Airfoil Analysis and Optimization Using a Petrov–Galerkin Finite Element and Machine Learning
Abstract
:1. Introduction
2. Parameterization
3. RANS: Consistent Stabilized Petrov–Galerkin Formulation with Equal-Order Interpolation
- Equal-order stabilized three-node triangles for the flow problem.
- Standard three-node triangles for the distance function (ADF) required in the turbulence stage.
- Stabilized three-node triangles for the Spalart–Allmaras turbulence model.
- Backward Euler time integration is employed.
- A fully-implicit algorithm is adopted, and the solution is obtained using the Newton–Raphson method.
4. Turbulence with the Spalart–Allmaras Transport Equation
- The left-hand-side is the convective derivative of , which provides the rate of change of .
- The first term on the right-hand-side is the shear-driven turbulence generation, which occurs due to the velocity profile near solid boundaries.
- The second term on the right-hand-side is the nonlinear diffusion term, which has a linear part () and a nonlinear part (). The nonlinear part was fine-tuned using the parameter to correctly represent the spreading of turbulence.
- The third term (with a negative sign) is the destruction term, whose purpose is to destruct turbulence near a wall. It obviously depends on the distance to the wall d.
- The fourth term is the source, which depends on the square of the velocity difference and the vorticity, by means of . Note that for fixed walls, . Without this term, for homogeneous initial and boundary conditions, the equation would produce a null value of .
5. Machine Learning and Optimization
- Parameter inputs, which are the 10 parameters of the CST representation for the complete set of UIUC airfoils.
- Outputs, which are images under a function of the inputs, in this case, .
- Assessment method: this is required to measure the evolution of the iterations toward the result.
- CST [22] parameterization with 10 parameters, which are both the inputs in the learning process and the design variables.
- Data source: UIUC database [9].
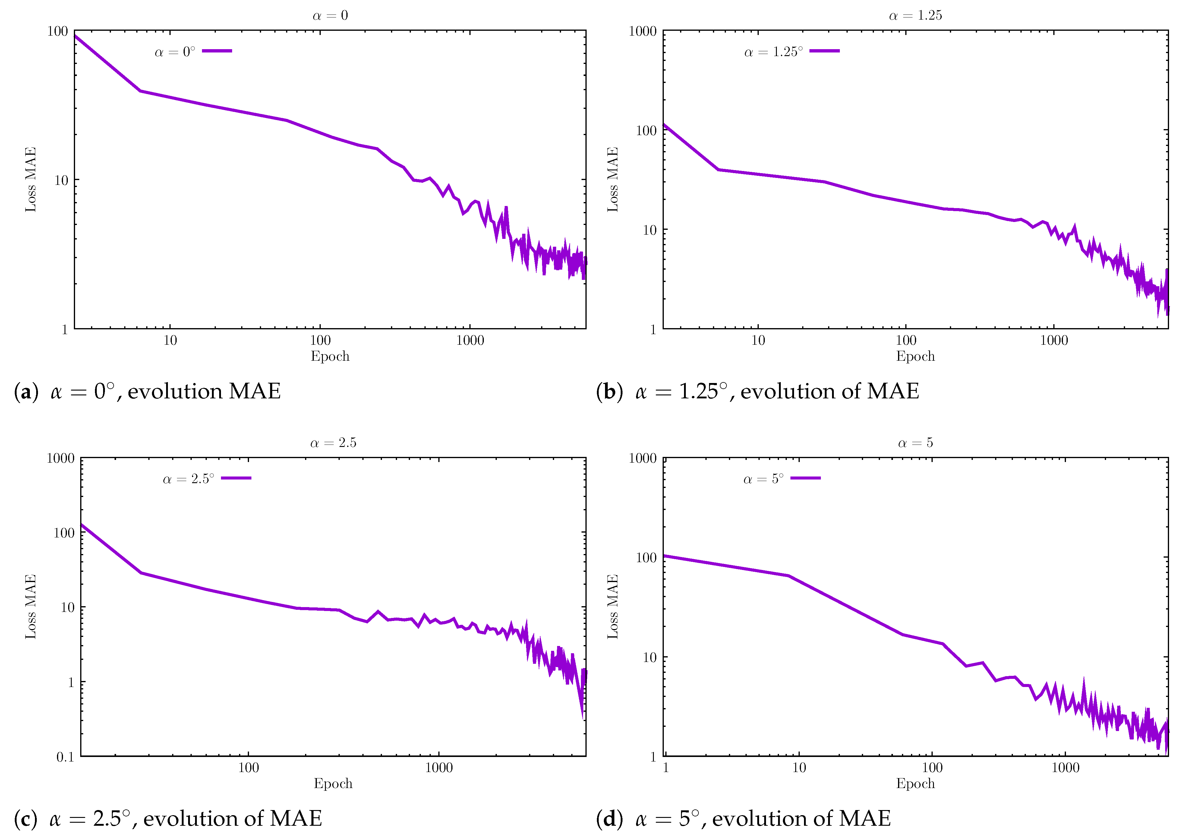
- Four angles of attack were tested, 0, 1.25, 2.50, and 5.00 degrees.
