation, W.L.; resources, Y.Z.; data curation, J.H.; writing—original draft preparation, J.H.; writing—review and editing, J.H.; visualization, J.H.; supervision, W.L.; project administration, W.L.; funding acquisition, W.L. All authors have read and agreed to the published version of the manuscript.

Funding

This research was funded by the National Natural Science Foundation of China, grant number 52375240.

Data Availability Statement

The data presented in this study are available on request from the corresponding author due to privacy reasons.

Acknowledgments

We would like to thank the anonymous reviewers and editors for their helpful remarks.

Conflicts of Interest

Author Yue Zhou was employed by the company AVIC Chengdu Aircraft Industry Group Co., Ltd. The remaining authors declare that the research was conducted in the absence of any commercial or financial relationships that could be construed as a potential conflict of interest.

References

  1. Zhu, H.; Liu, W.D. Morphing Aircraft and Its Morph-Driving Techniques. Mach. Build. Autom. 2010, 39, 8–14. [Google Scholar]
  2. Xiao, H.; Yang, G.; Guo, H.; Liu, R. Application Status and Future Prospect of Aircraft Morphing Wing. J. Mech. Eng. 2023, 59, 1–23. [Google Scholar]
  3. Thill, C.; Etches, J.; Bond, I. Morphing skins. Aeronaut. J. 2008, 112, 117–139. [Google Scholar] [CrossRef]
  4. Li, Y.; Ge, W.; Jin, Z.; Zhang, Y. Design and experiment of concentrated flexibility-based variable camber morphing wing. Chin. J. Aeronaut. 2022, 35, 455–469. [Google Scholar] [CrossRef]
  5. Zhu, L.; Sun, G.; Li, H.; Dong, M. Intelligent and Flexible Morphing Wing Technology: A Review. J. Mech. Eng. 2018, 54, 28–42. [Google Scholar] [CrossRef]
  6. Kim, N.G.; Han, M.W.; Iakovleva, A. Hybrid composite actuator with shape retention capability for morphing flap of unmanned aerial vehicle (UAV). Compos. Struct. 2020, 243, 112227. [Google Scholar] [CrossRef]
  7. Gu, X.; Yang, K.; Wu, M. Integrated optimization design of smart morphing wing for accurate shape control. Chin. J. Aeronaut. 2021, 34, 135–147. [Google Scholar] [CrossRef]
  8. Yin, W.; Shi, Q. Review of Material and Structure for Morphing Aircraft Skin. J. Aviat. Manuf. Technol. 2017, 17, 24–29. [Google Scholar]
  9. Xu, J.H.; Yang, X.J.; Li, B. Design of wing mechanism with variable camber based on cross-spring flexural pivots. J. Zhejiang Univ. 2022, 56, 444–451+509. [Google Scholar]
  10. Jia, S.; Zhang, Z.; Zhang, H. Wind tunnel tests of 3D-Printed variable camber morphing wing. Aerospace 2022, 9, 699. [Google Scholar] [CrossRef]
  11. Xin, T.; Li, B. Design of Trailing Edge of a rigid-flexible Chord-Wise Variable Camber Wing. Acta Armamentarii 2023, 44, 2465–2476. [Google Scholar]
  12. Zhao, C.S.; Zhu, H. The Development and Application of Ultrasonic Motor Technology. J. Mech. Manuf. Autom. 2008, 3, 1–9. [Google Scholar]
  13. Chen, J.; Lin, X.; Wu, Q. Research Progress of Multi-degree-of-freedom Ultrasonic Motor. Micromotors 2023, 56, 50–60+64. [Google Scholar]
  14. Lv, S.; Yang, Y. Optimal Method and Deformation Mechanism Design of Flexible Skin on Leading Edge of Variable Curvature Wing. Struct. Environ. Eng. 2021, 48, 24–31. [Google Scholar]
  15. Liu, K.; Cao, X.; Li, Y. Research progress of deformable aircraft wing based on chiral superstructures design. Aeronaut. Sci. Technol. 2022, 33, 20–36. [Google Scholar]
  16. Marianna, D.; Thomas, T.; Jeffrey, M.W. Double-wall ceramic nanolattices: Increased stiffness and recoverability by design. Mater. Des. 2021, 208, 109928. [Google Scholar]
