Robustness of the Link between Precipitation in North Africa and Standard Modes of Atmospheric Variability during the Last Millennium
Abstract
1. Introduction
2. Data and Methods
2.1. Statistical Tests
2.2. Observation Datasets and Reanalysis
2.3. Model Simulations
2.4. Drought Index
2.5. Atmospheric Circulation Indices
- The NAO index is calculated as the difference in normalized SLP between Lisbon, Portugal, and Stykkisholmur/Reykjavik, Iceland (Figure 3). Normalization is obtained by removing the long-term mean and dividing by the long-term standard deviation of the interval 1864–1983. This is done to avoid the series being impacted by the greater variability of the northern station [7,67].
3. Results and Discussions
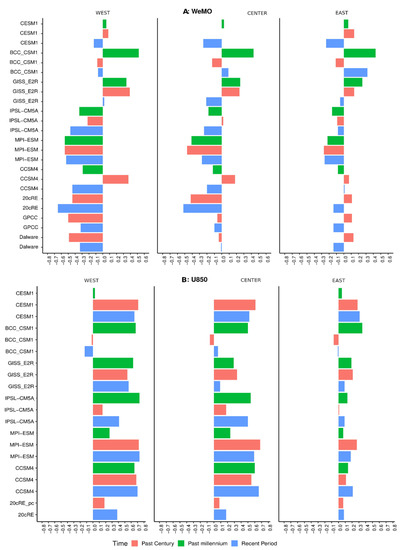
3.1. Link between Winter Precipitation and Atmospheric Modes of Variability in North Africa, 850–2005
3.1.1. Recent Period (1979–2005):
3.1.2. Past Century (1850–1950):
3.1.3. Past Millennium (850–1850):
3.2. Precipitation, Wind, and PDSI Analysis over the Last Millennium in the North African Region
4. Conclusions
Supplementary Materials
Author Contributions
Funding
Acknowledgments
Conflicts of Interest
References and Note
- Barcikowska, M.J.; Kapnick, S.B.; Feser, F. Impact of large-scale circulation changes in the North Atlantic sector on the current and future Mediterranean winter hydroclimate. Clim. Dyn. 2018, 50, 2039–2059. [Google Scholar] [CrossRef]
- NIC (National Intelligence Council): North Africa Special report (NIC-2009-07D). Prepared by Joint Global Change Research Institute and Battelle Memorial Institute, Pacific Northwest Division. 2009. Available online: https://www.hsdl.org/?abstract&did=24140 (accessed on 30 April 2018).
- Caloiero, T.; Veltri, S.; Caloiero, P.; Frustaci, F. Drought Analysis in Europe and in the Mediterranean Basin Using the Standardized Precipitation Index. Water 2018, 10, 1043. [Google Scholar] [CrossRef]
- Mohamed, B.; Melvyn, K.; Cody, K. Drought characteristics and management in North Africa and the Near East; Food and Agriculture Organization Of The United Nations: Rome, Italy, 2018. [Google Scholar]
- Hernández-Guerra, A.; Fraile-Nuez, E.; López-Laatzen, F.; Martínez, A.; Parrilla, G.; Vélez-Belchí, P. Canary Current and North Equatorial Current from an inverse box model. J. Geophys. Res. 2005, 110, C12019. [Google Scholar]
- Robinson, A.R.; Brink, K.H. The Global Coastal Ocean: Interdisciplinary Regional Studies and Syntheses, Part 2; Harvard University Press: Cambridge, MA, USA, 2006; p. 880. [Google Scholar]
- Jones, P.D.; Jonsson, T.; Wheeler, D.A. Monthly values of the North Atlantic Oscillation Index from 1821 to 2000. PANGAEA 1997. [Google Scholar] [CrossRef]
- Hurrell, W.J. Regional Temperatures and Precipitation. Science 1995, 5224, 676–679. [Google Scholar]
- Thompson, D.W.J.; Wallace, J.M. Annular modes in the extratropical circulation. Part I: Month-to-month variability. J. Climate. 2000, 13, 1000–1016. [Google Scholar] [CrossRef]
- Hurrell, W.J.; Kushnir, Y.; Ottersen, G.; Visbeck, M. The North Atlantic Oscillation: Climate Significance and Environmental impact. Geophys. Monogr. Ser. 2003, 279. [Google Scholar] [CrossRef]
- Dunkeloh, A.; Jacobeit, J. Circulation dynamics of Mediterranean precipitation variability 1948–98. Int. J. Cli-Matol. 2003, 23, 1843–1866. [Google Scholar] [CrossRef]
- Annarita, M.; Dell’Aquila, A. Decadal climate variability in the Mediterranean region: Roles of large-scale forcings and regional processes. Clim. Dyn. 2011, 38, 1129–1145. [Google Scholar] [CrossRef]
