Sensitivity Analysis of Scallop Damper Seal Design Parameters for Leakage and Static Performance
Abstract
1. Introduction
2. Numerical Method
2.1. Geometrical Model
2.2. Static Stiffness Solving Method
2.3. The Sensitivity Analysis Method for Geometric Parameters in DOE
2.4. Numerical Method Validation
3. Results and Discussion
3.1. Parameter Sensitivity Analysis of Leakage Flow Rate
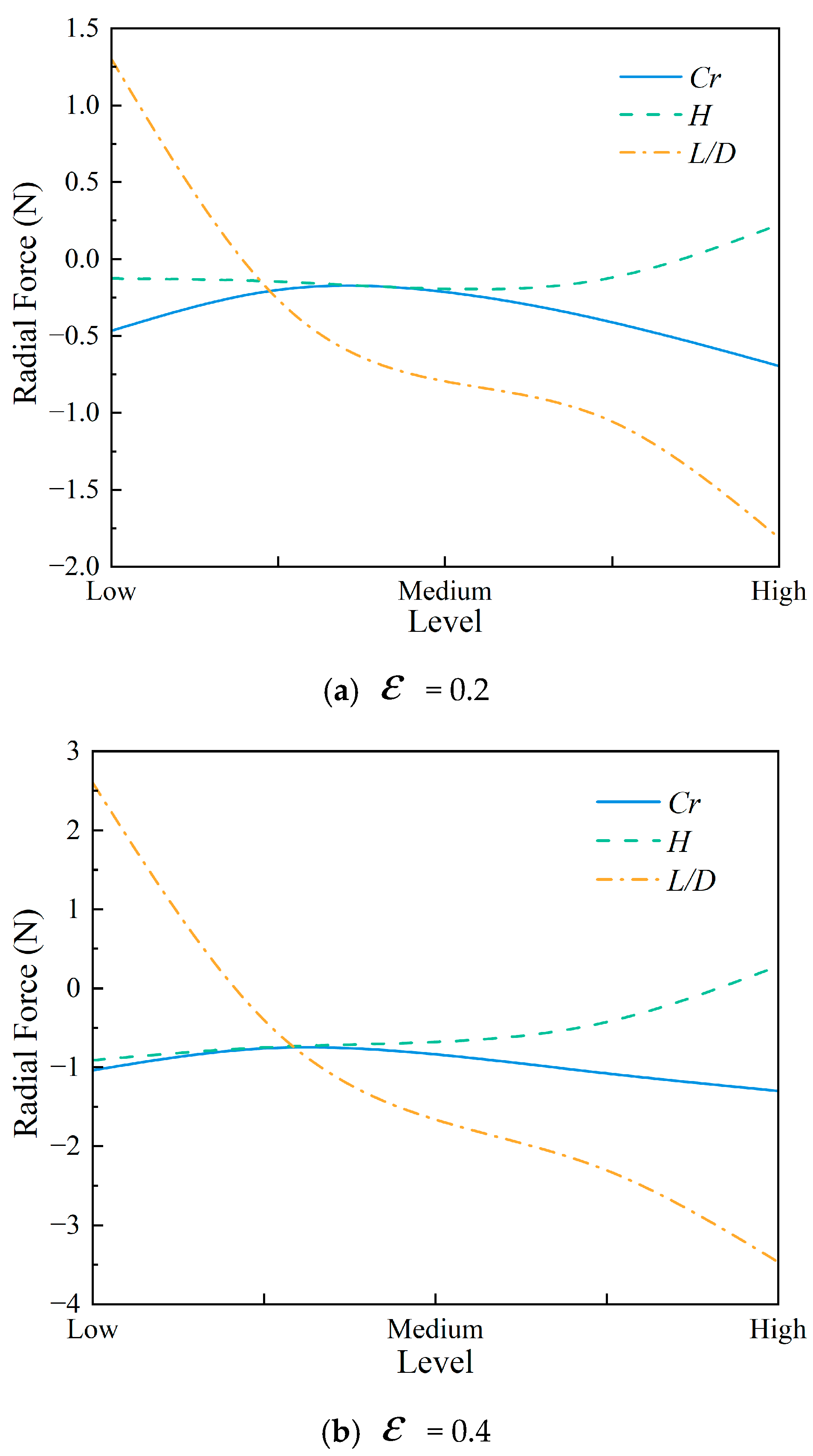
3.2. Parameter Sensitivity Analysis of Flow-Induced Force
