Growing Season Air mass Equivalent Temperature (TE) in the East Central USA
Abstract
1. Introduction
2. Methods and Data
2.1. Calculation of Equivalent Temperature
2.2. Spatial Synoptic Classification
2.3. Data Analyses
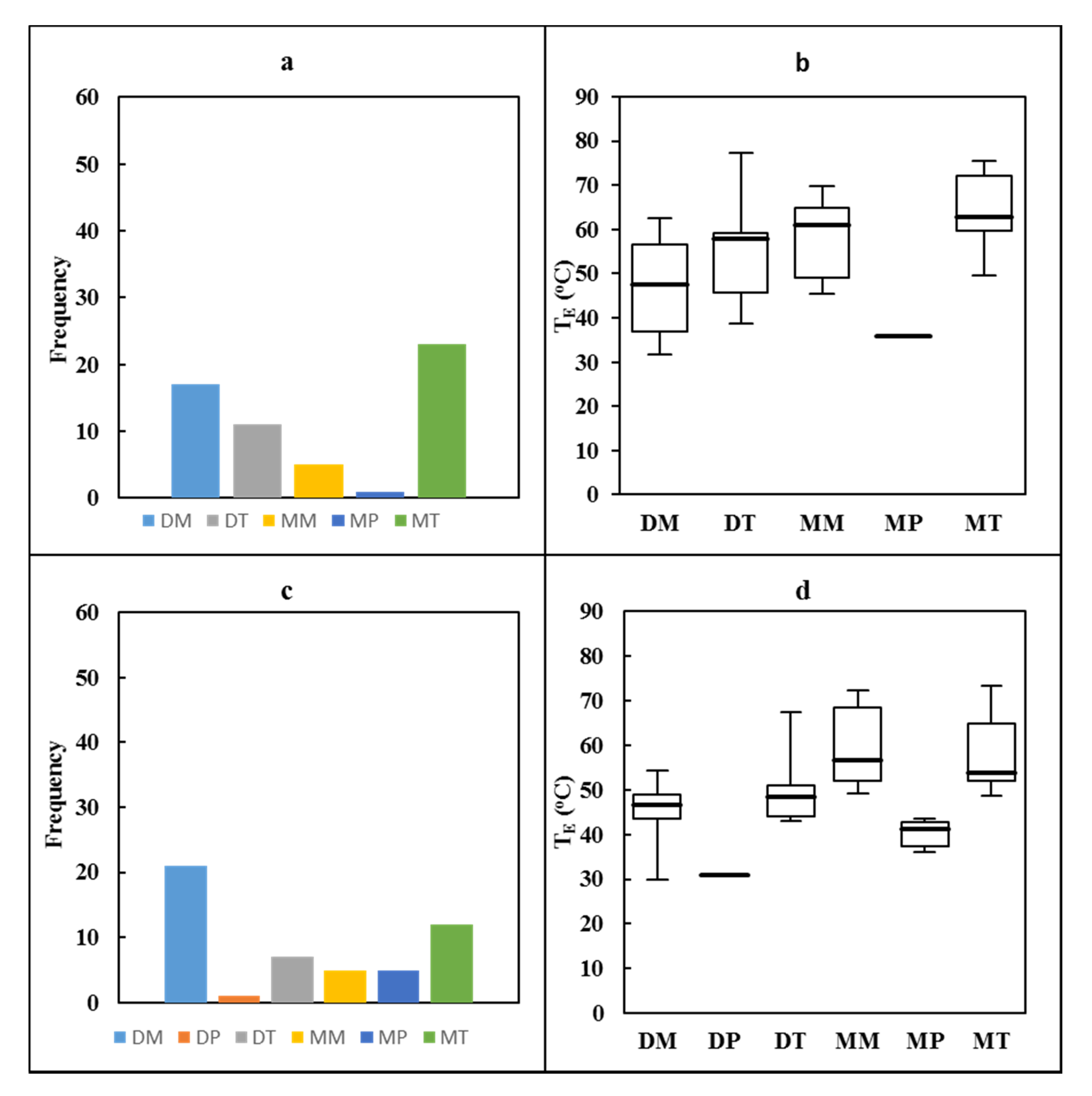
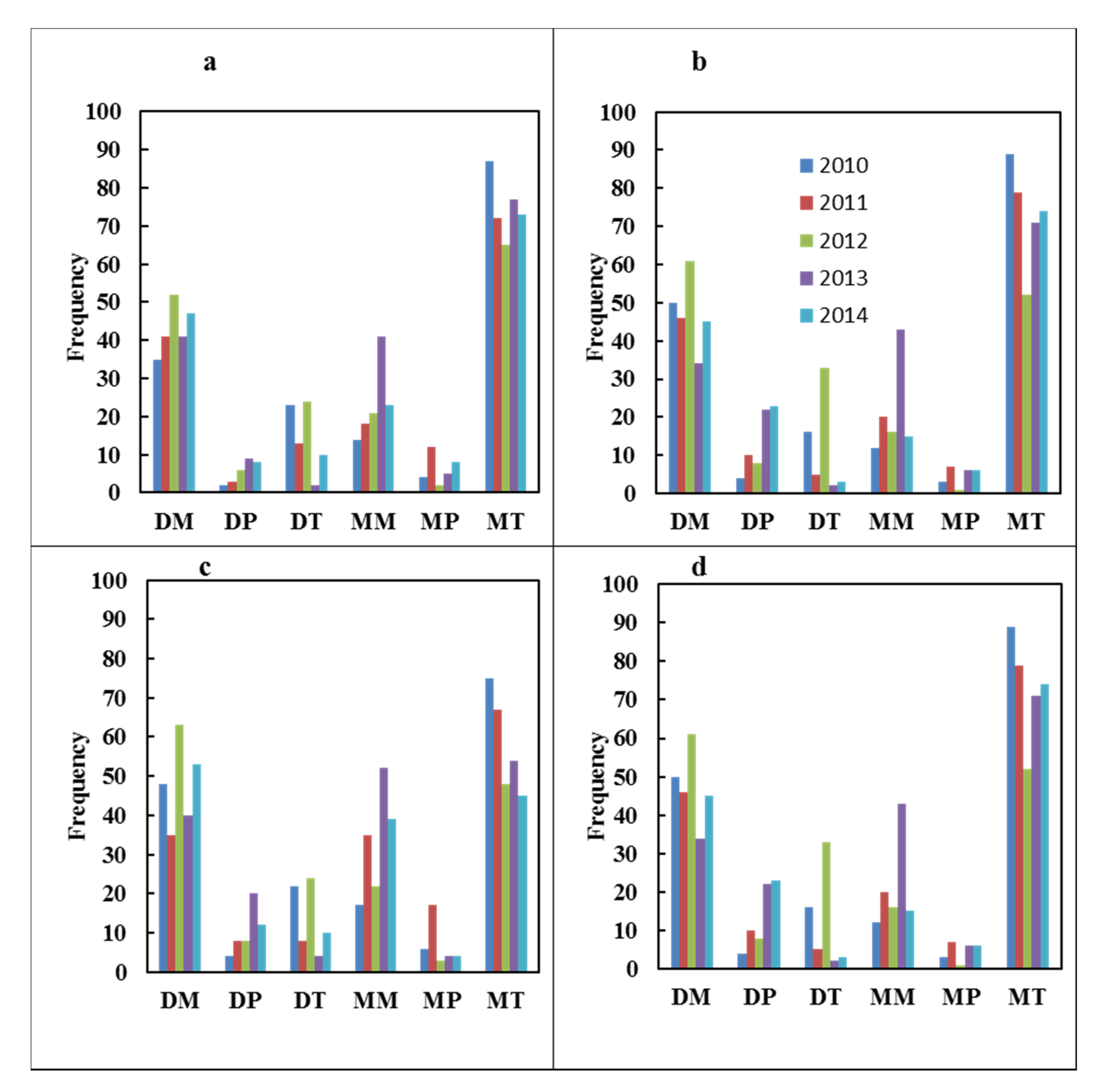
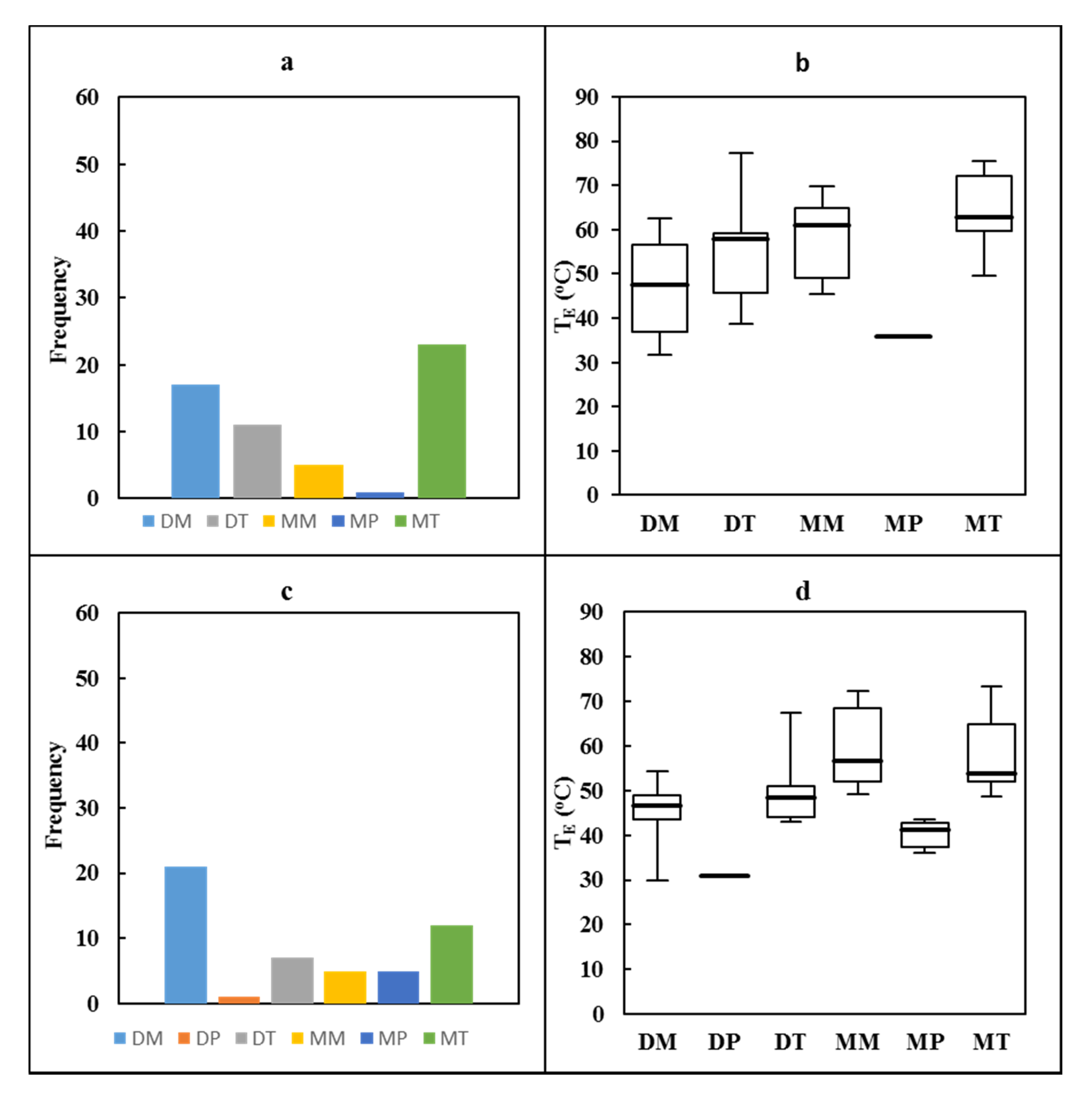
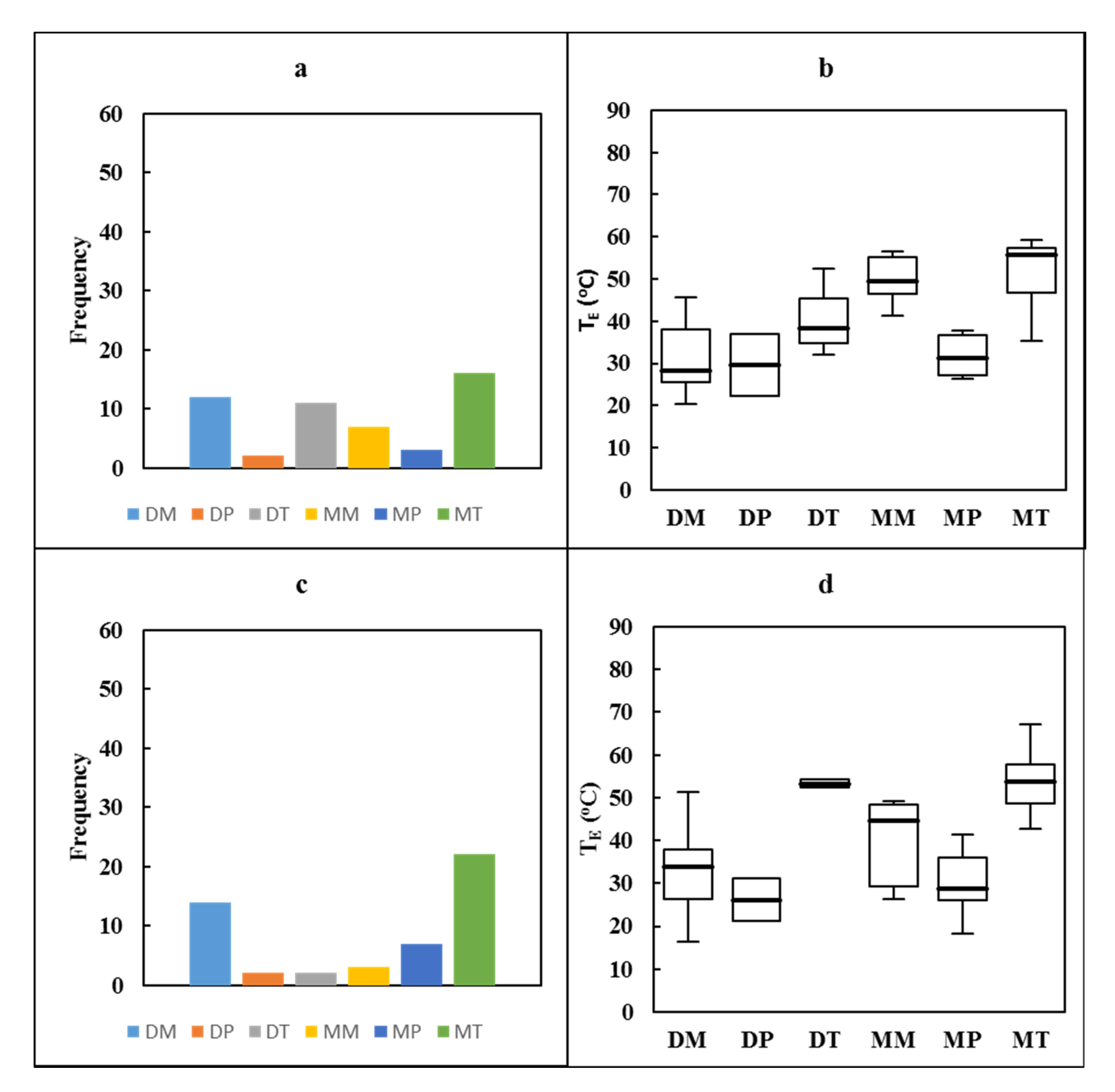
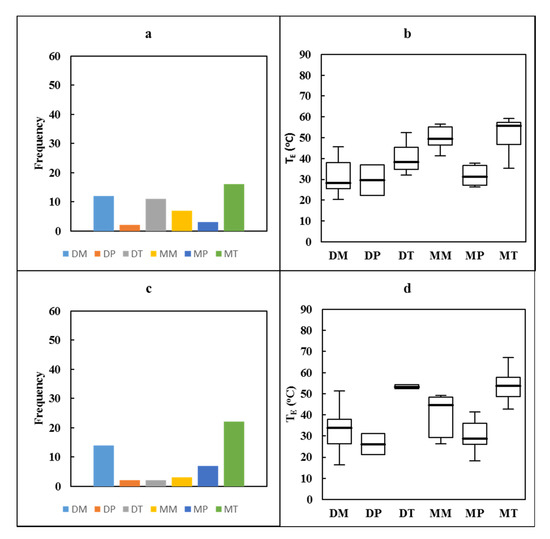
3. Results and Discussions
3.1. Overall Findings
3.2. Inter-annual Variations of the Growing Season TE
3.3. Intra-seasonal Air Mass and TE Distribution
3.4. Air Mass TE and T Differences
4. Conclusions
Author Contributions
Funding
Acknowledgments
Conflicts of Interest
References
- Intergovernmental Panel on Climate Change (IPCC). Contribution of Working Groups I, II and III to the Fifth Assessment Report of the Intergovernmental Panel on Climate Change. In Climate Change 2014: Synthesis Report; Core Writing Team, Pachauri, R.K., Meyer, L.A., Eds.; Cambridge University Press: Cambridge, MA, USA, 2018. [Google Scholar]
- Pielke, R.A., Sr.; Davey, C.A.; Morgan, J. Assessing “global warming” with surface heat content. EOS Trans. 2004, 85, 210–211. [Google Scholar] [CrossRef]
- Davey, C.A.; Pielke, R.A.; Gallo, K.P. Differences between near-surface equivalent temperature and temperature trends for the Eastern United States. Equivalent temperature as an alternative measure of heat content. Glob. Planet. Chang. 2006, 54, 19–32. [Google Scholar] [CrossRef]
