Evaluation of Aircraft Environmental Control System Order Degree and Component Centrality
Abstract
1. Introduction
2. Methodology
2.1. Graph and Network Structure
2.1.1. Path and Degree
2.1.2. Centrality
2.2. Structure Entropy Method
2.2.1. Timeliness
2.2.2. Quality
2.2.3. Total Order Degree
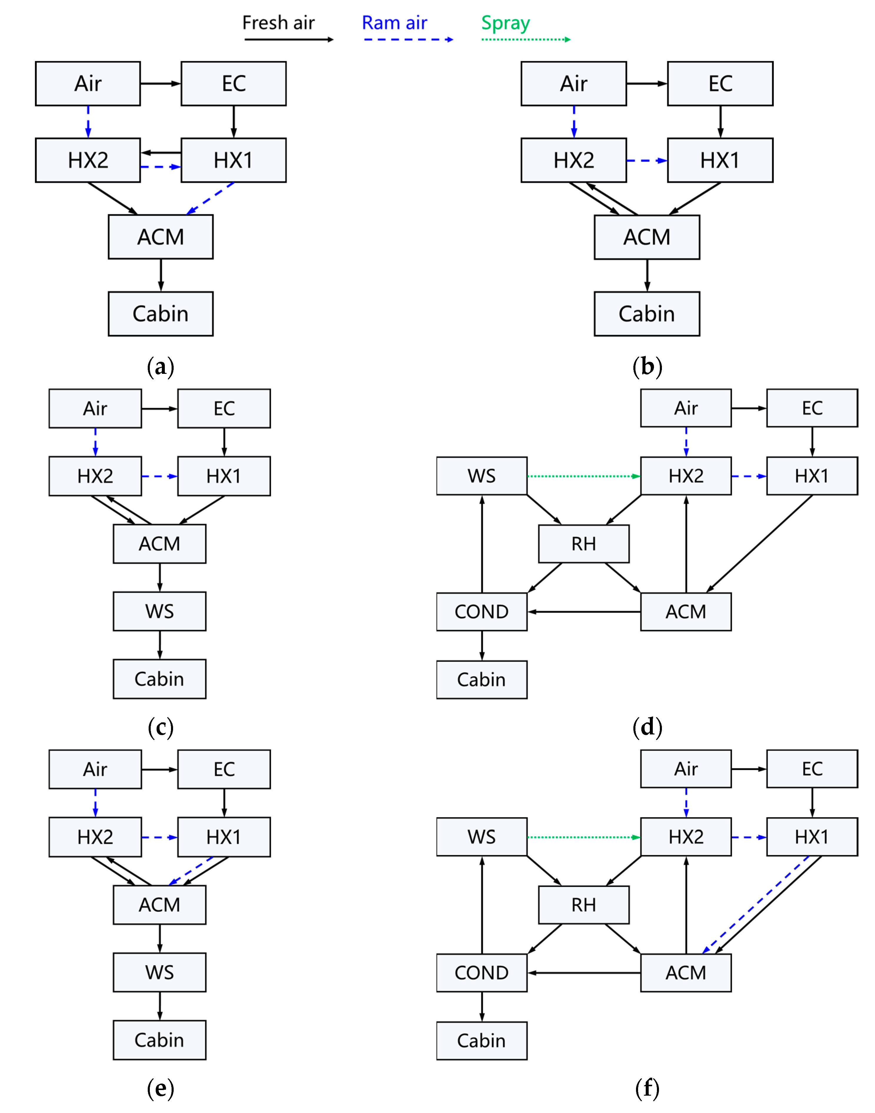
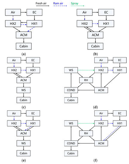
3. Aircraft Environmental Control System
3.1. Architectures of Different ACSs
3.1.1. Two-Wheel System
3.1.2. Three-Wheel System
3.1.3. Four-Wheel System
3.2. Network Graph
3.3. Fuel Weight Penalty
3.3.1. Ram Air Route
3.3.2. Spray Route
3.3.3. Fresh Air Route
3.3.4. Calculation Condition
3.3.5. Route Weight Setting
4. Results and Discussion
4.1. Route Weight
4.2. Order Degree
4.2.1. Two-Wheel Simple and Bootstrap ACS
4.2.2. Different Number of Wheels
4.2.3. Dry and Wet Condition
4.2.4. High-Pressure and Low-Pressure Water Separation
4.2.5. Integrated and Split Four-Wheel ACS
4.3. Component Centrality
5. Conclusions
- With the increase in the number of wheels in the high-pressure water separation system, the fresh air route lengthened, and the degree distribution grew more concentrated, resulting in a decrease in timeliness, an increase in quality, and total order degree. Although the system structure gradually becomes more complex, its thermodynamic efficiency and order degree have been improved.
