Numerical Investigation on the Effect of Ammonium Perchlorate Content and Position on the Combustion Characteristics of an Ammonium Perchlorate/Hydroxyl-Terminated Polybutadiene Propellant
Abstract
1. Introduction
2. Modeling
2.1. Geometry
2.2. Solid Phase
2.3. Gas Phase
2.3.1. Global Kinetic Model
→1.4CO + 2.6CO2 + 0.7Cl + 3.7HCl + 0.65H2 + 8.9H2O + 2.2N2 + 0.8OH + 0.65O2
→1.4CO + 2.6CO2 + 0.7Cl + 3.7HCl+ 0.65H2 + 8.9H2O + 2.2N2 + 0.8OH + 0.65O2
2.3.2. Governing Equations
2.4. Boundary Condition
2.5. Verification
3. Results and Discussion
3.1. Effect of Total AP Content
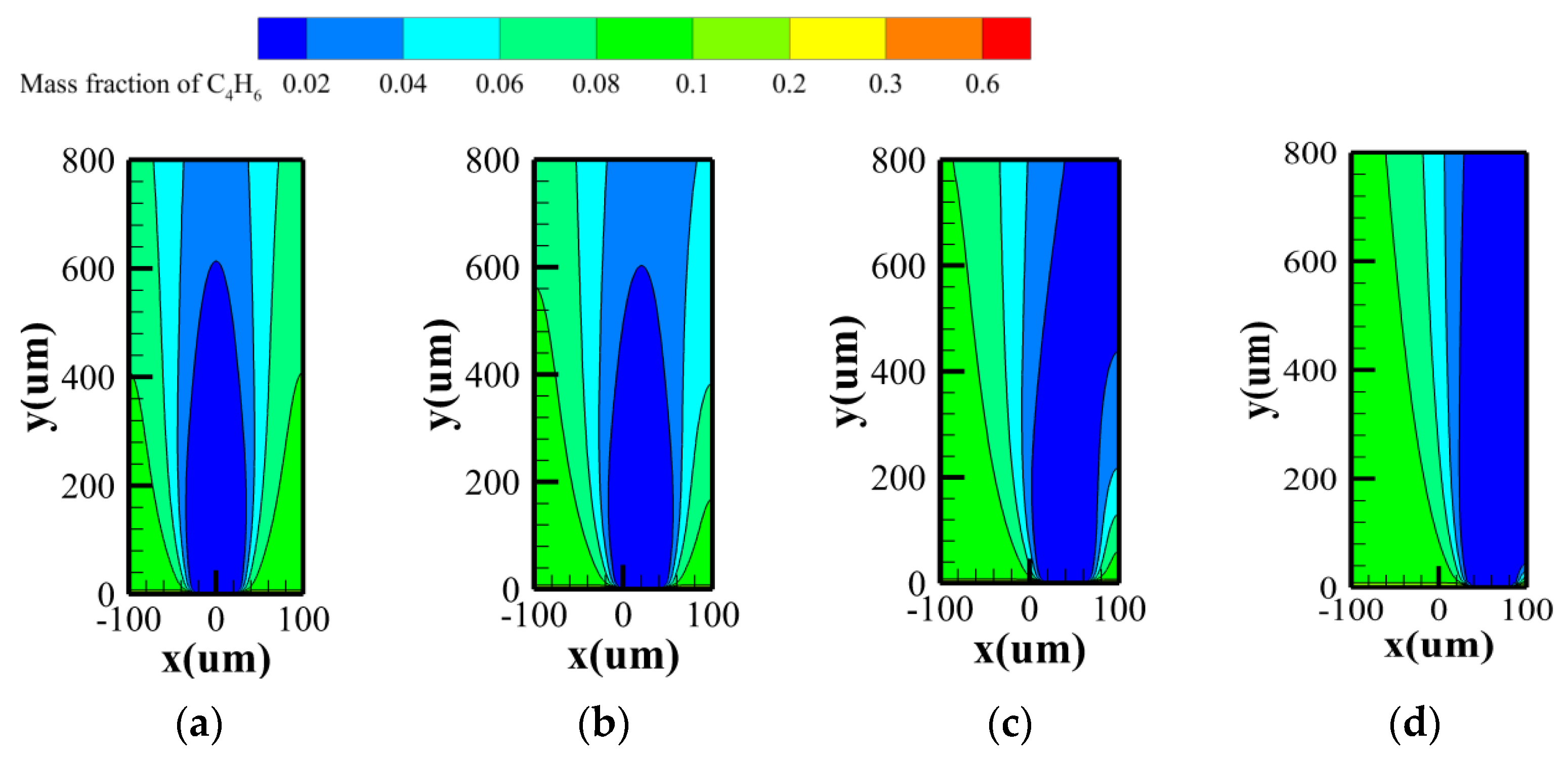
3.2. Effect of Fine AP Content
3.3. Effect of Coarse AP Position
4. Conclusions
- (1)
- A gas-phase and solid-phase-coupled sandwich combustion model is constructed in this paper and compared with the experimental results. The model exhibited high precision, with an average error in burning rates within 5%;
- (2)
- The temperature of the gas phase and burning rate initially increases and then decreases with the overall AP content; there is an optimal oxygen-to-fuel ratio that maximizes the burning rate, which is nearly 87.5%;
- (3)
- With the increase of fine AP mass fraction, the diffusion flame gradually loses its dominance over the premixed flame above the binder matrix. Additionally, the diffusion flame near the interface of coarse AP and binder matrix grows stronger, getting closer to the burning surface, creating stronger thermal feedback and increasing the burning rate. As the mass fraction of fine AP increases from 0% to 70.0%, the average surface temperature rises from 937 K to 1026 K, and the combustion rate increases from 0.9 cm/s to 2.7 cm/s;
- (4)
- Despite the asymmetry caused by the location of the coarse AP, the average temperature and burning rate are not significantly affected, remaining at 1011 K and 2.3 cm/s, respectively. This implies that the asymmetry diffusion flame has little impact on the burning rate.
Author Contributions
Funding
Data Availability Statement
Conflicts of Interest
Nomenclature
| A | Arrhenius pre-exponential factor for solid propellant pyrolysis, kg/m2s |
| Ag | Arrhenius pre-exponential factor for gas-phase reactions, kmol/(m3·s·barn) |
| n | pressure exponents in the reaction rates |
| mass flow rate, kg/s | |
| Ru | universal gas constant |
| cp | specific heat, J/kg·K |
| Qs | reaction heat of the solid, kJ/kg |
| p | pressure, bar |
| S | source term in the generalized equation |
| r | burning rate, mm/s |
| E | Arrhenius activation energy, J/mol |
| Yk | mass fraction of species, k |
