The Development and Application of Two-Color Pressure-Sensitive Paint in Jet Impingement Experiments
Abstract
:1. Introduction
2. Materials and Methods
2.1. Materials
2.2. Experiment Setup
2.3. Temperature Correction
3. Results
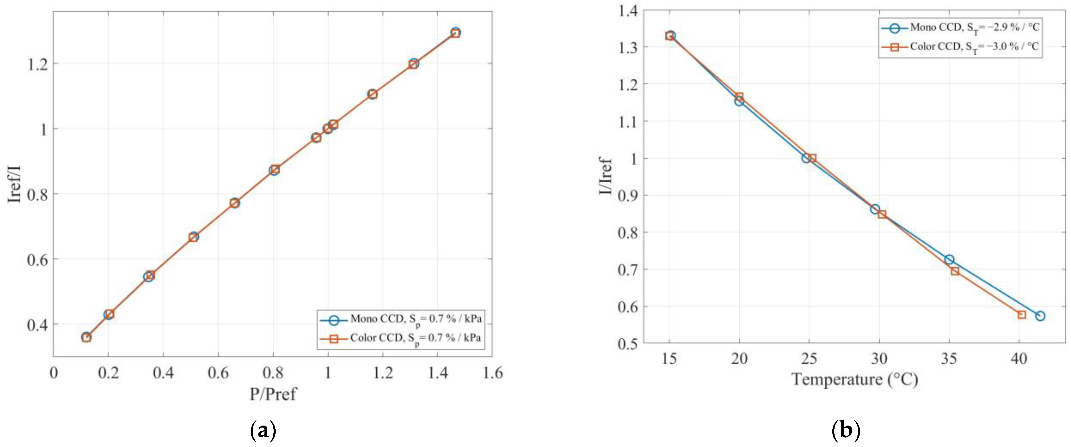
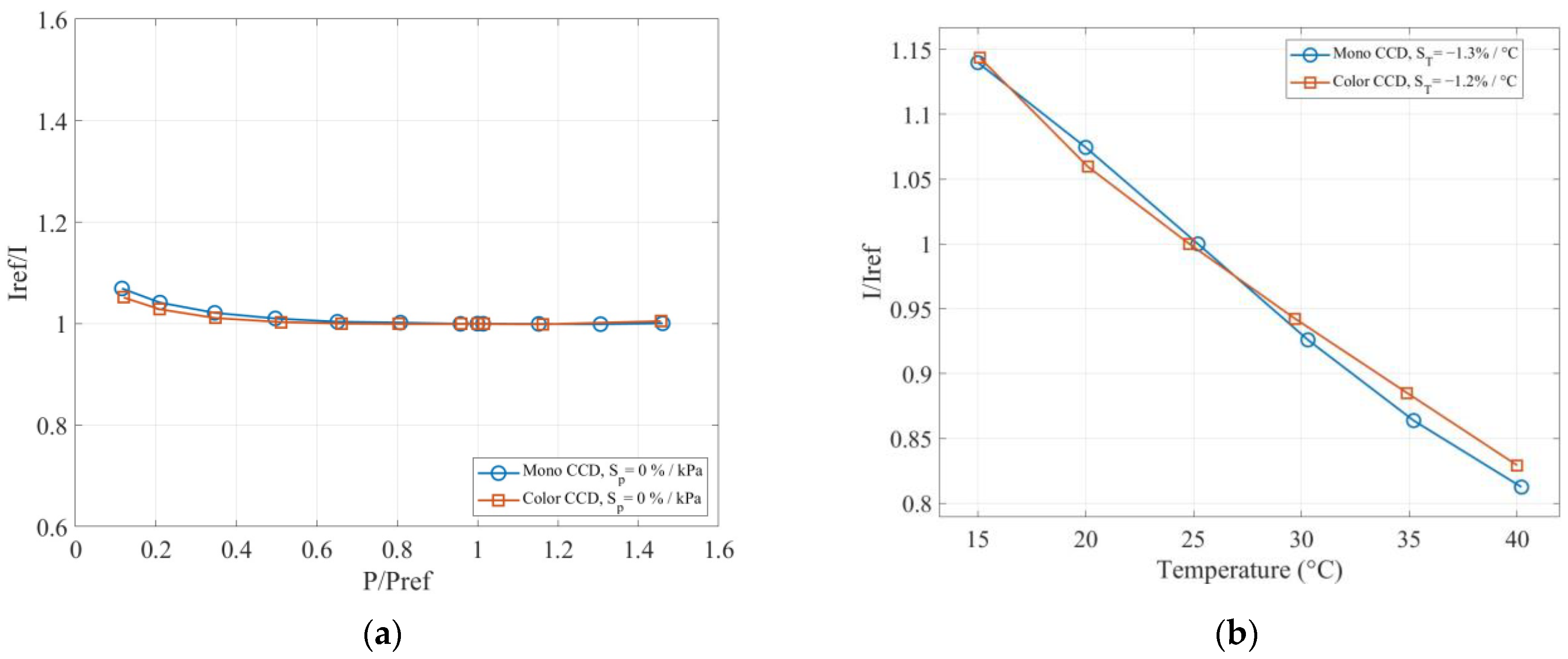
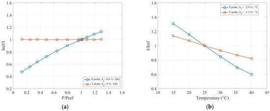
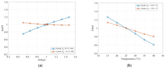
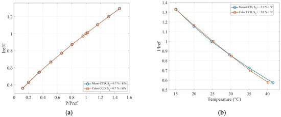
3.1. Two-Color PSP Characterizations
3.2. Jet Impingement
4. Discussion
Author Contributions
Funding
Data Availability Statement
Conflicts of Interest
References
- Klein, C.; Engler, E.; Henne, U.; Sachs, W. Application of pressure-sensitive paint for determination of the pressure field and calculation of the forces and moments of models in a wind tunnel. Exp. Fluids 2005, 39, 475–483. [Google Scholar] [CrossRef]
- Huang, C.-Y.; Yeh, C.-Y.; Lin, Y.-F.; Chung, K.-M. Global flow visualization of transonic cavity flow with various yaw angles. Proc. Inst. Mech. Eng. Part G J. Aerosp. Eng. 2021, 235, 1751–1762. [Google Scholar] [CrossRef]
- Huang, C.-Y.; Lin, Y.-F.; Huang, Y.-X.; Chung, K.-M. Pressure-sensitive paint measurements with temperature correction on the wing of AGARD-B under transonic flow conditions. Meas. Sci. Technol. 2021, 32, 094001. [Google Scholar] [CrossRef]
- Moon, K.-J.; Mori, H.; Ambe, Y.; Kawabata, H. Development of dual-layer PSP/TSP system for pressure and temperature measurements in low-speed flow field. In Proceedings of the Fluids Engineering Division Summer Meeting, Hamamatsu, Japan, 24–29 July 2011; Volume 44403, pp. 2767–2772. [Google Scholar]
- Moon, K.-J.; Mori, H.; Furukawa, M. Simultaneous measurement method of pressure and temperature using dual-layer PSP/TSP with lifetime-based method. Meas. Sci. Technol. 2018, 29, 125301. [Google Scholar] [CrossRef]
- Di, P.; Yingzheng, L. A grid-pattern PSP/TSP system for simultaneous pressure and temperature measurements. Sens. Actuators B Chem. 2016, 222, 141–150. [Google Scholar] [CrossRef]
- Matsuda, Y.; Kameya, T.; Suzuki, Y.; Yoshida, Y.; Egami, Y.; Yamaguchi, H.; Niimi, T. Fine printing of pressure-and temperature-sensitive paints using commercial inkjet printer. Sens. Actuators B Chem. 2017, 250, 563–568. [Google Scholar] [CrossRef]
- Peng, D.; Jensen, C.D.; Juliano, T.J.; Gregory, J.W.; Crafton, J.; Palluconi, S.; Liu, T. Temperature-Compensated Fast Pressure-Sensitive Paint. AIAA J. 2013, 51, 2420–2431. [Google Scholar] [CrossRef]
