Next Article in Journal
A Reformulated-Vortex-Particle-Method-Based Aerodynamic Multi-Objective Design Optimization Strategy for Proprotor in Hover and High-Altitude Cruise
Previous Article in Journal
A Physics- and Data-Driven Study on the Ground Effect on the Propulsive Performance of Tandem Flapping Wings
 
 
Font Type:
Arial Georgia Verdana
Font Size:
Aa Aa Aa
Line Spacing:
Column Width:
Background:
Article

Numerical and Experimental Simulation of Supersonic Gas Outflow into a Low-Density Medium

1
Khristianovich Institute of Theoretical and Applied Mechanics SB RAS, Novosibirsk 630090, Russia
2
Department of Physics, Novosibirsk State University, Novosibirsk 630090, Russia
*
Authors to whom correspondence should be addressed.
Aerospace 2024, 11(11), 905; https://doi.org/10.3390/aerospace11110905
Submission received: 3 September 2024 / Revised: 15 October 2024 / Accepted: 28 October 2024 / Published: 4 November 2024
(This article belongs to the Section Aeronautics)

Abstract

This study is aimed at developing methods for the experimental and numerical simulation of the outflow of underexpanded gas jets into a rarefied medium. The numerical method is based on using Navier–Stokes equations in the continuum flow regime and the direct simulation Monte Carlo method in the transitional flow regime. The experimental method includes the modeling of jet flows in the LEMPUS-2 gas-dynamic setup with electron beam diagnostics for the jet density measurements. The results of the experimental modeling for the nozzles of various diameters confirm that a key parameter determining the jet structure is the Reynolds number based on the characteristic length ReL. The results of the numerical simulations agree well with the experimental data both for the maximum values of the ReL considered (approximately 30) when a barrel jet structure with Mach disks is formed and for the minimum values (approximately 4) when no Mach disks are formed. In the entire range of parameters, significant thermal nonequilibrium is observed at all jet segments where the measurements are performed.

1. Introduction

The development of a new generation of spacecraft, planning Lunar and Martian missions, and creating new orbital stations, as well as micro- and nanosatellites, requires the ground-based experimental modeling of gas jets exhausting into a rarefied medium [1,2,3]. Such jets are typical for thrusters used for spacecraft orbit correction, attitude control and maneuvering, and also the landing of small vehicles on planets with a rarefied atmosphere. Such preliminary studies can be used to determine the structure of jets generated by the propulsion system at various gas flow rates and ambient conditions, and also to identify the influence of the gas jets on the spacecraft’s own ambient atmosphere, as well as their interaction with the sensitive surfaces of the vehicle, leading to their contamination. These effects are critical, in particular, during spacecraft operation on the orbit. Significant recent progress in the field of computational technologies resulted in the enhancement of the role of numerical simulations in studying such flows, which reduces the material expenses of preliminary experimental tests in ground-based facilities. However, computer codes used in numerical simulations require detailed validation through comparisons of the results obtained with available experimental data.
Gas outflow into a strongly rarefied medium is characterized by high Reynolds numbers at the nozzle exit Re*, extremely high nozzle pressure ratios n = Pa/P (Pa is the gas pressure at the nozzle exit and P is the pressure in the rarefied ambient atmosphere surrounding the jet), and low Reynolds numbers based on the characteristic length of the flow [4].
Re L = Re * P 0 / P
where P0 is the stagnation pressure. Creating such conditions in ground-based facilities requires high velocities of gas evacuation into a high-vacuum chamber and diagnostic tools providing measurements of gas-dynamic, energetic, physical, and chemical parameters of the flow at low densities and high-density gradients, which is typical of gas expansion into a rarefied medium. The reproduction of the operation conditions of full-scale thrusters under laboratory conditions is an extremely expensive task. Flight experiments under real orbital conditions are even more complicated and expensive.
Owing to the problems described above, experimental modeling often includes methods of scaling real objects with the use of available similarity parameters. In particular, it was shown [3,5] that integral similarity parameters for gas outflow into a vacuum or a rarefied medium can be the normalized momentum of the gas flow at the nozzle exit
J ¯ = 1 + 1 γ M a 2 1 + 2 γ 1 1 M a 2 0.5 ,
where γ is the specific heat ratio and Ma is the Mach number at the nozzle exit. The characteristic angle of jet expansion is
θ + = arctan 1 J ¯ J ¯ .
Another integral parameter is [6]
N F = P 0 P d * d a 2 ,
where N is the ratio of the stagnation pressure to the ambient pressure, F is the degree of nozzle expansion in terms of the area, and d* and da are the nozzle throat and nozzle exit diameters. The equality of these three dimensionless parameters for the full-scale and model jets ensures the complete similarity of the distributions of the physical parameters behind the nozzle in the absence of condensation and high-temperature real gas effects. In particular, the use of the similarity theory allows one to apply small-size vacuum setups for the experimental modeling of the jets of real thrusters. It should be noted that the process of gas condensation, which is of minor significance under real conditions, can produce an appreciable effect on the jet parameters in ground-based experiments, which makes the modeling process much more complicated [7]. One of the possible solutions for this problem is the coupling of experimental and numerical tools, where all physical and chemical processes are taken into account in the numerical approach, which serves as an agent for correlating experimental and in-flight conditions.
The present study is aimed at the development of methods of the numerical and experimental modeling of jet flows into rarefied media. A detailed description and the results of the cross-verification of numerical and experimental approaches through the comparisons of the results obtained with each other and with available published data are presented for various parameters of the nitrogen outflow from the sonic nozzle (d* = da) at low pressures of the background gas. The main emphasis of the study is on examining thermal nonequilibrium effects and the investigation of the impact of problem parameters, particularly the ReL on the flow structure. Numerical simulations are performed by a hybrid continuum–kinetic approach with the use of the ANSYS Fluent and SMILE [8] codes, while laboratory experiments are performed in the modern gas-dynamic setup LEMPUS-2 [9].
The paper is structured in the following way: the numerical and experimental methods are described in the Section 2; the results of the experimental and numerical simulations of underexpanded nitrogen jets exhausting from a sonic nozzle into a rarefied medium are reported and discussed in the Section 3, where the cross-verification of the methods is also performed; finally, the results are summarized and possible future research directions are discussed in Section 4.