- Set partitioning is as follows: 80% for training and 20% for testing.
- The type is “Regression Classification”.
- Activation function is “ReLU”.
- Kernel initializer is a uniform distribution with HeUniform class.
- Four dense layers.
- 6000 epochs.
- Loss function is “MAE”.
- Adam optimizer for the stochastic gradient descent.
6. Results and Discussion of Airfoil Optimization
7. Conclusions
Author Contributions
Funding
Data Availability Statement
Acknowledgments
Conflicts of Interest
Abbreviations
| ADF | approximate distance function |
| CST | class function/shape function transformation |
| FEM | finite element method |
| MAE | mean absolute error |
| ML | machine learning |
| RANS | Reynolds-averaged Navier–Stokes equations |
References
- Vanderplaats, G. Efficient algorithm for numerical airfoil optimization. J. Aircr. 1979, 16, 842–847. [Google Scholar] [CrossRef]
- Baydin, A.; Pearlmutter, B.; Radul, A.; Siskind, J. Automatic Differentiation in Machine Learning: A Survey. J. Mach. Learn. Res. 2018, 18, 1–43. [Google Scholar]
- Tao, J.; Sun, G. Application of deep learning based multi-fidelity surrogate model to robust aerodynamic design optimization. Aerosp. Sci. Technol. 2019, 92, 722–737. [Google Scholar] [CrossRef]
- Zanichelli, M. Shape Optimization of Airfoils by Machine Learning-Based Surrogate Models. Master’s Thesis, Politecnico Milano, Milan, Italy, 2021. [Google Scholar]
- Sun, Y.; Sengupta, U.; Juniper, M. Physics-informed deep learning for simultaneous surrogate modeling and PDE-constrained optimization of an airfoil geometry. Comput. Methods Appl. Mech. Eng. 2023, 411, 116042. [Google Scholar] [CrossRef]
- Wu, X.; Zuo, Z.; Ma, L. Aerodynamic data-driven surrogate-assisted teaching-learning-based optimization (TLBO) framework for constrained transonic airfoil and wing shape designs. Aerospace 2022, 9, 610. [Google Scholar] [CrossRef]
- Deng, F.; Yi, J. Fast inverse design of transonic airfoils by combining deep learning and efficient global optimization. Aerospace 2023, 10, 125. [Google Scholar] [CrossRef]
- Du, Q.; Liu, T.; Yang, L.; Li, L.; Zhang, D.; Xie, Y. Airfoil design and surrogate modeling for performance prediction based on deep learning method. Phys. Fluids 2022, 34, 015111. [Google Scholar] [CrossRef]
- Selig, M. UIUC Airfoil Data Site; Department of Aeronautica, Astronautical Engineering University of Illinois at Urbana-Champaign: Urbana, IL, USA, 1996. [Google Scholar]
- Hui, X.; Bai, J.; Wang, H.; Zhang, Y. Fast pressure distribution prediction of airfoils using deep learning. Aerosp. Sci. Technol. 2020, 105, 105949. [Google Scholar] [CrossRef]
- Karali, H.; Inalhan, G.; Demirezen, M.A. A new nonlinear lifting line method for aerodynamic analysis and deep learning modeling of small unmanned aerial vehicles. Int. J. Micro Air Veh. 2021, 13, 1–24. [Google Scholar] [CrossRef]
- Li, J.; Zhang, M.; Martins, J.; Shu, C. Efficient Aerodynamic Shape Optimization with Deep-Learning-Based Geometric Filtering. AIAA J. 2020, 58, 4243–4259. [Google Scholar] [CrossRef]
- Tyan, M.; Choi, C.K.; Ngyuyen, T.; Lee, J.W. Rapid airfoil inverse design method with a deep neural network and hyperparameter selection. Int. J. Aeronaut. Space Sci. 2023, 22, 33–46. [Google Scholar] [CrossRef]