- Gonzalez-Hidalgo, J.C.; Lopez-Bustins, J.A.; Štepánek, P.; Martín-Vide, J.; de Luis, M. Monthly precipitation trends on the Mediterranean fringe of the Iberian Peninsula during the second half of the 20th century (1951–2000). Int. J. Climatol. 2009, 29, 1415–1429. [Google Scholar] [CrossRef]
- López-Moreno, J.I.; Vicente-Serrano, S.M.; Moran-Tejeda, E.; Zabalza, J.; Lorenzo-Lacruz, J.; García-Ruiz, J.M. Impact of climate evolution and land use changes on water yield in the ebro basin. Hydrol. Earth Syst. Sci. 2011, 15, 311–322. [Google Scholar] [CrossRef]
- Fernández-González, S.; del Río, S.; Castro, A.; Penas, A.; Fernández-Raga, M.; Calvo, A.I.; Fraile, R. Connection between NAO, weather types and precipitation in León, Spain (1948–2008). Int. J. Climatol. 2012, 32, 2181–2196. [Google Scholar]
- Ulbrich, U.; Lionello, P.; Belusic, D.; Jacobeit, J.; Knippertz, P.; Kuglitsch, F.G.; Leckebusch, G.C.; Luterbacher, J.; Maugeri, M.; Maheras, P.; et al. Climate of the Mediterranean: Synoptic Patterns, Temperature, Precipitation, Winds, and Their Extremes. In Climate of the Mediterranean Region-From the Past to the Future; Elsevier: Sydney, NSW, Australia, 2012. [Google Scholar]
- Krichak, S.O.; Breitgand, J.S.; Gualdi, S.; Feldstein, S.B. Teleconnection–extreme precipitation relationships over the Mediterranean region. Appl. Climatol. 2013, 117, 679–692. [Google Scholar] [CrossRef]
- Redolat, D.; Monjo, R.; Lopez-Bustins, J.A.; Martin-Vide, J. Upper-Level Mediterranean Oscillation index and seasonal variability of rainfall and temperature. Appl. Clim. 2019, 135, 1059–1077. [Google Scholar] [CrossRef]
- Zappa, G.; Hoskins, B.J.; Shepherd, T.G. The dependence of wintertime Mediterranean precipitation on the atmospheric circulation response to climate change. Environ. Res. Lett. 2015, 10, 104012. [Google Scholar] [CrossRef]
- Roman, B.; Silje, L.S.; Nico, K.; Christoph, S. Causes of future Mediterranean precipitation decline depend on the season. Environ. Res. Lett. 2019, 14, 114017. [Google Scholar]
- Tang, T.; Shindell, D.; Samset, B.H.; Boucher, O.; Forster, P.M.; Hodnebrog, Ø.; Myhre, G.; Sillmann, J.; Voulgarakis, A.; Andrews, T.; et al. Dynamical response of Mediterranean precipitation togreenhouse gases and aerosols. Atmos. Chem. Phys. 2018, 18, 8439–8452. [Google Scholar] [CrossRef]
- Smerdon, J.; Luterbacher, J.; Phipps, S.; Anchukaitis, K.; Ault, T.; Coats, S.; Cobb, K.; Cook, B.; Colose, C.; Felis, T.; et al. Comparing proxy and model estimates of hydroclimate variability and change over the Common Era. Clim. Past Discuss. 2017, in press. [Google Scholar] [CrossRef]
- Touchan, R.; Xoplaki, E.; Funkhouser, G.; Luterbacher, J.; Hughes, M.K.; Erkan, N.; Akkemik, Ü.; Stephan, J. Dendroclimatol-ogy and large-scale circulation influences in the eastern Medi-terranean and Near East region. Clim. Dyn. 2005, 25, 75–98. [Google Scholar] [CrossRef]
- Nicault, A.; Alleaume Brewer, S.; Carrer, M.; Nola, P.; Guiot, J. Mediterranean drought fluctuation during the last 500 years based on tree-ring data. Clim. Dyn. 2008, 31, 227–245. [Google Scholar] [CrossRef]
- Touchan, R.; Anchukaitis, K.J.; Meko, D.M.; Sabir, M.; Attalah, S.; Aloui, A. Spatiotem-poral drought variability in northwestern Africa over the last nine centuries. Clim. Dyn. 2011, 37, 237–252. [Google Scholar] [CrossRef]
- Touchan, R.; Anchukaitis, K.J.; Shishov, V.V.; Sivrikaya, F.; Attieh, J.; Ketmen, M.; Stephan, J.; Mitsopoulos, I.; Christou, A.; Meko, D.M. Spatial pat-terns of Eastern Mediterranean climate influence on tree growth. Holocene 2014, 24, 381–392. [Google Scholar] [CrossRef]
