Effect of Impellers on the Cooling Performance of a Radial Pre-Swirl System in Gas Turbine Engines
Abstract
1. Introduction
2. Test Configuration
2.1. Test System
2.2. Test Rig and Measuring Instruments
2.3. Dimensional Parameters
3. Computational Procedure
3.1. Computational Model and Boundary Conditions
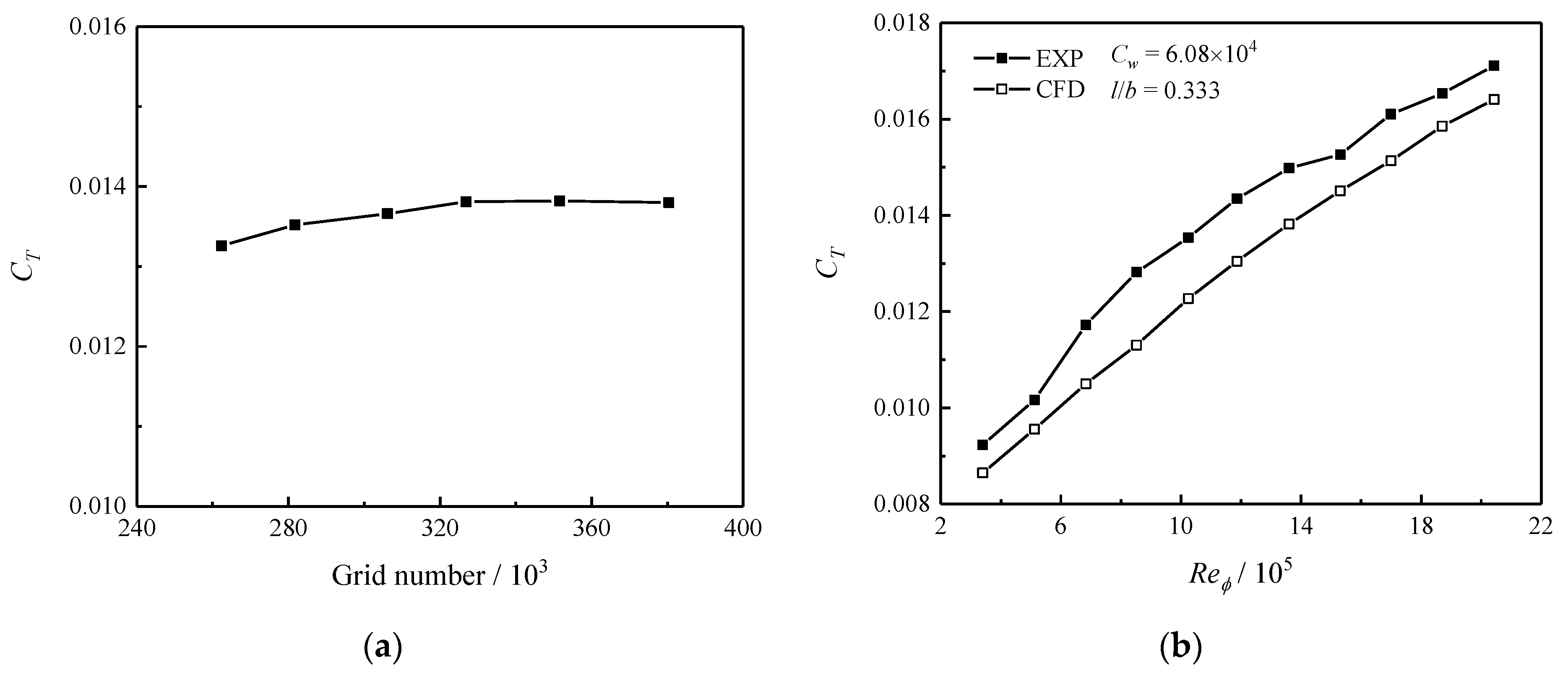
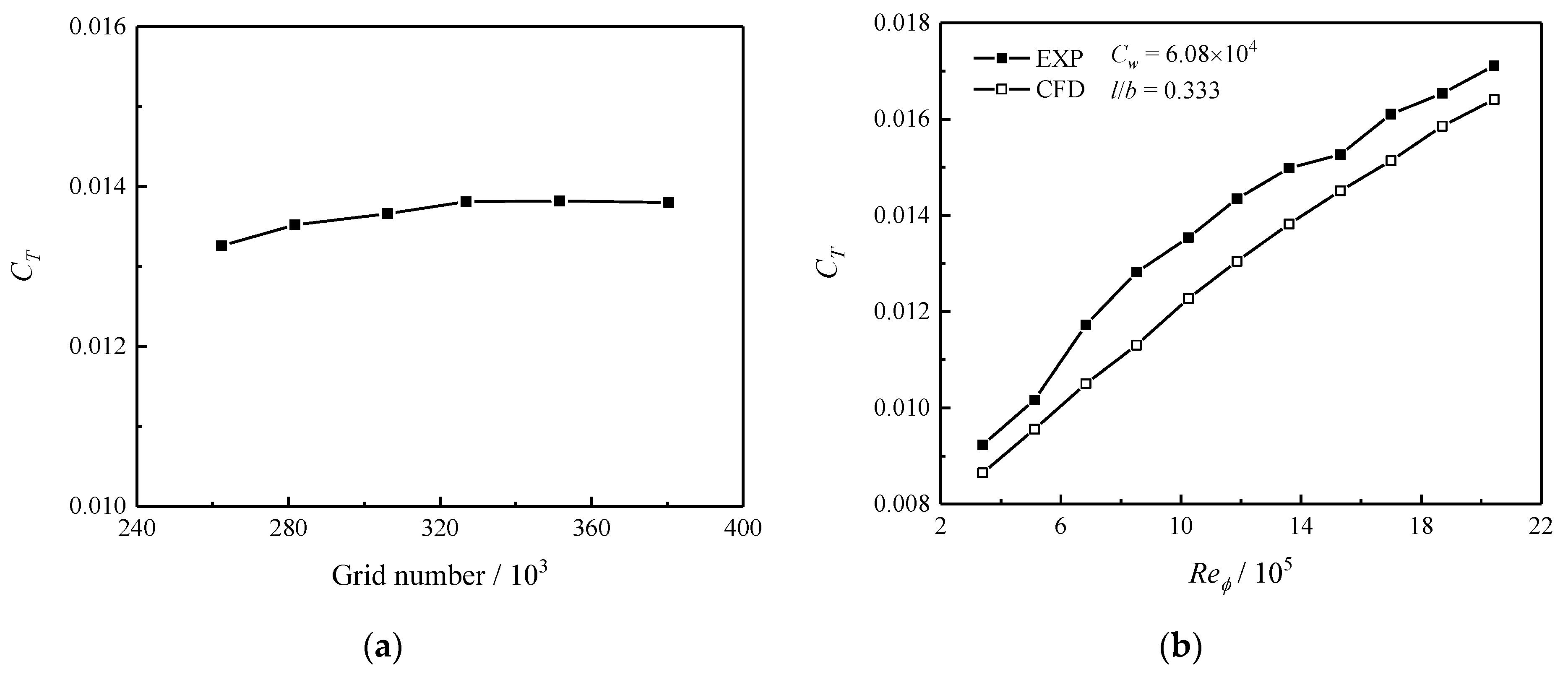
3.2. Computational Method and Grid
3.3. Validation
4. Theoretical Analysis
5. Results and Discussion
5.1. Numercial Results
5.1.1. Flow Structure and Distribution of Pressure and Temperature
5.1.2. Heat Transfer on the Disks
5.2. Experimental Results
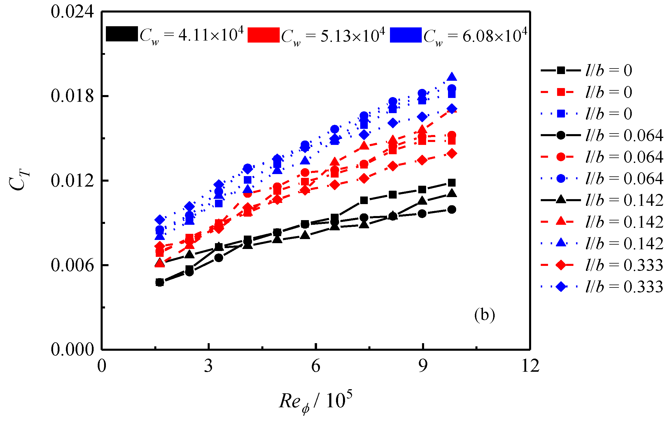
5.2.1. Pressure Drop Characteristics
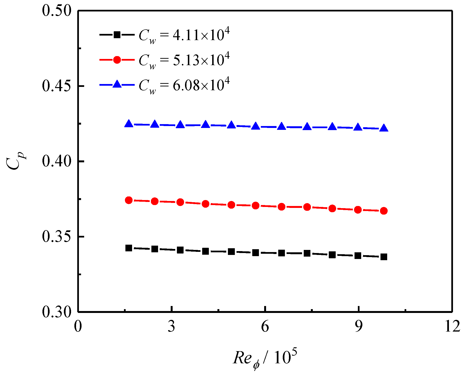
5.2.2. Temperature Drop Characteristics
6. Conclusions
- Compared with the radial pre-swirl system without impellers, the radial pre-swirl system with impellers has a higher swirl ratio in the rotating cavity. Due to the direct influence of the impellers, the relative tangential flow is restricted, which improves the pressurization efficiency of the rotating cavity and decreases local pressure loss at the supply hole. Furthermore, the system pressure drop and system temperature drop decrease and increase as the impeller grows, respectively.
- Reducing the system pressure drop is beneficial to increasing the system temperature drop. The impellers decrease the pressure at the rotor inlet by improving the aerodynamic performance of the radial pre-swirl system. At the same time, the increasing pre-swirl velocity increases the temperature drop caused by the acceleration of the airflow.
- The impellers enhance heat transfer on the disks. Because the impellers reduce the relative tangential velocity, the angle between the velocity vector and the temperature gradient decreases, resulting in a low field synergy angle and a high Nusselt number. However, vortices present at the top of the impellers worsen the local heat transfer.