2. Materials and Methods

During gas expansion into a rarefied medium, its density monotonically decreases, which gives rise to the mean free path of gas molecules λ determining the Knudsen number Kn
Kn = λ L ,
where L is the characteristic length of the flow. As the distance from the nozzle increases, the flow transforms from the continuum (Kn ≪ 1) through the transitional (Kn~1) to free-molecular regime (Kn ≫ 1). It is well known (see, e.g., [10]) that the continuum approach can be applied to describe gas flows only at sufficiently low Knudsen numbers; therefore, in the transitional and free-molecular regimes, one has to use the kinetic approach based on solving the Boltzmann equation. A conventional numerical method of solving the Boltzmann equation is the direct simulation Monte Carlo (DSMC) method [10]. It should be noted that the DSMC method, similar to other methods used to solve the Boltzmann equation, is extremely computationally expensive if it is applied in the continuum flow regime.
The above-mentioned specific features of the flow necessitate the use of both the continuum approach based on solving the Navier–Stokes equations for the nozzle flow and the near field of the jet and the kinetic approach based on the DSMC method for the flow in the far field of the jet. Wadsworth and Erwin [11] were among the first researchers who implemented such a hybrid approach in the numerical simulations of gas exhaustion through a slit. The hybrid approach was used for the first time for modeling the exhaustion of an argon jet through a nozzle into a rarefied medium by Ivanov et al. [12]. Two variants of the hybrid approach exist. In the first one (two-way coupling), the information is transferred between two subdomains (continuum and rarefied) in the process of an iterative numerical solution; first, the solution in the continuum subdomain serves as a boundary condition for obtaining the DSMC solution, and then vice versa [13,14]. In the second variant (one-way coupling), the information is transferred only from the continuum to a rarefied subdomain (the boundary conditions for solving the problem by the DSMC method are taken from the continuum solution) [15,16]. An advantage of the two-way coupling variant is its reliability, but computations by this approach are less effective, and the convergence of the iterative process to a unique solution is not guaranteed. The one-way coupling ensures more effective computations, but it can be used only in situations where the flow in the rarefied subdomain does not affect the flow in the continuum subdomain significantly [17]. The supersonic outflow into a low-density medium is exactly the case where it can be applied. The one-way coupling hybrid approach has been employed in the present work for the numerical simulations of a steady axisymmetric jet of a non-condensed gas (in the present study, nitrogen with comparatively low values of the parameters P0 and d*) exhausting through a sonic nozzle into a rarefied medium.
The axisymmetric Navier–Stokes equations were solved on the structured curvilinear grid within the framework of the ANSYS Fluent commercial software (version 17.2). We used the equation of the state for an ideal gas and the power law of the gas viscosity μ as a function of the temperature T [10]
μ = μ 0 T T 0 ω ,
where μ0 and T0 are the gas viscosity and temperature under reference conditions (for nitrogen, 16.56 µPa·s and 273.15 K, respectively) and ω = 0.74.
A schematic of a typical computational domain is presented in Figure 1. Solid walls (black lines) were subjected to the no-slip isothermal conditions with a temperature of 300 K. The conditions at the subsonic inlet boundary (red line) were the stagnation parameters T0 and P0, while the background gas parameters T and P were set at the outlet boundary (blue lines).
Simulations in the transitional and free-molecular flow regimes were performed with the SMILE software system [8] (version 397) based on the majorant frequency scheme [18] of the DSMC method. This is a carefully validated code used for various applications, including the high-altitude aerothermodynamics of re-entry capsules in the Earth and Mars atmospheres [19,20,21,22], jet flows [23], shock and detonation waves at micro- and macroscales [24,25,26,27,28,29], etc. A two-level rectilinear adaptive grid is used in the software. The first level uniform square grid was used for macroparameter sampling in the present work. Each first-level cell is automatically divided in the course of the simulation into second-level collisional cells (uniformly along each direction), depending on the density gradient and local mean free path [30]. Elastic collisions were described by the variable-hard-sphere (VHS) model [1]. The Larsen–Borgnakke model [31] with temperature-dependent collision numbers was applied for modeling the inelastic collisions with energy exchange between the translational and rotational modes. The diffuse interaction with complete energy accommodation between the gas molecules and the wall temperature was 300 K.
The state-based one-way coupling scheme was used in the numerical simulation. The inflow boundary of the DSMC domain (a continuum–DSMC interface) consists of two straight lines: one horizontal (located at a distance of 1–1.5 d* from the axis depending on the case) and one vertical (located at a distance of 2.4–3 d* downstream of the nozzle exit). The interface is located in the region of the continuum flow (green lines in Figure 1) with the Mach number in the direction normal to the boundary well above unity (except for the small part of the horizontal line near the wall), so that the information from the DSMC domain does not propagate to the continuum flow upstream. The position of this continuum–DSMC interface was determined on the basis of the breakdown parameter P. It was shown [32] that the following condition has to be satisfied for two-dimensional axisymmetric flows within the framework of the continuum model:
P = π 2 v 2 R sp T λ n n 0.05 ,
where υ is the flow velocity, n is the number density of the gas, and Rsp is the specific gas constant. The conditions at the outlet boundary of the DSMC domain were based on the equilibrium distribution of incoming molecules based on the background gas parameters T and P and zero gas velocity. Only the part of the continuum solution upstream of the interface was used in the final hybrid continuum–DSMC solution.
The present numerical simulations included the following stages:
  • The computation of the entire domain of jet exhaustion with the continuum approach (solving the axisymmetric Navier–Stokes equations);
  • The determination of the continuum–DSMC interface position based on the breakdown parameter;
  • Setting the boundary conditions for the DSMC simulations based on the solution of the Navier–Stokes equations;
  • The axisymmetric computation of the flow in the DSMC domain with a radial weighting scheme (see, e.g., [8]);
  • The comparison of the solutions obtained in the transitional region for verification that the interface position was chosen correctly.
Numerous experimental diagnostic methods are available for studying gas expansion into a space with an atmospheric or higher pressure (schlieren methods, total pressure probe, strain-gauge anemometry, particle image velocimetry (PIV), laser Doppler anemometry (LDA), Raman scattering spectra (RSS), laser-induced fluorescence (LIF), coherent anti-Stokes Raman scattering (CARS), etc.). However, measurements in the case of expansion into a vacuum or a strongly rarefied medium are difficult because of the low density of the particles and the high gradient in the downstream direction. Moreover, conditions of non-invasive measurements in experiments with such flows are more severe. According to [33], the necessary criteria are satisfied by a diagnostic technique based on detecting the induced radiation of flow particles. Modern laser methods can hardly be used for radiation initiation because of the low density of rarefied gas flows, the discrete character of energy, and the small areas of the cross-sections of the interaction between photons and flow particles. It turns out that the most successful option is to use the electron beam diagnostics (EBD) proposed in the first half of the last century [34,35], which is still effectively used today [36,37].