- Jones, P.D.; Briffa, K.R. Unusual climate in northwest Europe during the period 1730 to 1745 based on instrumental and documentary data. Clim. Chang. 2006, 79, 361–379. [Google Scholar] [CrossRef]
- Moreno, A.; Pérez, A.; Frigola, J.; Nieto-Moreno, V.; Rodrigo-Gámiz, M.; Martrat, B.; González-Sampériz, P.; Morellón, M.; Martín-Puertas, C.; Corella, J.P.; et al. Age determination and sea surface temperature reconstruction from marine and lake records, Iberian Peninsula. PANGAEA 2012. [Google Scholar] [CrossRef]
- Carro-Calvo, L.; Salcedo-Sanz, S.; Luterbacher, J. Neural computation in paleoclimatology: General methodology and a case study. Neurocomputing 2013, 113, 262–268. [Google Scholar] [CrossRef]
- Luterbacher, J.; Xoplaki, E.; Dietrich, D.; Jones, P.D.; Davies, T.D.; Portis, D.; Gonzalez-Rouco, J.F.; Von Storch, H.; Gyalistras, D.; Casty, C.; et al. Extending North Atlantic Oscillationreconstructions back to 1500. Atmos. Sci. Lett. 2002, 2, 114–124. [Google Scholar] [CrossRef]
- Pauling, A.; Paeth, H. On the variability of return periods ofEuropean winter precipitation extremesover the last five centuries. Clim. Past Discuss. 2006, 2, 157–189. [Google Scholar] [CrossRef]
- Esper, J.; Frank, D.; Verstege, A.; Luterbacher, J.; Xoplaki, E. Long-term drought severity variations in Morocco. Geophys. Res. Lett. 2007, 34, L17702. [Google Scholar] [CrossRef]
- Brewer, S.; Alleaume, S.; Guiot, J.; Nicaul, A. Historical droughts in Mediterranean regions during the last 500 years: A data/model approach. Clim. Past Discuss. 2006, 2, 771–800. [Google Scholar] [CrossRef]
- Cook, E.R.; Seager, R.; Kushnir, Y.; Briffa, K.R.; Buntgen, U.; Frank, D.; Krusic, P.J.; Tegel, W.; vander Schrier, G.; Andreu-Hayles, L.; et al. Old World megadroughts and pluvials during the Common Era. Sci. Adv. 2016, 1. [Google Scholar] [CrossRef]
- Hamed, K.H.; Ramachandra Rao, A. A modified Mann-Kendall trend test for autocorrelated data. J. Hydrol. 1998, 204, 182–196. [Google Scholar] [CrossRef]
- Pettitt, A.N. A non-parametric approach to the change point problem. 1979, Journal of the Royal Statistical Society Series C. Appl. Stat. 1979, 28, 126–135. [Google Scholar] [CrossRef]
- Mann, H.B. Non-parametric tests against trend. Econometrica 1945, 13, 163–171. [Google Scholar] [CrossRef]
- Kendall, M.G. Rank Correlation Methods, 4th ed.; Charles Griffin: London, UK, 1975. [Google Scholar]
- Carvalho, J.R.; Assad, E.D.; Evangelista, S.R.M.; Pinto, H.S. Estimation of dry spells in three Brazilian regions—Analysis of extremes. Atmos. Res. 2013, 132, 12–21. [Google Scholar] [CrossRef]
- Theil, H. A rank-invariant method of linear and polynomial regression analysis. I, II, III. Nederl. Akad. Wetensch. Proc. 1950, 53, 386–392, 521–525, 1397–1412. [Google Scholar]
- Dhorde, A.G.; Zarenistanak, M. Three-way approach to test data homogeneity: An analysis of temperature and precipitation series over southwestern Islamic Republic of Iran. J. Ind. Geophys. Union 2013, 17, 233–242. [Google Scholar]
- Schneider, U.; Becker, A.; Finger, P.; Meyer-Christoffer, A.; Rudolf, B.; Ziese, M. GPCC Full Data Reanalysis Version 7.0 at 0.5: Monthly Land-Surface Precipitation from Rain-Gauges built on GTS-based and Historic Data; National Center for Atmospheric Research: Boulder, CO, USA, 2014. [Google Scholar]
- Willmott, C.J.; Matsuura, K. Terrestrial Air Temperature and Precipitation: Monthly and Annual Time Series (1950–1999). 2001. Available online: http://climate.geog.udel.edu/~climate/html_pages/README.ghcn_ts2.html (accessed on 4 March 2019).