- In the case of free water spray from the WS to the HX2 under wet conditions, the system had lower timeliness and higher quality than that under dry conditions, enabling the system to obtain a higher order degree after the addition of a spray route while achieving better cooling effects of the ram air.
- Compared with low-pressure water separation systems, high-pressure systems exhibited higher timeliness, lower quality, and order degree but improved water separation performance.
- The ACM is one of the most central components of each system, playing a key role in information transmission, with the HX2 also exhibiting a high centrality in some systems. The performance of these two important components should be prioritized during the system design process.
Author Contributions
Funding
Data Availability Statement
Acknowledgments
Conflicts of Interest
Nomenclature
| a | Base value of logarithm in information entropy |
| A1 | Total number of timeliness microstates |
| A2 | Total number of quality microstates |
| Bin | Number of inbound reachable vertexes |
| Bout | Number of outbound reachable vertexes |
| CB | Betweenness centrality |
| CC | Closeness centrality |
| CD | Degree centrality |
| Ce | Specific fuel consumption for thrust, kg/(N·s) |
| D | Aerodynamic drag, N |
| Din | Indegree |
| Dout | Outdegree |
| g | Gravity acceleration, m/s2 |
| H1 | Timeliness entropy |
| H1max | Theoretical maximum timeliness entropy |
| H2 | Quality entropy |
| H2max | Theoretical maximum quality entropy |
| K | Lift-drag ratio |
| L | Length of path |
| m | Fuel weight penalty, kg |
| mf,D | Fuel weight penalty caused by drag, kg |
| mf,P | Fuel weight penalty caused by shaft power extraction from the engine, kg |
| p1 | Realization probability of timeliness microstate |
| p2 | Realization probability of quality microstate |
| P | Shaft power extraction from an engine, W |
| qm | Flowrate of fresh air, kg/s |
| qf,P | Additional fuel consumption for extracting unit shaft power, kg/(W·s) |
| R | Total order degree |
| R1 | Timeliness |
| R2 | Quality |
| v | Flight speed, m/s |
| wt | Route weight |
| Greek letters | |
| α | Weight of timeliness |
| β | Weight of quality |
| σ | Number of shortest paths |
| τ0 | Flight time, s |
| Abbreviations | |
| ACM | Air cycle machine |
| ACS | Air cycle system |
| C | Compressor |
| COND | Condenser |
| EC | Electric compressor |
| ECS | Environmental control system |
| F | Fan |
| HX1 | Primary heat exchanger |
| HX2 | Secondary heat exchanger |
| RH | Reheater |
| SEM | Structure entropy method |
| T | Turbine |
| WS | Water separator |
References
- Cao, Q.; Liu, Y.; Liu, W.; Lin, C.H.; Wei, D.; Baughcum, S.; Norris, S.; Shen, X.; Long, Z.; Chen, Q. Experimental study of particle deposition in the environmental control systems of commercial airliners. Build. Environ. 2016, 96, 62–71. [Google Scholar] [CrossRef]