- Rogers, J.C.; Wang, S.H.; Coleman, J.S.M. Evaluation of a long-term (1882–2005) equivalent temperature time series. J. Clim. 2007, 20, 4476–4485. [Google Scholar] [CrossRef][Green Version]
- Fall, S.; Diffenbaugh, N.S.; Niyogi, D.; Pielke, R.A.; Rochon, G. Temperature and equivalent temperature over the United States (1979–2005). Int. J. Climatol. 2010, 30, 2045–2054. [Google Scholar] [CrossRef]
- Schoof, J.T.; Heern, Z.A.; Therrell, M.D.; Jemo, J.W.F. Assessing trends in lower tropospheric heat content in the Central USA using equivalent temperature. Int. J. Climatol. 2014, 35, 2828–2836. [Google Scholar] [CrossRef]
- Younger, K.; Mahmood, R.; Goodrich, G.; Pielke, R.A., Sr.; Durkee, J. Mesoscale surface equivalent temperature (TE) for East Central USA. Theor. Appl. Climatol. 2019, 136, 65–75. [Google Scholar] [CrossRef]
- Zhang, T.; Mahmood, R.; Lin, X.; Pielke, R.A., Sr. Irrigation impacts on minimum and maximum surface moist enthalpy in the Central Great Plains of the USA. Wea. Clim. Extrem. 2019, 23, 100197. [Google Scholar] [CrossRef]
- Ribera, P.; Gallego, D.; Gimeno, L.; Perez-Campos, J.F.; Garcia-Herrera, R.; Hernandez, E.; De La Torre, L.; Nieto, R.; Calvo, N. The use of equivalent temperature to analyse climate variability. Stud. Geophys. Geod. 2004, 48, 459–468. [Google Scholar] [CrossRef]
- Pielke, R.A., Sr. Influence of the spatial distribution of vegetation and soils on the prediction of cumulus convective rainfall. Rev. Geophys. 2001, 39, 151–177. [Google Scholar] [CrossRef]