| ρ | density, kg/m3 |
| T | temperature, K |
| α | mass fraction of fine AP in the binder matrix |
| λ | heat conductivity, W/m.K |
| ν | velocity of gas-phase products, mm/s |
| Subscripts | |
| AP | ammonium perchlorate |
| HTPB | hydroxyl-terminated polybutadiene |
| s | surface |
| g | gas-phase |
| m | fine AP/HTPB binder matrix |
References
- Mini, S.; Ponti, F.; Brusa, A.; Bertacin, R.; Betti, B. Prediction of tail-off pressure peak anomaly on small-scale rocket motors. Aerospace 2023, 10, 169. [Google Scholar] [CrossRef]
- Hernandez, R.; Singh, H.; Messimer, S.; Patterson, A. Design and performance of modular 3-D printed solid-propellant rocket airframes. Aerospace 2017, 4, 17. [Google Scholar] [CrossRef]
- Dennis, C.; Bojko, B. On the combustion of heterogeneous AP/HTPB composite propellants: A review. Fuel 2019, 254, 115646. [Google Scholar] [CrossRef]
- Yue, S.; Liu, L.; Liu, H.; Jiang, Y.; Liu, P.; Pang, A.; Zhang, G.; Ao, W. Agglomerate size evolution in solid propellant combustion under high pressure. Aerospace 2023, 10, 515. [Google Scholar] [CrossRef]
- Orlandi, O.; Plaud, M.; Godfroy, F.; Larrieu, S.; Cesco, N. Aluminium droplets combustion and SRM instabilities. Acta Astronaut. 2019, 158, 470–479. [Google Scholar] [CrossRef]
- Liu, X.; Hu, S.; Liu, L.; Zhang, Y. Condensed combustion products characteristics of HTPB/AP/AL propellants under solid rocket motor conditions. Aerospace 2022, 9, 677. [Google Scholar] [CrossRef]
- Elbasuney, S.; Fahd, A.; Mostafa, H. Combustion characteristics of extruded double base propellant based on ammonium perchlorate/aluminum binary mixture. Fuel 2017, 208, 296–304. [Google Scholar] [CrossRef]
- Mullen, J.; Brewster, M. Reduced agglomeration of aluminum in wide-distribution composite propellants. J. Propuls. Power 2011, 27, 650–661. [Google Scholar] [CrossRef]
- Cohen, N.; Strand, L. An improved model for the combustion of AP composite propellants. AIAA J. 2012, 20, 1739–1746. [Google Scholar] [CrossRef]
- Cohen, N. Review of composite propellant burn rate modeling. AIAA J. 1979, 18, 277–293. [Google Scholar] [CrossRef]
- Price, C.; Boggs, T.; Derr, R. Modeling of solid monopropellant deflagration. In Proceedings of the AIAA 16th Aerospace Sciences Meeting, Huntsville, Alabama, 16–18 January 1978. [Google Scholar]
- Glick, R. On statistical analysis of composite solid propellant combustion. AIAA J. 1949, 12, 384–385. [Google Scholar] [CrossRef]
- Beckstead, M.; Derr, R.; Price, C. A model of composite solid-propellant combustion based on multiple flames. AIAA J. 1970, 8, 2200–2207. [Google Scholar] [CrossRef]