- Linnett, K.; Crabtree, R. What’s Next in Commercial Aircraft Environmental Control Systems? SAE International: Warrendale, PA, USA, 1993. [Google Scholar]
- Brasseur, A.; Leppert, W.; Pradille, A. Inside the 747-8 New Environmental Control System. Aero-Magazine 2012, 1, 19–25. [Google Scholar]
- Hunt, E.H. Commercial Airliner Environmental Control System Engineering Aspects of Cabin Air Quality. In Proceedings of the Aerospace Medical Association Annual Meeting, Anaheim, CA, USA, 7–11 May 1995. [Google Scholar]
- Weiguo, Z. Cabin Environment and Air Quality in Civil Transport Aircraft; Cranfield University: Cranfield, UK, 2012. [Google Scholar]
- Sinnett, M. 787 No-bleed systems: Saving fuel and enhancing operational efficiencies. Aero Q. 2007, 18, 6–11. [Google Scholar]
- Zandstra, R.S.S. Bleed Air versus Electric Power Off-takes from a Turbofan Gas Turbine over the Flight Cycle. In Proceedings of the 7th AIAA Aviation Technology, Integration and Operations Conferences, Belfast, Northern Ireland, 18–20 September 2012. [Google Scholar]
- Warner, J.L. Environmental control system condensing cycle. U.S. Patent 5086622-A, 11 February 1992. [Google Scholar]
- Yang, H.; Yang, C. Derivation and comparison of thermodynamic characteristics of endoreversible aircraft environmental control systems. Appl. Therm. Eng. 2020, 180, 115811. [Google Scholar] [CrossRef]
- Alebrahim, A.; Bejan, A. Entropy Generation Minimization in a Ram-Air Cross-Flow Heat Exchanger. Int. J. Thermodyn. 1999, 2, 145–157. [Google Scholar]
- Conceição, S.T.; Zaparoli, E.L.; Turcio, W.H.L. Thermodynamic Study of Aircraft Air Conditioning Air Cycle Machine: 3-wheel×4-wheel. In SAE Brasil 2007 Congress and Exhibit; SAE International: Warrendale, PA, USA, 2007. [Google Scholar]
- Figliola, R.S.; Tipton, R.; Li, H. Exergy Approach to Decision-Based Design of Integrated Aircraft Thermal Systems. J. Aircr. 2003, 40, 49–55. [Google Scholar] [CrossRef]
- Ordóñez, J.C.; Bejan, A. Entropy generation minimization in parallel-plates counterflow heat exchangers. Int. J. Energy Res. 2000, 24, 843–864. [Google Scholar] [CrossRef]
- Vargas, J.V.C.; Bejan, A. Thermodynamic optimization of finned crossflow heat exchangers for aircraft environmental control systems. Int. J. Heat Fluid Flow 2001, 22, 657–665. [Google Scholar] [CrossRef]
- Vargas, J.V.C.; Bejan, A. Integrative thermodynamic optimization of the environmental control system of an aircraft. Int. J. Heat Mass Transfer 2001, 44, 3907–3917. [Google Scholar] [CrossRef]
- Li, Y.; Hu, H.; Sun, H.; Wu, C. Dynamic simulation model for three-wheel air-cycle refrigeration systems in civil aircrafts. Int. J. Refrig. 2023, 145, 353–365. [Google Scholar] [CrossRef]
- Yang, Y.; Chen, S.; Sheng, C.; Xie, H.; Luo, G.; Hou, Y. Study on coupling performance of turbo-cooler in aircraft environmental control system. Energy 2021, 224, 120029. [Google Scholar] [CrossRef]
- DeFrancesco, G.L. Condensing Cycle Air Conditioning System. In International Conference On Environmental Systems; SAE International: Warrendale, PA, USA, 1993. [Google Scholar]
