Next Article in Journal
Adaptive IMM-UKF for Airborne Tracking
Next Article in Special Issue
A Real-Time and Optimal Hypersonic Entry Guidance Method Using Inverse Reinforcement Learning
Previous Article in Journal
Electric Sail Mission Expeditor, ESME: Software Architecture and Initial ESTCube Lunar Cubesat E-Sail Experiment Design
Previous Article in Special Issue
Full State Constrained Flight Tracking Control for Helicopter Systems with Disturbances
 
 
Font Type:
Arial Georgia Verdana
Font Size:
Aa Aa Aa
Line Spacing:
Column Width:
Background:
Article

Flight Tracking Control for Helicopter Attitude and Altitude Systems Using Output Feedback Method under Full State Constraints

1
School of Automation and Information Engineering, Xi’an University of Technology, Xi’an 710048, China
2
Shaanxi Key Laboratory of Complex System Control and Intelligent Information Processing, Xi’an University of Technology, Xi’an 710048, China
3
School of Sciences, Xi’an Technological University, Xi’an 710021, China
4
School of Mechanical and Electrical Engineering, Soochow University, Suzhou 215137, China
*
Authors to whom correspondence should be addressed.
These authors contributed equally to this work.
Aerospace 2023, 10(8), 696; https://doi.org/10.3390/aerospace10080696
Submission received: 8 June 2023 / Revised: 2 August 2023 / Accepted: 5 August 2023 / Published: 7 August 2023
(This article belongs to the Special Issue Advanced Motion Planning and Control in Aerospace Applications)

Abstract

In this paper, we propose an output feedback flight tracking control scheme for helicopter attitude and altitude systems with unmeasured states under full state constraints. Firstly, a state observer is constructed based on the measured output signals, which is proven to be rigorous since all states are constrained within the desired and assigned scopes. Secondly, the flight tracking controller is built using the state estimations with the full state constraints control method. Then, the Barrier Lyapunov function method is adopted to guarantee the stability of the composite closed-loop nonlinear error systems. Meanwhile, the linear matrix inequality technology is applied to calculate the gains of the state observer. Finally, a numerical simulation example is provided to confirm the reasonableness of the full state constraint output feedback flight tracking control method.

1. Introduction

Unmanned aerial vehicles (UAVs) are aircrafts controlled by programs that can operate without pilots. UAVs are categorized into fixed-wing aircrafts and rotorcrafts based on their wing structures. Fixed-wing aircrafts fly relying on rapid movement and maintain air pressure differences between their upper and lower wings. They offer better flight stability and simpler flight structures, making them widely used for practical tasks, especially in the military.
On the other hand, rotorcrafts, such as quadcopters, twin-rotor aircrafts, and unmanned helicopters, have unique advantages, including vertical takeoff and landing, fast response speed, strong maneuverability, and hover capability. These features make them irreplaceable compared to fixed-wing aircrafts. Unmanned helicopters, in particular, use their main rotor and tail for flight, ensuring the higher safety and lower cost. They can replace humans in performing many dangerous tasks [1,2].
Currently, unmanned helicopters are gaining importance in various fields, including military and civilian applications. Their role is gradually expanding due to their versatility and capabilities.
In recent years, various control methods have been explored in the research of unmanned helicopter controllers. In [3], the authors solved the trajectory tracking problem of a two-degree-of-freedom unmanned helicopter by combining an adaptive neural network with sliding mode control. In [4], the focus was on the attitude angle tracking problem of a three-degree-of-freedom unmanned helicopter, with considering modeling errors and external disturbances. The authors proposed a control method that combines the radial basis function neural networks and backstepping control method.
In [5], an optimal model-free backstepping controller was introduced by integrating the backstepping control with cuckoo search algorithm. The study involved a multi-input multi-output quadrotor unmanned helicopter system with external position disturbances. In [6], the paper discussed the system modeling and controller design for small helicopters. An inner and outer loop structure was used, with the inner loop system designed for the helicopter attitude control and the outer loop system for the position flight tracking control.
However, one challenge in state feedback control for unmanned helicopters [7] is the difficulty in accurately measuring the angular velocity. Unmanned helicopters often encounter complex flying environments, making it hard to precisely measure the attitude angular velocity. To enhance control performance, a state observer is employed to estimate the attitude angular velocities. Therefore, the output feedback control scheme becomes a necessary approach for studying actual systems.
In various real engineering applications, measuring system states via sensors can be challenging due to complex working environments. As a result, output feedback control methods have been proposed to address this issue.
In [8], the stabilization problem was studied for a linear system with input-output delays, using a low gain observer to estimate the unknown system states. In [9], the stabilization issue was achieved for output-constrained switching systems by combining variable gain reduced order observers, logarithmic Barrier Lyapunov functions, and a power integrator technique. In [10], a cascaded sliding film observer was proposed for high relative systems, estimating the system state efficiently for a fifth-order system with a small observation gain.
In [11], the stabilization problem for multi-input multi-output reversible nonlinear systems was investigated. Low-power high-gain observers were designed to estimate the feedback control law, and a robust output feedback stabilizer was developed to ensure the semi-global stability of the system. In [12], the system state was globally converged for the stabilization problem of high-order nonlinear systems with uncertain output under the homogeneous output feedback controller.
In [13], the authors studied the tracking control problem of robotic arms with dynamic uncertainty. To estimate the unknown system states, a high gain controller was used, and an adaptive fuzzy control method with output constraints was proposed. In [14], a high gain observer was employed to estimate the linear and angular velocities of the aircraft, and an output feedback control scheme was constructed to guarantee the semi-global stability of error systems.
These articles mainly focus on the difficulties in measuring system states and the use of output feedback control. For unmanned helicopters, the control variables, namely attitude angle and attitude angular velocity, must be constrained to ensure safety and avoid issues such as rollover and overturning. Therefore, it is crucial to consider the full system variables’ constraints during the controller design process for helicopter systems.
The constraint control method holds significant potential for various applications, as many control variables require confinement within specific intervals. In recent years, state constraint problems have gained attention in the field of control research [15,16]. In [17], the state constraint control problem was addressed, where the initial states did not fall within the constraint range. By introducing auxiliary variables and constructing an auxiliary system, the system with state constraints was transformed into an unconstrained system. In [18], the state constraint problem of autonomous vehicles was studied, and a micro inertial measurement unit system was developed based on the vehicle state constraint, enabling positioning error constraint without a navigation satellite.
Safety issues caused by vehicle slip were tackled in [19], where a controller with input and state constraints was proposed for control systems, effectively constraining the torque control input and sideslip angle. In [20], an adaptive neural network algorithm was utilized to address the tracking control problem of nonlinear systems under full state constraints. In [21], the control problem of a multi-agent system with uncertainty and nonlinearity was considered, and a fuzzy adaptive control method was proposed by combining backstepping control and integral barrier Lyapunov functions.
In our recent works [22], we investigated the full state constraint control issues for six-degree-of-freedom unmanned helicopter systems using the state feedback control method. Since helicopter models represent actual systems with numerous limited intermediate states, studying state estimation and state constraints for unmanned helicopters holds significant value.
In this paper, we propose an output feedback tracking controller for unmanned helicopter attitude and altitude systems under full state constraints. Firstly, a state observer is designed to estimate the states of the helicopter attitude and altitude systems. These estimated state values are then incorporated into the subsequent controller design. By combining the barrier Lyapunov function and backstepping control methods, we build a full state constrained output feedback controller for the unmanned helicopter attitude and altitude system. The state observation gain matrix of the unmanned helicopter is obtained using the linear matrix inequality technology. Finally, we validate the proposed flight control scheme in the Matlab/Simulink environment by utilizing practical parameters of a specific type of helicopter. The results demonstrate the effectiveness of the proposed approach.
The structure of this paper is arranged as follows: The problem statement is shown for helicopter attitude and altitude systems in Section 2; The output feedback flight controller is constructed in Section 3; Section 4 presents a simulation for verifying the proposed control scheme; Finally, the conclusion is given in Section 5.