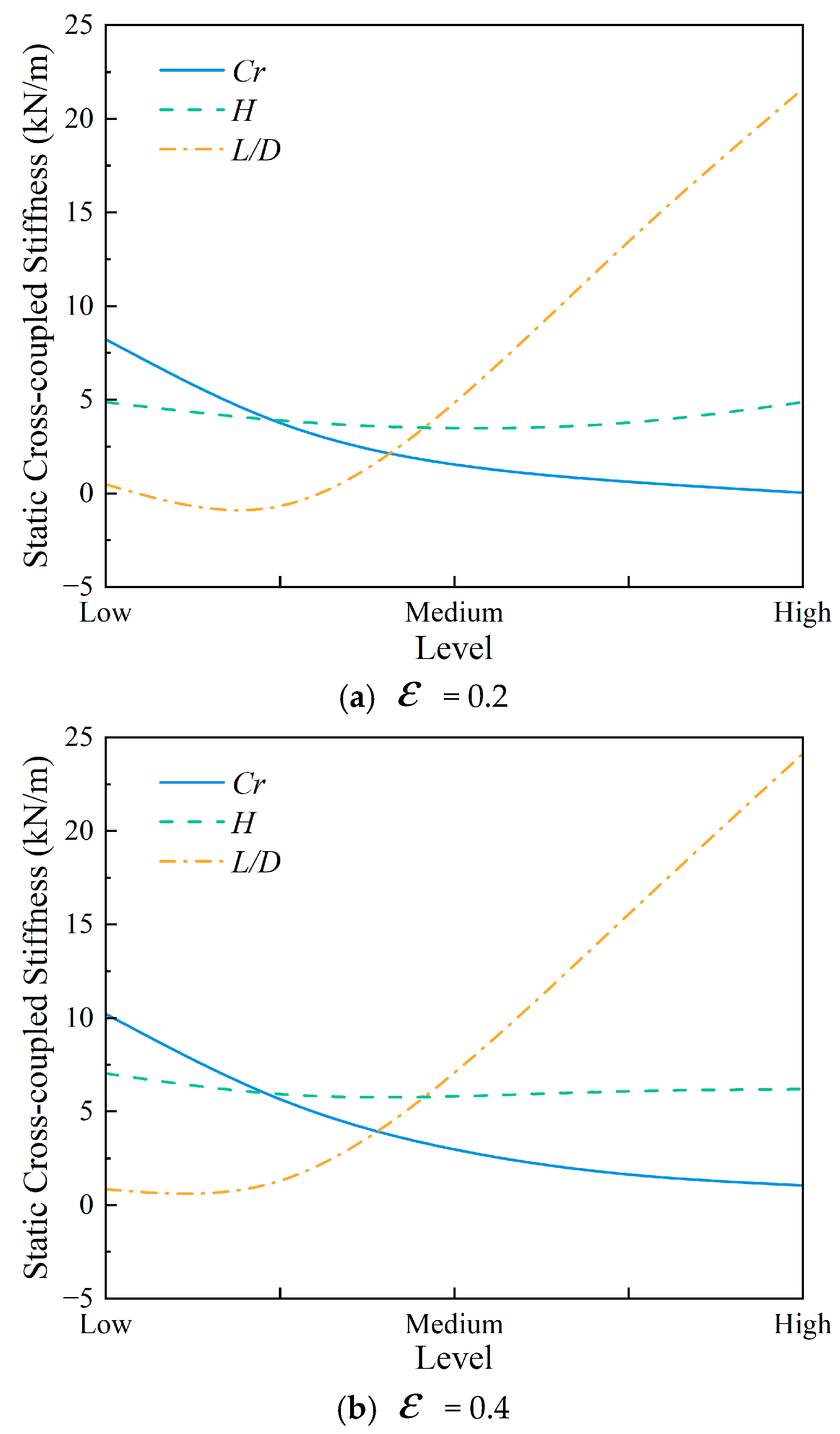
3.3. Parameter Sensitivity Analysis of the Static Stiffness Coefficient
3.4. Analysis of Positive Stiffness Mechanism
4. Conclusions
- (1)
- Changes in eccentricity have little effect on the leakage of the scallop damper seal and its sensitivity to geometric parameters. Smaller radial clearances and larger cavity depths and length-to-diameter ratios are effective in mitigating leakage.