- Shannon, C.E. A mathematical theory of communication. Bell Syst. Tech. J. 1948, 27, 379–423. [Google Scholar] [CrossRef]
- Yang, H.; Yang, C.; Zhang, X.; Yuan, X. Influences of Different Architectures on the Thermodynamic Performance and Network Structure of Aircraft Environmental Control System. Entropy 2021, 23, 855. [Google Scholar] [CrossRef]
- Zhu, J.; Wei, D. Analysis of stock market based on visibility graph and structure entropy. Phys. A 2021, 576, 126036. [Google Scholar] [CrossRef]
- Zhang, Y.; Yang, Z.; Li, W. Analyses of urban ecosystem based on information entropy. Ecol. Modell. 2006, 197, 1–12. [Google Scholar] [CrossRef]
- Zareie, A.; Sheikhahmadi, A.; Fatemi, A. Influential nodes ranking in complex networks: An entropy-based approach. Chaos Solitons Fractals 2017, 104, 485–494. [Google Scholar] [CrossRef]
- Wang, B.; Tan, F.; Zhu, J.; Wei, D. A new structure entropy of complex networks based on nonextensive statistical mechanics and similarity of nodes. Math. Biosci. Eng. 2021, 18, 3718–3732. [Google Scholar] [CrossRef]
- Tan, F.; Wang, B.; Wei, D. A new structural entropy measurement of networks based on the nonextensive statistical mechanics and hub repulsion. Math. Biosci. Eng. 2021, 18, 9253–9263. [Google Scholar] [CrossRef]
- Fu, Z.; Cong, J.; Wang, L.; Shi, L.; Guo, W. A novel evolutionary analysis model for social collaborative design ecosystem based on information entropy. Adv. Eng. Inf. 2023, 55, 101871. [Google Scholar] [CrossRef]
- Zhang, Q.; Li, M. A betweenness structural entropy of complex networks. Chaos Solitons Fractals 2022, 161, 112264. [Google Scholar] [CrossRef]
- Yan, Z.; Qiu, W.; Chen, Z. Evaluation of system order degree as viewed from entropy. Syst. Eng. Theory Pract. 1997, 17, 45–48. (In Chinese) [Google Scholar]
- Wang, Z.X.; He, L.Y.; Li, D.D. Assessment of the degree of order in the organisational structure of electricity regulatory institution in China based on shannon entropy. Energy Policy 2019, 132, 429–439. [Google Scholar] [CrossRef]
- Yang, K.; Yang, C.; Yang, H.; Zhou, C. Complexity Evaluation of an Environmental Control and Life-Support System Based on Directed and Undirected Structural Entropy Methods. Entropy 2021, 23, 1173. [Google Scholar] [CrossRef] [PubMed]
- Yang, H.; Yang, C. Thermodynamic Characteristics and Order Degree of Air Cycle System. Int. J. Refrig. 2020, 118, 61–71. [Google Scholar] [CrossRef]
- Chartrand, G.; Zhang, P. Introduction to Graph Theory; Prentice Hall: Upper Saddle River, NJ, USA, 2004. [Google Scholar]
- Bonacich, P. Factoring and weighting approaches to status scores and clique identification. J. Math. Sociol. 1972, 2, 113–120. [Google Scholar] [CrossRef]
- Wasserman, S.; Faust, K. Social Network Analysis: Methods and Applications; Cambridge University Press: Cambridge, UK, 1994. [Google Scholar]
- Freeman, L.C. A Set of Measures of Centrality Based on Betweenness. Sociometry 1977, 40, 35–41. [Google Scholar] [CrossRef]