2. Problem Statement

To accomplish various real-world tasks, such as shooting moving objects and focusing on specific areas of the helicopter body, it is essential for the helicopter to address the issues related to attitude and altitude. The tracking control problems for helicopter attitude and altitude systems have become crucial research topics in the field of helicopters. Hence, in this paper, the following helicopter attitude and altitude systems are studied [23], which are given by the following:
h ˙ t = v t , m v ˙ t = cos ϕ t cos θ t T m t m g , Ω ˙ ( t ) = H ( Ω ( t ) ) w ( t ) , J w ˙ ( t ) = w ( t ) × J w ( t ) + τ ( t ) ,
where h t and v t are the position and velocity on the z-axis of the inertial frame; T m ( t ) is the force generated from the main rotor; m is the mass of the helicopter; g is the gravitational acceleration; Ω ( t ) = ϕ ( t ) θ ( t ) ψ ( t ) T , and ϕ ( t ) ,   θ ( t ) and ψ ( t ) denote the roll, pitch and yaw angles, respectively, which are the Euler angles of the helicopter form the body frame to the inertia frame; H ( Ω ( t ) ) is the angular velocity transformation matrix, which is shown as follows:
H ( Ω ( t ) ) = 1 sin ϕ ( t ) tan θ ( t ) cos ϕ ( t ) tan θ ( t ) 0 cos ϕ ( t ) sin ϕ ( t ) 0 sin ϕ ( t ) sec θ ( t ) cos ϕ ( t ) sec θ ( t ) .
In addition, w ( t ) = p ( t ) q ( t ) r ( t ) T , and p ( t ) ,   q ( t ) and r ( t ) denote the roll, pitch and yaw angular velocities, respectively; w ( t ) × is the multiplication cross matrix, which is denoted as follows:
w ( t ) × = 0 r ( t ) q ( t ) r ( t ) 0 p ( t ) q ( t ) p ( t ) 0 .
And J = d i a g { J x x , J y y , J z z } , and J x x , J y y and J z z are the rolling, pitching and yawing inertia moment of helicopters, respectively; τ ( t ) = τ x ( t ) τ y ( t ) τ z ( t ) T , and τ x ( t ) , τ y ( t ) and τ z ( t ) are the rolling, pitching and yawing control input moments of the helicopter, respectively; the Euler angle vector Ω ( t ) is the control input of the helicopter.
In many real-world flying tasks, accurately measuring the internal states of helicopters through sensors becomes challenging due to the complex flying environment. To enhance the control performance of the flight controller, this paper prioritizes adopting an output feedback control scheme for helicopter attitude and altitude systems. Additionally, for the safety of helicopter flight, the Euler angles and their angular velocities are constrained within certain bounds.
The objectives of this paper are as follows: Firstly, the flight controller is constructed solely based on the control output signals for the helicopter attitude and altitude systems, represented by h ( t ) and Ω ( t ) , respectively. Secondly, all states of the helicopter attitude and altitude systems are confined within specified limits to improve the dynamic performance of the helicopter, including stability and reduced overshoot.
The paper focuses on studying the output feedback flight control problems for helicopter attitude and altitude systems, while considering full state constraints to achieve the specified objectives. The discussed helicopter attitude and altitude systems (1) are rewritten as follows:
h ˙ t = v t , m v ˙ t = cos ϕ t cos θ t T m t m g , Ω ˙ ( t ) = H ( Ω ( t ) ) w ( t ) , J w ˙ ( t ) = w ( t ) × J w ( t ) + τ ( t ) , y ( t ) = ( h ( t ) Ω ( t ) ) T ,
where y ( t ) is the control output, which is the measurable information for controlling the attitude and altitude of helicopters.
In this paper, the output feedback tracking control problem is investigated for helicopter attitude and altitude systems under full state constraints, and the expected tracking signals are given as y r ( t ) = ( h r ( t ) Ω ( t ) ) r T , where h r ( t ) are the expected altitude, and Ω r ( t ) = ( ϕ r ( t ) θ r ( t )   ψ r ( t ) ) T , and ϕ r ( t ) ,   θ r ( t ) and ψ r ( t ) denote expected roll, pitch and yaw angles, respectively.
In addition, the following assumptions are important for analyzing the tracking control issues of helicopter attitude and altitude systems.
 Assumption 1 
([24,25]). The initial values of each state variable of the unmanned helicopter do not exceed the constraint conditions set in this paper.
 Lemma 1 
([26]). For any positive constants k b and real variables z ( t ) , when z ( t ) < k b , the following inequality holds:
l n k b 2 k b 2 z 2 ( t ) < z 2 ( t ) k b 2 z 2 ( t ) .
 Lemma 2 
([27]). For positive definite matrices P > 0 and Q > 0 , and X, Y and F with appropriate and arbitrary dimensions, where F satisfies F T F I , and parameter α > 0 . Then, the following inequality holds:
P X T F Y Y T F T X Q P + α X T X 0 0 Q + α 1 Y T Y .
 Remark 1. 
The normal helicopter system models are six-degrees-of-freedom nonlinear and underactuated systems, while they only have four control channels. In practice, the positions of the helicopter are controlled via the rotor thrusts and the attitude angles during the actual flight phase. Moreover, to enable the helicopter to accomplish various tasks, such as shooting moving objects and displaying specific areas of the helicopter body, it is essential to focus on the control problems of attitude and altitude.
In many existing works, such as [28,29,30], the tracking control of helicopter attitude and altitude systems has been a necessary research topic. Therefore, this paper primarily concentrates on the attitude and altitude control of the helicopter.