When a well-focused electron beam is driven through a neutral gas flow, a molecule with an initial electron state E0 can be excited to a state E’ in an inelastic collision with a high-energy electron [34]. The subsequent emission of a photon by the excited molecule converts it to an even lower state E”. The analysis of photon emission (fluorescence) allows one to determine many properties of the initial state E0 by assuming that the free path of the excitation process is known.
Based on a detailed analysis of the recorded spectra, methods of determining various parameters of gas flows were developed [33]. As the characteristic vibrational temperature of the majority of popular gases is significantly higher than room temperature, the intensity of the emission of the vibrational band in a freely expanding gas flow characterizes the density of the emitting particles. According to [33], the radiation intensity of flow particles excited by the electron beam I is correlated with the number density of the emission centers n as
I = C h c ν jk A jk n j ,
where nj is the population of particles in the upper excited state, c is the speed of light, C is the instrument constant, h is Planck’s constant, and Ajk and νjk are the probability and frequency of the spontaneous transition. In turn, the population of the upper excited state nj is determined as
n j = i n σ 0 j ,
where i is the electron beam current, σ0j is the cross-section of the excitation of the upper state, and n is the particle number density. By uniting all constants in Equations (8) and (9) into a constant B, the intensity I of optical radiation excited by the electron beam can be presented in the form
I = B 0 n i 0 .
The radiation spectra of monatomic gases consist of a large number of lines corresponding to transitions between various electron energy states. The spectra for polyatomic gases are more complicated because of the additional possibilities of energy transfer to rotational and vibrational levels. In such situations, transitions between different electron states yield spectra consisting of many vibrational bands, each possessing a fine rotational structure.
There are recommendations on registering the particle radiation intensity [33], which should be undoubtedly used in laboratory measurements of the number density in rarefied flows.
  • The process of radiation excitation should be sufficiently fast; otherwise, fluorescence will occur outside the initiation region, further downstream.
  • The gas should be sufficiently dilute so that the time of molecule residence in the excited state is substantially smaller than the time between molecular collisions in the flow.
  • The radiation process should be straightforward, i.e., it should be a result of the primary interaction between the electron beam and the neutral molecule of the flow.
  • In working with molecular gases, it is necessary to register all sub-bands of the system: as the particle temperature increases, the spectrum of rotational lines of the chosen vibrational band increases, and the probability of overlapping with other transitions becomes higher.
Based on the data [38], the most convenient band for density measurements in the nitrogen flow is the band (0–0), corresponding to a series of transitions of the N2+ ion B2Σu+ → X2Σg+ in the wavelength range of 391.4 ± 3 nm, with the mean lifetime of excited particles τ = 65.8 ± 3.5 ns.
The radiation intensity of the residual gas in the background space is described by a dependence similar to Equation (10):
I = B n i ,
where B is a constant for the background gas consisting of particles of the same type, n is the particle density in the background space, and i is the electron beam current in the case of the excitation of the background space particles. Thus, for determining the density, one can use the formula
n = B B I I i i 0 ρ .
From the equation of the state for an ideal gas, we have
n 0 = P 0 k T 0 ,   n = P k T ,
where P0 and P are the gas pressures before gas expansion (in the nozzle pre-chamber) and in the ambient space, T0 and T are the gas temperatures before gas expansion and in the background space, and k is the Boltzmann constant. Thus, we have
n n 0 = B B 0 I I P P 0 T 0 T i i 0 .
According to Equations (8) and (9), B0 and B are constants. In view of the fact that the background space contains the gas of the same kind as that in the flow in laboratory investigations in setups with a high-vacuum evacuation system and a negligibly small gas inflow from the atmosphere, the differences between the gases can be only manifested as temperature corrections. In the first approximation, due to considering the relative quantity n⁄n0, one can adopt the ratio B/B0~1 and eliminate it from the final dependence (14).
When a high-density flow is formed, it may happen that the lifetime of the excited molecule is greater than the time between the particle collisions in the flow, resulting in the collision-induced quenching of fluorescence, which distorts the recorded data. The reduction in the recorded signal induced by fluorescence quenching is described by the Stern–Volmer equation [39] as follows:
I I 0 = 1 1 + n τ K q ,
where I is the measured signal, I0 is the signal in the absence of quenching, τ is the lifetime of the excited particle, and Kq is the quenching constant. The value of the quenching constant in the nitrogen jet can be taken to be Kq = 2.8·10–10 cm3/s [40]. Registering all of the parameters of the right-hand side of Equation (14) and introducing appropriate corrections for the collision-induced quenching of fluorescence (15), we obtain the sought experimental profile of the density of the flow under study.
Experimental data were obtained in the LEMPUS-2 gas-dynamic laboratory setup [9] located at the Novosibirsk State University (see the schematic image in Figure 2). The nitrogen jet escapes from the pre-chamber located on a coordinate mechanism through a sonic nozzle (with the diameter d* = 0.51 or 1.12 mm) into an expansion chamber shaped as a horizontally aligned cylinder of 0.7 m in diameter and 1.25 m long. To initiate the radiation of the particles of a “cold” gas flow (250–350 K), the setup is equipped by a source of high-energy electrons (the energy of the electrons is about 10 keV) forming a focused beam intersecting the gas jet. The electron current is controlled both at the source exit and at the collector located in the opposite part of the vacuum chamber. Through a quartz optical window, the initiated radiation is focused by a quartz lens to the orifice of the waveguide transporting radiation to the slot of the USB4000-UV-VIS fiber optic spectrometer (Ocean Optics, Orlando, FL, USA). The axes of the symmetric gas flow X, optical path Y, and focused electron beam Z form an orthogonal triple of vectors. Localization of spectral measurements (~1 mm3) is caused by the magnification factor of the lens, and also by the electron beam width (along the X axis), and by the size of the inlet slot of the spectrometer. The coordinate mechanism of the nozzle pre-chamber, which has three degrees of freedom, allows the measurement localization to be changed with a fixed constant velocity by moving the nozzle with respect to the motionless electron beam, which ensures the possibility of recording radiation intensity profiles with the highly accurate determination of the local coordinate.
The ambient gas pressure P in the expansion chamber was varied from 10−2 to 10−6 mbar. The values of P in the interval from 10−4 to 100 mbar were measured by an Agilent Technologies CDG-500 membrane capacitance diaphragm gauge (with the measurement error of ~0.25%); the corresponding values in the interval from 10−6 to 10−4 mbar were measured by a Granville-Phillips 356 Micro-Ion Plus indirect vacuum gauge (with the measurement error of <10–15%). The pressure in the nozzle pre-chamber P0 (stagnation pressure) was set at 0.01–10 bar and was measured by a Siemens Sitrans P7MF1564 pressure transmitted (with the measurement error of <0.3%). For the measurements of the stagnation temperature T0 and gas temperature in the background space T∞, the setup was equipped with Ketotek STC-3008 thermometers (with the measurement error of ~0.1%) mounted at the nozzle pre-chamber and at the setup wall, respectively. A detailed description of all systems of the experimental setup can be found in [9].