- Ford, T.; Schoof, J.T. Oppressive heat events in Illinois related to antecedent wet soils. J. Hydrometeor. 2016, 17, 2713–2716. [Google Scholar] [CrossRef]
- Mahmood, R.; Schargorodski, M.; Foster, S.; Quilligan, A. A technical overview of the Kentucky Mesonet. J. Atmos. Oceanic. Tech. 2019, 36, 1753–1771. [Google Scholar] [CrossRef]
- Sheridan, S.C. The redevelopment of a weather-type classification scheme for North America. Int. J. Climatol. 2002, 22, 51–68. [Google Scholar] [CrossRef]
- Knight, D.B.; Davis, R.E.; Sheridan, S.C.; Hondula, D.M.; Sitka, L.J.; Deaton, M.; Lee, T.R.; Gawtry, S.D.; Stenger, P.J.; Mazzei, F.; et al. Increasing frequencies of warm and humid air masses over the conterminous United States from 1948 to 2005. Geophys. Res. Lett. 2008, 35, L10702. [Google Scholar] [CrossRef]
- Bolton, D. The computation of equivalent potential temperature. Mon. Wea. Rev. 1980, 108, 1046–1053. [Google Scholar] [CrossRef]
- Kalkstein, L.S.; Nichols, M.C.; Barthel, C.D.; Greene, J.S. A new spatial synoptic classification: Application to air-mass analysis. Int. J. Climatol. 1996, 16, 983–1004. [Google Scholar] [CrossRef]
- Walford, N. Practical Statistics for Geographers and Earth Scientists; John Wiley & Sons, Ltd.: Hoboken, NJ, USA, 2011; p. 211. [Google Scholar]
- Wilks, D.S. Statistical Methods in the Atmospheric Sciences; Academic Press: San Diego, CA, USA, 2011; pp. 215–236. [Google Scholar]
- Scheitlin, K.N.; Dixon, P.G. Diurnal temperature range variability due to land cover and air mass types in the Southeast. J. Appl. Meteorol. Climatol. 2010, 49, 879–888. [Google Scholar] [CrossRef]