3. Output Feedback Flight Controller Design for Helicopter Attitude and Altitude Systems

In this section, we construct the output feedback flight controller for helicopter attitude and altitude systems under full state constraints. We design a state observer using the control output, which enhances control precision by using less noisy information in the controller. Additionally, we employ full state constrained control technology in the flight tracking controller, leading to improved dynamic performance and ensuring safer helicopter flight.

3.1. State Observer Design for Helicopter Attitude and Altitude Systems

Since the states of systems (4) are unmeasured, in this section, the output feedback tracking flight control issues are discussed for helicopter attitude and altitude systems. In order to construct the state observer, define x 1 ( t ) = y ( t ) and x 2 ( t ) = x ˙ 1 ( t ) . The system (4) is rewritten as
x ˙ 1 t = f 1 x 1 t ) ) x 2 t , x ˙ 2 t = f 2 x 2 t ) ) + J ¯ u t , y ( t ) = x 1 ( t ) ,
where x 1 ( t ) = h ( t ) Ω ( t ) T T is the control output, x 2 ( t ) = v ( t ) w ( t ) T T , f 1 x 1 ( t ) = 1 0 0 H Ω t , f 2 x 2 ( t ) = 0 J 1 w t × J w t , u t = u 1 t u 2 t , J ¯ = 1 m 0 0 J 1 , u 1 t = cos ϕ t cos θ t T m t m g , and u 2 ( t ) = τ ( t ) .
Based on the system (5), the state observer is constructed via the control output y ( t ) , estimated states x ^ 1 ( t ) and x ^ 2 ( t ) , and control input u ( t ) , which is designed as follows:
x ^ ˙ 1 ( t ) = f 1 x 1 ( t ) x ^ 2 ( t ) + L 1 [ x 1 ( t ) x ^ 1 ( t ) ] , x ^ ˙ 2 ( t ) = f 2 ( x ^ 2 ( t ) ) + J ¯ u ( t ) + L 2 [ x 1 ( t ) x ^ 1 ( t ) ] ,
where L 1 and L 2 are observer gains, and the estimated errors are defined as x ˜ 1 ( t ) = x 1 ( t ) x ^ 1 ( t ) and x ˜ 2 ( t ) = x 2 ( t ) x ^ 2 ( t ) , from the system (5) and state observer (6). The estimated error systems are given by
x ˜ ˙ 1 ( t ) = f 1 x 1 t ) ) x ˜ 2 ( t ) L 1 x ˜ 1 ( t ) , x ˜ ˙ 2 ( t ) = f 2 ( x 2 ( t ) ) f 2 ( x ^ 2 ( t ) ) L 2 x ˜ 1 ( t ) .
 Remark 2. 
The state observer is built as Equation (6) in this paper, which uses the information of control output y ( t ) ( x 1 ( t ) = y ( t ) see Equation (5)), estimated states x ^ 1 ( t ) and x ^ 2 ( t ) , and control input u ( t ) . All of the information is known and available. Equation (7) is the state estimated error system, whose stability analysis is given in Section 3.3, and the state observer gains L 1 and L 2 are obtained via the LMIs technology.