- As the rotating Reynolds number increases, the system pressure drop and system temperature drop decrease and increase, respectively. The increased rotating Reynolds number reduces the local pressure loss at the receiver hole and increases the pressure rise in the rotating cavity, thus reducing the system pressure drop. Because the mass flow rate directly affects the swirl ratio at the pre-swirl nozzle outlet, the system pressure drop and system temperature drop increase significantly with the increase in the dimensionless flow rate.
Author Contributions
Funding
Data Availability Statement
Acknowledgments
Conflicts of Interest
Abbreviations
| b | Outer radius of the rotating cavity |
| Cm | Dimensionless flow rate |
| Cp | Specific heat capacity at the constant pressure |
| CT | Temperature coefficient |
| ds | Diameter of the supply hole |
| h | Thickness of the pre-swirl nozzle |
| l | Impeller length |
| m | Mass flow rate |
| Nu | Nusselt number |
| r | Radius |
| Reϕ | Rotating Reynolds number |
| Sr | Swirl ratio |
| T | Static temperature |
| T* | Relative total temperature |
| Vϕ | Tangential velocity in the stationary frame |
| w | Relative velocity |
| wrel | Shaft power |
| Greek | |
| ρ | Density |
| ω | Rotating angular velocity |
| β | Field synergy angle |
| μ | Dynamic viscosity |
| Subscripts | |
| no | Pre-swirl nozzle outlet |
| ni | Pre-swirl nozzle inlet |
| out | System outlet |
| in | System inlet |
| io | Outer radius of the impeller |
| ii | Inner radius of the impeller |
| ro | Receiver hole outlet |
| ri | Receiver hole inlet |
| ϕ | Tangential component |
References
- Zhang, F.; Wang, X.; Li, J. Numerical investigation of flow and heat transfer characteristics in radial pre-swirl system with different pre-swirl nozzle angles. Int. J. Heat Mass Transf. 2016, 95, 984–995. [Google Scholar] [CrossRef]
- Zhang, F.; Wang, X.; Li, J. Numerical investigation on the flow and heat transfer characteristics in radial pre-swirl system with different fillet radius at the junction of inlet cavity and nozzle. Appl. Therm. Eng. 2016, 106, 1165–1175. [Google Scholar] [CrossRef]
- Kong, X.; Huang, T.; Liu, Y.; Chen, H.; Lu, H. Effects of pre-swirl radius on cooling performance of a rotor-stator pre-swirl system in gas turbine engines. Case Stud. Therm. Eng. 2022, 37, 102250. [Google Scholar] [CrossRef]