- Na-Yemeh, D.Y. Synoptic Atmospheric Conditions, Land Cover, and Equivalent Temperature Variations in Kentucky. Master’s Thesis, Western Kentucky University, Bowling Green, KY, USA, 2017. [Google Scholar]
- Wendland, W.M.; Bryson, R.A. Northern Hemisphere airstream regions. Mon. Wea. Rev. 1981, 109, 255–270. [Google Scholar] [CrossRef]








| County | Site ID | LATITUDE | LONGITUDE | ELEVATION (m) | SSC |
|---|---|---|---|---|---|
| Barren | MROK | 37.01328 | −86.106 | 212 | BNA |
| Calloway | MRRY | 36.61261 | −88.336 | 173 | PAH |
| Campbell | HHTS | 39.01997 | −84.475 | 225 | CVG |
| Fulton | HCKM | 36.57108 | −89.159 | 105 | PAH |
| Hardin | CCLA | 37.67939 | −85.979 | 227 | SDF |
| Hopkins | ERLN | 37.26764 | −87.481 | 180 | EVV |
| Jackson | OLIN | 37.35629 | −83.971 | 402 | LEX |
| Mason | WSHT | 38.62369 | −83.808 | 277 | LEX |
| Ohio | HTFD | 37.45732 | −86.855 | 164 | EVV |
| Warren | FARM | 36.92669 | −86.465 | 170 | BNA |
| Effect | SS | DF | MS | F | p-Value |
|---|---|---|---|---|---|
| Model | 17,099.31 | 5 | 3419.86 | 35.19 | 0.001 |
| Error | 15,451.14 | 159 | 97.18 | ||
| Total | 32,550.45 | 164 | 198.48 |
| Source | Mean Square | F | p-Value |
|---|---|---|---|
| Corrected Model | 2138.91 | 49.14 | 0.001 |
| Intercept | 363,404.55 | 8349.15 | 0.001 |
| Season | 5944.46 | 136.57 | 0.001 |
| Air mass | 7327.07 | 168.34 | 0.001 |
| Season Air mass | 164.14 | 3.77 | 0.001 |