3. Results

Various regimes of nitrogen outflow from a sonic nozzle were studied; the parameters of some characteristic ones are summarized in Table 1. The cases presented in the present work were selected in order to study fundamentally the different regimes of the outflow. Cases 1. X represent gas outflow into a very rarefied medium with high xm/d ratios. Active penetration of residual background gas into the jet is expected in such regimes, and no pronounced shock waves are observed in the flow structure. On the other hand, cases 2. X represent an outflow with lower xm/d ratios. Barrel shocks and a Mach disk are usually formed in such regimes (see, e.g., [5]). Figure 3 shows the density and translational temperature fields obtained in the numerical simulations of nitrogen outflow from a sonic nozzle in case 2.4 (Table 1). The flow regime under study demonstrates the formation of a barrel structure with a normal shock (Mach disk) in the rarefied flow. The computations reveal a rather blurred mixing region, which is consistent with the estimate of the Reynolds number ReL and the reduction in the density by several orders of magnitude as compared to the values in the nozzle. In analyzing the experimental data for such regimes, one has to take into account that, owing to the fixed sensitivity of the spectrometer used in the experiments, it is rather difficult to measure the density near the nozzle because of the overflow of CCD cells (with an extremely high radiation intensity), whereas the density measurement error at a considerable distance from the nozzle, where the density decreases by several orders of magnitude, is rather high. This problem can be solved by introducing fragmented measurements with different spectrometer sensitivities.
The flow regimes presented in Table 1 are characterized by the finite values of the residual gas pressure: the jet structure is determined by its interaction with the residual gas. However, in the case of gas outflow into a high vacuum (P = 0), the influence of the residual gas on the flow is eliminated, leading to the free expansion of the jet. If the velocity distribution function of the molecules is close to the equilibrium distribution, such a flow obeys the isentropic law
n n 0 = 1 + γ 1 2 M 2 1 1 γ ,   T T 0 = 1 + γ 1 2 M 2 1
where γ is the ratio of specific heats (equal to 1.4 for nitrogen) and M is the local value of the Mach number, whose distribution is presented in [41] as an empirical function of the x coordinate along the axis of the supersonic jet exhausting from the sonic nozzle
M = A x x 0 d * γ 1 1 2 γ + 1 γ 1 A x x 0 d * γ 1 1 ,
where A and x0/d* are constants depending on γ and determined by calculations or experiments (equal to 3.65 and 0.4, respectively, for nitrogen). The isentropic curve (16) with the empirical distribution (16) is used in the present study for the verification of methods of the experimental measurements and numerical simulations. The profiles of the relative density n/n0 and temperature T/T0 obtained in the numerical simulations are compared in Figure 4 with the isentropic distributiond [41] and data of [42]. This comparison demonstrates that the results predicted by the proposed numerical model agree well with the data in the near field of the jet reported in previous publications. As x/d* increases, the level of the flow nonequilibrium also increases, and the flow is no longer predicted by the isentropic theory. This effect is most clearly seen in the temperature profile (Figure 4b) at x/d* > 20; moreover, the density is insensitive to nonequilibrium effects. There is both the translational–rotational nonequilibrium (the rotational temperature is frozen and becomes higher than the translational temperature) and the nonequilibrium velocity distribution function of molecules, which, in particular, is manifested as the deviations of the streamwise (parallel) temperature profiles T/T0 from the profiles of the perpendicular temperature at x/d* > 5 (see Figure 4c). It should be noted that this translational nonequilibrium was ignored in [42], where the Navier–Stokes equations were solved, which can explain its better agreement with the isentropic theory as compared to the present numerical results obtained on the basis of a more detailed rarefied gas model, presented by the DSMC method [12].
The results of the experimental measurements of the axial profiles of the relative density n/n0 for the gas outflow regimes under study (see Table 1) are presented in Figure 5. As it is impossible to ensure an absolute vacuum in the expansion chamber (P = 0 Pa), the experimental regimes correspond to gas outflow into a space with a finite background pressure; for this reason, at a large distance from the nozzle, the density profiles reach a level of the background gas rather than decrease infinitely. In all cases with a small nozzle (Figure 5a), the density decreases monotonically; for a large nozzle (Figure 5b), the density displays a nonmonotonic behavior (except for case 2.1, with the lowest pressure), which becomes more pronounced as the pressure increases. This effect is associated with the presence of a barrel structure in the supersonic underexpanded jet (see Figure 3): the density increases in the Mach disk; it is obvious that the Mach disk profile at lower pressures is more smeared. It should be noted that regimes 1.1–1.5 are little different from regimes 2.1–2.4 in terms of the Reynolds numbers ReL; therefore, the situations with small and large nozzles are expected to be qualitatively similar, which is not the case observed.
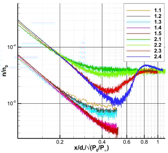
According to [41], the approximate position of the Mach disk in a supersonic underexpanded jet can be described by the formula
x m d * = k P 0 P ,
where the coefficient k for nitrogen is taken to be in the interval from 0.64 to 0.69 in various studies [1,34,43]. Figure 6 shows the density profiles for all regimes in dimensionless coordinates
x = x d * P 0 P ,
The density curves for identical Reynolds numbers ReL behave in a similar way: the Mach disk is formed at ReL > 15. The measurements in regimes 1.1–1.5 are bounded by a smaller dimensionless distance and do not reach the region of Mach disk formation, which is responsible for the qualitative difference observed for the results obtained in large and small nozzles.
Figure 7 shows the axial profiles of the temperatures for various modes in cases 1.1, 2.1, and 2.4 (Table 1) obtained in the present numerical simulations. These three cases correspond to two limiting regimes in terms of the Reynolds number ReL in the range of parameters considered in the study: the former two cases to the low Reynolds number regime (ReL < 5) and the later one to the higher Reynolds number regime (ReL of about 30). In both regimes, the temperature in the jet first decreases, which is associated with jet expansion, and then increases, which is associated with jet interaction with the residual gas (the jet impinges onto the motionless gas). Significant thermal nonequilibrium is observed in the entire range of distances from the nozzle exit considered in the study (it is the region where the experimental measurements were performed). It should be noted that the highest value is observed at the initial section of the free expansion of the jet (up to 30–50 nozzle diameters, depending on the gas outflow regime) for the rotational temperature, while the parallel temperature is higher than the perpendicular one (this corresponds to expansion into a high vacuum; see Figure 4, where the rotational temperature becomes frozen first, then the parallel temperature is frozen, whereas the perpendicular temperature continues to decrease). At the next stage of jet expansion, where the influence of the residual gas become noticeable, the temperatures increase; the highest value is observed for the parallel temperature. It should be noted that the pattern for the “denser” case 2.4 corresponds to the shock wave profile: the parallel temperature displays an overshoot, while the temperatures of the other modes are monotonic; the rotational temperature relaxes more slowly than the perpendicular translational temperature. An interesting effect is observed in the both “less dense” cases 1.1 and 2.1: the rotational and perpendicular translational temperatures relax to an identical value, which is appreciably smaller than T/T0. As a whole, this relaxation pattern resembles the relaxation pattern in the shock wave front.
Figure 8 illustrates a comparison of the axial profiles of the nitrogen density in the flow exhausting from the nozzle for the three considered cases 1.1, 2.1, and 2.4 (see Table 1) obtained by the experimental measurements and numerical simulations. For all of the regimes, the predicted and experimental results are in fairly good agreement. There are some differences in the internal structure of the Mach disk in case 2.4: the experimental profile is less steep. It should be noted that the Mach disk position in this case coincides with the above-mentioned relaxation region typical for the shock wave front in Figure 6. The maximum quantitative difference between the experimental and numerical results within 30% is observed at a distance of approximately 130 nozzle diameters from the nozzle exit, and the Mach disk position itself is accurately predicted. The observed discrepancy is probably caused by errors in the experimental measurements in the region of low densities, uncertainties in the parameters of the simulated cases, and errors related to the modeling of the translational–rotational energy transfer in the DSMC computations. Nevertheless, the agreement between the experimental and numerical data can be considered good for all three cases considered. The comparison allows one to conclude that the numerical simulation methods used in the study are successfully validated for conditions of nitrogen outflow from a sonic nozzle into a rarefied space in flow regimes without condensation.

4. Conclusions

The present paper describes numerical and experimental methods of modeling gas jet exhaustion into a rarefied medium, the cross-verification of the numerical and experimental approaches, and comparisons with available data reported in publications. The results of the study clearly show that both a simple isentropic theory and continuum numerical methods (even with allowance for translational–rotational nonequilibrium) cannot be used in the general case for modeling jet exhaustion into a vacuum or strongly rarefied media. On the other hand, the hybrid numerical approach based on solving the Navier–Stokes equations and using the DSMC method ensures a good agreement with the experimental data in the range of Reynolds numbers ReL from 4 to 30 (which is a key parameter determining the jet structure), owing to the fact that the translational–rotational nonequilibrium and the nonequilibrium velocity distribution function of molecules are taken into account, which is manifested, in particular, as a large difference in temperatures associated with the thermal motion of particles in different directions.
The good agreement between the experimental and numerical results confirms the strong prediction capability of both approaches for the description of nonequilibrium jet flows in the parameter ranges under consideration. However, the expansion of the range of parameters required to reproduce full-scale regimes of gas outflow leads to our situation of using small experimental setups to significantly increase in the total pressure, and, hence, to the more pronounced influence of condensation. Thus, the cross-verification of numerical and experimental methods in an extended range of parameters requires the implementation of condensation models in numerical simulation software and their validation, which will be a focus of further investigations.

Author Contributions

Supervision: A.Z. (Alexander Zarvin) and Y.B.; Writing—original draft: K.D. and A.Z. (Alexander Zarvin); Writing—review and editing: all authors; Formal analysis: A.Z. (Alexander Zaitsev) and L.Y.; Investigation: all authors; Visualization: K.D. and L.Y.; Methodology: V.K., A.Y. and Y.B. Conceptualization: A.Z. (Alexander Zarvin). All authors have read and agreed to the published version of the manuscript.

Funding

The research was supported by the Russian Science Foundation, grant number 22-19-00750.

Data Availability Statement

The data presented in this study are available on request from the corresponding authors.

Conflicts of Interest

The authors declare no conflicts of interest.

References

  1. Vasil’ev, L.L.; Lapshin, Y.A.; Piskunov, A.N. Production and investigation of supersonic jets of rarefied gas. J. Eng. Phys. 1974, 27, 1085–1089. [Google Scholar] [CrossRef]
  2. Sazhin, O.V. Rarefied gas flow into vacuum through a channel with sudden contraction or expansion. Microfluid Nanofluid 2020, 24, 76. [Google Scholar] [CrossRef]
  3. Gerasimov, Y.I.; Yarygin, V.N. Jet expansion of ideal and real gases from axisymmetric nozzles. Similarity matters. 1. Outflow of jets into vacuum. Phys. Chem. Kinet. Gas Dyn. 2012, 13, 1–22. Available online: http://chemphys.edu.ru/issues/2012-13-1/articles/295/ (accessed on 3 September 2024). (In Russian).
  4. Kislyakov, N.I.; Rebrov, A.K.; Sharafutdinov, R.G. Diffusion processes in the mixing zone of a lowdensity supersonic jet. J. Appl. Mech. Tech. Phys. 1973, 1, 121–131. (In Russian) [Google Scholar]
  5. Gerasimov, Y.I.; Yarygin, V.N. Jet expansion of ideal and real gases from axisymmetric nozzles. Similarity matters. 2. Outflow of jets into submerged space. Phys. Chem. Kinet. Gas Dyn. 2012, 13, 1–22. Available online: http://chemphys.edu.ru/issues/2012-13-2/articles/315/ (accessed on 3 September 2024). (In Russian).
  6. Dettleff, G. Plume flow and plume impingement in space technology. Prog. Aerosp. Sci. 1991, 1, 1–71. [Google Scholar] [CrossRef]
  7. Zarvin, A.E.; Yaskin, A.S.; Kalyada, V.V.; Ezdin, B.S. Structure of a supersonic gas jet under conditions of developed condensation. Tech. Phys. Lett. 2015, 41, 1103–1106. [Google Scholar] [CrossRef]
  8. Ivanov, M.S.; Kashkovsky, A.V.; Gimelshein, S.F.; Markelov, G.N.; Alexeenko, A.A.; Bondar, Y.A.; Zhukova, G.A.; Nikiforov, S.B.; Vaschenkov, P.V. SMILE system for 2D/3D DSMC computations. In Rarefied Gas Dynamics: Proceedings of the 25th International Symposium, Saint-Petersburg, Russia, 21–28 July 2006; Ivanov, M.S., Rebrov, A.K., Eds.; Siberian Branch of Russian Academy of Sciences: Saint-Petersburg, Russia, 2007; pp. 539–544. [Google Scholar]
  9. Zarvin, A.E.; Kalyada, V.V.; Madirbaev, V.Z.; Korobeishchikov, N.G.; Khodakov, M.D.; Yaskin, A.S.; Khudozhitkov, V.E.; Gimelshein, S.F. Condensable supersonic jet facility for analyses of transient low-temperature gas kinetics and plasma chemistry of hydrocarbons. IEEE Trans. Plasma Sci. 2017, 45, 819–827. [Google Scholar] [CrossRef]
  10. Bird, G.A. Molecular Gas Dynamics and the Direct Simulation of Gas Flows, 2nd ed.; Clarendon Press: Oxford, England, 1994. [Google Scholar]
  11. Wadsworth, D.; Erwin, D. Two-Dimensional Hybrid Continuum/Particle Approach for Rarefied Flows. In Proceedings of the 23rd Plasmadynamics and Lasers Conference, Nashville, TN, USA, 6–8 July 1992. [Google Scholar]
  12. Ivanov, M.S.; Markelov, G.N.; Gerasimov, Y.I. Free-Flight Experiment and Numerical Simulation for Cold Thruster Plume. J. Propul. Power 1999, 15, 417–423. [Google Scholar] [CrossRef]
  13. Roveda, R.; Goldstein, D.B.; Varghese, P.L. Hybrid Euler/Direct Simulation Monte Carlo Calculation of Unsteady Slit Flow. J. Spacecr. Rocket. 2000, 37, 753–760. [Google Scholar] [CrossRef]
  14. Lian, Y.Y.; Wu, J.S.; Cheng, G.C.; Koomullil, R.P. Development of a Parallel Hybrid Method for the DSMC and NS Solver. In Proceedings of the 43rd AIAA Aerospace Sciences Meeting and Exhibit, Reno, NV, USA, 10–13 January 2005. [Google Scholar]
  15. Glass, C.E.; Gnoffo, P.A. A 3-D Coupled CFD-DSMC Solution Method with Application to the Mars Sample Return Orbiter. AIP Conf. Proc. 2001, 585, 723–729. [Google Scholar]
  16. Grabe, M.; Fasoulas, S.; Hannemann, K. Numerical Simulation of Nozzle Flow into High Vacuum using Kinetic and Continuum Approaches. In New Results in Numerical and Experimental Fluid Mechanics VII: Contribution to the 16th STAB/DGLR Symposium, Aachen, Germany, 3–4 November 2008; Springer: Berlin/Heidelberg, Germany, 2010; pp. 423–430. [Google Scholar]
  17. Wilmoth, R.G.; Mitcheltree, R.A.; Moss, J.N.; Dogra, V.K. Zonally Decoupled Direct Simulation Monte Carlo Solutions of Hypersonic Blunt-Body Wake Flows. J. Spacecr. Rocket. 1994, 31, 971–979. [Google Scholar] [CrossRef]
  18. Ivanov, M.S.; Rogasinsky, S.V. Analysis of numerical techniques of the direct simulation Monte Carlo method in the rarefied gas dynamics. Sov. J. Numer. Anal. Math. Model. 1988, 3, 453–465. [Google Scholar] [CrossRef]
  19. Shevyrin, A.A.; Vashchenkov, P.V.; Bondar, Y.A.; Ivanov, M.S. Validation of DSMC results for chemically nonequilibrium air flows against measurements of the electron number density in RAM-C II flight experiment. AIP Conf. Proc. 2014, 29, 155–161. [Google Scholar]
  20. Ivanov, M.S.; Bondar, Y.A.; Markelov, G.N.; Gimelshein, S.F.; Taran, J.P. Study of the Shock Wave Structure about a Body Entering the Martian Atmosphere. In Rarefied Gas Dynamics: 23rd International Symposium; AIP Press: New York, NY, USA, 2003; Volume 663, pp. 481–488. [Google Scholar] [CrossRef]
  21. Shevyrin, A.A.; Bondar, Y.A. On the calculation of the electron temperature flowfield in the DSMC studies of ionized re-entry flows. Adv. Aerodyn. 2020, 2, 6. [Google Scholar] [CrossRef]
  22. Molchanova, A.N.; Kashkovsky, A.V.; Bondar, Y.A. A detailed DSMC surface chemistry model. AIP Conf. Proc. 2014, 29, 131–138. [Google Scholar]
  23. Kashkovsky, A.V.; Bondar, Y.A.; Krylov, A.N.; Rodicheva, A.A. Multi-zone kinetic-continuum simulation of an orbit correction thruster back flow around a space station. In Proceedings of the 32nd Symposium on Rarefied Gas Dynamics, Seoul, Republic of Korea, 4–8 July 2022; Volume 2996, p. 80010. [Google Scholar] [CrossRef]
  24. Khotyanovsky, D.V.; Bondar, Y.A.; Kudryavtsev, A.N.; Shoev, G.V.; Ivanov, M.S. Viscous Effects in Steady Reflection of Strong Shock Waves. AIAA J. 2009, 47, 1263–1269. [Google Scholar] [CrossRef]
  25. Ivanov, I.E.; Timokhin, M.Y.; Kryukov, I.A.; Bondar, Y.A.; Kokhanchik, A.A.; Ivanov, M.S. Study of the shock wave structure by regularized Grad’s set of equations. AIP Conf. Proc. 2012, 1501, 215–222. [Google Scholar] [CrossRef]
  26. Gimelshein, S.F.; Wysong, I.J.; Bondar, Y.A.; Ivanov, M.S. Accuracy analysis of DSMC chemistry models applied to a normal shock wave. AIP Conf. Proc. 2012, 1501, 637–644. [Google Scholar] [CrossRef]
  27. Bondar, Y.A.; Trotsyuk, A.V.; Ivanov, M.S. DSMC Modeling of the Detonation Wave Structure in Narrow Channels. In Proceedings of the 47th AIAA Aerospace Sciences Meeting including The New Horizons Forum and Aerospace Exposition, Orlando, FL, USA, 5–8 January 2009. [Google Scholar] [CrossRef]
  28. Bondar, Y.A.; Ivanov, M.S.; Maruta, K. Hydrogen-Oxygen Detonation Study by the DSMC Method. AIP Conf. Proc. 2011, 1333, 1209–1214. [Google Scholar] [CrossRef]
  29. Shoev, G.V.; Bondar, Y.A.; Timokhin, M.Y. On the total enthalpy behavior inside a shock wave. Phys. Fluids. 2020, 32, 41703. [Google Scholar] [CrossRef]
  30. Shevyrin, A.A.; Bondar, Y.A.; Ivanov, M.S. Analysis of repeated collisions in the DSMC method. AIP Conf. Proc. 2005, 762, 565–570. [Google Scholar]
  31. Borgnakke, C.; Larsen, P.S. Statistical collision model for Monte Carlo simulation of polyatomic gas mixture. J. Comput. Phys. 1975, 18, 405–420. [Google Scholar] [CrossRef]
  32. Bird, G.A. Breakdown of continuum flow in free jets and rocket plumes. In Rarefied Gas Dynamics: Proceedings of the 12th International Symposium, Charlottesville, VA, USA, 7–11 July 1980; AIAA: New York, NY, USA, 1980; pp. 681–693. [Google Scholar]
  33. Gochberg, A. Electron beam fluorescence methods in hypersonic aerothermodynamics. Prog. Aerosp. Sci. 1997, 33, 431–480. [Google Scholar] [CrossRef]
  34. Muntz, E.P.; Abel, S.J.; Maguire, B.L. The electron beam fluorescence probe in experimental gas dynamics. In Proceedings of the Aerospace Technical Conference and Exhibit, Houston, TX, USA, 21–24 June 1965; Supplement to the IEEE Transaction Aerospace AS-3. Volume 2, p. 210. [Google Scholar]
  35. Lee, H.F.; Petrie, S.L. Electron beam visualization in hypersonic air flows. In Proceedings of the 7th Aerodynamic Testing Conference, Palo Alto, CA, USA, 13–15 September 1972; Volume 1017. [Google Scholar] [CrossRef]
  36. Belan, M.; De Ponto, S.; Tordella, D. Determination of density and concentration from fluorescent images of a gas flow. Exp. Fluids 2007, 45, 501–511. [Google Scholar] [CrossRef][Green Version]
  37. Shpenik, O.B.; Bulgakova, A.I.; Zavilopulo, A.N.; Erdevdy, N.M.; Bandurin, Y.A. Excitation of valine molecules by an electron shock in the gas phase. Tech. Phys. Lett. 2021, 47, 30–34. (In Russian) [Google Scholar] [CrossRef]
  38. Borzenko, B.N.; Karelov, N.V.; Rebrov, A.K.; Sharafutdinov, R.G. Experimental investigation of the population of rotational levels of molecules in a nitrogen free stream. J. Appl. Mech. Tech. Phys. 1976, 5, 20–31. (In Russian) [Google Scholar]
  39. Smith, J.A.; Driscoll, J.F. The electron-beam fluorescence technique for measurements in hypersonic turbulent flows. J. Fluid Mech. 1975, 72, 695–719. [Google Scholar] [CrossRef]
  40. Sukhinin, G.I.; Sharafutdinov, R.G. Determination of the effective probabilities of rotational transitions during electron shock excitation of the N2+B2Σ state from the ground state of nitrogen. Tech. Phys. 1983, 53, 333–340. [Google Scholar]
  41. Ashkenas, H.Z.; Sherman, F.S. The Structure and Utilization of Supersonic Free Jets in Low Density Wind Tunnels. In Rarefied Gas Dynamics, Proceedings of the 4th RGD Symposium; Academic Press: New York, NY, USA, 1966; Volume 2, p. 84. [Google Scholar]
  42. Skovorodko, P.A.; Ramos, A.; Tejeda, G.; Fernández, J.M.; Montero, S. Experimental and numerical study of supersonic jets of N2, H2, and N2+H2 mixtures. AIP Conf. Proc. 2012, 1501, 1228–1235. [Google Scholar] [CrossRef]
  43. Yarygin, V.N.; Gerasimov, Y.I.; Krylov, A.N.; Mishina, L.V.; Prikhodko, V.G.; Yarygin, I.V. Gas dynamics of spacecraft and orbital stations (review). Thermophys. Aeromechanics 2011, 18, 333–358. [Google Scholar] [CrossRef]
Figure 1. Schematic of the computational domain.
Figure 1. Schematic of the computational domain.
Aerospace 11 00905 g001
Figure 2. Schematic of the experimental setup used for density measurements in the nitrogen jet.
Figure 2. Schematic of the experimental setup used for density measurements in the nitrogen jet.
Aerospace 11 00905 g002
Figure 3. Numerical simulation results for case 2.4. (a) Density; (b) Translational temperature.
Figure 3. Numerical simulation results for case 2.4. (a) Density; (b) Translational temperature.
Aerospace 11 00905 g003
Figure 4. Initial parameters: d* = 0.505 mm, P0 = 0.2 bar, P = 0 mbar, and T0 = T = 300 K. (a) Comparison of the axial profiles of the relative density obtained with the isentropic model [41], in [42], and in the present numerical simulation. (b) Comparison of the axial profiles of the translational temperature obtained with the isentropic model [41], in [42], and in the present numerical simulation. (c) Axial profiles of the directional translational temperatures and rotational temperature obtained in the present numerical simulation.
Figure 4. Initial parameters: d* = 0.505 mm, P0 = 0.2 bar, P = 0 mbar, and T0 = T = 300 K. (a) Comparison of the axial profiles of the relative density obtained with the isentropic model [41], in [42], and in the present numerical simulation. (b) Comparison of the axial profiles of the translational temperature obtained with the isentropic model [41], in [42], and in the present numerical simulation. (c) Axial profiles of the directional translational temperatures and rotational temperature obtained in the present numerical simulation.
Aerospace 11 00905 g004
Figure 5. (a) Axial density profiles obtained in experimental measurements for the cases of nitrogen outflow from a sonic nozzle d* = 0.505 mm (cases 1.1–1.5); (b) Axial density profiles obtained in experimental measurements for the cases of nitrogen outflow from a sonic nozzle d* = 1.12 mm (cases 2.1–2.4).
Figure 5. (a) Axial density profiles obtained in experimental measurements for the cases of nitrogen outflow from a sonic nozzle d* = 0.505 mm (cases 1.1–1.5); (b) Axial density profiles obtained in experimental measurements for the cases of nitrogen outflow from a sonic nozzle d* = 1.12 mm (cases 2.1–2.4).
Aerospace 11 00905 g005
Figure 6. Comparison of the axial density profiles obtained in the experimental measurements.
Figure 6. Comparison of the axial density profiles obtained in the experimental measurements.
Aerospace 11 00905 g006
Figure 7. Profiles of the temperature of various modes for nitrogen outflow obtained in the numerical simulation. (a) Case 1.1; (b) Case 2.1; (c) Case 2.4.
Figure 7. Profiles of the temperature of various modes for nitrogen outflow obtained in the numerical simulation. (a) Case 1.1; (b) Case 2.1; (c) Case 2.4.
Aerospace 11 00905 g007
Figure 8. Comparison of the axial density profiles for nitrogen outflow obtained in the experimental measurements and numerical simulation. (a) Case 1.1; (b) Case 2.1; (c) Case 2.4.
Figure 8. Comparison of the axial density profiles for nitrogen outflow obtained in the experimental measurements and numerical simulation. (a) Case 1.1; (b) Case 2.1; (c) Case 2.4.
Aerospace 11 00905 g008
Table 1. Parameters of the cases of nitrogen outflow from sonic nozzles.
Table 1. Parameters of the cases of nitrogen outflow from sonic nozzles.
Cased*, mmP0, barP, PaT0, Kxm/d*ReL
1.10.5050.20.16300.42374.4
1.20.5050.40.33301.22328.9
1.30.5050.60.47300.824013
1.40.5050.80.63302.123917.3
1.50.50510.83304.423322.2
2.11.120.050.15306.01244.7
2.21.120.10.33306.31169.8
2.31.120.20.61306.812118.9
2.41.120.31.01309.611529.8
Disclaimer/Publisher’s Note: The statements, opinions and data contained in all publications are solely those of the individual author(s) and contributor(s) and not of MDPI and/or the editor(s). MDPI and/or the editor(s) disclaim responsibility for any injury to people or property resulting from any ideas, methods, instructions or products referred to in the content.