- Soghe, R.D.; Bianchini, C.; D’Errico, J. Numerical characterization of flow and heat transfer in pre-swirl systems. J. Eng. Gas Turbines Power 2018, 140, 71901. [Google Scholar] [CrossRef]
- Gong, W.; Liu, G.; Wang, J.; Wang, F.; Lin, A.; Wang, Z. Aerodynamic and thermodynamic analysis of an aero-engine pre-swirl system based on structure design and performance improvement. Aerosp. Sci. Technol. 2022, 123, 107466. [Google Scholar] [CrossRef]
- Lee, J.; Lee, H.; Park, H.; Cho, G.; Kim, D.; Cho, J. Design optimization of a vane type pre-swirl nozzle. Eng. Appl. Comp. Fluid Mech. 2021, 15, 164–179. [Google Scholar] [CrossRef]
- Liu, G.; Gong, W.; Wu, H.; Lin, A. Experimental and CFD analysis on the pressure ratio and entropy increment in a cover-plate pre- swirl system of gas turbine engine. Eng. Appl. Comp. Fluid Mech. 2021, 15, 476–489. [Google Scholar] [CrossRef]
- Liu, G.; Wang, X.; Gong, W.; Lin, A. Prediction of the sealing flow effect on the temperature drop characteristics of a pre-swirl system in an aero-engine. Appl. Therm. Eng. 2021, 189, 116717. [Google Scholar] [CrossRef]
- Liu, G.; Lei, Z.; Lin, A.; Feng, Q.; Chen, Y. Effect of pre-swirl nozzle closure modes on unsteady flow and heat transfer characteristics in a pre-swirl system of aero-engine. Proc. Inst. Mech. Eng. Part G J. Aerosp. Eng. 2022, 236, 685–703. [Google Scholar] [CrossRef]
- Liu, Y.; Lu, B.; Kong, X.; Chen, H. Experimental study on the outlet flow field and cooling performance of vane-shaped pre-swirl nozzles in gas turbine engines. Case Stud. Therm. Eng. 2023, 44, 102878. [Google Scholar] [CrossRef]
- Zhao, G.; Qiu, T.; Liu, P. Sensitivity analysis of geometrical parameters to the flow of pre-swirl system after turbine blade fracture. Aerospace 2022, 9, 783. [Google Scholar] [CrossRef]
- Lee, J.; Lee, H.; Kim, D.; Cho, J. The effect of rotating receiver hole shape on a gas turbine pre-swirl system. J. Mech. Sci. Technol. 2020, 34, 2179–2187. [Google Scholar] [CrossRef]
- Liu, Y.; Yue, B.; Kong, X.; Chen, H.; Lu, H. Design and performance analysis of a vane shaped rotating receiver hole in high radius pre-swirl systems for gas turbine cooling. Aerosp. Sci. Technol. 2021, 115, 106807. [Google Scholar] [CrossRef]