- Xu, M.; Song, S.; Sun, X.; Chen, W.; Zhang, W. Machine learning for adjoint vector in aerodynamic shape optimization. Acta Mech. Sin. 2021, 37, 1416–1432. [Google Scholar] [CrossRef]
- Garcia-Gutierrez, A.; Gonzalo, J.; Dominguez, D.; Lopez, D.; Escapa, A. Aerodynamic optimization of propellers for high altitude pseudo-satellites. Aerosp. Sci. Technol. 2020, 96, 105562. [Google Scholar] [CrossRef]
- Rao, C.; Sun, H.; Liu, Y. Physics-informed deep learning for incompressible laminar flows. Theor. Appl. Mech. Lett. 2020, 10, 207–212. [Google Scholar] [CrossRef]
- Li, J.; Du, X.; Martins, J. Machine learning in aerodynamic shape optimization. Prog. Aerosp. Sci. 2022, 134, 100849. [Google Scholar] [CrossRef]
- Drela, M. XFOIL: An Analysis and Design System for Low Reynolds Number Airfoils. In Low Reynolds Number Aerodynamics; Mueller, T.J., Ed.; Springer: Berlin/Heidelberg, Germany, 1989; pp. 1–12. [Google Scholar]
- Areias, P. Simplas. Portuguese Software Association (ASSOFT) Registry Number 2281/D/17. Available online: http://www.simplassoftware.com (accessed on 20 June 2023).
- Shewchuk, J.R. Triangle: Engineering a 2D quality mesh generator and Delaunay triangulator. In Applied Computational Geometry towards Geometric Engineering; Lin, M.C., Manocha, D., Eds.; Springer: Berlin/Heidelberg, Germany, 1996; pp. 203–222. [Google Scholar]
- Anitha, D.; Shamili, G.; Ravi Kumar, P.; Sabari Vihar, R. Air foil shape optimization using CFD and parametrization methods. Mater. Today Proc. 2018, 5, 5364–5373. [Google Scholar] [CrossRef]
- Kulfan, B. Universal parametric geometry representation method. J. Aircr. 2008, 45, 142–159. [Google Scholar] [CrossRef]
- Lane, K.; Marshall, D. Inverse airfoil design using CST parameterization. In Proceedings of the Aerospace Sciences Meeting Including the New Horizons Forum and Aerospace Exposition, AIAA, Orlando, FL, USA, 4–7 January 2010. [Google Scholar]
- Gülçat, Ülgen. Fundamentals of Modern Unsteady Aerodynamics, 3rd ed.; Springer Nature: Cham, Switzerland, 2021. [Google Scholar]
- Research Inc. W. Mathematica. 2007. Available online: https://www.wolfram.com/mathematica/quick-revision-history/ (accessed on 20 June 2023).
- Korelc, J. Multi-language and multi-environment generation of nonlinear finite element codes. Eng. Comput. 2002, 18, 312–327. [Google Scholar] [CrossRef]
- Tezduyar, T.; Mittal, S.; Ray, S.; Shih, R. Incompressible flow computations with stabilized bilinear and linear equal-order-interpolation. Comput. Methods Appl. Mech. Eng. 1992, 95, 221–242. [Google Scholar] [CrossRef]
- Tezduyar, T.; Osawa, Y. Finite element stabilization parameters computed from element matrices and vectors. Comput. Methods Appl. Mech. Eng. 2000, 190, 411–430. [Google Scholar] [CrossRef]
- Tezduyar, T. Computation of moving boundaries and interfaces and stabilization parameters. Int. J. Numer. Methods Fluids 2003, 43, 555–575. [Google Scholar] [CrossRef]
- Tezduyar, T. Finite elements in fluids: Special methods and enhanced solution techniques. Comput. Fluids 2007, 36, 207–223. [Google Scholar] [CrossRef]
- Zienkiewicz, O.; Taylor, R.; Nithiarasu, P. The Finite Element Method for Fluid Dynamics; Elsevier: Waltham, MA, USA, 2014. [Google Scholar]
- Areias, P. Turbulent 2D Subroutines for SimPlas. 2023. Available online: https://github.com/PedroAreiasIST/Fluid (accessed on 20 June 2023).