3.2. Output Feedback Flight Controller Design for Helicopter Attitude and Altitude Systems

In what follows, the tracking output feedback flight controller is constructed for helicopter attitude and altitude systems. The control output is adopted to construct the state observer, and the state estimations are used to build the flight controller under the full state constraints.
From (5), define e 1 ( t ) = x 1 ( t ) x d ( t ) , e 2 ( t ) = x ^ 2 ( t ) α ( t ) , where α ( t ) is the virtual control law. Then, the dynamics of
e ˙ 1 ( t ) = x ˙ 1 ( t ) x ˙ d ( t ) , = f 1 ( x 1 ( t ) ) [ x ˜ 2 ( t ) + e 2 ( t ) + α ( t ) ] x ˙ d ( t ) .
To constrain the system states, the Lyapunov function candidate is chosen as [26]:
V 1 ( t ) = 1 2 i = 1 4 ln k 1 b i 2 k 1 b i 2 e 1 i 2 ( t ) ,
where k 1 b i > 0 , i = 1 , 2 , 3 , 4 , is the boundary of constraint domain of e 1 ( t ) . Hence, the derivative of V 1 ( t ) along with (8) is given by
V ˙ 1 ( t ) = e 1 T t Θ 1 t e ˙ 1 t , = e 1 T t Θ 1 t f 1 x 1 ( t ) x ˜ 2 t + e 2 t + α t x ˙ d ,
where Θ 1 t = d i a g 1 k b 11 2 e 11 2 t , 1 k b 12 2 e 12 2 t , 1 k b 13 2 e 13 2 t , 1 k b 14 2 e 14 2 t .
Using Young’s inequality, there exist parameters ε 1 > 0 , such that
e 1 T t Θ 1 t f 1 x 1 ( t ) x ˜ 2 t ε 1 2 e 1 T t Θ 1 t f 1 x 1 ( t ) f 1 T x 1 ( t ) Θ 1 T t e 1 t + ε 1 1 2 x ˜ 2 T t x ˜ 2 t .
According to (8), (10) and (11), and from the Assumption 1, f 1 ( x 1 ) is an invertible matrix throughout the helicopter’s flight. Then, the virtual control law α ( t ) is chosen as
α t = f 1 1 x 1 ( t ) k 1 e 1 t + x ˙ d t ε 1 2 f 1 T x 1 ( t ) Θ 1 T t e 1 t ,
where k 1 > 0 .
And, (8) is rewritten as
e ˙ 1 t = k 1 e 1 t + f 1 x 1 ( t ) e 2 t + f 1 x 1 ( t ) x ˜ 2 t ε 1 2 f 1 T x 1 ( t ) Θ 1 T t e 1 t .
Based on (11) and (12), (10) is rewritten as
V ˙ 1 ( t ) k 1 e 1 T t Θ 1 t e 1 t + e 1 T t Θ 1 t f 1 x 1 ( t ) e 2 t + ε 1 1 2 x ˜ 2 T t x ˜ 2 t .
Noting (8) and (12), the dynamic of e 2 ( t ) is given by
e ˙ 2 t = x ^ ˙ 2 t α ˙ t = f 2 x ^ 2 ( t ) + J ¯ u t + L 2 x 1 ( t ) x ^ 1 ( t ) + k 1 f ˙ 1 1 x 1 ( t ) e 1 t + ε 1 2 f ˙ 1 T x 1 ( t ) Θ 1 T t e 1 t + ε 1 2 f 1 T x 1 ( t ) Θ ˙ 1 T t e 1 t + [ k 1 f 1 1 x 1 ( t ) + ε 1 2 f 1 T x 1 ( t ) Θ 1 T t ] e ˙ 1 t f ˙ 1 T x 1 ( t ) x ˙ d t f 1 T x 1 ( t ) x ¨ d t .
Since Θ ˙ 1 T ( t ) e 1 ( t ) = Θ 1 ( t ) Δ ( t ) Θ 1 T ( t ) e ˙ 1 ( t ) , where Δ t = d i a g e 11 2 t , e 12 2 t , e 13 2 t , e 14 2 t , according to (13), we have
e ˙ 2 t = f 2 x ^ 2 ( t ) + J ¯ u t + L 2 x 1 ( t ) x ^ 1 ( t ) f ˙ 1 T x 1 ( t ) x ˙ d t f 1 T x 1 ( t ) x ¨ d t + k 1 f ˙ 1 1 x 1 ( t ) e 1 t + ε 1 2 f ˙ 1 T x 1 ( t ) Θ 1 T t e 1 t + Θ 2 ( t ) e ˙ 1 t , = f 2 x ^ 2 ( t ) + J ¯ u t + L 2 x 1 ( t ) x ^ 1 ( t ) f ˙ 1 T x 1 ( t ) x ˙ d t f 1 T x 1 ( t ) x ¨ d t + [ k 1 f ˙ 1 1 x 1 ( t ) + ε 1 2 f ˙ 1 T x 1 ( t ) Θ 1 T t k 1 Θ 2 ( t ) ε 1 2 Θ 2 ( t ) f 1 T x 1 ( t ) Θ 1 T t ] e 1 t + Θ 2 ( t ) f 1 x 1 ( t ) e 2 t + Θ 2 ( t ) f 1 x 1 ( t ) x ˜ 2 t ,
where Θ 2 ( t ) = k 1 f 1 1 x 1 ( t ) + ε 1 2 f 1 T x 1 ( t ) Θ 1 T t + ε 1 2 f 1 T x 1 ( t ) Θ 1 ( t ) Δ ( t ) Θ 1 T ( t ) .
Therefore, the flight controller is designed as follows:
u t = J ¯ 1 { f 2 x ^ 2 ( t ) + L 2 x 1 ( t ) x ^ 1 ( t ) f ˙ 1 T x 1 ( t ) x ˙ d t f 1 T x 1 ( t ) x ¨ d t + [ k 1 f ˙ 1 1 x 1 ( t ) + ε 1 2 f ˙ 1 T x 1 ( t ) Θ 1 T t k 1 Θ 2 ( t ) ε 1 2 Θ 2 ( t ) f 1 T x 1 ( t ) Θ 1 T t ] e 1 t + Θ 2 ( t ) f 1 x 1 ( t ) e 2 t τ a t } ,
where τ a ( t ) is the addition control law to be designed in the following.
Combining (15) with (16), we deduce
e ˙ 2 t = τ a t + Θ 2 ( t ) f 1 x 1 ( t ) x ˜ 2 t .
The Lyapunov function candidate V 2 ( t ) is chosen as follows:
V 2 ( t ) = V 1 ( t ) + 1 2 i = 1 4 ln k 2 b i 2 k 2 b i 2 e 2 i 2 ( t ) ,
where k 2 b i > 0 , i = 1 , 2 , 3 , 4 , is the boundary of constraint domain of e 2 ( t ) .
From (14), (17) and (18), the derivative of V 2 ( t ) satisfies:
V ˙ 2 t k 1 e 1 T t Θ 1 t e 1 t + e 1 T t Θ 1 t f 1 x 1 ( t ) e 2 t + ε 1 1 2 x ˜ 2 T t x ˜ 2 t + e 2 T t Θ 3 t τ a t + e 2 T t Θ 3 f 1 x 1 ( t ) x ˜ 2 t ,
where Θ 3 t = d i a g 1 k 2 b 1 2 e 21 2 , 1 k 2 b 2 2 e 22 2 , 1 k 2 b 3 2 e 23 2 , 1 k 2 b 4 2 e 24 2 .
According to Young’s inequality, for some parameters ε 2 > 0 , we have
e 2 T t Θ 3 f 1 x 1 ( t ) x ˜ 2 t ε 2 2 e 2 T Θ 3 f 1 x 1 ( t ) f 1 T x 1 ( t ) Θ 3 T e 2 t + ε 2 1 2 x ˜ 2 T t x ˜ 2 t .
The addition controller is chosen as follows:
τ a t = k 2 e 2 t f 1 x 1 ( t ) f 1 T x 1 ( t ) Θ 3 T e 2 t .
Hence, we have
V ˙ 2 ( t ) i = 1 4 k 1 e 1 i 2 ( t ) k 1 b i 2 e 1 i 2 ( t ) + k 2 e 2 i 2 ( t ) k 2 b i 2 e 2 i 2 ( t ) + ( ε 1 1 + ε 2 1 ) x ˜ 2 T ( t ) x ˜ 2 ( t ) .