- (2)
- The increase in eccentricity reduces the sensitivity of the tangential force to the geometric parameters, but can significantly increase the tangential force. The radial force gradually increases with the growth of cavity depth. A larger cavity depth, a smaller length-to-diameter ratio, and a moderate sealing clearance can increase the radial force.
- (3)
- The structure that results in positive static direct stiffness is characterized by a smaller length-to-diameter ratio or a larger cavity depth. To design a more stable scallop damper seal structure, further exploration of the length-to-diameter ratio and cavity depth settings is needed.
- (4)
- The study reveals the impact of geometric parameters on the static and leakage characteristics of scallop damper seals. In the design of scallop damper seals, a larger cavity depth should be selected (e.g., H = 4.3 mm), along with a small length-to-diameter ratio and standard sealing clearance, as long as the dimensions permit (e.g., L/D = 0.28, Cr = 0.2 mm). This offers insights for designing advanced seals in rotating machinery like gas turbines and compressors.
Author Contributions
Funding
Data Availability Statement
Conflicts of Interest
Nomenclature
| SCO2 | supercritical carbon dioxide |
| Static flow-induced force | the response forces due to stationary or steady fluid flow |
| Dynamic flow-induced force | the response forces generated by unsteady or oscillatory fluid flow |
| F | flow-induced force, N |
| h | cavity depth, mm |
| Cr | radial clearance, mm |
| L/D | length-to-diameter ratio |
| ε | eccentricity ratio |
| δ | rotor eccentric displacement |
| Kxx | direct stiffness in X direction, kN/m |
| Kxy | cross-coupled stiffness in X direction, kN/m |
| Kyy | direct stiffness in Y direction, kN/m |
| Kyx | cross-coupled stiffness in Y direction, kN/m |
| n | rotational speed, rpm |
| Pin | seal inlet pressure, MPa |
| Pout | seal outlet pressure, MPa |
| R2 | coefficient of determination |
Appendix A. Static Stiffness Solving Method
Appendix B. Experimental Scheme Design and Description
References
- Si, H.; Cao, L.; Li, P.; Chen, D. Steam flow excited vibration and dynamic characteristics of seal in different rotor whirling motion. Tribol. Int. 2021, 160, 107029. [Google Scholar] [CrossRef]
- Sun, D.; Yang, J.; Guo, R.; Zhang, W.; Ai, Y. A trigonometric series expansion based method for the research of static and dynamic characteristics of eccentric seals. J. Mech. Sci. Technol. 2014, 28, 2111–2120. [Google Scholar] [CrossRef]
- Lattime, S.B.; Steinetz, B.M. Turbine Engine Clearance Control Systems: Current Practices and Future Directions. In Proceedings of the 38th AIAA/ASME/SAE/ASEE Joint Propulsion Conference & Exhibit, Indianapolis, Indiana, 7–10 July 2003. [Google Scholar]
- Childs, D.W.; Elrod, D.; Hale, K. Annular Honeycomb Seals: Test Results for Leakage and Rotordynamic Coefficients; Comparisons to Labyrinth and Smooth Configurations. Trans. Asme J. Tribol. 1989, 111, 293–300. [Google Scholar] [CrossRef]
- Beatty, R.F.; Hine, M.J. Improved Rotor Response of the Uprated High Pressure Oxygen Turbopump for the Space Shuttle Main Engine. J. Vib. Acoust. Stress Reliab. Des. 1989, 111, 163. [Google Scholar] [CrossRef]