  17. Liu, W.D.; Zhu, H.; Zhou, S. In-plane corrugated cosine honeycomb for 1D morphing skin and its application on variable camber wing. Chin. J. Aeronaut. 2013, 26, 935–942. [Google Scholar] [CrossRef]
  18. Liu, W.; Li, H.; Zhang, J. In-plane mechanics of a novel cellular structure for multiple morphing applications. Compos. Struct. 2018, 207, 598–611. [Google Scholar] [CrossRef]
  19. Gong, X.; Huang, J.; Scarpa, F. Zero Poisson’s ratio cellular structure for two-dimensional morphing applications. Compos. Struct. 2015, 134, 384–392. [Google Scholar] [CrossRef]
  20. Matthew, D.B.; Phillips, F.R.; Henry, T.C.; Arrieta, A.F. Spanwise wing morphing using multistable cellular metastructures. Extrem. Mech. Lett. 2022, 53, 101706. [Google Scholar]
  21. Xiong, J.; Dai, N.; Ye, S. Design techniques for flexible trailing edges of mechanical metamaterials. Aeronaut. Sci. Technol. 2022, 33, 81–87. [Google Scholar]
  22. Olympio, K.; Gandhi, F. Modeling and Numerical Analyses of Skin Design Concepts. In Proceedings of the 50th AIAA/ASME/ASCE/AHS/ASC Structures, Structural Dynamics, and Materials Conference, Palm Springs, CA, USA, 4–7 May 2009. [Google Scholar]
  23. Farrokhabadi, A.; Ashrafian, M.M.; Fotouhi, M. Design and characterization of an orthotropic accordion cellular honeycomb as one-dimensional morphing structures with enhanced properties. J. Sandw. Struct. Mater. 2022, 24, 1726–1745. [Google Scholar] [CrossRef]
  24. Wang, Y.U.; Huang, D.; Guo, S.; Fang, Y. Multidisciplinary Design and Optimization of Trailing Edge of Morphing Wing. J. Nanjing Univ. Aeronaut. Astronaut. 2021, 53, 415–424. [Google Scholar]
  25. Yokozeki, T.; Takeda, S.; Ogasawara, T.; Ishikawa, T. Mechanical properties of corrugated composites for candidate materials of flexible wing structures. Compos. Part A Appl. Sci. Manuf. 2005, 37, 1578–1586. [Google Scholar] [CrossRef]
  26. Kress, G.; Winkler, W. Corrugated laminate homogenization model. Compos. Struct. 2010, 92, 795–810. [Google Scholar] [CrossRef]
  27. Barbarino, S.; Gandhi, F.; Webster, S.D. Design of Extendable Chord Sections for Morphing Helicopter Rotor Blades. J. Intell. Mater. Syst. Struct. 2011, 22, 891–905. [Google Scholar] [CrossRef]
  28. Li, Q.; Wu, L.; Hu, L.; Miao, X. A sinusoidal beam lattice structure with negative Poisson’s ratio property. Aerosp. Sci. Technol. 2023, 133, 108103. [Google Scholar] [CrossRef]
  29. Li, S.; Ai, J.; Ren, Y. Development and application prospect of variable leading and trailing edge structure technology. Aeronaut. Sci. Technol. 2022, 33, 31–40. [Google Scholar]
  30. Pecora, R. Morphing wing flaps for large civil aircraft: Evolution of a smart technology across the clean sky program. Chin. J. Aeronaut. 2021, 34, 13–28. [Google Scholar] [CrossRef]
  31. Liu, W.D.; Li, H.L.; Zhang, J. Tensile and shear properties of star-shaped cellular lattice structure. Mech. Adv. Mater. Struct. 2021, 28, 2605–2617. [Google Scholar] [CrossRef]
Figure 1. The cosine-type zero Poisson’s ratio honeycomb.
Figure 1. The cosine-type zero Poisson’s ratio honeycomb.
Aerospace 11 00462 g001
Figure 2. Honeycomb structures manufactured by 3D printing: (a) accordion honeycomb; (b) star-shaped honeycomb; and (c) cosine honeycomb.
Figure 2. Honeycomb structures manufactured by 3D printing: (a) accordion honeycomb; (b) star-shaped honeycomb; and (c) cosine honeycomb.
Aerospace 11 00462 g002
Figure 3. Comparison of in-plane and out-of-plane deformation capabilities of honeycombs: (a) in-plane deformation capability and (b) out-of-plane bending deformation capability.
Figure 3. Comparison of in-plane and out-of-plane deformation capabilities of honeycombs: (a) in-plane deformation capability and (b) out-of-plane bending deformation capability.