- Firouzian, M.; Owen, J.M.; Pincombe, J.R.; Rogers, R.H. Flow and heat transfer in a rotating cylindrical cavity with a radial inflow of fluid part 1: The flow structure. Int. J. Heat Fluid Flow 1985, 6, 228–234. [Google Scholar] [CrossRef]
- Firouzian, M.; Owen, J.M.; Pincombe, J.R.; Rogers, R.H. Flow and heat transfer in a rotating cylindrical cavity with a radial inflow of fluid part 2: Velocity, pressure and heat transfer measurements. Int. J. Heat Fluid Flow 1986, 1, 21–27. [Google Scholar] [CrossRef]
- Owen, J.M.; Pincombe, J.R.; Rogers, R.H. Source-sink flow inside a rotating cylindrical cavity. J. Fluid Mech. 1985, 155, 233–265. [Google Scholar] [CrossRef]
- Shen, W.; Wang, S. Large eddy simulation of turbulent flow and heat transfer in a turbine disc cavity with impellers. Int. Commun. Heat Mass Transf. 2022, 139, 106463. [Google Scholar] [CrossRef]
- Zhao, G.; Qiu, T.; Liu, P. Influence of Blade Fracture on the Flow of Rotor-Stator Systems with Centrifugal Superposed Flow. Aerospace 2022, 9, 106. [Google Scholar] [CrossRef]
- Jia, X.; He, L.; Zhang, H. Effect of turbine rotor disc vibration on hot gas ingestion and rotor-stator cavity flow. Aerosp. Sci. Technol. 2020, 98, 105719. [Google Scholar] [CrossRef]
- Zhang, G.; Ding, S. Safety analysis of flow parameters in a rotor-stator cavity. Chin. J. Aeronaut. 2012, 25, 831–838. [Google Scholar] [CrossRef]
- Xia, Z.L.; Wang, S.F.; Zhang, J.C. A novel design of cooling air supply system with dual row pre-swirl nozzles. J. Appl. Fluid Mech. 2020, 13, 1299–1309. [Google Scholar]
- Ma, A.; Liu, F.; Zhou, T.; Hu, R. Numerical investigation on heat transfer characteristics of twin-web turbine disk-cavity system. Appl. Therm. Eng. 2021, 184, 116268. [Google Scholar] [CrossRef]
- Ma, A.; Wu, Q.; Zhou, T.; Hu, R. Effect of inlet flow ratio on heat transfer characteristics of a novel twin-web turbine disk with receiving holes. Case Stud. Therm. Eng. 2022, 34, 101990. [Google Scholar] [CrossRef]
- Taamneh, Y. Thermal analysis of gas turbine disk integrated with rotating heat pipes. Case Stud. Therm. Eng. 2017, 10, 335–342. [Google Scholar] [CrossRef]
- Cao, N.; Luo, X.; Tang, H. A Bayesian model to solve a two-dimensional inverse heat transfer problem of gas turbine discs. Appl. Therm. Eng. 2022, 214, 118762. [Google Scholar] [CrossRef]