- Dollmayer, J.; Bundschuh, N.; Carl, U.B. Fuel mass penalty due to generators and fuel cells as energy source of the all-electric aircraft. Aerosp. Sci. Technol. 2006, 10, 686–694. [Google Scholar] [CrossRef]
- Rong, A.; Liping, P.; Xinying, J.; Bin, Q.; Yong, S. Analysis and comparison of potential power and thermal management systems for high-speed aircraft with an optimization method. Energy Built Environ. 2021, 2, 13–20. [Google Scholar] [CrossRef]
- He, X.; Kang, Y.; Hui, Y. Modeling and Analysis of Different Architecture for Civil Aircraft Hydraulic System. J. Phys. Conf. Ser. 2021, 2068, 012028. [Google Scholar] [CrossRef]
- Committee, A.A.E.S. Aircraft Fuel Weight Penalty Due to Air Conditioning; SAE International: Warrendale, PA, USA, 2011. [Google Scholar]
- Yang, H.; Yang, C. Analysis of a novel pressurized dehumidification air conditioning system for urban underground space. Build. Environ. 2021, 206, 108400. [Google Scholar] [CrossRef]













| Parameter | Value |
|---|---|
| Cabin pressure (Pa) | 103,325 |
| Cabin temperature (°C) | 21 |
| Flight Mach number | 0.20 |
| Environmental temperature (°C) | 40 |
| Environmental moisture content (g/kg dry air) | 22 |
| τ0 (s) | 600 |
| K | 9 |
| Ce (kg/N·s) | 3.403 × 10−5 |
| qf,P (kg/W·s) | 6.745 × 10−5 |
| Fresh air flow rate (kg/s) | 1.5 |
| Ram air flow rate (kg/s) | 3 |
| Two-Wheel Simple | Two-Wheel Bootstrap | Two-Wheel Low-Pressure | Two-Wheel High-Pressure | Three-Wheel Low-Pressure | Three-Wheel High-Pressure | Integrated Four-Wheel | Split Four-Wheel | |
|---|---|---|---|---|---|---|---|---|
| HX1 efficiency | 0.85 | 0.85 | 0.85 | 0.85 | 0.85 | 0.85 | 0.85 | 0.85 |
| HX2 efficiency | 0.90 | 0.90 | 0.90 | 0.90 | 0.90 | 0.90 | 0.90 | 0.90 |
| RH efficiency | —— | —— | —— | 0.70 | —— | 0.70 | 0.70 | 0.70 |
| COND efficiency | —— | —— | —— | 0.70 | —— | 0.70 | 0.70 | 0.70 |
| WS efficiency | —— | —— | 0.95 | 0.95 | 0.95 | 0.95 | 0.95 | 0.95 |
| EC pressure ratio | 3.20 | 3.20 | 3.20 | 3.20 | 3.20 | 3.20 | 3.20 | 3.20 |
| EC efficiency | 0.80 | 0.80 | 0.80 | 0.80 | 0.80 | 0.80 | 0.80 | 0.80 |
| C pressure ratio | —— | 1.79 | 1.80 | 1.85 | 1.62 | 1.75 | 1.70 | 1.74 |
| C efficiency | —— | 0.80 | 0.80 | 0.80 | 0.80 | 0.80 | 0.80 | 0.80 |
| T expansion ratio | 3.10 | 5.57 | 5.45 | 5.57 | 4.93 | 5.25 | 2.50 | 4.40 |
| T efficiency | 0.89 | 0.72 | 0.73 | 0.86 | 0.75 | 0.87 | 0.75 | 0.84 |
| T2 expansion ratio | —— | —— | —— | —— | —— | —— | 2.06 | 1.19 |
| T2 efficiency | —— | —— | —— | —— | —— | —— | 0.73 | 0.80 |
| F pressure ratio | 1.05 | —— | —— | —— | 1.05 | 1.05 | 1.05 | 1.05 |
| F power ratio | —— | —— | —— | —— | 0.10 | 0.10 | 0.10 | 0.10 |
| T power ratio | —— | —— | —— | —— | —— | —— | 0.70 | 0.11 |
| System | Wet Condition | Dry Condition | |||
|---|---|---|---|---|---|
| Fresh Air | Ram Air | Spray | Fresh Air | Ram Air | |
| Two-wheel simple | 1.00 | 1.50 | —— | 1.00 | 1.44 |