- Jeppson, M.; Beckstead, M.; Jing, Q. A kinetic model for the premixed combustion of a fine AP/HTPB composite propellant. In Proceedings of the AIAA Aerospace Sciences Meeting and Exhibit, Reno, NV, USA, 12–15 January 1998. [Google Scholar]
- Chorpening, B.; Knott, G.; Brewster, M. Flame structure and burning rate of ammonium perchlorate/hydroxyl-terminated polybutadiene propellant sandwiches. Proc. Combust. Inst. 2000, 28, 847–853. [Google Scholar] [CrossRef]
- Chorpening, B.; Brewster, M. Emission imaging of AP/HTPB propellant sandwich combustion. Combust. Sci. Technol. 2002, 174, 39–60. [Google Scholar] [CrossRef]
- Knott, G.; Jackson, T.; Buckmaster, J. Random Packing of Heterogeneous Propellants. AIAA J. 2001, 39, 678–686. [Google Scholar] [CrossRef]
- Massa, L.; Jackson, T.; Short, M. Numerical solution of three-dimensional heterogeneous solid propellants. Combust. Theory Model. 2003, 7, 579–602. [Google Scholar] [CrossRef]
- Jackson, T.; Buckmaster, J. Heterogeneous propellant combustion. AIAA J. 2002, 40, 1122–1130. [Google Scholar] [CrossRef]
- Price, E.; Sambamurthi, J.; Sigman, R.; Panyam, R. Combustion of ammonium perchlorate-polymer sandwiches. Combust. Flame 1986, 63, 381–413. [Google Scholar] [CrossRef]
- Fitzgerald, R.; Brewster, M. Flame and surface structure of laminate propellants with coarse and fine ammonium perchlorate. Combust. Flame 2004, 136, 313–326. [Google Scholar] [CrossRef]
- Buckmaster, J.; Jackson, T.; Yao, J. An elementary discussion of propellant flame geometry. Combust. Flame 1999, 117, 541–552. [Google Scholar] [CrossRef]
- Hegab, A.; Jacson, L.; Buckmaster, J.; Stewart, D. Nonsteady burning of periodic sandwich propellants with complete coupling between the solid and gas phases. Combust. Flame 2001, 125, 1055–1070. [Google Scholar] [CrossRef]
- Gross, M.; Beckstead, M. Diffusion flame calculations for composite propellants predicting particle-size effects. Combust. Flame 2010, 157, 864–873. [Google Scholar] [CrossRef]
- Jain, S.; Mehilal, M.; Nandagopal, S.; Singh, P.P.; Radhakrishnan, K.K.; Bhattacharya, B. Size and Shape of Ammonium Perchlorate and their Influence on Properties of Composite Propellant. Def. Sci. J. 2009, 59, 294–299. [Google Scholar] [CrossRef]
- Miller, R. Effects of particle size on reduced smoke propellant ballistics. In Proceedings of the 18th Joint Propulsion Conference, Cleveland, OH, USA, 21–23 June 1982. [Google Scholar]
- Renie, J.; Condon, J.; Osborn, J. Oxidizer size distribution effects on propellant combustion. AIAA J. 2015, 17, 877–883. [Google Scholar] [CrossRef]