| Air Mass Types | Year | Early (°C) | Mid (°C) | Late (°C) |
|---|---|---|---|---|
| DM | 2010 | 31 | 52 | 47 |
| 2011 | 33 | 55 | 46 | |
| 2012 | 35 | 48 | 46 | |
| 2013 | 32 | 51 | 47 | |
| 2014 | 33 | 49 | 46 | |
| Mean | 33 | 51 | 47 | |
| DP | 2010 | 30 | - | - |
| 2011 | 26 | - | 31 | |
| 2012 | 18 | - | 26 | |
| 2013 | 22 | 46 | 43 | |
| 2014 | 22 | 43 | 36 | |
| Mean | 24 | 45 | 34 | |
| DT | 2010 | 40 | 60 | 55 |
| 2011 | 53 | 65 | 50 | |
| 2012 | 51 | 59 | 52 | |
| 2013 | 43 | - | - | |
| 2014 | 41 | - | 51 | |
| Mean | 46 | 61 | 52 | |
| MM | 2010 | 50 | 66 | 58 |
| 2011 | 40 | 61 | 60 | |
| 2012 | 40 | 62 | 59 | |
| 2013 | 46 | 59 | 60 | |
| 2014 | 53 | 57 | 56 | |
| Mean | 46 | 61 | 59 | |
| MP | 2010 | 32 | - | 40 |
| 2011 | 30 | - | 40 | |
| 2012 | 26 | - | 54 | |
| 2013 | 29 | 55 | - | |
| 2014 | 26 | 48 | 45 | |
| Mean | 29 | 52 | 45 | |
| MT | 2010 | 52 | 68 | 66 |
| 2011 | 54 | 67 | 58 | |
| 2012 | 53 | 66 | 63 | |
| 2013 | 50 | 64 | 62 | |
| 2014 | 52 | 63 | 64 | |
| Mean | 52 | 66 | 63 |
| 2010 | 2011 | ||||||||||
| SSC | Frequency | Mean | Max | Min | Median | SSC | Frequency | Mean | Max | Min | Median |
| DM | 50 | 45 | 66 | 25 | 46 | DM | 46 | 46 | 64 | 19 | 49 |
| DP | 4 | 34 | 46 | 25 | 33 | DP | 10 | 32 | 52 | 24 | 28 |
| DT | 16 | 51 | 69 | 30 | 56 | DT | 5 | 63 | 67 | 58 | 64 |
| MM | 12 | 51 | 70 | 34 | 51 | MM | 20 | 54 | 74 | 38 | 53 |
| MP | 3 | 32 | 37 | 28 | 30 | MP | 7 | 36 | 44 | 30 | 36 |
| MT | 89 | 67 | 81 | 41 | 69 | MT | 79 | 66 | 80 | 45 | 67 |
| 2012 | 2013 | ||||||||||