Aerospace 11 00462 g003
Figure 4. Cosine honeycomb in-plane equivalent elastic modulus: (a) d = 0.1 and (b) d = 0.3.
Figure 4. Cosine honeycomb in-plane equivalent elastic modulus: (a) d = 0.1 and (b) d = 0.3.
Aerospace 11 00462 g004
Figure 5. Cosine honeycomb out-of-plane bending capability: (a) d = 0.3; (b) d = 0.2; and (c) d = 0.1.
Figure 5. Cosine honeycomb out-of-plane bending capability: (a) d = 0.3; (b) d = 0.2; and (c) d = 0.1.
Aerospace 11 00462 g005
Figure 6. The flexible rudder.
Figure 6. The flexible rudder.
Aerospace 11 00462 g006
Figure 7. Principle diagram of flexible rudder surface deformation.
Figure 7. Principle diagram of flexible rudder surface deformation.
Aerospace 11 00462 g007
Figure 8. Deformation and stress distribution of the flexible rudder surface: (a) the rotation angle of the rocker arm is 0°; (b) the rotation angle of the rocker arm is 5°; (c) the rotation angle of the rocker arm is 10°; (d) the rotation angle of the rocker arm is 15°; (e) the rotation angle of the rocker arm is 20°; and (f) the rotation angle of the rocker arm is 25°.
Figure 8. Deformation and stress distribution of the flexible rudder surface: (a) the rotation angle of the rocker arm is 0°; (b) the rotation angle of the rocker arm is 5°; (c) the rotation angle of the rocker arm is 10°; (d) the rotation angle of the rocker arm is 15°; (e) the rotation angle of the rocker arm is 20°; and (f) the rotation angle of the rocker arm is 25°.
Aerospace 11 00462 g008
Figure 9. Deformation of flexible rudder surface when the rocker arm is deflected by 25°.
Figure 9. Deformation of flexible rudder surface when the rocker arm is deflected by 25°.
Aerospace 11 00462 g009
Figure 10. Actual deflection angle of flexible rudder surface.
Figure 10. Actual deflection angle of flexible rudder surface.
Aerospace 11 00462 g010
Figure 11. Flexible rudder surface bending experiment: (a) the deflection angle is 0°; (b) the deflection angle is 5°; (c) the deflection angle is 10°; (d) the deflection angle is 15°; (e) the deflection angle is 20°; and (f) the deflection angle is 25°.
Figure 11. Flexible rudder surface bending experiment: (a) the deflection angle is 0°; (b) the deflection angle is 5°; (c) the deflection angle is 10°; (d) the deflection angle is 15°; (e) the deflection angle is 20°; and (f) the deflection angle is 25°.
Aerospace 11 00462 g011
Figure 12. Comparison of experimental and simulation calculation results.
Figure 12. Comparison of experimental and simulation calculation results.
Aerospace 11 00462 g012
Figure 13. The influence of honeycomb parameters on the deformation performance and quality of the flexible rudder surface: (a) honeycomb height to length ratio H/L; (b) honeycomb width T; (c) honeycomb thickness D; and (d) honeycomb spacing G.
Figure 13. The influence of honeycomb parameters on the deformation performance and quality of the flexible rudder surface: (a) honeycomb height to length ratio H/L; (b) honeycomb width T; (c) honeycomb thickness D; and (d) honeycomb spacing G.
Aerospace 11 00462 g013
Figure 14. Flexible rudder surfaces of different orders: (a) zero order; (b) first order; (c) second order; and (d) third order.
Figure 14. Flexible rudder surfaces of different orders: (a) zero order; (b) first order; (c) second order; and (d) third order.
Aerospace 11 00462 g014
Figure 15. The influence of honeycomb layout on the deformation performance and quality of the flexible rudder surface.
Figure 15. The influence of honeycomb layout on the deformation performance and quality of the flexible rudder surface.
Aerospace 11 00462 g015