- Yu, Z.; Childs, D.W. A Comparison of Experimental Rotordynamic Coefficients and Leakage Characteristics Between Hole-Pattern Gas Damper Seals and a Honeycomb Seal. J. Eng. Gas Turbines Power 1998, 120, 778–783. [Google Scholar] [CrossRef]
- Martsinkovsky, V.; Yurko, V. Economic efficiency of Synthesis-Gas turbocompressor modernization. Procedia Eng. 2012, 39, 339–365. [Google Scholar] [CrossRef]
- Vance, J.M.; Shultz, R.R. A New Damper Seal for Turbomachinery; ASME: Albuquerque, NM, USA, 1993. [Google Scholar]
- Ertas, B.; Gamal, A.; Vance, J. Rotordynamic Force Coefficients of Pocket Damper Seals. J. Turbomach. 2006, 128, 725–737. [Google Scholar] [CrossRef]
- Takahashi, N.; Miura, H.; Narita, M.; Nishijima, N.; Magara, Y. Development of Scallop Cut Type Damper Seal for Centrifugal Compressors. J. Eng. Gas Turbines Power 2015, 137, 032509. [Google Scholar] [CrossRef]
- Zhang, W.; Yin, L.; Yang, L.; Tian, H.; Li, C. Rotordynamic characteristics prediction for scallop damper seals using computational fluid dynamics. Chin. J. Aeronaut. 2022, 35, 92–106. [Google Scholar] [CrossRef]
- Zahorulko, A.V.; Lee, Y.B. Computational analysis for scallop seals with sickle grooves, part I: Leakage performance. Mech. Syst. Signal Process. 2021, 147, 107024. [Google Scholar] [CrossRef]
- Zahorulko, A.V.; Lee, Y.B. Computational analysis for scallop seals with sickle grooves, part II: Rotordynamic characteristics. Mech. Syst. Signal Process. 2021, 147, 107154. [Google Scholar] [CrossRef]
- Zhang, E.; Watanabe, T.; Himeno Bofeng, T.B. Leakage reduction mechanism of supercritical CO2 scallop damper seal: Vortex structure and turbulence dissipation. Phys. Fluids 2023, 35, 056108. [Google Scholar]
- Scharrer, J.K.; Pelletti, J.M. Leakage And Rotordynamic Effects Of Compressible Annular Seals. In Proceedings of the 24th Turbomachinery Symposium, Houston, TX, USA, 26–28 September 1995; Texas A&M University Turbomachinery Laboratories: Dallas, TX, USA. Available online: https://oaktrust.library.tamu.edu/items/6220230d-79c2-439c-9edd-c0555f03e33e (accessed on 5 September 2024).
- Lomakin, A.A. Calculating of critical speed and securing of dynamic stability of high pressure pumps with reference to forces arising in seal gaps. Energomashinostroenie 1958, 4, 1158–1162. [Google Scholar]
- Arghir, M.; Defaye, C.; Frêne, J. The Lomakin effect in annular gas seals under choked flow conditions. J. Eng. Gas Turbines Power 2007, 129, 1028–1034. [Google Scholar] [CrossRef]
- Childs, D.W.; Arthur, S.P. Static destabilizing behavior for gas annular seals at high eccentricity ratios. In Turbo Expo: Power for Land, Sea, and Air; American Society of Mechanical Engineers: New York, NY, USA, 2013; p. V07AT29A003. [Google Scholar]
- Zhang, W.; Ma, K.; Cao, H.; Wang, T.; Yang, J.; Li, C. The static instability characteristics of labyrinth seals: Experiments and computational fluid dynamics verification. J. Vib. Acoust. 2020, 142, 041005. [Google Scholar] [CrossRef]
- Li, Z.; Li, J.; Feng, Z. Numerical Investigation on the Leakage and Static Stability Characteristics of Pocket Damper Seals at High Eccentricity Ratios. J. Eng. Gas Turbines Power 2018, 140, 042503. [Google Scholar] [CrossRef]
- Childs, D.W.; Wade, J. Rotordynamic-Coefficient and Leakage Characteristics for Hole-Pattern-Stator Annular Gas Seals—Measurements Versus Predictions. J. Tribol. 2004, 126, 326–333. [Google Scholar] [CrossRef]