- Fong, C.; Smith, R. The relationship between plateau burning behavior and ammonium perchlorate particle size in HTPB-AP composite propellants. Combust. Flame 1987, 67, 235–247. [Google Scholar] [CrossRef]
- Kohga, M. Burning rate characteristics of ammonium perchlorate-based composite propellant using bimodal ammonium perchlorate. J. Propuls. Power 2008, 24, 499–506. [Google Scholar] [CrossRef]
- Guirao, C.; Williams, F. A model for ammonium perchlorate deflagration between 20 and 100 atm. AIAA J. 1971, 9, 1345–1356. [Google Scholar] [CrossRef]
- Ramakrishna, P.; Paul, P.; Mukunda, H. Sandwich propellant combustion: Modeling and experimental comparison. Proc. Combust. Inst. 2002, 29, 2963–2973. [Google Scholar] [CrossRef]
- Gaduparthi, T.; Pandey, M.; Chakravarthy, S. Gas phase flame structure of solid propellant sandwiches with different reaction mechanisms. Combust. Flame 2016, 164, 10–21. [Google Scholar] [CrossRef]
- Chidambaram, P.K.; Kumar, A. A numerical investigation of oxidizer mixed hybrid rocket motors. Aerosp. Sci. Technol. 2015, 45, 10–16. [Google Scholar] [CrossRef]
- Zou, X.; Wang, N.; Wang, C.; Wang, J.; Tang, Y.; Shi, B. Investigation on the microscale combustion characteristics of AP/HTPB propellant under wide pressure range. Fuel 2021, 306, 121652. [Google Scholar] [CrossRef]
- Beckstead, M.; Hightower, J. Surface temperature of deflagrating ammonium perchlorate crystals. AIAA J. 1967, 5, 1785–1790. [Google Scholar] [CrossRef]
- Mitani, T.; Niioka, T. Double Flame Structure in AP Combustion. Symp. (Int.) Combust. 1985, 20, 2043–2049. [Google Scholar] [CrossRef]
- Ramakrishna, P.; Paull, P.; Mukunda, H. Revisiting the Modeling of Ammonium Perchlorate Combustion: Development of an Unsteady Model. J. Propuls. Power 2015, 22, 661–668. [Google Scholar] [CrossRef]
- Rasmussen, B.; Frederick, J. A nonlinear heterogeneous model of composite solid propellant combustion. J. Propuls. Power 2002, 18, 1086–1092. [Google Scholar] [CrossRef]
- Chen, M.; Buckmaster, J.; Jackson, T.; Massa, L. Homogenization issues and the combustion of heterogeneous solid propellants. Proc. Combust. Inst. 2002, 29, 2923–2929. [Google Scholar] [CrossRef]
- Gross, M.; Hedman, T.; Son, S.; Jackson, T.; Beckstead, M. Coupling micro and meso-scale combustion models of AP/HTPB propellants. Combust. Flame 2013, 160, 982–992. [Google Scholar] [CrossRef]
- Massa, L.; Buckmaster, J.; Jackson, T.L. New kinetics for a model of heterogeneous propellant combustion. J. Propuls. Power 2005, 15, 654–660. [Google Scholar] [CrossRef]

















| Parameter | Value | Unit |
|---|---|---|