| Two-wheel bootstrap | 1.00 | 1.50 | —— | 1.00 | 1.44 |
| Two-wheel low-pressure | 1.00 | 1.50 | —— | 1.00 | 1.44 |
| Two-wheel high-pressure | 1.00 | 1.50 | 2.50 | 1.00 | 1.44 |
| Three-wheel low-pressure | 1.00 | 1.50 | —— | 1.00 | 1.44 |
| Three-wheel high-pressure | 1.00 | 1.50 | 2.46 | 1.00 | 1.44 |
| Integrated four-wheel | 1.00 | 1.50 | 2.44 | 1.00 | 1.44 |
| Split four-wheel | 1.00 | 1.50 | 2.46 | 1.00 | 1.44 |
| Degree Centrality | Closeness Centrality | Betweenness Centrality | |||
|---|---|---|---|---|---|
| ACM | 0.438 | ACM | 0.492 | ACM | 0.357 |
| HX2 | 0.313 | COND | 0.407 | HX2 | 0.227 |
| HX1 | 0.250 | HX2 | 0.399 | HX1 | 0.160 |
| RH | 0.250 | RH | 0.393 | RH | 0.144 |
| COND | 0.250 | HX1 | 0.343 | COND | 0.107 |
| WS | 0.188 | WS | 0.313 | EC | 0.023 |
| Air | 0.125 | EC | 0.216 | Air | 0.000 |
| EC | 0.125 | Cabin | 0.200 | WS | 0.000 |
| System | Degree Centrality | Closeness Centrality | Betweenness Centrality | |||
|---|---|---|---|---|---|---|
| Two-wheel simple | HX2 | 0.400 | HX2 | 0.400 | ACM | 0.200 |
| Two-wheel bootstrap | ACM | 0.400 | ACM | 0.446 | ACM | 0.300 |
| Two-wheel low-pressure | ACM | 0.333 | ACM | 0.410 | ACM | 0.333 |
| Two-wheel high-pressure | HX2 | 0.313 | ACM | 0.433 | HX2 | 0.324 |
| Three-wheel low-pressure | ACM | 0.417 | ACM | 0.410 | ACM | 0.333 |
| Three-wheel high-pressure | ACM | 0.313 | ACM | 0.433 | COND | 0.232 |
| Integrated four-wheel | ACM | 0.438 | ACM | 0.492 | ACM | 0.357 |
| Split four-wheel | HX2 | 0.278 | ACM (CT) | 0.396 | HX2 | 0.197 |
Disclaimer/Publisher’s Note: The statements, opinions and data contained in all publications are solely those of the individual author(s) and contributor(s) and not of MDPI and/or the editor(s). MDPI and/or the editor(s) disclaim responsibility for any injury to people or property resulting from any ideas, methods, instructions or products referred to in the content. |
© 2023 by the authors. Licensee MDPI, Basel, Switzerland. This article is an open access article distributed under the terms and conditions of the Creative Commons Attribution (CC BY) license (https://creativecommons.org/licenses/by/4.0/).
Share and Cite
Liao, J.; Yang, C.; Yang, H. Evaluation of Aircraft Environmental Control System Order Degree and Component Centrality. Aerospace 2023, 10, 438. https://doi.org/10.3390/aerospace10050438
Liao J, Yang C, Yang H. Evaluation of Aircraft Environmental Control System Order Degree and Component Centrality. Aerospace. 2023; 10(5):438. https://doi.org/10.3390/aerospace10050438
Chicago/Turabian StyleLiao, Junyuan, Chunxin Yang, and Han Yang. 2023. "Evaluation of Aircraft Environmental Control System Order Degree and Component Centrality" Aerospace 10, no. 5: 438. https://doi.org/10.3390/aerospace10050438
APA StyleLiao, J., Yang, C., & Yang, H. (2023). Evaluation of Aircraft Environmental Control System Order Degree and Component Centrality. Aerospace, 10(5), 438. https://doi.org/10.3390/aerospace10050438

