Stability and Control During Vertical Take-Off and Landing: The Impact of Aerodynamics
Abstract
1. Introduction
2. The 10DoF VTVL Dynamics Model
2.1. Reference Frames
2.2. Equations of Motion
2.2.1. Gravitational Force
2.2.2. Aerodynamic Force and Moment
2.2.3. Thrust and RCS Forces and Moments
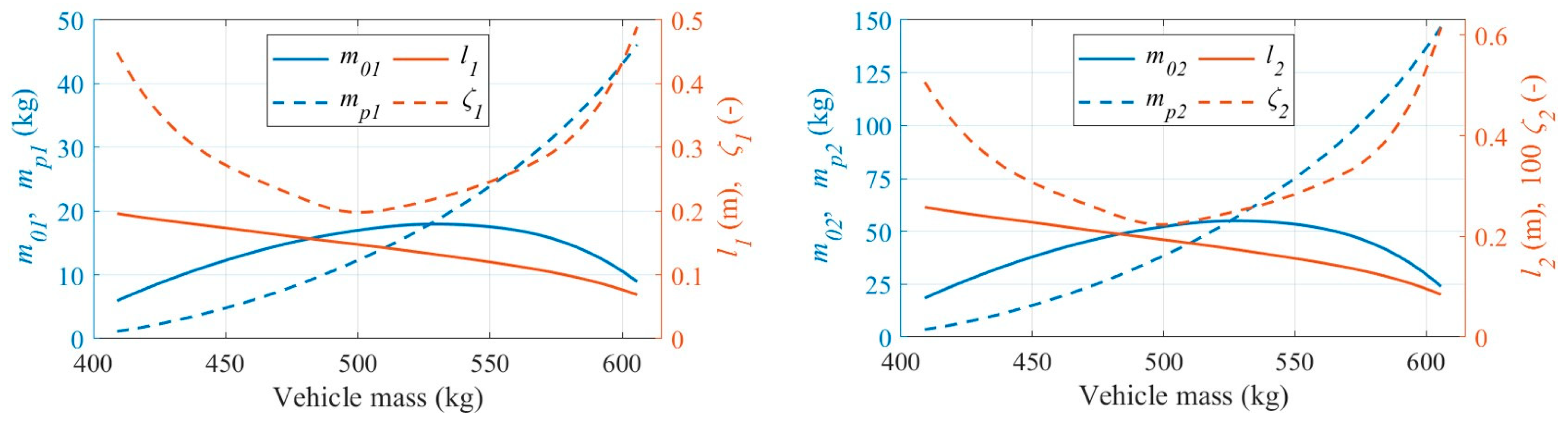
2.2.4. Sloshing Force and Moment
3. Control System Design
3.1. Linearized Plant Model
3.1.1. Linearization of Rigid Body Equations
3.1.2. Linearization of Sloshing Equations
3.1.3. Linearization of Aerodynamic Force and Moment
3.1.4. Complete Linearized Model
3.2. Sloshing Filter
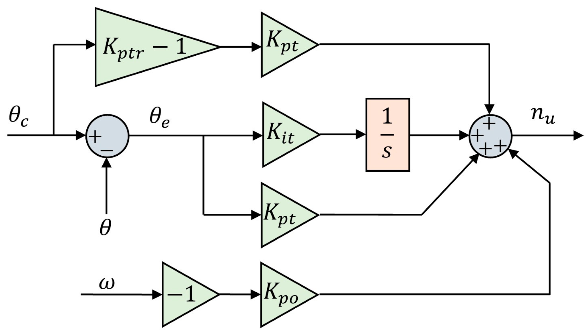
3.3. Structured H-Infinity Control Design
- Tracking. This requirement was imposed on the transfer between the reference position and the position error by selecting a bandwidth and limiting the gain of the transfer across the frequency domain by .
- Disturbance rejection. A maximum error of and a rejection time was imposed on the transfer between the disturbances and and the tracking error . Thus, a maximum gain of was imposed on both transfer functions, where the bandwidth can be approximated as . The maximum values for disturbance force and torque were taken as 200 N and 100 Nm, respectively, corresponding to a gust of ~14 m/s.
- Position overshoot. A maximum gain of 1.2 was imposed on the transfer between reference position and the realized position .
- Actuation limitation. A maximum gain of 0.5 was imposed on the transfers between the reference position and velocity, and , and the TVC lateral load factor .
- Stability margins. The stability margins were imposed at the TVC input , with a minimum of 5 dB for all frequencies. A 20 deg phase margin was imposed for low frequencies () and 40 deg for high frequencies.
- Maximum bandwidth. The bandwidth of the transfer between the reference pitch angle and the realized pitch angle was limited to . Thus, the maximum imposed gain of the transfer function was .
- Tracking. A minimum tracking bandwidth of was imposed to the transfer between the reference pitch angle and the pitch error . Thus, the gain of the transfer function was limited by .
3.4. Sliding Mode Control Design
4. Results and Discussion
4.1. Linear Frequency Domain Analyses
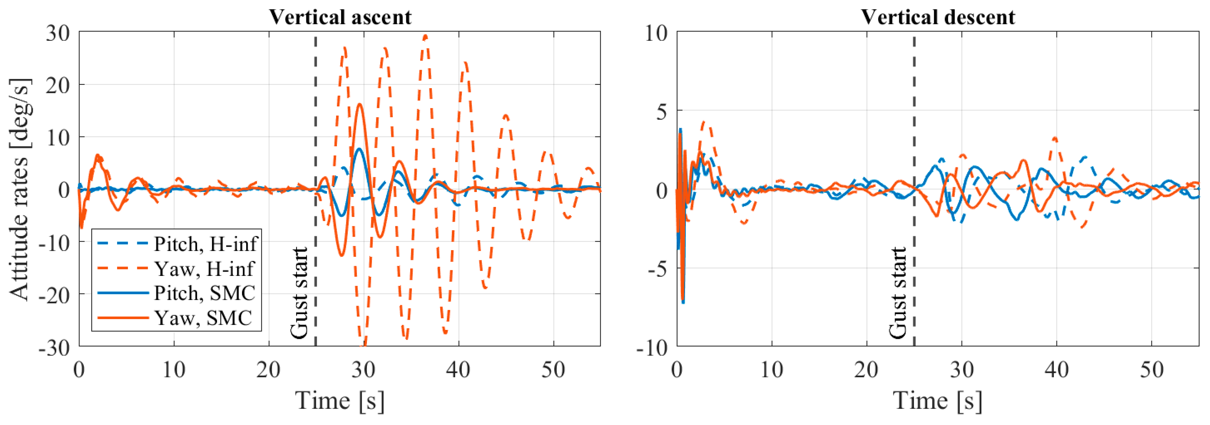
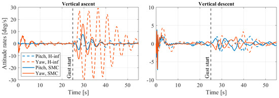
4.2. Nonlinear Time Domain Analyses
5. Conclusions
Author Contributions
Funding
Data Availability Statement
Acknowledgments
Conflicts of Interest
Correction Statement
References
- Blackmore, L. Autonomous Precision Landing of Space Rockets. In Frontiers of Engineering: Reports on Leading-Edge Engineering from the 2016 Symposium; The Bridge: Washington, DC, USA, 2016; Volume 4, pp. 15–20. [Google Scholar]
- Frampton, R.; Oittinen, K.; Ball, J.M.; Khodadoust, A.; Kirshman, D.; Grayson, G.; Sundaram, P.; Goff, J.; Masten, D. Planetary Lander Dynamic Model for GN&C. In Proceedings of the AIAA SPACE Conference & Exposition, Pasadena, CA, USA, 14–17 September 2009. [Google Scholar] [CrossRef]
- Vila, J.; Hassin, J. Technology Acceleration Process for the THEMIS Low Cost and Reusable Prototype. In Proceedings of the 8th European Conference for Aeronautics and Space Sciences, Madrid, Spain, 1–4 July 2019. [Google Scholar] [CrossRef]
- Frenoy, O.; Hiraiwa, T. Concept of Operations—CALLISTO Demonstrator. In Proceedings of the 8th European Conference for Aeronautics and Space Sciences, Madrid, Spain, 1–4 July 2019. [Google Scholar] [CrossRef]
- Gallego, P. Miura 5 The European and Reusable Microlauncher for CubeSats and Small Satellites. In Proceedings of the Small Satellites Conference, Logan, UT, USA, 1–6 August 2020. [Google Scholar]
- Dumke, M.; Sagliano, M.; Saranrittichai, P.; Trigo, G.F.; Theil, S. EAGLE—Environment for Autonomous GNC Landing Experiments. In Proceedings of the 10th International ESA Conference on Guidance, Navigation & Control Systems, Salzburg, Austria, 29 May–2 June 2017. [Google Scholar]
- Neculaescu, A.M.; Marin, A.; Toader, A.; Cișmilianu, A.M.; Tudose, M.; Munteanu, C.E.; Popescu, I.; Strauch, H.; Dussy, S. System Identification and Testing for a VTVL vehicle. In Proceedings of the 8th European Conference for Aeronautics and Space Sciences, Madrid, Spain, 1–4 July 2019. [Google Scholar] [CrossRef]
- Afilipoae, T.P.; Neculaescu, A.M.; Simplicio, P.; Bennani, S.; Strauch, H. Control Strategies Comparison and Performance Evaluation for a Reusable VTVL Platform Based on a Rocket Engine. In Proceedings of the 9th European Conference for Aeronautics and Space Sciences, Lille, France, 3–8 July 2022. [Google Scholar] [CrossRef]
- Champalou, F.; Tchoukien, D. The 5th element: Modular Ground Support Equipment to New PERSEUS Bi-liquid Launcher. In Proceedings of the 9th European Conference for Aeronautics and Space Sciences, Lille, France, 3–8 July 2022. [Google Scholar] [CrossRef]