- Compo, G.P.; Whitaker, J.S.; Sardeshmukh, P.D.; Matsui, N.; Allan, R.J.; Yin, X.; Gleason, P.D.; Vose, P.D.; Rutledge, G.; Bessemoulin, P.; et al. The Twentieth Century Reanalysis Project. Q. J. R. Meteorol. Soc. 2011, 137, 1–28. [Google Scholar] [CrossRef]
- Otto-Bliesner, B.L.; Joussaume, S.; Braconnot, P.; Harrison, S.P.; Abe-Ouchi, A. Modeling and data syntheses of past climates. Eos Trans. Am. Geophys. Union 2009, 90, 93. [Google Scholar] [CrossRef]
- Taylor, K.E.; Stouffer, R.J.; Meehl, G.A. An Overview of CMIP5 and the Experiment Design, B. Am. Meteorol. Soc. 2012, 93, 485–498. [Google Scholar] [CrossRef]
- Emori, S.; Taylor, K.; Hewitson, B.; Zermoglio, F.; Juckes, M.; Lautenschlager, M.; Stockhause, M. CMIP5 data provided at the IPCC Data Distribution Centre. Fact Sheet of the Task Group on Data and Scenario Support for Impact and Climate Analysis (TGICA) of the Intergovernmental Panel on Climate Change (IPCC). 2016. Available online: https://www.dkrz.de/up/de-services/de-data-management/de-projects_cooperations/de-ipcc-data/de-ipcc-ddc-statistics/de-images/de-TGICA_Fact_Sheet_CMIP5_data_provided_at_the_IPCC_DDC_Ver_1_2016.pdf?lang=en (accessed on 4 March 2019).
- Gent, P.R.; Danabasoglu, G.; Donner, L.J.; Holland, M.M.; Hunke, E.C.; Jayne, S.R.; Lawrence, D.M.; Neale, R.B.; Rasch, P.J.; Vertenstein, M.; et al. The Community Climate System Model, Version 4. J. Clim. 2011, 24, 4973–4991. [Google Scholar] [CrossRef]
- Stevens, B.; Giorgetta, M.; Esch, M.; Mauritsen, T.; Crueger, T.; Rast, S.; Salzmann, M.; Schmidt, H.; Bader, J.; Block, K.; et al. The atmospheric component of the MPI-M earth system model: ECHAM6. J. Adv. Modeling Earth Syst. 2013, 2013, 1–27. [Google Scholar] [CrossRef]
- Dufresne, J.L.; Foujols, M.A.; Denvil, S.; Caubel, A.; Marti, O.; Aumont, O.; Balkanski, Y.; Bekki, S.; Bellenger, H.; Benshila, R.; et al. Climate change projections using the IPSL-CM5 Earth System Model: From CMIP3 to CMIP5. Clim. Dynam. 2013, 40, 2123–2165. [Google Scholar] [CrossRef]
- Schmidt, G.A.; Kelley, M.; Nazarenko, L.; Ruedy, R.; Russell, G.L.; Aleinov, I.; Bauer, M.; Bauer, S.E.; Bhat, M.K.; Bleck, R.; et al. Configuration and assessment of the GISS ModelE2 contributions to the CMIP5 archive. J. Adv. Modeling Earth Syst. 2014, 6, 141–184. [Google Scholar] [CrossRef]
- Otto-Bliesner, B.L.; Brady, E.C.; Fasullo, J.; Jahn, A.; Landrum, L.; Stevenson, S.; Rosenbloom, N.; Mai, A.; Strand, G. Climate Variability and Change since 850 C.E.: An Ensemble Approach with the Community Earth System Model (CESM). Am. Meteorol. Soc. 2016, 97, 735–754. [Google Scholar] [CrossRef]
- Wu, T.; Song, L.; Li, W.; