Enhancing RDX Thermal Decomposition in Al@RDX Composites with Co Transition Metal Interfacial Layer
Abstract
1. Introduction
2. Experiment
2.1. Materials
2.2. Preparation Methods
- (i)
- The Al/Co nanocomposites were prepared by using a planetary high-energy ball-miller facility (XQW-2-DW, Changsha, China). More specific details regarding the preparation process of the Al/Co composite can be found in the recently published articles by our research group [30].
- (ii)
- Afterwards, 2.98 mg of RDX was dissolved in 50 mL of a DMSO solvent and then subjected to violent magnetic stirring for approximately 30 min. Next, the Al/Co compound powder obtained from the high-energy ball-milling was dispersed in the abovementioned solution, followed by 20 min of ultrasound treatment and 1 h of magnetic stirring at room temperature. Subsequently, the uniformly mixed precursor solution underwent the spray-drying process. The used spray-drying parameters were as follows: the diameter of the feed well was 1 mm, the fluid flow rate was 3 mL min−1, and the inlet temperature was kept at 130 °C.
2.3. Characterization Technique
3. Results and Discussions
3.1. Morphology and Composition of Composites
3.2. Thermal Decomposition Behavior of RDX
3.3. Non-Isothermal Dynamics Analysis of RDX Decomposition
3.3.1. Kinetic Parameters Assessed with Kissinger Method
3.3.2. The Dependence of Ea on Conversion Degree Calculated with Friedman Method
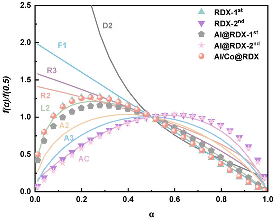
3.3.3. Physical Model Analyzed with a Combined Kinetic Method
3.4. Characterization of Gaseous Products Generated during the Thermal Decomposition of RDX
4. Conclusions
- (1)
- The optimal content of RDX in the Al/Co@RDX composite is 29.8% RDX, with a high energy value of 12,609 J·cm−3. Compared with pure RDX, the introduction of the Al/Co composite into RDX was found to significantly enhance its thermal decomposition properties. The decomposition peak temperature decreased by 32.5 °C, and the decomposition heat release was increased by 74.5 J·g−1.
- (2)
- The Kissinger method was employed to discern kinetic parameters, revealing a decrease in the activation energy for Al@RDX and a distinctive merging of decomposition steps in Al/Co@RDX. A holistic evaluation using a combined kinetics approach uncovered unique features in the physical model of RDX decomposition in the presence of Al/Co, emphasizing its significant influence on the Co interface materials.
Supplementary Materials
Author Contributions
Funding
Data Availability Statement
Conflicts of Interest
Correction Statement
References
- Nie, H.; Yang, S.L.; Yan, Q.L. Enhancement in ignition and combustion of solid propellants by interfacial modification of Al/AP composites with transition metals. Combust. Flame 2023, 256, 112968. [Google Scholar] [CrossRef]
- DeLuca, L.T.; Galfetti, L.; Colombo, G.; Maggi, F.; Bandera, A.; Babuk, V.A.; Sinditskii, V.P. Microstructure effects in aluminized solid rocket propellants. J. Propul. Power 2010, 26, 724–732. [Google Scholar] [CrossRef]
- Liu, H.; Ao, W.; Liu, P.; Hu, S.; Lv, X.; Gou, D.; Wang, H. Experimental investigation on the condensed combustion products of aluminized GAP-based propellants. Aerosp. Sci. Technol. 2020, 97, 105595. [Google Scholar] [CrossRef]