- Afilipoae, T.P.; Simplicio, P.; Bennani, S.; Strauch, H. A Study on the Lateral Stability of a Reusable VTVL in the Presence of Aerodynamic Disturbance. In Proceedings of the 21st International Conference of Numerical Analysis and Applied Mathematics, Heraklion, Greece, 11–17 September 2023. [Google Scholar]
- Elke, W.J.; Pei, J.; Caverly, R.J.; Gebre-Egziabher, D. A Low-Cost and Low-Risk Testbed for Control Design of Launch Vehicles and Landing Systems. In Proceedings of the 2021 IEEE Aerospace Conference, Big Sky, MT, USA, 6–13 March 2021. [Google Scholar] [CrossRef]
- Sagliano, M.; Tsukamoto, T.; Ishimoto, S.; Fari, S.; Dumont, E.; Seelbinder, D.; Schlotterer, M.; Heidecker, A.; Maces-Hernandez, J.A.; Woicke, S. Robust Control for Reusable Rockets via Structured H∞ Synthesis. In Proceedings of the 11th International ESA Conference on Guidance, Navigation & Control Systems, Online, 22–25 June 2021. [Google Scholar]
- Sagliano, M.; Farì, S.; Hernandéz, J.M.; Heidecker, A.; Garrido, J.; Winter, M.; Seelbinder, D.; Schlotterer, M.; Woicke, S.; Dumont, E. Structured Robust Control for the Aerodynamic Steering of Reusable Rockets. In Proceedings of the 10th IFAC Symposium on Robust Control Design ROCOND 2022, Kyoto, Japan, 30 August–2 September 2022; Volume 55, pp. 31–36. [Google Scholar] [CrossRef]
- Afilipoae, T.P.; Helber, B.; Onel, A.I.; Bunescu, I.; Hothazie, M.V. Towards Development of a New Destructive Re-entry Tool. In Proceedings of the 21st International Conference of Numerical Analysis and Applied Mathematics, Heraklion, Greece, 11–17 September 2023. [Google Scholar]
- Onel, A.I.; Chelaru, T.V. Trajectory Assessment and Optimisation in the Context of Small Launcher Design. INCAS Bull. 2020, 12, 117–132. [Google Scholar] [CrossRef]
- Onel, A.I.; Chelaru, T.V. Parametric Analysis of a Two-Stage Small Launcher Using a MDO Approach. INCAS Bull. 2022, 14, 79–96. [Google Scholar] [CrossRef]
- Onel, A.I.; Chelaru, T.V. Aerodynamic Assessment of Axisymmetric Launchers in the Context of Multidisciplinary Optimisation. INCAS Bull. 2020, 12, 135–144. [Google Scholar] [CrossRef]
- Dodge, F.T. The New “Dynamic Behavior of Liquids in Moving Containers”; Southwest Research Institute: San Antonio, TX, USA, 2000. [Google Scholar]
- Nan, M.; Junfeng, L.; Tianshu, W. Large-Amplitude Sloshing Analysis and Equivalent Mechanical Modelling in Spherical Tanks of Spacecraft. J. Spacecr. Rocket. 2016, 53, 500–506. [Google Scholar] [CrossRef]
- Ganet-Schoeller, M.; Desmariaux, J. Structured H∞ Synthesis for Flexible Launcher Control. In Proceedings of the 20th IFAC Symposium on Automatic Control in AerospaceACA 2016, Sherbrooke, QC, Canada, 21–25 August 2016. [Google Scholar] [CrossRef]
- Navarro-Tapia, D.; Marcos, A.; Bennani, S.; Roux, C. Structured H-Infinity and Linear Parameter Varying Control Design for the VEGA Launch Vehicle. In Proceedings of the 7th European Conference for Aeronautics and Space Sciences, Milan, Italy, 3–6 July 2017. [Google Scholar] [CrossRef]
- Apkarian, P.; Dao, M.; Noll, D. Parametric Robust Structured Control Design. IEEE Trans. Autom. Control 2015, 60, 1857–1869. [Google Scholar] [CrossRef]
- Slotine, J.J.; Li, W. Applied Nonlinear Control; Prentice-Hall: Englewood, NJ, USA, 1991. [Google Scholar]
