A Robust Adaptive PID-like Controller for Quadrotor Unmanned Aerial Vehicle Systems
Abstract
1. Introduction
- The adaptive PID-like controller is designed directly for a general class of second-order nonlinear systems, under certain acceptable assumptions. Therefore, it can be applied to various types of UAV systems. An analysis of the stability of the closed-loop system is conducted using a Lyapunov method, confirming that all signals in the closed-loop system exhibit uniform ultimate boundedness.
- A notable feature of the proposed controller is that all initial values of the estimated parameters can be set to zero. This simplification facilitates the implementation process and reduces the need for precise initial parameter estimation, enhancing the practicality of the controller in various applications.
- Compared to the methods in [9,12,13,20] and other studies in the literature, the proposed robust adaptive PID-like controller does not require knowledge of the controlled UAV system model for its implementation. Therefore, it can be considered as an efficient robust model-free controller for UAV systems.
2. Dynamic Modelling and Control Objectives for a Quadrotor UAV
2.1. Mathematical Model of a Quadrotor
2.2. Control Objectives and Control Architecture
3. Proposed Robust Adaptive PID-like Controller
3.1. Problem Statement
3.2. Adaptive PID-like Control Design
3.2.1. Control Law
3.2.2. Adaptation Law for PID-like Control
3.3. Stability Analysis of the Closed-Loop System
4. Application of the Robust Adaptive PID-like Controller
4.1. Controller Design for the Rotation Subsystem
4.2. Controller Design for the Translation Subsystem
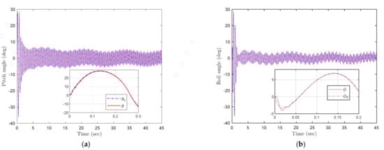
4.3. Simulation Results and Discussions
5. Conclusions
Author Contributions
Funding
Institutional Review Board Statement
Informed Consent Statement
Data Availability Statement
Conflicts of Interest
References
- Jha, A.R. Theory, Design, and Applications of Unmanned Aerial Vehicles; CRC Press: Boca Raton, FL, USA, 2016; ISBN 9781498715430. [Google Scholar]
- Idrissi, M.; Salami, M.; Annaz, F. A Review of Quadrotor Unmanned Aerial Vehicles: Applications, Architectural Design, and Control Algorithms. J. Intell. Robot. Syst. 2022, 104, 22. [Google Scholar] [CrossRef]
- Hernández-González, O.; Targui, B.; Valencia-Palomo, G.; Guerrero-Sánchez, M.E. Robust Cascade Observer for a Disturbance Unmanned Aerial Vehicle Carrying a Load under Multiple Time-Varying Delays and Uncertainties. Int. J. Syst. Sci. 2024, 55, 1056–1072. [Google Scholar] [CrossRef]
- Boubakir, A.; Labiod, S.; Boudjema, F.; Plestan, F. Model-Free Controller with an Observer Applied in Real-Time to a 3-DOF Helicopter. Turk. J. Electr. Eng. Comput. Sci. 2014, 22, 1564–1581. [Google Scholar] [CrossRef]
- Kim, S.-J.; Suh, J.-H. Model-Free RBF Neural Network Intelligent-PID Control Applying Adaptive Robust Term for Quadrotor System. Drones 2024, 8, 179. [Google Scholar] [CrossRef]
- Noordin, A.; Mohd Basri, M.A.; Mohamed, Z. Real-Time Implementation of an Adaptive PID Controller for the Quadrotor MAV Embedded Flight Control System. Aerospace 2023, 10, 59. [Google Scholar] [CrossRef]
- Huanca, C.P.E.Y.; Incremona, G.P.; Colaneri, P. Design of a Distributed Switching Model Predictive Control for Quadrotor UAVs Aggregation. IEEE Control Syst. Lett. 2023, 7, 2964–2969. [Google Scholar] [CrossRef]
- Cowling, I.D.; Yakimenko, O.A.; Whidborne, J.F.; Cooke, A.K. A Prototype of an Autonomous Controller for a Quadrotor UAV. In Proceedings of the 2007 European Control Conference (ECC), Kos, Greece, 2–5 July 2007; pp. 4001–4008. [Google Scholar]
- Sir Elkhatem, A.; Engin, S.N. Robust LQR and LQR-PI Control Strategies Based on Adaptive Weighting Matrix Selection for a UAV Position and Attitude Tracking Control. Alex. Eng. J. 2022, 61, 6275–6292. [Google Scholar] [CrossRef]