Figure 16. The influence of parameters on the deflection angle of the flexible rudder surface under different honeycomb layouts: (a) honeycomb height to length ratio H/L; (b) honeycomb width T; (c) honeycomb thickness D; and (d) honeycomb spacing G.
Figure 16. The influence of parameters on the deflection angle of the flexible rudder surface under different honeycomb layouts: (a) honeycomb height to length ratio H/L; (b) honeycomb width T; (c) honeycomb thickness D; and (d) honeycomb spacing G.
Aerospace 11 00462 g016
Table 1. Cosine cellular parameters and dimensionless parameters.
Table 1. Cosine cellular parameters and dimensionless parameters.
Geometric ParameterDimensionless Parameter
L cosine beam half-cycle length h = H / L cosine beam height to length ratio
H cosine beam height t = T / L cosine beam width factor
G cosine beam spacing g = G / L cosine beam spacing factor
L ν height of cosine honeycomb cell d = D / L cosine beam thickness factor
T ν straight beam width η = T ν / T width ratio
T cosine beam width ν Poisson’s ratio of material
D cosine beam thickness k = 1.2 shape factor
Table 2. Equivalent elastic modulus in cosine honeycomb plane (D = 2 mm).
Table 2. Equivalent elastic modulus in cosine honeycomb plane (D = 2 mm).
Cellular ParametersTheoretical Value of EX/ESimulation Value of EX/ESimulation DeviationExperimental Value of EX/EExperimental Deviation
h = 0.6, t = 0.087.92 × 10−47.85 × 10−40.8%7.78 × 10−441.8%
h = 0.6, t = 0.11.55 × 10−31.49 × 10−33.9%1.40 × 10−39.6%
h = 0.8, t = 0.083.23 × 10−43.15 × 10−42.4%3.04 × 10−45.9%
h = 0.8, t = 0.16.35 × 10−46.22 × 10−42.0%6.08 × 10−44.3%
h = 1, t = 0.081.55 × 10−41.47 × 10−45.2%1.40 × 10−49.7%
h = 1, t = 0.13.06 × 10−42.95 × 10−43.6%2.85 × 10−46.9%
Table 3. Parameters of rudder airfoil.
Table 3. Parameters of rudder airfoil.
ParameterValue
wing root chord length60 mm
wingtip chord length38 mm
wing root thickness12.16 mm
wingtip thickness5.8 mm
half span length235 mm
sweep angle3.8°
Table 4. Deformation of flexible rudder surface under different forces.
Table 4. Deformation of flexible rudder surface under different forces.
Force (N)Wing Root Vertex Deflection (mm)Deflection Angle (°)
01.001.0
12.102.4
25.406.2
38.359.7
411.8013.7
514.3516.8
617.8020.9
720.5024.3
824.1028.9
Disclaimer/Publisher’s Note: The statements, opinions and data contained in all publications are solely those of the individual author(s) and contributor(s) and not of MDPI and/or the editor(s). MDPI and/or the editor(s) disclaim responsibility for any injury to people or property resulting from any ideas, methods, instructions or products referred to in the content.

Share and Cite

MDPI and ACS Style

Huang, J.; Liu, W.; Zhou, Y.; Liu, D. Structural Analysis and Testing of a Flexible Rudder Using a Cosine Honeycomb Structure. Aerospace 2024, 11, 462. https://doi.org/10.3390/aerospace11060462

AMA Style

Huang J, Liu W, Zhou Y, Liu D. Structural Analysis and Testing of a Flexible Rudder Using a Cosine Honeycomb Structure. Aerospace. 2024; 11(6):462. https://doi.org/10.3390/aerospace11060462

Chicago/Turabian Style

Huang, Jinwei, Weidong Liu, Yue Zhou, and Dian Liu. 2024. "Structural Analysis and Testing of a Flexible Rudder Using a Cosine Honeycomb Structure" Aerospace 11, no. 6: 462. https://doi.org/10.3390/aerospace11060462

APA Style

Huang, J., Liu, W., Zhou, Y., & Liu, D. (2024). Structural Analysis and Testing of a Flexible Rudder Using a Cosine Honeycomb Structure. Aerospace, 11(6), 462. https://doi.org/10.3390/aerospace11060462

Note that from the first issue of 2016, this journal uses article numbers instead of page numbers. See further details here.

Article Metrics

Back to TopTop