| SSC | Frequency | Mean | Max | Min | Median | SSC | Frequency | Mean | Max | Min | Median |
| DM | 61 | 43 | 67 | 19 | 43 | DM | 34 | 44 | 61 | 21 | 46 |
| DP | 8 | 26 | 34 | 18 | 27 | DP | 22 | 34 | 56 | 12 | 35 |
| DT | 33 | 57 | 69 | 58 | 41 | DT | 2 | 35 | 44 | 27 | 35 |
| MM | 16 | 52 | 66 | 35 | 54 | MM | 43 | 54 | 69 | 32 | 55 |
| MP | 1 | 23 | 23 | 23 | 23 | MP | 6 | 28 | 57 | 16 | 23 |
| MT | 52 | 62 | 75 | 44 | 63 | MT | 71 | 60 | 70 | 37 | 62 |
| 2014 | |||||||||||
| SSC | Frequency | Mean | Max | Min | Median | ||||||
| DM | 45 | 45 | 62 | 22 | 46 | ||||||
| DP | 23 | 38 | 53 | 11 | 44 | ||||||
| DT | 3 | 39 | 44 | 32 | 41 | ||||||
| MM | 15 | 60 | 69 | 52 | 61 | ||||||
| MP | 6 | 32 | 45 | 25 | 29 | ||||||
| MT | 74 | 60 | 74 | 32 | 63 | ||||||
| 1 May 2010 | 1 May 2011 | ||||||||
| Station | Moisture content % | TE | Diff (TE-T) | Air mass | Station | Moisture content % | TE | Diff (TE-T) | Air mass |
| Barren | 9.08 | 48 | 29 | Moist Moderate | Barren | 8.36 | 45 | 27 | Moist Tropical |
| Calloway | 10.11 | 52 | 33 | Moist Moderate | Calloway | 9.08 | 46 | 20 | Moist Moderate |
| Campbell | 8.58 | 46 | 27 | Moist tropical | Campbell | 8.25 | 45 | 26 | Moist Tropical |
| Fulton | 10.75 | 56 | 35 | Moist Moderate | Fulton | 9.06 | 46 | 29 | Moist Moderate |
| Hardin | 9.02 | 47 | 29 | Moist Moderate | Hardin | 8.82 | 46 | 28 | Moist Moderate |
| Hopkins | 9.55 | 49 | 31 | Moist Moderate | Hopkins | 9.06 | 46 | 29 | Moist Moderate |
| Jackson | 8.45 | 45 | 27 | Moist Moderate | Jackson | 7.52 | 41 | 24 | Moist Tropical |