- Zhang, X.; Jiang, J.; Peng, X.; Ni, Z.; Pan, J.; Yu, K.; Lu, Y. Influence of operating parameters and cavity geometry on rotor dynamic characteristics of hole-pattern damping seal with dovetail-like diversion grooves. J. Braz. Soc. Mech. Sci. Eng. 2024, 46, 484. [Google Scholar] [CrossRef]
- Zhang, W.; Chen, L.; Yang, J.; Yang, J.; Li, C. Static instability of the smooth annular seals with choked/unchoked flow. Tribol. Int. 2020, 144, 106120. [Google Scholar] [CrossRef]
- Wu, G.; Chen, J.; Zhu, W. Performance Analysis and Improvement of Flat Torque Converters Using DOE Method. Chin. J. Mech. Eng. 2018, 31, 60. [Google Scholar] [CrossRef]
- Untaroiu, A.; Jin, H.; Fu, G.; Hayrapetiau, V.; Elebiary, K. The Effects of Fluid Preswirl and Swirl Brakes Design on the Performance of Labyrinth Seals. J. Eng. Gas Turbines Power 2018, 140, 082503. [Google Scholar] [CrossRef]
- Smalley, A.J.; Camatti, M.; Childs, D.W.; Hollingsworth, J.R.; Vannini, G.; Carter, J.J. Dynamic characteristics of the diverging taper honeycomb-stator seal. J. Turbomach. 2006, 128, 717–724. [Google Scholar] [CrossRef]














| Parameter | Value |
|---|---|
| Seal length l/mm | 17, 28, 35.7, 47.9, 55.6 |
| Rotor radius R/mm | 30 |
| Radial clearance Cr/mm | 0.16, 0.2, 0.24, 0.28, 0.32 |
| Teeth number N1 | 10 |
| Cavity depth h/mm | 2.3, 2.8, 3.3, 3.8, 4.3 |
| Circumferential scallop cavity number N2 | 8 |
| Teeth width w1/mm | 0.8, 1, 1.77, 2.54, 3.31 |
| Cavity width w2/mm Milling cutter radius R′/mm | 1, 2, 2.5 13 |
| Seal teeth shape | Rectangular teeth |
| Level | Factor A Radial Clearance/mm | Factor B Cavity Depth/mm | Factor C Length–Diameter Ratio/mm |
|---|---|---|---|
| 1 | 0.16 | 2.3 | 0.28 |
| 2 | 0.20 | 2.8 | 0.47 |
| 3 | 0.24 | 3.3 | 0.60 |
| 4 | 0.28 | 3.8 | 0.80 |
| 5 | 0.32 | 4.3 | 0.93 |
| Scheme | Number of Scallop Damper Seal Levels | ||
|---|---|---|---|
| Radial Clearance | Cavity Depth | Length–Diameter Ratio | |
| 1 | 2 | 2 | 2 |
| 2 | 2 | 2 | 4 |
| 3 | 2 | 4 | 2 |
| 4 | 2 | 4 | 4 |
| 5 | 4 | 2 | 2 |
| 6 | 4 | 2 | 4 |
| 7 | 4 | 4 | 2 |
| 8 | 4 | 4 | 4 |
| 9 | 1 | 3 | 3 |
| 10 | 5 | 3 | 3 |
| 11 | 3 | 1 | 3 |
| 12 | 3 | 5 | 3 |
| 13 | 3 | 3 | 1 |
| 14 | 3 | 3 | 5 |
| 15 | 3 | 3 | 3 |
| Simulation Condition | Value |
|---|---|
| Fluid | Air (ideal gas) |
| Turbulence model | , a scalable wall function |
| Wall | Adiabatic, smooth surface |
| Eccentricity ratio | 0.2, 0.4 |
| Inlet temperature T/K | 298 |
| Inlet pressure Pin/MPa | 0.505 |
| Discharge pressure Pout/MPa | 0.101 |
| Rotational speed n/rpm | 5000 |
| Response Variable | Coefficient of Determination R2 |
|---|---|
| Leakage flow rate (ε = 0.2) | 0.99935 |
| Leakage flow rate (ε = 0.4) | 0.99937 |
| Tangential force (ε = 0.2) | 0.99456 |
| Tangential force (ε = 0.4) | 0.99283 |
| Radial force (ε = 0.2) | 0.90758 |
| Radial force (ε = 0.4) | 0.93622 |
| Static direct stiffness (ε = 0.2) | 0.90758 |
| Static direct stiffness (ε = 0.4) | 0.93622 |
| Static cross-coupled stiffness (ε = 0.2) | 0.99456 |
| Static cross-coupled stiffness (ε = 0.4) | 0.99283 |
| Radial Force /N | Tangential Force/N | Direct Static Stiffness/(kN/m) | Static Cross-Coupled Stiffness/(kN/m) | |
|---|---|---|---|---|
| Cr 1 | −0.459181 | 0.329229 | −11.479525 | 8.230725 |