3.3. Stability Analysis for Closed-Loop Error Systems

In what follows, the stability analysis is given for the closed-loop error systems, which include the estimated error systems (7) and tracking error systems (13) and (17). Hence, we choose the Lyapunov function candidate as
V ( t ) = V 1 ( t ) + V 2 ( t ) + V 3 ( t ) ,
where
V 3 ( t ) = x ˜ 1 ( t ) x ˜ 2 ( t ) T P 1 P 2 P 2 T P 3 x ˜ 1 ( t ) x ˜ 2 ( t ) ,
where P 1 P 2 P 2 T P 3 > 0 is a positive definite matrix. The derivative of V 3 ( t ) along with (7) is given by
V ˙ 3 ( t ) = 2 x ˜ 1 T ( t ) P 1 x ˜ 2 ( t ) + 2 x ˜ 2 T ( t ) P 2 T x ˜ 2 ( t ) 2 x ˜ 1 T ( t ) P 1 L 1 x ˜ 1 ( t ) 2 x ˜ 2 T ( t ) P 2 L 1 x ˜ 1 ( t ) + 2 x ˜ 1 T ( t ) P 2 F ( t ) + 2 x ˜ 2 T ( t ) P 3 F ( t ) 2 x ˜ 1 T ( t ) P 2 L 2 x ˜ 1 ( t ) 2 x ˜ 2 T ( t ) P 3 L 2 x ˜ 1 ( t ) ,
where F ( t ) = f 1 ( x 1 ( t ) , x 2 ( t ) ) f 1 ( x ^ 1 ( t ) , x ^ 2 ( t ) ) .
According to Assumption 1, F ( t ) is bounded in the constraint domains, and based on Young’s inequality, for some parameter ε 3 > 0 and ε 4 > 0 , we have
2 x ˜ 1 T ( t ) P 2 F ( t ) ε 3 1 x ˜ 1 T ( t ) P 2 P 2 T x ˜ 1 ( t ) + ε 3 F T ( t ) F ( t ) ε 3 1 x ˜ 1 T ( t ) P 2 P 2 T x ˜ 1 ( t ) + ε 3 [ M 1 I x ˜ 1 T ( t ) x ˜ 1 ( t ) + M 2 I x ˜ 2 T ( t ) x ˜ 2 ( t ) ] , 2 x ˜ 2 T ( t ) P 3 F ( t ) ε 4 1 x ˜ 2 T ( t ) P 3 P 3 x ˜ 2 ( t ) + ε 4 F T ( t ) F ( t ) ε 4 1 x ˜ 2 T ( t ) P 3 P 3 x ˜ 2 ( t ) + ε 4 [ M 1 I x ˜ 1 T ( t ) x ˜ 1 ( t ) + M 2 I x ˜ 2 T ( t ) x ˜ 2 ( t ) ] ,
where M 1 > 0 , M 2 > 0 , which are obtained according to the constraint requirements of helicopter states, I is the identity matrix with appropriate dimensions.
Then, (24) is rewritten as
V ˙ 3 ( t ) x ˜ 1 ( t ) x ˜ 2 ( t ) T Π 11 P 1 L 2 T P 3 L 1 T P 2 Π 22 x ˜ 1 ( t ) x ˜ 2 ( t ) ,
where
Π 11 = s y m { P 1 L 1 + P 2 L 2 } + ε 3 1 P 2 P 2 T + ε 3 M 1 I + ε 4 M 1 I , Π 22 = s y m { P 2 } + ε 4 1 P 3 P 3 + ε 3 M 2 I + ε 4 M 2 I .
Using Lemma 2, there exist parameters ε 5 > 0 , such that
V ˙ 3 ( t ) x ˜ 1 ( t ) x ˜ 2 ( t ) T Π 11 + ε 5 L 1 T L 1 P 1 L 2 T P 3 Π 22 + ε 5 1 P 2 T P 2 x ˜ 1 ( t ) x ˜ 2 ( t ) .
From (21), (23) and (25), the derivative of V ( t ) satisfies
V ˙ ( t ) i = 1 4 k 1 e 1 i 2 ( t ) k 1 b i 2 e 1 i 2 ( t ) + k 2 e 2 i 2 ( t ) k 2 b i 2 e 2 i 2 ( t ) + x ˜ 1 ( t ) x ˜ 2 ( t ) T Φ x ˜ 1 ( t ) x ˜ 2 ( t ) ,
where
Φ = Π 11 + ε 5 L 1 T L 1 P 1 L 2 T P 3 Π 22 + ε 5 1 P 2 T P 2 + ε 1 1 I + ε 2 1 I .
In what follows, we choose the state observer gain matrices L 1 and L 2 with appropriate parameters ε i > 0 , for i = 1 , . . . , 5 , and γ > 0 , such that Φ < γ I , which is
Π 11 + ε 5 L 1 T L 1 + γ I P 1 L 2 T P 3 Π 22 + ε 5 1 P 2 T P 2 + ε 1 1 I + ε 2 1 I + γ I < 0 .
Using Young’s inequality for (28), for some ε 6 > 0 , we have
P 2 L 2 L 2 T P 2 T ε 6 1 P 2 P 2 T + ε 6 L 2 L 2 T .
Then, (28) holds under the following inequation:
Π 11 P 1 L 2 T P 3 Π 22 < 0 .
where
Π 11 = s y m { P 1 L 1 } + ε 5 L 1 T L 1 + ε 6 1 P 2 P 2 T + ε 6 L 2 L 2 T + ε 3 1 P 2 P 2 T + ε 3 M 1 I + ε 4 M 1 I + γ I , Π 22 = s y m { P 2 } + ε 5 1 P 2 T P 2 + ε 4 1 P 3 P 3 + ε 3 M 2 I + ε 4 M 2 I + ε 1 1 I + ε 2 1 I + γ I .
To obtain the solvable condition of the linear matrix inequation, we add constraint conditions as follows:
P 1 > ε 5 I , P 3 > ε 6 I .
Hence, we have
ε 5 L 1 T L 1 < ε 5 1 L 1 T P 1 P 1 L 1 , ε 6 L 2 L 2 T < ε 6 1 L 2 P 3 P 3 L 2 T .
Note that the inequation (29) has some nonlinear items, such as P 1 L 1 , ε 3 1 P 2 P 2 T and others; hence, we define X = P 1 L 1 , Y = L 2 T P 3 , and using the Schur complement Lemma, we deduce
Π 11 P 1 Y X T P 2 Y T P 2 0 0 0 0 Π 22 0 0 0 0 P 2 P 3 I I ε 5 I 0 0 0 0 0 0 0 ε 6 I 0 0 0 0 0 0 ε 6 I 0 0 0 0 0 ε 3 I 0 0 0 0 ε 5 I 0 0 0 ε 4 I 0 0 ε 1 I 0 ε 2 I < 0 ,
where
Π 11 = s y m { X } + ε 3 M 1 I + ε 4 M 1 I + γ I , Π 22 = s y m { P 2 } + ε 3 M 2 I + ε 4 M 2 I + γ I .
Obviously, (31) is a linear matrix inequation, and the state observer gains can be obtained for (6). Based on (27), (28) and (31), we have
V ˙ ( t ) i = 1 4 k 1 e 1 i 2 ( t ) k 1 b i 2 e 1 i 2 ( t ) + k 2 e 2 i 2 ( t ) k 2 b i 2 e 2 i 2 ( t ) γ x ˜ 1 T ( t ) x ˜ 1 ( t ) γ x ˜ 2 T ( t ) x ˜ 2 ( t ) < 0 .
According to Lemma 1, we have
V ˙ ( t ) < γ 0 V ( t ) ,
where γ 0 = min { 1 , γ } .
Based on the above discussion, we conclude the following theorem with the sufficient conditions, which guarantee that the output feedback flight tracking controller is constructed to ensure the stability of tracking error systems. The main result sums up as the following Theorem.
 Theorem 1. 
Consider the helicopter attitude and altitude systems with full state constraints and unmeasured states. A state observer (6), and flight tracking controller (16) and (20) are designed such that the composite closed-loop error systems (7), (13) and (17) are asymptotically stable. If there exist auxiliary parameters ε i > 0 , for i = 1 , . . . 6 , boundary parameters k 1 b i > 0 and k 2 b i > 0 , for i = 1 , 2 , 3 , 4 , controller parameters k 1 > 0 and k 2 > 0 , and matrices X, Y, P 1 , P 2 > ε 5 I and P 3 > ε 6 I , such that inequations (31) and P 1 P 2 P 2 T P 3 > 0 hold. Moreover, the state observer gains are given as L 1 = P 1 1 X and L 2 = P 3 1 Y T .
 Proof. 
According to the above discussion, the helicopter attitude and altitude systems could achieve the control task under the designed full state constraints flight output feedback controller. The stability of the controller has been proven using the Lyapunov stability theory. And the corresponding parameters are obtained via the inequality matrix technology. □