- Varadhan, S. On the behavior of the fundamental solution of the heat equation with variable coefficients. Commun. Pure Appl. Math. 1967, 20, 431–455. [Google Scholar] [CrossRef]
- Spalart, P.; Allmaras, S. A one-equation turbulence model for aerodynamic flows. In Proceedings of the 30th Aerospace Sciences Meeting and Exhibit, Reno, NV, USA, 6–9 January 1992; American Institute of Aeronautics and Astronautics: Reston, VA, USA, 1992. [Google Scholar] [CrossRef]
- Spalart, P.; Allmaras, S. A one-equation turbulence model for aerodynamic flows. Rech. Aérospatiale 1994, 5–21. [Google Scholar] [CrossRef]
- NASA Langley Research Center. The Spalart-Allmaras Turbulence Model. Available online: https://turbmodels.larc.nasa.gov/spalart.html (accessed on 20 June 2023).
- Areias, P.; Melicio, R.; Correia, R. RANS with 10 Million Reynolds Number. 2015. Available online: https://youtu.be/W7_nEaoUn9k (accessed on 20 June 2023).
- Abadi, M.; Agarwal, A.; Barham, P.; Brevdo, E.; Chen, Z.; Citro, C.; Corrado, G.S.; Davis, A.; Dean, J.; Devin, M.; et al. TensorFlow: Large-Scale Machine Learning on Heterogeneous Systems. 2015. Software. Available online: TensorFlow.org (accessed on 20 June 2023).
- Mattmann, C. Machine Learning with TensorFlow, 2nd ed.; Manning: Shelter Island, NY, USA, 2020. [Google Scholar]
- Thuerey, N.; Weißenow, K.; Prantl, L.; Hu, X. Deep Learning Methods for Reynolds-Averaged Navier–Stokes Simulations of Airfoil Flows. AIAA J. 2020, 58, 25–36. [Google Scholar] [CrossRef] [Green Version]
- Chollet, F. Deep Learning with Python, 2nd ed.; Manning: Shelter Island, NY, USA, 2021. [Google Scholar]
- Brederode, V. Aerodinâmica Incompressível: Fundamentos, 2nd ed.; IST Press: Lisboa, Portugal, 2018. [Google Scholar]















| (a) for | |||
|---|---|---|---|
| Optimized | |||
| XFOIL CST | FEM CST | Best-in-Database | |
| 0 | 105 | ||
| 222 | 219 | ||
| 190 | 179 | ||
| 173 | |||
| (b) for | |||
| XFOIL CST | FEM CST | ||
| 0 | |||
| Method | p | |
|---|---|---|
| XFOIL | 0 | |
| FEM | 0 | |
Disclaimer/Publisher’s Note: The statements, opinions and data contained in all publications are solely those of the individual author(s) and contributor(s) and not of MDPI and/or the editor(s). MDPI and/or the editor(s) disclaim responsibility for any injury to people or property resulting from any ideas, methods, instructions or products referred to in the content. |
© 2023 by the authors. Licensee MDPI, Basel, Switzerland. This article is an open access article distributed under the terms and conditions of the Creative Commons Attribution (CC BY) license (https://creativecommons.org/licenses/by/4.0/).
Share and Cite
Areias, P.; Correia, R.; Melicio, R. Airfoil Analysis and Optimization Using a Petrov–Galerkin Finite Element and Machine Learning. Aerospace 2023, 10, 638. https://doi.org/10.3390/aerospace10070638
Areias P, Correia R, Melicio R. Airfoil Analysis and Optimization Using a Petrov–Galerkin Finite Element and Machine Learning. Aerospace. 2023; 10(7):638. https://doi.org/10.3390/aerospace10070638
Chicago/Turabian StyleAreias, Pedro, Rodrigo Correia, and Rui Melicio. 2023. "Airfoil Analysis and Optimization Using a Petrov–Galerkin Finite Element and Machine Learning" Aerospace 10, no. 7: 638. https://doi.org/10.3390/aerospace10070638
APA StyleAreias, P., Correia, R., & Melicio, R. (2023). Airfoil Analysis and Optimization Using a Petrov–Galerkin Finite Element and Machine Learning. Aerospace, 10(7), 638. https://doi.org/10.3390/aerospace10070638

