A Modification to the Enhanced Correction Factor Technique for the Subsonic Wing–Body Interference Model
Abstract
1. Introduction
- A set of experimental or CFD generated lifting forces that are used for the correction that usually already exists, which is accumulated as rigid steady aerodynamic data;
- Once determined, it can be applied repeatedly to calculations of the same condition (e.g., Mach number), irrespective of the changes in the mass and structural properties;
- A full correction matrix is conducted to correct the AIC matrix, which is suitable for muti-degree freedom correction.
2. Materials and Methods
2.1. Linear Aerodynamics for Wing–Body Interference Model
2.2. Advanced ECFT Method for Wing–Body Interference Model to Correct [AIC] Matrix
- 1.
- Assumption 1, the number of interference elements is equal to the slender elements, which means and ;
- 2.
- Assumption 2, there is one main aerodynamic mode or state in , such as the α mode for the longitudinal problem or β (angle of sideslip angle) mode for the lateral problem;
- 3.
- Assumption 3, the proportion of for each mode or state is equal to the for the main mode or state.
2.3. Advanced ECFT Method for Wing–Body Interference Model to the Correct Force and Moment
- 1
- The forces part, including the forces rows (odd rows) for , recorded as , and the forces elements in odd rows and odd ranks for , recorded as ;
- 2.
- The moments part, including the moments rows (even rows) for , recorded as , and the moments elements in even rows and even ranks for , recorded as .
2.4. Simulation Model
- Rigid linear aerodynamic analysis without any correction, and static aeroelastic analysis based on linear aerodynamics without any correction;
- Rigid linear aerodynamic analysis corrected by 1 mode in the α degree, and static aeroelastic analysis corrected by 1 mode in the α degree, which is equivalent to the diagonal correction in [6];
- Static aeroelastic characteristics simulated by the high fidelity CFD/CSD coupling method, where the CFD method is based on the N-S equation.
3. Results
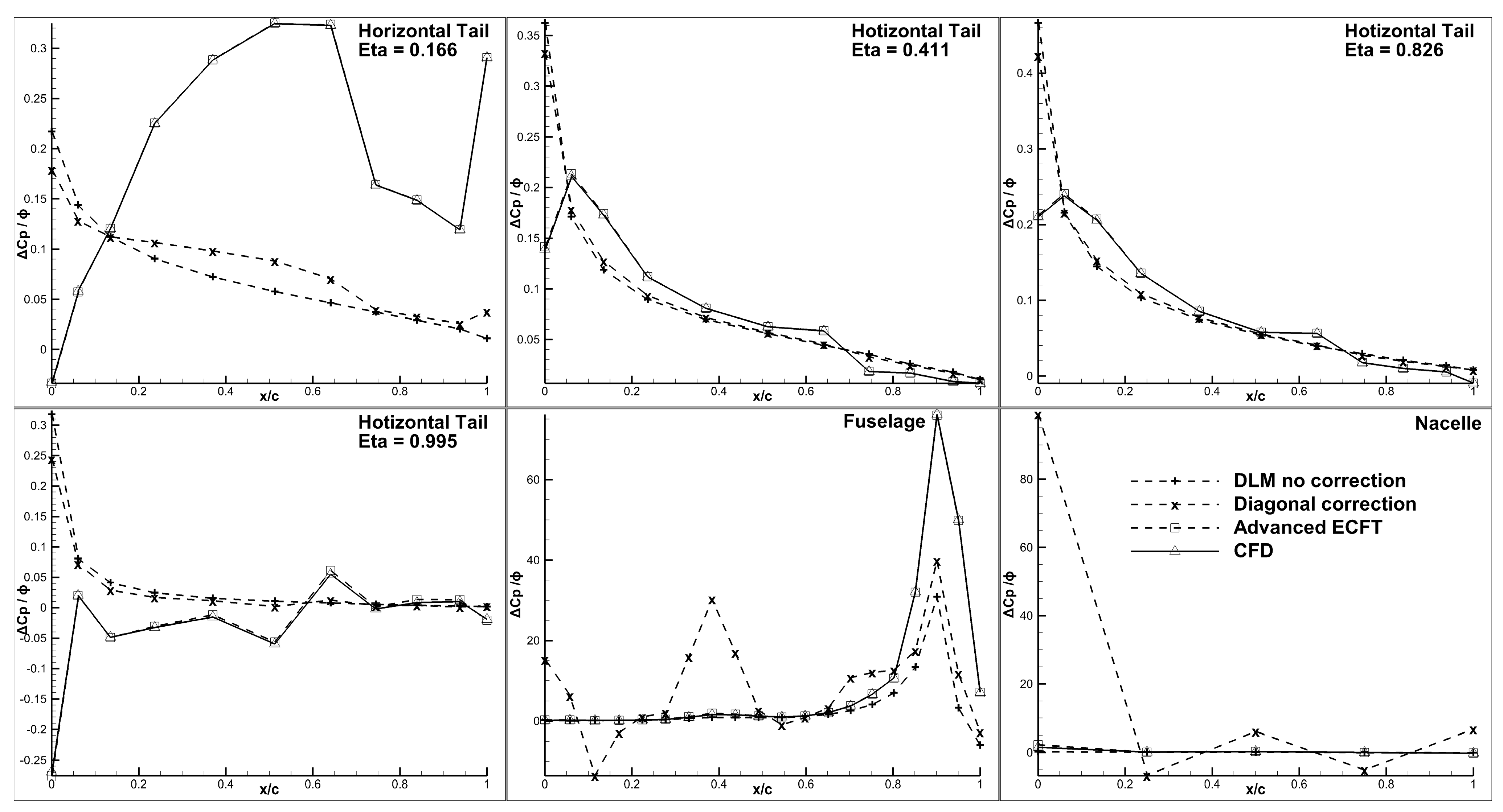
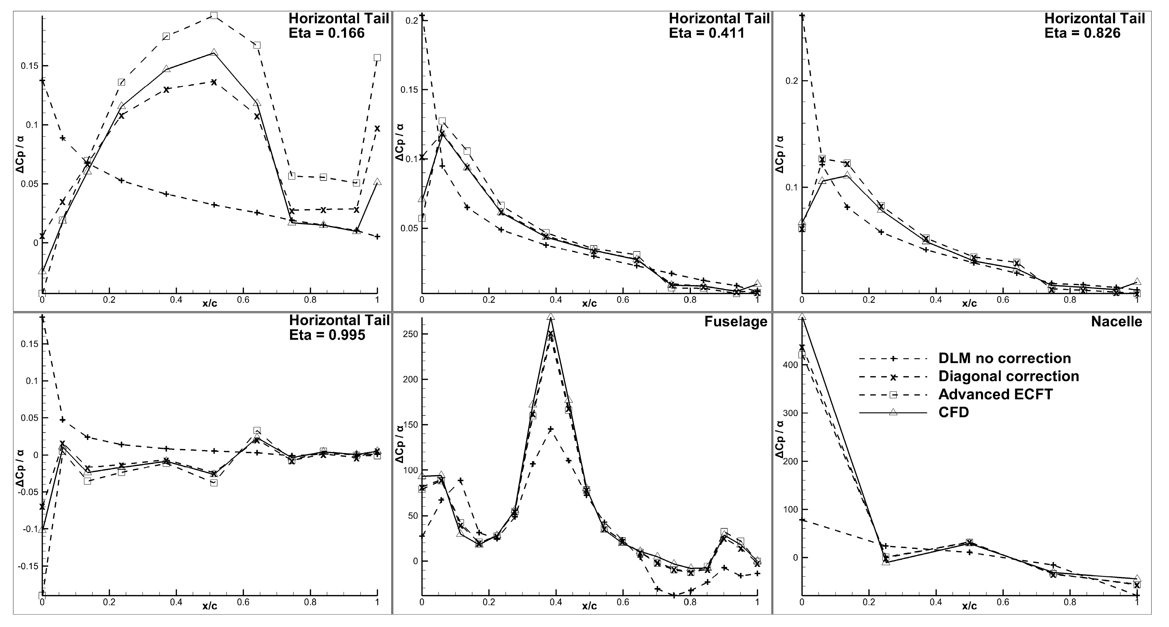
3.1. Rigid Pressure Difference Distribution
| α (°) | ϕ (°) | |
| Case 1 | 0 | 0 |
| Case 2 | 1 | 0 |
| Case 3 | 0 | 1 |



3.2. Elastic Pressure Difference Distribution