- Slotine, J.J.; Sastry, S.S. Tracking Control of Non-Linear Systems Using Sliding Surfaces, with Application to Robot Manipulators. Int. J. Control 1983, 38, 465–492. [Google Scholar] [CrossRef]
- Slotine, J.J. Sliding Controller Design for Non-Linear Systems. Int. J. Control 1984, 40, 421–434. [Google Scholar] [CrossRef]
- Slotine, J.J. The Robust Control of Robot Manipulators. Int. J. Robot. Res. 1985, 4, 49–64. [Google Scholar] [CrossRef]
- Leahy, F.B. Discrete Gust Model for Launch Vehicle Assessments. In Proceedings of the 13th Conference on Aviation, Range and Aerospace Meteorology/American Meteorology Society, New Orleans, LA, USA, 20–24 January 2008. [Google Scholar]
- Simplicio, P.; Marcos, A.; Bennani, S. Launcher Flight Control Design Using Robust Wind Disturbance Observation. Acta Astronaut. 2021, 186, 303–318. [Google Scholar] [CrossRef]
















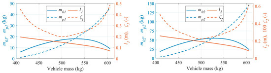
| Parameter | Name | Nominal Value | Uncertainty | Parameter | Name | Nominal Value | Uncertainty |
|---|---|---|---|---|---|---|---|
| Dry mass | 380 kg | 5% | 1st TVC damping | 0.84 | 0.8–0.87 | ||
| Dry inertia | 257 kgm2 | 10% | 2nd TVC damping | 0.33 | 0.3–0.37 | ||
| TVC lever arm | 0.68 m | ±3 cm | Airspeed | 20 m/s | N/A | ||
| Fuel tank position | 0.44 m | ±3 cm | Normal force derivative | 0.0 | −5.7–3.8 | ||
| Oxidizer tank position | −0.18 m | ±3 cm | Pitch moment derivative | 0.79 | 0.06–0.79 | ||
| TVC gain | 1.0 | 5% | Axial force coefficient | 0.0 | −0.76–3.13 | ||
| 1st TVC frequency | 43.3 rad/s | 39.5–50.2 | Thrust | from OP | 10% | ||
| 2nd TVC frequency | 57.7 rad/s | 54.9–61.2 | Sloshing parameters | from OP | variable |
Disclaimer/Publisher’s Note: The statements, opinions and data contained in all publications are solely those of the individual author(s) and contributor(s) and not of MDPI and/or the editor(s). MDPI and/or the editor(s) disclaim responsibility for any injury to people or property resulting from any ideas, methods, instructions or products referred to in the content. |
© 2024 by the authors. Licensee MDPI, Basel, Switzerland. This article is an open access article distributed under the terms and conditions of the Creative Commons Attribution (CC BY) license (https://creativecommons.org/licenses/by/4.0/).
Share and Cite
Afilipoae, T.-P.; Simplicio, P.; Bennani, S.; Strauch, H. Stability and Control During Vertical Take-Off and Landing: The Impact of Aerodynamics. Aerospace 2024, 11, 1021. https://doi.org/10.3390/aerospace11121021
Afilipoae T-P, Simplicio P, Bennani S, Strauch H. Stability and Control During Vertical Take-Off and Landing: The Impact of Aerodynamics. Aerospace. 2024; 11(12):1021. https://doi.org/10.3390/aerospace11121021
Chicago/Turabian StyleAfilipoae, Tudorel-Petronel, Pedro Simplicio, Samir Bennani, and Hans Strauch. 2024. "Stability and Control During Vertical Take-Off and Landing: The Impact of Aerodynamics" Aerospace 11, no. 12: 1021. https://doi.org/10.3390/aerospace11121021
APA StyleAfilipoae, T.-P., Simplicio, P., Bennani, S., & Strauch, H. (2024). Stability and Control During Vertical Take-Off and Landing: The Impact of Aerodynamics. Aerospace, 11(12), 1021. https://doi.org/10.3390/aerospace11121021