- Baek, J.; Kang, M. A Synthesized Sliding-Mode Control for Attitude Trajectory Tracking of Quadrotor UAV Systems. IEEE/ASME Trans. Mechatron. 2023, 28, 2189–2199. [Google Scholar] [CrossRef]
- Xu, D.; Whidborne, J.F.; Cooke, A. Fault tolerant control of a quadrotor using 1 adaptive control. Int. J. Intell. Unmanned Syst. 2016, 4, 43–66. [Google Scholar] [CrossRef]
- Souanef, T.; Whidborne, J.; Boubakir, A. 1 Adaptive Control of Quadrotor UAVs in Case of Inversion of the Torque Direction. Drones Auton. Veh. 2023, 1, 10004. [Google Scholar] [CrossRef]
- Qi, G.; Deng, J.; Li, X.; Yu, X. Compensation Function Observer-Based Model-Compensation Backstepping Control and Application in Anti-Inference of Quadrotor UAV. Control. Eng. Pract. 2023, 140, 105633. [Google Scholar] [CrossRef]
- Kim, H.S.; Lee, K.; Joo, Y.H. Decentralized Sampled-Data Fuzzy Controller Design for a VTOL UAV. J. Frankl. Inst. 2021, 358, 1888–1914. [Google Scholar] [CrossRef]
- Qin, X.; Zhao, Z.; Huang, P.; Li, J. Multiple Feedback Recurrent Neural Network Based Super-Twisting Predefined-Time Nonsingular Terminal Sliding Mode Control for Quad-Rotor UAV. Aerosp. Sci. Technol. 2024, 151, 109282. [Google Scholar] [CrossRef]
- Pi, C.-H.; Hu, K.-C.; Cheng, S.; Wu, I.-C. Low-Level Autonomous Control and Tracking of Quadrotor Using Reinforcement Learning. Control Eng. Pract. 2020, 95, 104222. [Google Scholar] [CrossRef]
- Noordin, A.; Mohd Basri, M.A.; Mohamed, Z.; Mat Lazim, I. Adaptive PID Controller Using Sliding Mode Control Approaches for Quadrotor UAV Attitude and Position Stabilization. Arab. J. Sci. Eng. 2021, 46, 963–981. [Google Scholar] [CrossRef]
- Guerrero-Sánchez, M.E.; Hernández-González, O.; Valencia-Palomo, G.; López-Estrada, F.R.; Rodríguez-Mata, A.E.; Garrido, J. Filtered Observer-Based IDA-PBC Control for Trajectory Tracking of a Quadrotor. IEEE Access 2021, 9, 114821–114835. [Google Scholar] [CrossRef]
- Mai, G.; Wang, H.; Wang, Y.; Wu, X.; Jiang, P.; Feng, G. Nonlinear Extended State Observer and Prescribed Performance Fault-Tolerant Control of Quadrotor Unmanned Aerial Vehicles Against Compound Faults. Aerospace 2024, 11, 903. [Google Scholar] [CrossRef]
- Liu, W.; Cheng, X.; Zhang, J. Command Filter-Based Adaptive Fuzzy Integral Backstepping Control for Quadrotor UAV with Input Saturation. J. Frankl. Inst. 2023, 360, 484–507. [Google Scholar] [CrossRef]
- Li, Z.; Ma, X.; Li, Y. Model-Free Control of a Quadrotor Using Adaptive Proportional Derivative-Sliding Mode Control and Robust Integral of the Signum of the Error. Int. J. Adv. Robot. Syst. 2018, 15, 1729881418800885. [Google Scholar] [CrossRef]
- An, C.; Jia, S.; Zhou, J.; Wang, C. Fast Model-Free Learning for Controlling a Quadrotor UAV with Designed Error Trajectory. IEEE Access 2022, 10, 79669–79680. [Google Scholar] [CrossRef]
- Zou, X.; Liu, Z.; Wang, B.; Zhao, W.; Dang, Q. Model-Free Control-Based Trajectory Tracking Control of a Tail-Sitter UAV in Hovering Mode. IEEE Trans. Instrum. Meas. 2024, 73, 1–20. [Google Scholar] [CrossRef]
- Graf, J. PID Control Fundamentals; CreateSpace Independent Publishing Platform: Scotts Valley, CA, USA, 2016; ISBN 9781535358668. [Google Scholar]
- Potter, A. Principles and Applications of PID Controllers; NY Research Press: Forest Hills, NY, USA, 2015; ISBN 9781632383709. [Google Scholar]
- Visioli, A. PID Control System Design and Automatic Tuning Using MATLAB/SIMULINK. IEEE Control Syst. Mag. 2021, 41, 99–100. [Google Scholar] [CrossRef]
- Somefun, O.; Akingbade, K.; Dahunsi, F. The Dilemma of PID Tuning. Annu. Rev. Control 2021, 52, 65–74. [Google Scholar] [CrossRef]
- Borase, R.P.; Maghade, D.; Sondkar, S.; Pawar, S. A Review of PID Control, Tuning Methods, and Applications. Int. J. Dyn. Control 2020, 9, 818–827. [Google Scholar] [CrossRef]