4. Simulations

In this section, in order to verify the effectiveness of the proposed controller, the following parameters are selected for the unmanned helicopter attitude control systems, and simulation verification is carried out in the Matlab/Simulink environment [28]:
J = d i a g { 0.26 0.35 0.29 } , m = 8 k g , M 1 = 0.2 , M 2 = 0.3 , ϵ i = 1 , i = { 1 , 2 , 3 , 4 , 5 , 6 } , k 1 = 2 , k 2 = 1.5 , k b 1 = ( 1 , 0.5 , 0.5 , 0.5 ) T , k b 2 = ( 0.8 , 0.3 , 0.3 , 0.8 ) T .
According to Theorem 1 and inequality (31), the state observation gain matrices are chosen as follows:
L 1 = 1.3839 0 0 0 0 1.3839 0 0 0 0 1.3839 0 0 0 0 1.3839 , L 2 = 2.1097 0 0 0 0 2.1097 0 0 0 0 2.1097 0 0 0 0 2.1097 .
The desired attitude angle of the unmanned helicopter are
y d = 6 0.25 s i n ( 0.5 t ) 0.2 s i n ( 0.3 t ) 0.6 s i n ( 0.4 t ) T .
And the initial states of the unmanned helicopter are
x ( 0 ) = 5 0.3 0.15 0.4 0 0.8 0.3 1 T .
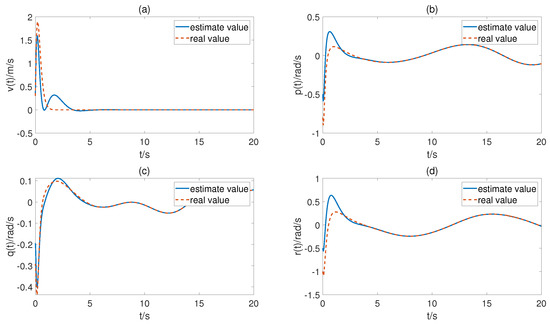
Based on the above parameters, the simulation experiment of the unmanned helicopter attitude and altitude control systems is carried out in the Matlab/Simulink environment, and the results are shown in Figure 1, Figure 2, Figure 3 and Figure 4. Figure 1 shows the output curves of the unmanned helicopter attitude control system. Figure 1a shows the altitude of the helicopter, the tracking process is gently with well dynamic performances. And Figure 1b–d present the attitude angles curves and their desired curves. Under the action of the designed controller, the control tasks are achieved about two seconds, and the designed curves are tracked without large overshoots. Figure 2 shows the velocity curves of altitude and attitude angular for the unmanned helicopter and their estimation curves under the action of the state observer. In which, Figure 2a gives the vertical velocity and its estimation of the helicopter, and Figure 2b–d are the attitude angular velocities and their estimations. As shown in the figures, these intermediate variables are observed via the designed state observers for the helicopter attitude and altitude systems, which are valid and able to be used to design the feedback controller. In order to further explain the effectiveness of the state observer, in Figure 3a–d, the estimate error curves are presented respectively. As time goes by, the estimate errors converge to the bounded range under the action of the state observer. Figure 4 shows the control input of the attitude control system of the unmanned helicopter. In which, Figure 4a is the force generated from the main rotor, and Figure 4b–d are the control moments of helicopters.
To assess the state constraint performance of the proposed method, a typical backstepping control method based on a quadratic Lyapunov function is used as an alternative to the state constraint control. The simulation results are presented in Figure 5 and Figure 6, where the proposed control scheme in this paper is compared with the traditional backstepping control strategy under the same initial conditions.
Figure 5 depicts the control output tracking error contrast curves of the unmanned helicopter. Specifically, Figure 5a represents the altitude tracking error, and Figure 5b–d illustrate the attitude tracking errors. It is evident that although the traditional backstepping control method achieves the expected altitude in a shorter time, the proposed control scheme exhibits better performance and ensures the helicopter’s attitude has smaller overshoots, leading to a safer flight under our control method.
Moving on to Figure 6, it displays the vertical velocity and attitude angular velocities contrast curves of the unmanned helicopter when the initial attitude angular velocities are 0. Figure 6a shows the vertical velocity curve, and Figure 6b–d present the attitude angular velocities contrast curves. These figures indicate that under the action of the designed controller in this paper, the vertical velocity and attitude angular velocities of the unmanned helicopter are effectively constrained, thereby avoiding safety issues such as rollover and overturning.
In conclusion, the proposed control method in this paper proves effective for the unmanned helicopter attitude and altitude systems. The presented figures clearly demonstrate the advantages of the proposed control method compared to the traditional control strategy.