3.3. Elastic Aerodynamic Derivative at Different Dynamic Pressure



4. Discussion
5. Conclusions
Author Contributions
Funding
Data Availability Statement
Acknowledgments
Conflicts of Interest
References
- Albano, E.; Rodden, W.P. A Doublet-Lattice Method for Calculating Lift Distribution on Oscillating Surfaces in Subsonic Flows. AIAA J. 1968, 7, 279–285. [Google Scholar] [CrossRef]
- Giesing, J.P.; Kalman, T.P.; Rodden, W.P. Subsonic Unsteady Aerodynamics for General Configurations. AIAA Paper, No. 72-26. In Proceedings of the 10th Aerospace Sciences Meeting, San Diego, CA, USA, 17–19 January 1972. [Google Scholar]
- Guru, P. Guruswamy. Unsteady Aerodynamic and Aeroelastic Calculations for Wings Using Euler Equations. AIAA J. 1990, 28, 461–469. [Google Scholar]
- Lee-Rausch, E.M.; Batina, J.T. Wing Flutter Computations Using an Aerodynamic Model Based on the Navier-Stokes Equations. J. Aircr. 1996, 33, 1139–1147. [Google Scholar] [CrossRef]
- Baker, M.L.; Yuan, K.; Goggin, P.J. Calculation of Corrections to Linear Aerodynamic Methods for Static and Dynamic Analysis and Design. In Proceedings of the 39th AIAA/ASME/ASCE/AHS/ASC Structures, Structural Dynamics, and Materials Conference and Exhibit, Long Beach, CA, USA, 20–23 April 1998; pp. 3100–3110. [Google Scholar]
- Giesing, J.P.; Kalman, T.P.; Rodden, W.P. Correction Factor Techniques for Improving Aerodynamic Prediction Methods; NASA CR-144967; National Aeronautics and Space Administration: Washington, DC, USA, 1976. [Google Scholar]
- Jadic, I.; Hartley, D.; Giri, J. An Enhanced Correction Factor Technique for Aerodynamic Influence Coefficient Method. In Proceedings of the MSC’s 1999 Aerospace User’s Conference, Long Beach, CA, USA, 7–11 June 1999. [Google Scholar]
- Moreno, R.; Narisetti, R.; von Knoblauch, F.; Taylor, P.F. A Modification to the Enhanced Correction Factor Technique to Correlate with Experimental Data. In Proceedings of the 56th AIAA/ASCE/AHS/ASC Structures, Structural Dynamics, and Materials Conference, Kissimmee, FL, USA, 5–9 January 2015; pp. 1–17. [Google Scholar]
- Rodden, W.P.; Johnson, E.H. MSC/NASTRAN Aeroelastic Analysis User’s Guide, Version 68; MSC Software Corporation: Newport Beach, CA, USA, 1994. [Google Scholar]