- Maggi, F.; Dossi, S.; Paravan, C.; DeLuca, L.T.; Liljedahl, M. Activated aluminum powders for space propulsion. Powder Technol. 2015, 270, 46–52. [Google Scholar] [CrossRef]
- Galfetti, L.; DeLuca, L.T.; Severini, F.; Colombo, G.; Meda, L.; Marra, G. Pre and post-burning analysis of nano-aluminized solid rocket propellants. Aerosp. Sci. Technol. 2007, 11, 26–32. [Google Scholar] [CrossRef]
- Yuan, J.; Liu, J.; Zhou, Y.; Wang, J.; Xv, T. Aluminum agglomeration of AP/HTPB composite propellant. Acta Astronaut. 2019, 156, 14–22. [Google Scholar] [CrossRef]
- Li, S.; Lv, X.; Liu, L.; Yue, S.; Liu, P.; Ao, W. Comparative study on aluminum agglomeration characteristics in HTPB and NEPE propellants: The critical effect of accumulation. Combust. Flame 2023, 249, 112607. [Google Scholar] [CrossRef]
- DeLuca, L.; Bandera, A.; Maggi, F. Agglomeration of aluminized solid rocket propellants. In Proceedings of the 45th AIAA/ASME/SAE/ASEE Joint Propulsion Conference and Exhibit, Denver, CO, USA, 2–5 August 2009. [Google Scholar]
- Xu, D.; Wang, F.; Li, S.; Huang, X.; Li, H.; Guo, Y. Laser-induced ignition and combustion of single micron-sized Al-Li alloy particles in high pressure Air/N2. Aerospace 2023, 10, 299. [Google Scholar] [CrossRef]
- Zhu, Y.; Le, W.; Zhao, W.; Ma, X.; Liu, D.; Li, J.; Jiao, Q. Promising fuels for energetics: Spherical Al-Li powders with high reactivity via incorporation of Li. Fuel 2022, 323, 124393. [Google Scholar] [CrossRef]
- Diez, G.A.; Manship, T.D.; Terry, B.C.; Gunduz, I.E.; Son, S.F. Characterization of an Aluminum–Lithium-Alloy-Based composite propellant at elevated pressures. J. Propul. Power 2021, 37, 332–337. [Google Scholar] [CrossRef]
- Belal, H.; Han, C.W.; Gunduz, I.E.; Ortalan, V.; Son, S.F. Ignition and combustion behavior of mechanically activated Al-Mg particles in composite solid propellants. Combust. Flame 2018, 194, 410–418. [Google Scholar] [CrossRef]
- Liu, L.; Ao, W.; Wen, Z.; Wang, Y.; Long, Y.; Liu, P.; He, G.; Li, L.K.B. Modifying the ignition, combustion and agglomeration characteristics of composite propellants via Al-Mg alloy additives. Combust. Flame 2022, 238, 111926. [Google Scholar] [CrossRef]
- Li, L.; Chen, X.; Zhou, C.; Zhu, M.; Musa, O. Experimental and numerical investigations of the effect of pressure and oxygen concentration on combustion characteristics of Al/Mg fuel-rich propellants. Appl. Therm. Eng. 2020, 167, 114695. [Google Scholar] [CrossRef]
- Ali, R.; Ali, F.; Zahoor, A.; Shahid, R.N.; Tariq, N.U.H.; Ali, G.; Ullah, S.; Shah, A.; Awais, H.B. Preparation and oxidation of aluminum powders with surface alumina replaced by iron coating. J. Energetic Mater. 2020, 40, 243–257. [Google Scholar] [CrossRef]
- Aly, Y.; Schoenitz, M.; Dreizin, E.L. Aluminum-metal reactive composites. Combust. Sci. Technol. 2011, 183, 1107–1132. [Google Scholar] [CrossRef]
- Mursalat, M.; Schoenitz, M.; Dreizin, E.L. Composite Al∙Ti powders prepared by high-energy milling with different process controls agents. Adv. Powder Technol. 2019, 30, 1319–1328. [Google Scholar] [CrossRef]
- Terry, B.C.; Gunduz, I.E.; Pfeil, M.A.; Sippel, T.R.; Son, S.F. A mechanism for shattering microexplosions and dispersive boiling phenomena in aluminum–lithium alloy based solid propellant. Proc. Combust. Inst. 2017, 36, 2309–2316. [Google Scholar] [CrossRef]
- Zhou, X.; Huang, L.; Liu, X.; Yu, H. Combustion characteristics of Al-Li alloy powder and its application in solid propellant. J. Phys. Conf. Ser. 2023, 2478, 032067. [Google Scholar] [CrossRef]
- Terry, B.C.; Sipple, T.R.; Pfeil, M.A.; Gunduz, I.E.; Son, S.F. Removing hydrochloric acid exhaust products from high performance solid rocket propellant using aluminum-lithium alloy. J. Hazard. Mater. 2016, 317, 259–266. [Google Scholar] [CrossRef]
- Shen, C.; Yan, S.; Yao, J.; Li, S.; Guo, X.; Nie, J.; Ou, Y.; Jiao, Q. Combustion behavior of composite solid propellant reinforced with Al-based alloy fuel. Mater. Lett. 2021, 304, 130608. [Google Scholar] [CrossRef]
- Shafirovich, E.; Mukasyan, A.; Thiers, L.; Varma, A.; Legrand, B.; Chauveau, C.; Gökalp, I. Ignition and combustion of Al particles clad by Ni. Combust. Sci. Technol. 2002, 174, 125–140. [Google Scholar] [CrossRef]
- Vorozhtsov Lerner, A.M.; Radkevich, N.; Bondarchuk, S.; Wen, D. Production and characterization of Al-Cu and Al-Ni nanoparticles. Mater. Res. Soc. Symp. Proc. 2015, 1758, mrsf14-1758. [Google Scholar] [CrossRef]
- Shoshin, Y.; Dreizin, E. Particle combustion rates for mechanically alloyed Al-Ti and aluminum powders burning in air. Combust. Flame 2006, 145, 714–722. [Google Scholar] [CrossRef]
- Kou, Y.; Wang, Y.; Zhang, J.; Guo, K.; Song, X. Iron/aluminum nanocomposites prepared by one-step reduction method and their effects on thermal decomposition of AP and AN. Def. Technol. 2023, 22, 74–87. [Google Scholar] [CrossRef]
- Yadav, N.; Srivastava, P.K.; Varma, M. Recent advances in catalytic combustion of AP-based composite solid propellants. Def. Technol. 2021, 17, 1013–1031. [Google Scholar] [CrossRef]
- Foley, T.J.; Johnson, C.E.; Hig, K.T. Inhibition of oxide formation on Aluminum nanoparticles by transition metal coating. Chem. Mater. 2005, 17, 4086–4091. [Google Scholar] [CrossRef]
- Yang, S.L.; Xu, R.; He, W.; Nie, H.; Yan, Q.L. Enhancing the thermal reactivity of AP crystals by coating of Al-based bi-metal nanocomposites. Fuel 2022, 324, 124588. [Google Scholar] [CrossRef]
- Fischer, S.; Grubelich, M. A survey of combustible metals, thermites, and intermetallics for pyrotechnic applications. In Proceedings of the 32nd Joint Propulsion Conference and Exhibit, Lake Buena Vista, FL, USA, 1–3 July 1996. [Google Scholar]
- Yang, S.L.; Meng, N.K.J.; Xie, W.; Nie, H.; Yan, Q.L. Thermal reactivity of metastable metal-based fuel Al/Co/AP: Mutual interaction mechanisms of the components. Fuel 2022, 315, 123203. [Google Scholar] [CrossRef]
- Lee, J.S.; Hsu, C.K.; Chang, C.L. A study on the thermal decomposition behaviors of PETN, RDX, HNS and HMX. Thermochim. Acta 2002, 392–393, 173–176. [Google Scholar] [CrossRef]
- Li, G.; Liu, M.; Zhang, R.; Shen, L.; Liu, Y.; Luo, Y. Synthesis and properties of RDX/GAP nano-composite energetic materials. Colloid Poly. Sci. 2015, 293, 2269–2279. [Google Scholar] [CrossRef]
- Sun, H.; Li, X.; Wu, P.; Song, C.; Yang, Y. Preparation and Properties of RDX/Aluminum Composites by Spray-Drying Method. J. Nanomater. 2020, 2022, 1083267. [Google Scholar] [CrossRef]
- Xiao, L.; Zhang, Y.; Wang, X.; Hao, G.; Liu, J.; Ke, X.; Chen, T.; Jiang, W. Preparation of a superfine RDX/Al composite as an energetic material by mechanical ball-milling method and the study of its thermal properties. RSC Adv. 2018, 8, 38047–38055. [Google Scholar] [CrossRef] [PubMed]
- Yan, Q.L.; Zeman, S.; Zhang, J.G.; He, P.; Musil, T.; Bartoskova, M. Multi-stage decomposition of 5-aminotetrazole derivatives: Kinetics and reaction channels for the rate-limiting steps. Phys. Chem. Chem. Phys. 2014, 16, 24282–24291. [Google Scholar] [CrossRef] [PubMed]
- Jiao, Q.J.; Zhu, Y.L.; Xing, J.C.; Ren, H.; Huang, H. Thermal decomposition of RDX/AP by TG–DSC–MS–FTIR. J. Therm. Anal. Calorim. 2014, 116, 1125–1131. [Google Scholar] [CrossRef]









| Sample | Ti (°C) | Tp (°C) | Te (°C) | Width (°C) | ∆H (J·g−1) |
|---|---|---|---|---|---|
| RDX | 227.3 | 245.6 | 256.9 | 23.6 | 939.0 |
| Al@RDX | 223.6 | 243.8 | 253.6 | 27.8 | 763.6 |
| Al/Co@RDX | 201.0 | 213.1 | 223.5 | 16.1 | 1113.5 |
| Sample | TG | DTG | ||||
|---|---|---|---|---|---|---|
| Ti (°C) | To (°C) | Te (°C) | Mass Loss (%) | Tp (°C) | Lmax (%·min−1) | |
| RDX | 206.0 | 224.4 | 259.1 | 86.5 | 243.8 | −39.41 |
| Al@RDX | 204.3 | 217.5 | 257.0 | 44.9 | 241.7 | −17.20 |
| Al/Co@RDX | 189.0 | 202.7 | 229.5 | 21.9 | 210.4 | −23.58 |
| Sample | Ea/kJ mol−1 | log A/s−1 | r |
|---|---|---|---|
| RDX—1st | 115.9 | 6.12 | 0.9992 |
| RDX—2nd | 156.0 | 9.91 | 0.9995 |
| Al@RDX—1st | 100.3 | 4.41 | 0.9854 |
| Al@RDX—2nd | 75.1 | 1.7 | 0.9605 |
| Al/Co@RDX | 115.6 | 6.71 | 0.9991 |
Disclaimer/Publisher’s Note: The statements, opinions and data contained in all publications are solely those of the individual author(s) and contributor(s) and not of MDPI and/or the editor(s). MDPI and/or the editor(s) disclaim responsibility for any injury to people or property resulting from any ideas, methods, instructions or products referred to in the content. |
© 2024 by the authors. Licensee MDPI, Basel, Switzerland. This article is an open access article distributed under the terms and conditions of the Creative Commons Attribution (CC BY) license (https://creativecommons.org/licenses/by/4.0/).
Share and Cite
Yang, S.-L.; Xie, K.; Wang, J.; An, B.; Tian, B.; Nie, H.; Lyu, J.-Y.; Yan, Q.-L. Enhancing RDX Thermal Decomposition in Al@RDX Composites with Co Transition Metal Interfacial Layer. Aerospace 2024, 11, 81. https://doi.org/10.3390/aerospace11010081
Yang S-L, Xie K, Wang J, An B, Tian B, Nie H, Lyu J-Y, Yan Q-L. Enhancing RDX Thermal Decomposition in Al@RDX Composites with Co Transition Metal Interfacial Layer. Aerospace. 2024; 11(1):81. https://doi.org/10.3390/aerospace11010081
Chicago/Turabian StyleYang, Su-Lan, Kan Xie, Jing Wang, Bingchen An, Bin Tian, Hongqi Nie, Jie-Yao Lyu, and Qi-Long Yan. 2024. "Enhancing RDX Thermal Decomposition in Al@RDX Composites with Co Transition Metal Interfacial Layer" Aerospace 11, no. 1: 81. https://doi.org/10.3390/aerospace11010081
APA StyleYang, S.-L., Xie, K., Wang, J., An, B., Tian, B., Nie, H., Lyu, J.-Y., & Yan, Q.-L. (2024). Enhancing RDX Thermal Decomposition in Al@RDX Composites with Co Transition Metal Interfacial Layer. Aerospace, 11(1), 81. https://doi.org/10.3390/aerospace11010081