5. Conclusions

In this paper, flight tracking control issues are studied in unmanned helicopter altitude and attitude control systems under the full state constraints via the output feedback control scheme. Under the designed flight output feedback tracking controller, the unmanned helicopter altitude and attitude control systems achieve the expected control target. Meanwhile, all states of the helicopter altitude and attitude systems are constrained within the determined range. Finally, the rationality and advantages of the proposed flight control method are verified through the experimental simulation.
In the future, we will apply these intelligent control methods to address the control problem of unmanned helicopters. The intelligent control schemes, such as the neural network control method, fuzzy control method and expert control method, will be combined with the output feedback control strategy to improve the control performance of the helicopter.

Author Contributions

Conceptualization, Y.L.; Methodology, Y.L. and Y.S.; Writing—original draft, Y.L. and Y.H.; Writing—review and editing, D.L., Y.S. and Y.J.; Supervision, H.L.; Funding acquisition, Y.L. and D.L. All authors have read and agreed to the published version of the manuscript.

Funding

This research was funded by the National Natural Science Foundation of China grant number 62103327, 62127809 and 12101481; the Project funded by China Postdoctoral Science Foundation grant number 2021MD703879 and 2022T150524, in part by the Shaanxi Fundamental Science Research Project for Mathematics and Physics grant number 22JSQ022.

Data Availability Statement

Not applicable.

Conflicts of Interest

The authors declare no conflict of interest.