| Mason | 8.36 | 45 | 27 | Moist Tropical | Mason | 7.91 | 44 | 25 | Moist Tropical |
| Ohio | 9.61 | 49 | 31 | Moist Moderate | Ohio | 8.84 | 46 | 28 | Moist Moderate |
| Warren | 9.37 | 49 | 30 | Moist Moderate | Warren | 8.86 | 47 | 28 | Moist Tropical |
| 1 May 2012 | 1 May 2013 | ||||||||
| Station | Moisture content % | TE | Diff (TE-T) | Air mass | Station | Moisture content % | TE | Diff (TE-T) | Air mass |
| Barren | 10.19 | 56 | 34 | Moist tropical | Barren | 8.19 | 47 | 26 | Moist Tropical |
| Calloway | 9.67 | 56 | 32 | Moist Tropical | Calloway | 7.85 | 46 | 25 | Moist Tropical |
| Campbell | 9.55 | 50 | 31 | Moist Tropical | Campbell | 6.47 | 42 | 20 | Dry Tropical |
| Fulton | 9.44 | 56 | 31 | Moist Tropical | Fulton | 7.93 | 45 | 25 | Moist Tropical |
| Hardin | 9.62 | 54 | 31 | Moist Tropical | Hardin | 7.41 | 43 | 23 | Dry Tropical |
| Hopkins | 9.82 | 56 | 32 | Moist Tropical | Hopkins | 7.49 | 45 | 24 | Dry moderate |
| Jackson | 9.60 | 53 | 31 | Moist Tropical | Jackson | 6.83 | 40 | 21 | Dry Moderate |
| Mason | 9.94 | 53 | 32 | Moist Tropical | Mason | 7.19 | 45 | 23 | Dry Tropical |
| Ohio | 9.46 | 54 | 31 | Moist Tropical | Ohio | 7.50 | 45 | 24 | Dry Moderate |
| Warren | 10.08 | 56 | 33 | Moist Tropical | Warren | 8.02 | 46 | 26 | Moist Tropical |
| 1 May 2014 | |||||||||
| Station | Moisture content % | TE | Diff (TE-T) | Air mass | |||||
| Barren | 4.55 | 26 | 14 | Dry Moderate | |||||
| Calloway | 4.63 | 25 | 14 | Dry Polar | |||||