- Bitter, M.; Wartzek, F.; Übelacker, S.; Schiffer, H.-P.; Kähler, C. Characterization of a Distorted Transonic Compressor Flow using Dual-Luminophore Pressure-Sensitive Paint. In Proceedings of the 10th Pacific Symposium on Flow Visualization and Image Processing (PSFVIP-10), fedOA (Federico II Open Archive), Naples, Italy, 15–18 June 2015. [Google Scholar]
- Sachiko, S.; Takahiro, Y.; Tsuyoshi, H.; Katsuaki, M.; Hirotaka, S.; Satoshi, A.; Hidetoshi, M.; Tsuyoshi, M. Temperature compensation of pressure-sensitive luminescent polymer sensors. Sens. Actuators B Chem. 2018, 255, 1960–1966. [Google Scholar] [CrossRef]
- Iijima, Y.; Sakaue, H. Platinum porphyrin and luminescent polymer for two-color pressure- and temperature-sensing probes. Sens. Actuators A Phys. 2012, 184, 128–133. [Google Scholar] [CrossRef]
- Li, X.; Liu, X.; Liu, Y.; Peng, D. Experimental study of near-wall underexpanded jet impingement on a flat plate using temperature-insensitive semi-transparent pressure-sensitive paint. Exp. Fluids 2020, 61, 232. [Google Scholar] [CrossRef]
- Gu, F.; Wei, C.; Liu, Y.; Peng, D.; Liang, L. Temperature sensitivity elimination in sprayable fast-responding pressure-sensitive paint. Sens. Actuators A Phys. 2022, 345, 113797. [Google Scholar] [CrossRef]
- Crafton, J.; Carter, C.; Sullivan, J.; Elliott, G. Pressure measurements on the impingement surface of sonic and sub-sonic jets impinging onto a flat plate at inclined angles. Exp. Fluids 2006, 40, 697–707. [Google Scholar] [CrossRef]
- Chapman, C.; Liu, Y.; Sonek, G.; Tromberg, B. The use of exogenous fluorescent probes for temperature measurements in single living cells. Photochem. Photobiol. 1995, 62, 416–425. [Google Scholar] [CrossRef] [PubMed]
- Fery-Forgues, S.; Fayet, J.-P.; Lopez, A. Drastic changes in the fluorescence properties of NBD probes with the polarity of the medium: Involvement of a TICT state? J. Photochem. Photobiol. A Chem. 1993, 70, 229–243. [Google Scholar] [CrossRef]
- Liu, T.; Sullivan, J.P.; Asai, K.; Klein, C.; Egami, Y. Pressure and Temperature Sensitive Paints; Springer: Berlin/Heidelberg, Germany, 2005. [Google Scholar]



















| Two-Color PSP (H/D = 3.56) | PSP, TSP (H/D = 3.56) | |||
|---|---|---|---|---|
| Φ | α | α | ||
| 2.38 | 15° | 20° | 30° | 20° |