References

  1. Raptis, I.A.; Valavanis, K.P. Linear and Nonlinear Control of Small-Scale Unmanned Helicopters; Springer: London, UK, 2011. [Google Scholar]
  2. Ren, B.; Ge, S.S.; Chen, C.; Fua, C.H.; Lee, T. Modeling, Control and Coordination of Helicopter Systems; Springer: New York, NY, USA, 2013. [Google Scholar]
  3. Zhou, T.; Wu, H.; Sun, W.; Zhao, Z. Adaptive neural network sliding mode control of a nonlinear two-degrees-of-freedom helicopter system. Asian J. Control 2023, 25, 2085–2094. [Google Scholar] [CrossRef]
  4. Yang, X.; Zheng, X. Adaptive NN backstepping control design for a 3-DOF helicopter: Theory and experiments. IEEE Trans. Ind. Electron. 2020, 67, 3967–3979. [Google Scholar] [CrossRef]
  5. Glida, H.; Abdou, L.; Chelihi, A.; Sentouh, C.; Hasseni, S. Optimal model-free backstepping control for a quadrotor helicopter. Nonlinear Dyn. 2020, 100, 3449–3468. [Google Scholar] [CrossRef]
  6. He, M.; He, J.; Scherer, S. Model-based real-time robust controller for a small helicopter. Mech. Syst. Signal Process. 2021, 146, 107022. [Google Scholar] [CrossRef]
  7. Wang, X.; Chen, Y.; Lu, G.; Zhong, Y. Robust attitude tracking control of small-scale unmanned helicopter. Int. J. Syst. Sci. 2015, 46, 1472–1485. [Google Scholar] [CrossRef]
  8. Zhou, Q.; Xu, X.; Liu, L.; Feng, G. Output feedback stabilization of linear systems with infinite distributed input and output delays. Inf. Sci. 2021, 576, 54–67. [Google Scholar] [CrossRef]
  9. Wei, Z.; Lin, X. Stabilization of planar switched systems with an output constraint via output feedback. ISA Trans. 2022, 122, 198–204. [Google Scholar] [CrossRef]
  10. Wen, T.; Liu, Y.; Wu, Q.; Qin, L. Cascaded sliding-mode observer and its applications in output feedback control part I: Observer design and stability analysis. CSEE J. Power Energy Syst. 2021, 7, 295–306. [Google Scholar]
  11. Wang, L.; Kellett, C. Robust output feedback stabilization of MIMO invertible nonlinear systems with output-dependent multipliers. IEEE Trans. Autom. Control 2022, 67, 2989–2996. [Google Scholar] [CrossRef]
  12. Shen, Y.; Zhai, J. Global dynamic output feedback for high-order nonlinear systems with uncertain output function. Nonlinear Dyn. 2021, 104, 2389–2409. [Google Scholar] [CrossRef]
  13. Yu, X.; He, W.; Li, H.; Sun, J. Adaptive fuzzy full-state and output-feedback control for uncertain robots with output constraint. IEEE Trans. Syst. Man-Cybern.-Syst. 2021, 51, 6994–7007. [Google Scholar] [CrossRef]
  14. Marconi, L.; Naldi, R.; Isidori, A. High-gain output feedback for a miniature UAV. Int. J. Robust Nonlinear Control 2014, 24, 1104–1126. [Google Scholar] [CrossRef]
  15. Shen, L.; Wang, H.; Yue, H. Prescribed performance adaptive fuzzy control for affine nonlinear systems with state constraints. IEEE Trans. Fuzzy Syst. 2022, 30, 5351–5360. [Google Scholar] [CrossRef]
  16. Liu, L.; Liu, Y.; Chen, A.; Tong, S.; Chen, C. Integral barrier Lyapunov function-based adaptive control for switched nonlinear systems. Sci. China Inf. Sci. 2020, 63, 132203. [Google Scholar] [CrossRef]
  17. Cui, Q.; Huang, X.; Wang, Y. Semi-globally tracking control for uncertain non-affine self-restructuring systems with state constraints. Int. J. Robust Nonlinear Control 2023, 33, 1335–1350. [Google Scholar] [CrossRef]
  18. Zhu, K.; Guo, X.; Jiang, C.; Xue, Y.; Li, Y.; Han, L.; Chen, Y. MIMU/Odometer fusion with state constraints for vehicle positioning during BeiDou signal outage: Testing and results. Sensors 2020, 20, 2302. [Google Scholar] [CrossRef]
  19. Tahouni, A.; Mirzaei, M.; Najjari, B. Applied nonlinear control of vehicle stability with control and state constraints. Proc. Inst. Mech. Eng. Part J. Automob. Eng. 2020, 234, 191–211. [Google Scholar] [CrossRef]
  20. Jiang, X.; Li, Y. IBLF-based event-triggered adaptive learning control of nonlinear systems with full state constraints. Int. J. Adapt. Control Signal Process. 2022, 36, 1816–1834. [Google Scholar] [CrossRef]
  21. Ma, Y.; Liu, Y.; Zhao, W.; Lan, J.; Xu, T.; Liu, L. Distributed adaptive fuzzy control for multi-agent systems with full state constraints and unmeasured states. Inf. Sci. 2022, 613, 609–627. [Google Scholar] [CrossRef]
  22. Li, Y.; Huang, Y.; Liu, H.; Li, D. Full state constrained flight tracking control for helicopter systems with disturbances. Aerospace 2023, 10, 471. [Google Scholar] [CrossRef]
  23. Xuan, B.; Gu, X.; Pan, X. Data driven adaptive robust attitude control for a small size unmanned helicopter. Mech. Syst. Signal Process. 2022, 177, 109205. [Google Scholar] [CrossRef]
  24. Li, Y.; Chen, M.; Ge, S.; Li, D. Anti-disturbance control for attitude and altitude systems of the helicopter under random disturbances. Aerosp. Sci. Technol. 2020, 96, 105561. [Google Scholar] [CrossRef]
  25. Li, Y.; Chen, M.; Shi, P.; Li, T. Stochastic anti-disturbance flight control for helicopter systems with switching disturbances under Markovian parameters. IEEE Trans. Aerosp. Electron. Syst. 2023, 59, 2933–2946. [Google Scholar] [CrossRef]
  26. Keng, P.; Shuzhi, S.; Eng, H. Barrier Lyapunov Functions for the control of output-constrained nonlinear systems. Automatica 2009, 45, 918–927. [Google Scholar]
  27. Li, Y.; Sun, H.; Zong, G.; Hou, L. Anti-disturbance control for time-varying delay Markovian jump nonlinear systems with multiple disturbances. Int. J. Syst. Sci. 2017, 48, 3186–3200. [Google Scholar] [CrossRef]
  28. Sun, X.; Fang, Y.; Sun, N. Backstepping-based adaptive attitude and height control of a small-scale unmanned helicopter. Control Theory Appl. 2012, 29, 381–388. [Google Scholar]
  29. Singh, P.; Giri, K.D.; Ghosh, K.A. Robust backstepping sliding mode aircraft attitude and altitude control based on adaptive neural network using symmetric BLF. Aerosp. Sci. Technol. 2022, 126, 107653. [Google Scholar]
  30. Bassolillo, S.R.; D’Amato, E.; Notaro, I.; Ariante, G.; Core, D.G.; Mattei, M. Enhanced attitude and altitude estimation for indoor autonomous UAVs. Drones 2022, 6, 18. [Google Scholar] [CrossRef]
Figure 1. Control output curves of the unmanned helicopter.
Figure 1. Control output curves of the unmanned helicopter.
Aerospace 10 00696 g001
Figure 2. Attitude angle velocity and altitude velocity curves and their estimates via state observer.
Figure 2. Attitude angle velocity and altitude velocity curves and their estimates via state observer.
Aerospace 10 00696 g002
Figure 3. Attitude angle velocity and altitude velocity estimate error curves.
Figure 3. Attitude angle velocity and altitude velocity estimate error curves.
Aerospace 10 00696 g003
Figure 4. Input curves of the unmanned helicopter.
Figure 4. Input curves of the unmanned helicopter.
Aerospace 10 00696 g004
Figure 5. Altitude and attitude angle contrast curves of the unmanned helicopter.
Figure 5. Altitude and attitude angle contrast curves of the unmanned helicopter.
Aerospace 10 00696 g005
Figure 6. Altitude velocity and attitude angular velocity contrast curves of the unmanned helicopter.
Figure 6. Altitude velocity and attitude angular velocity contrast curves of the unmanned helicopter.
Aerospace 10 00696 g006
Disclaimer/Publisher’s Note: The statements, opinions and data contained in all publications are solely those of the individual author(s) and contributor(s) and not of MDPI and/or the editor(s). MDPI and/or the editor(s) disclaim responsibility for any injury to people or property resulting from any ideas, methods, instructions or products referred to in the content.

Share and Cite

MDPI and ACS Style

Li, Y.; Huang, Y.; Li, D.; Sun, Y.; Liu, H.; Jin, Y. Flight Tracking Control for Helicopter Attitude and Altitude Systems Using Output Feedback Method under Full State Constraints. Aerospace 2023, 10, 696. https://doi.org/10.3390/aerospace10080696

AMA Style

Li Y, Huang Y, Li D, Sun Y, Liu H, Jin Y. Flight Tracking Control for Helicopter Attitude and Altitude Systems Using Output Feedback Method under Full State Constraints. Aerospace. 2023; 10(8):696. https://doi.org/10.3390/aerospace10080696

Chicago/Turabian Style

Li, Yankai, Yulong Huang, Dongping Li, Yuan Sun, Han Liu, and Yongze Jin. 2023. "Flight Tracking Control for Helicopter Attitude and Altitude Systems Using Output Feedback Method under Full State Constraints" Aerospace 10, no. 8: 696. https://doi.org/10.3390/aerospace10080696

APA Style

Li, Y., Huang, Y., Li, D., Sun, Y., Liu, H., & Jin, Y. (2023). Flight Tracking Control for Helicopter Attitude and Altitude Systems Using Output Feedback Method under Full State Constraints. Aerospace, 10(8), 696. https://doi.org/10.3390/aerospace10080696

Note that from the first issue of 2016, this journal uses article numbers instead of page numbers. See further details here.

Article Metrics

Back to TopTop