| Campbell | 3.83 | 23 | 11 | Dry Moderate | |||||
| Fulton | 4.44 | 26 | 13 | Dry Polar | |||||
| Hardin | 4.45 | 25 | 13 | Dry Moderate | |||||
| Hopkins | 4.43 | 25 | 13 | Dry Polar | |||||
| Jackson | 4.72 | 25 | 14 | Dry Polar | |||||
| Mason | 4.55 | 25 | 14 | Dry Moderate | |||||
| Ohio | 4.54 | 25 | 14 | Dry Polar | |||||
| Warren | 4.62 | 26 | 14 | Dry Moderate |
© 2020 by the authors. Licensee MDPI, Basel, Switzerland. This article is an open access article distributed under the terms and conditions of the Creative Commons Attribution (CC BY) license (http://creativecommons.org/licenses/by/4.0/).
Share and Cite
Na-Yemeh, D.; Mahmood, R.; Goodrich, G.; Younger, K.; Cary, K.; Durkee, J. Growing Season Air mass Equivalent Temperature (TE) in the East Central USA. Climate 2020, 8, 95. https://doi.org/10.3390/cli8090095
Na-Yemeh D, Mahmood R, Goodrich G, Younger K, Cary K, Durkee J. Growing Season Air mass Equivalent Temperature (TE) in the East Central USA. Climate. 2020; 8(9):95. https://doi.org/10.3390/cli8090095
Chicago/Turabian StyleNa-Yemeh, Dolly, Rezaul Mahmood, Gregory Goodrich, Keri Younger, Kevin Cary, and Joshua Durkee. 2020. "Growing Season Air mass Equivalent Temperature (TE) in the East Central USA" Climate 8, no. 9: 95. https://doi.org/10.3390/cli8090095
APA StyleNa-Yemeh, D., Mahmood, R., Goodrich, G., Younger, K., Cary, K., & Durkee, J. (2020). Growing Season Air mass Equivalent Temperature (TE) in the East Central USA. Climate, 8(9), 95. https://doi.org/10.3390/cli8090095