| 3.40 | 15° | 20° | 30° | |
| 4.42 | 15° | 20° | 30° | |
| Photodegradation (%) | ||||||||
|---|---|---|---|---|---|---|---|---|
| T Probe Luminophore | NBD-X | NBD-F | NBD-ZY36 | NBD-ZY37 | ||||
| Time (min) | 60 | 120 | 60 | 120 | 60 | 120 | 60 | 120 |
| T probe (CCD) | 46 | 43 | 39 | 49 | 47 | 71 | 5 | 13 |
| Binder | RTV118 | Poly(tBS) | Poly(tBS) Mixed RTV118 | |||
|---|---|---|---|---|---|---|
| Probe | P Probe | T Probe | P Probe | T Probe | P Probe | T Probe |
| Pressure sensitivity (%/kPa) | 0.5 | −0.1 | 0.6 | 0.0 | 0.5 | 0.0 |
| Temperature sensitivity (%/°C) | −2.6 | −1.4 | −0.9 | −0.8 | −2.3 | −2.1 |
| Binder | RTV118 | Poly(tBS) | Poly(tBS) Mixed RTV118 | |||
|---|---|---|---|---|---|---|
| Time (min) | 60 | 120 | 60 | 120 | 60 | 120 |
| T probe Photodegradation (%) | 5 | 13 | 50 | 72 | 28 | 51 |
Disclaimer/Publisher’s Note: The statements, opinions and data contained in all publications are solely those of the individual author(s) and contributor(s) and not of MDPI and/or the editor(s). MDPI and/or the editor(s) disclaim responsibility for any injury to people or property resulting from any ideas, methods, instructions or products referred to in the content. |
© 2023 by the authors. Licensee MDPI, Basel, Switzerland. This article is an open access article distributed under the terms and conditions of the Creative Commons Attribution (CC BY) license (https://creativecommons.org/licenses/by/4.0/).
Share and Cite
Chen, W.-C.; Huang, C.-Y.; Tan, K.-T.; Sakaue, H. The Development and Application of Two-Color Pressure-Sensitive Paint in Jet Impingement Experiments. Aerospace 2023, 10, 805. https://doi.org/10.3390/aerospace10090805
Chen W-C, Huang C-Y, Tan K-T, Sakaue H. The Development and Application of Two-Color Pressure-Sensitive Paint in Jet Impingement Experiments. Aerospace. 2023; 10(9):805. https://doi.org/10.3390/aerospace10090805
Chicago/Turabian StyleChen, Wei-Chieh, Chih-Yung Huang, Kui-Thong Tan, and Hirotaka Sakaue. 2023. "The Development and Application of Two-Color Pressure-Sensitive Paint in Jet Impingement Experiments" Aerospace 10, no. 9: 805. https://doi.org/10.3390/aerospace10090805
APA StyleChen, W.-C., Huang, C.-Y., Tan, K.-T., & Sakaue, H. (2023). The Development and Application of Two-Color Pressure-Sensitive Paint in Jet Impingement Experiments. Aerospace, 10(9), 805. https://doi.org/10.3390/aerospace10090805