- Perozzi, G.; Efimov, D.; Biannic, J.-M.; Planckaert, L. Trajectory Tracking for a Quadrotor under Wind Perturbations: Sliding Mode Control with State-Dependent Gains. J. Frankl. Inst. 2018, 355, 4809–4838. [Google Scholar] [CrossRef]
- Shao, X.; Sun, G.; Yao, W.; Liu, J.; Wu, L. Adaptive Sliding Mode Control for Quadrotor UAVs with Input Saturation. IEEE/ASME Trans. Mechatron. 2022, 27, 1498–1509. [Google Scholar] [CrossRef]
- Liu, K.; Wang, R. Antisaturation Command Filtered Backstepping Control-Based Disturbance Rejection for a Quadrotor UAV. IEEE Trans. Circuits Syst. II Express Briefs 2021, 68, 3577–3581. [Google Scholar]
- Koksal, N.; An, H.; Fidan, B. Backstepping-Based Adaptive Control of a Quadrotor UAV with Guaranteed Tracking Performance. ISA Trans. 2020, 105, 98–110. [Google Scholar] [CrossRef]
- Gomes, S.B.V.; Ramos, J.G. Airship Dynamic Modeling for Autonomous Operation. In Proceedings of the 1998 IEEE International Conference on Robotics and Automation (Cat. No.98CH36146), Leuven, Belgium, 20 May 1998; Volume 4, pp. 3462–3467. [Google Scholar]
- Madani, T.; Benallegue, A. Control of a Quadrotor Mini-Helicopter via Full State Backstepping Technique. In Proceedings of the 45th IEEE Conference on Decision and Control, San Diego, CA, USA, 13–15 December 2006; pp. 1515–1520. [Google Scholar]
- Slotine, J.J.E.; Li, W. Applied Nonlinear Control; Prentice Hall: Upper Saddle River, NJ, USA, 1991. [Google Scholar]
- Boubakir, A.; Labiod, S.; Boudjema, F.; Plestan, F. Linear Adaptive Control of a Class of SISO Nonaffine Nonlinear Systems. Int. J. Syst. Sci. 2014, 45, 2490–2498. [Google Scholar] [CrossRef]
- Boubakir, A.; Labiod, S.; Boudjema, F.; Plestan, F. Design and experimentation of a self-tuning PID control applied to the 3DOF helicopter. Arch. Control Sci. 2013, 23, 311–331. [Google Scholar] [CrossRef]
- Ioannou, P.A.; Sun, J. Robust Adaptive Control; Prentice Hall: Englewood Cliffs, NJ, USA, 1996. [Google Scholar]












| Gains | ||||||
|---|---|---|---|---|---|---|
| 3 | 4.5 | 37 | 0.5 | 0.2 | 0.8 | |
| 1 | 1 | 15 | 1 | 1 | 0 | |
| 3 | 2 | 24 | 1 | 0.5 | 0.06 |
| Controllers | x (m) | y (m) | z (m) | (deg) | |
|---|---|---|---|---|---|
| PID-like Controller | |||||
| PID Controller | |||||
Disclaimer/Publisher’s Note: The statements, opinions and data contained in all publications are solely those of the individual author(s) and contributor(s) and not of MDPI and/or the editor(s). MDPI and/or the editor(s) disclaim responsibility for any injury to people or property resulting from any ideas, methods, instructions or products referred to in the content. |
© 2024 by the authors. Licensee MDPI, Basel, Switzerland. This article is an open access article distributed under the terms and conditions of the Creative Commons Attribution (CC BY) license (https://creativecommons.org/licenses/by/4.0/).
Share and Cite
Boubakir, A.; Souanef, T.; Labiod, S.; Whidborne, J.F. A Robust Adaptive PID-like Controller for Quadrotor Unmanned Aerial Vehicle Systems. Aerospace 2024, 11, 980. https://doi.org/10.3390/aerospace11120980
Boubakir A, Souanef T, Labiod S, Whidborne JF. A Robust Adaptive PID-like Controller for Quadrotor Unmanned Aerial Vehicle Systems. Aerospace. 2024; 11(12):980. https://doi.org/10.3390/aerospace11120980
Chicago/Turabian StyleBoubakir, Ahsene, Toufik Souanef, Salim Labiod, and James F. Whidborne. 2024. "A Robust Adaptive PID-like Controller for Quadrotor Unmanned Aerial Vehicle Systems" Aerospace 11, no. 12: 980. https://doi.org/10.3390/aerospace11120980
APA StyleBoubakir, A., Souanef, T., Labiod, S., & Whidborne, J. F. (2024). A Robust Adaptive PID-like Controller for Quadrotor Unmanned Aerial Vehicle Systems. Aerospace, 11(12), 980. https://doi.org/10.3390/aerospace11120980