- Tang, H.; Deveney, T.; Shardlow, T.; Lock, G.D. Use of Bayesian statistics to calculate transient heat fluxes on compressor disks. Phys. Fluids 2022, 34, 56108. [Google Scholar] [CrossRef]
- Lin, A.; Ma, J.; Fan, G.; Lei, Z.; Fawzy, H.; Liu, G. Aerothermal performances of a rotating turbine disk cavity with non-uniform wall temperature profiles in an aero-engine. Therm. Sci. Eng. Prog. 2023, 38, 101582. [Google Scholar] [CrossRef]
- Shen, W.; Wang, S.; Hou, X. Coupling mechanism of pressure and temperature in a co-rotating cavity with radial flow. Therm. Sci. Eng. Prog. 2023, 43, 101940. [Google Scholar] [CrossRef]
- Benim, A.C.; Brillert, D.; Cagan, M. Investigation into the computational analysis of direct-transfer pre-swirl systems for gas turbine cooling. In Proceedings of the ASME Turbo Expo 2004: Power for Land, Sea, and Air, Vienna, Austria, 14–17 June 2004. [Google Scholar]
- Javiya, U.; Chew, J.; Hills, N.; Dullenkopf, K.; Scanlon, T. Evaluation of computational fluid dynamics and coupled fluid-solid modeling for a direct transfer preswirl system. J. Eng. Gas Turbines Power 2013, 135, 515011–515019. [Google Scholar] [CrossRef]
- Lewis, P.; Wilson, M.; Lock, G.; Owen, M. Physical interpretation of flow and heat transfer in pre-swirl systems. In Proceedings of the ASME Turbo Expo 2006: Power for Land, Sea and Air, Barcelona, Spain, 8–11 May 2006. [Google Scholar]
- Poncet, S.; Soghe, R.D.; Facchini, B. RANS modeling pf flow in rotating cavity system. In Proceedings of the European Conference on Computational Fluid Dynamics, Lisbon, Portugal, 14–17 June 2010. [Google Scholar]
- Vinod, K.B.; Chew, J.W.; Hills, N.J. Rotating flow and heat transfer in cylindrical cavities with radial inflow. In Proceedings of the ASME Turbo Expo 2012: Turbomachinery Technical Conference and Exposition, Copenhagen, Denmark, 11–15 June 2012. [Google Scholar]
- Unnikrishnan, U.; Yang, V. A review of cooling technologies for high temperature rotating components in gas turbine. Propuls. Power Res. 2022, 11, 293–310. [Google Scholar] [CrossRef]
- Guo, Z.Y.; Li, D.Y.; Wang, B.X. A novel concept for convective heat transfer enhancement. Int. J. Heat Mass Transf. 1998, 14, 2221–2225. [Google Scholar] [CrossRef]