| Cr 2 | −0.224998 | 0.148152 | −5.62495 | 3.7038 |
| Cr 3 | −0.17425 | 0.0642 | −4.35625 | 1.605 |
| Cr 4 | −0.436585 | 0.0224656 | −10.914625 | 0.56164 |
| Cr 5 | −0.688694 | 0.0016013 | −17.21735 | 0.0400325 |
| H 1 | −0.13154 | 0.195965 | −3.2885 | 4.899125 |
| H 2 | −0.124371 | 0.149611 | −3.109275 | 3.740275 |
| H 3 | −0.224998 | 0.148152 | −5.62495 | 3.7038 |
| H 4 | −0.0978392 | 0.144655 | −2.44598 | 3.616375 |
| H 5 | 0.220316 | 0.196171 | 5.5079 | 4.904275 |
| L/D 1 | 1.39838 | 0.0114552 | 34.9595 | 0.28638 |
| L/D 2 | −0.643355 | −0.02715 | −16.083875 | −0.67886 |
| L/D 3 | −0.224998 | 0.148152 | −5.62495 | 3.7038 |
| L/D 4 | −1.43606 | 0.568001 | −35.9015 | 14.200025 |
| L/D 5 | −1.71741 | 0.856437 | −42.93525 | 21.410925 |
| Radial Force /N | Tangential Force/N | Direct Static Stiffness/(kN/m) | Static Cross-Coupled Stiffness/(kN/m) | |
|---|---|---|---|---|
| Cr 1 | −1.03884 | 0.81722 | −12.9855 | 10.21525 |
| Cr 2 | −0.75465 | 0.454487 | −9.433125 | 5.6810875 |
| Cr 3 | −0.841957 | 0.236128 | −10.5244625 | 2.9516 |
| Cr 4 | −1.07262 | 0.132485 | −13.40775 | 1.6560625 |
| Cr 5 | −1.29923 | 0.0840058 | −16.240375 | 1.0500725 |
| H 1 | −0.922693 | 0.561549 | −11.5336625 | 7.0193625 |
| H 2 | −0.696996 | 0.481928 | −8.71245 | 6.0241 |
| H 3 | −0.75465 | 0.454487 | −9.433125 | 5.6810875 |
| H 4 | −0.373299 | 0.494168 | −4.6662375 | 6.1771 |
| H 5 | 0.270417 | 0.493469 | 3.3802125 | 6.1683625 |
| L/D 1 | 2.75743 | 0.0494498 | 34.467875 | 0.6181225 |
| L/D 2 | −1.00407 | 0.17954 | −12.550875 | 2.24425 |
| L/D 3 | −0.75465 | 0.454487 | −9.433125 | 5.6810875 |
| L/D 4 | −2.90738 | 1.31922 | −36.34225 | 16.49025 |
| L/D 5 | −3.31371 | 1.91213 | −41.421375 | 23.901625 |
Disclaimer/Publisher’s Note: The statements, opinions and data contained in all publications are solely those of the individual author(s) and contributor(s) and not of MDPI and/or the editor(s). MDPI and/or the editor(s) disclaim responsibility for any injury to people or property resulting from any ideas, methods, instructions or products referred to in the content. |
© 2024 by the authors. Licensee MDPI, Basel, Switzerland. This article is an open access article distributed under the terms and conditions of the Creative Commons Attribution (CC BY) license (https://creativecommons.org/licenses/by/4.0/).
Share and Cite
Yao, M.; Zhang, W.; Zhao, Q.; Gu, Q.; Zhang, L.; Yin, J. Sensitivity Analysis of Scallop Damper Seal Design Parameters for Leakage and Static Performance. Aerospace 2024, 11, 1052. https://doi.org/10.3390/aerospace11121052
Yao M, Zhang W, Zhao Q, Gu Q, Zhang L, Yin J. Sensitivity Analysis of Scallop Damper Seal Design Parameters for Leakage and Static Performance. Aerospace. 2024; 11(12):1052. https://doi.org/10.3390/aerospace11121052
Chicago/Turabian StyleYao, Minglong, Wanfu Zhang, Qianqian Zhao, Qianlei Gu, Liyun Zhang, and Jianing Yin. 2024. "Sensitivity Analysis of Scallop Damper Seal Design Parameters for Leakage and Static Performance" Aerospace 11, no. 12: 1052. https://doi.org/10.3390/aerospace11121052
APA StyleYao, M., Zhang, W., Zhao, Q., Gu, Q., Zhang, L., & Yin, J. (2024). Sensitivity Analysis of Scallop Damper Seal Design Parameters for Leakage and Static Performance. Aerospace, 11(12), 1052. https://doi.org/10.3390/aerospace11121052