| 1950 | kg/m3 | |
| 920 | kg/m3 | |
| AAP | 2,827,500 | kg/m2s |
| AHTPB | 9531.2 | kg/m2s |
| EAP | 91,820 | J/mol |
| EHTPB | 62,355 | J/mol |
| λAP | 0.21 | W/mK |
| λHTPB | 0.14 | W/mK |
| cp,AP | 1602 | J/kgK |
| cp,HTPB | 2900 | J/kgK |
| Qs,AP | −385 | kJ/kg |
| Qs,HTPB | −226 | kJ/kg |
| Parameters | Equation (7) | Equation (8) | Equation (9) | Unit |
|---|---|---|---|---|
| Ag | 1.89 107 | 1.5 107 | 1.5 107 | |
| n | 1.4 | 1 | 1.4 | - |
| Eg | 6.77 104 | 4 104 | 6 104 | J/mol |
| Propellant | Mass Fraction of AP (%) | Mass Fraction of HTPB (%) | |
|---|---|---|---|
| 90 μm | 20 μm | ||
| P-1 | 87.5 | 0 | 12.5 |
| P-2 | 59.0 | 28.5 | |
| P-3 | 31.6 | 55.9 | |
| P-4 | 17.5 | 70.0 | |
Disclaimer/Publisher’s Note: The statements, opinions and data contained in all publications are solely those of the individual author(s) and contributor(s) and not of MDPI and/or the editor(s). MDPI and/or the editor(s) disclaim responsibility for any injury to people or property resulting from any ideas, methods, instructions or products referred to in the content. |
© 2023 by the authors. Licensee MDPI, Basel, Switzerland. This article is an open access article distributed under the terms and conditions of the Creative Commons Attribution (CC BY) license (https://creativecommons.org/licenses/by/4.0/).
Share and Cite
Sun, D.; Li, Y.; Liu, P.; Chen, B.; Fan, W. Numerical Investigation on the Effect of Ammonium Perchlorate Content and Position on the Combustion Characteristics of an Ammonium Perchlorate/Hydroxyl-Terminated Polybutadiene Propellant. Aerospace 2023, 10, 692. https://doi.org/10.3390/aerospace10080692
Sun D, Li Y, Liu P, Chen B, Fan W. Numerical Investigation on the Effect of Ammonium Perchlorate Content and Position on the Combustion Characteristics of an Ammonium Perchlorate/Hydroxyl-Terminated Polybutadiene Propellant. Aerospace. 2023; 10(8):692. https://doi.org/10.3390/aerospace10080692
Chicago/Turabian StyleSun, Di, Yongzhou Li, Peijin Liu, Bofeng Chen, and Wei Fan. 2023. "Numerical Investigation on the Effect of Ammonium Perchlorate Content and Position on the Combustion Characteristics of an Ammonium Perchlorate/Hydroxyl-Terminated Polybutadiene Propellant" Aerospace 10, no. 8: 692. https://doi.org/10.3390/aerospace10080692
APA StyleSun, D., Li, Y., Liu, P., Chen, B., & Fan, W. (2023). Numerical Investigation on the Effect of Ammonium Perchlorate Content and Position on the Combustion Characteristics of an Ammonium Perchlorate/Hydroxyl-Terminated Polybutadiene Propellant. Aerospace, 10(8), 692. https://doi.org/10.3390/aerospace10080692