- Guo, Z.Y.; Tao, W.Q.; Shah, R.K. The field synergy (coordination) principle and its applications in enhancing single phase convective heat transfer. Int. J. Heat Mass Transf. 2005, 91, 1797–1807. [Google Scholar] [CrossRef]

















| Parameters | Values |
|---|---|
| Rotating speed/(rev/min) | 600, 900, 1200, 1500, 1800, 2100, 2400, 2700, 3000, 3300, 3600 |
| Mass flow rate/(kg/s) | 0.057, 0.072, 0.085 |
| Parameters | Values |
|---|---|
| Outlet static pressure/kPa | 926 |
| Inlet total temperature/K | 723 |
| Rotating speed/(rev/min) | 12,000, 14,000, 16,000, 18,000, 20,000 |
| Mass flow rate/(kg/s) | 0.66, 0.72, 0.78, 0.84, 0.9 |
Disclaimer/Publisher’s Note: The statements, opinions and data contained in all publications are solely those of the individual author(s) and contributor(s) and not of MDPI and/or the editor(s). MDPI and/or the editor(s) disclaim responsibility for any injury to people or property resulting from any ideas, methods, instructions or products referred to in the content. |
© 2024 by the authors. Licensee MDPI, Basel, Switzerland. This article is an open access article distributed under the terms and conditions of the Creative Commons Attribution (CC BY) license (https://creativecommons.org/licenses/by/4.0/).
Share and Cite
Shen, W.; Wang, S.; Liang, X. Effect of Impellers on the Cooling Performance of a Radial Pre-Swirl System in Gas Turbine Engines. Aerospace 2024, 11, 187. https://doi.org/10.3390/aerospace11030187
Shen W, Wang S, Liang X. Effect of Impellers on the Cooling Performance of a Radial Pre-Swirl System in Gas Turbine Engines. Aerospace. 2024; 11(3):187. https://doi.org/10.3390/aerospace11030187
Chicago/Turabian StyleShen, Wenjie, Suofang Wang, and Xiaodi Liang. 2024. "Effect of Impellers on the Cooling Performance of a Radial Pre-Swirl System in Gas Turbine Engines" Aerospace 11, no. 3: 187. https://doi.org/10.3390/aerospace11030187
APA StyleShen, W., Wang, S., & Liang, X. (2024). Effect of Impellers on the Cooling Performance of a Radial Pre-Swirl System in Gas Turbine Engines. Aerospace, 11(3), 187. https://doi.org/10.3390/aerospace11030187