- Lee, K.B.; Jeong, S.H.; Cho, J.Y.; Kim, J.H.; Park, C.Y. Hard-landing Simulation by a Hierarchical Aircraft Landing Model and an Extended Inertia Relief Technique. Int. J. Aeronaut. Space Sci. 2015, 16, 394–406. [Google Scholar] [CrossRef]
- He, P.; Qin, S. Modified Inertia Relief Method Based on Accurate Inertia Loads. AIAA J. 2017, 55, 2848–2852. [Google Scholar]





| Wing Span, m | Fuselage Length, m | |
|---|---|---|
| Simulation model | ≈35 | ≈39 |
| Kind of Elements | Number |
|---|---|
| Total Elements | 1817 |
| Lifting Boxes | 1757 |
| Slender Elements | 30 |
| Interference Elements | 30 |
| Kind of Parameters | Parameter |
|---|---|
| Total no. of points/[106] | 29.2 |
| Total no. of cells/[106] | 28.9 |
| First wall-normal layer spacing/[μm] | 10 |
| Expansion ratio | 1.2 |
| No. of wall-normal layers | 40 |
Disclaimer/Publisher’s Note: The statements, opinions and data contained in all publications are solely those of the individual author(s) and contributor(s) and not of MDPI and/or the editor(s). MDPI and/or the editor(s) disclaim responsibility for any injury to people or property resulting from any ideas, methods, instructions or products referred to in the content. |
© 2023 by the authors. Licensee MDPI, Basel, Switzerland. This article is an open access article distributed under the terms and conditions of the Creative Commons Attribution (CC BY) license (https://creativecommons.org/licenses/by/4.0/).
Share and Cite
Mao, K.; Jing, W.; Cheng, P.; Liu, X.; Sun, Y.; Zhang, M. A Modification to the Enhanced Correction Factor Technique for the Subsonic Wing–Body Interference Model. Aerospace 2023, 10, 40. https://doi.org/10.3390/aerospace10010040
Mao K, Jing W, Cheng P, Liu X, Sun Y, Zhang M. A Modification to the Enhanced Correction Factor Technique for the Subsonic Wing–Body Interference Model. Aerospace. 2023; 10(1):40. https://doi.org/10.3390/aerospace10010040
Chicago/Turabian StyleMao, Kun, Wuxing Jing, Pan Cheng, Xiaoyan Liu, Yuchen Sun, and Meihong Zhang. 2023. "A Modification to the Enhanced Correction Factor Technique for the Subsonic Wing–Body Interference Model" Aerospace 10, no. 1: 40. https://doi.org/10.3390/aerospace10010040
APA StyleMao, K., Jing, W., Cheng, P., Liu, X., Sun, Y., & Zhang, M. (2023). A Modification to the Enhanced Correction Factor Technique for the Subsonic Wing–Body Interference Model. Aerospace, 10(1), 40. https://doi.org/10.3390/aerospace10010040