Share and Cite

MDPI and ACS Style

Dubrovin, K.; Yarkov, L.; Zarvin, A.; Zaitsev, A.; Kalyada, V.; Yaskin, A.; Bondar, Y. Numerical and Experimental Simulation of Supersonic Gas Outflow into a Low-Density Medium. Aerospace 2024, 11, 905. https://doi.org/10.3390/aerospace11110905

AMA Style

Dubrovin K, Yarkov L, Zarvin A, Zaitsev A, Kalyada V, Yaskin A, Bondar Y. Numerical and Experimental Simulation of Supersonic Gas Outflow into a Low-Density Medium. Aerospace. 2024; 11(11):905. https://doi.org/10.3390/aerospace11110905

Chicago/Turabian Style

Dubrovin, Kirill, Lev Yarkov, Alexandr Zarvin, Alexander Zaitsev, Valeriy Kalyada, Alexandr Yaskin, and Yevgeniy Bondar. 2024. "Numerical and Experimental Simulation of Supersonic Gas Outflow into a Low-Density Medium" Aerospace 11, no. 11: 905. https://doi.org/10.3390/aerospace11110905

APA Style

Dubrovin, K., Yarkov, L., Zarvin, A., Zaitsev, A., Kalyada, V., Yaskin, A., & Bondar, Y. (2024). Numerical and Experimental Simulation of Supersonic Gas Outflow into a Low-Density Medium. Aerospace, 11(11), 905. https://doi.org/10.3390/aerospace11110905

Note that from the first issue of 2016, this journal uses article numbers instead of page numbers. See further details here.

Article Metrics

Back to TopTop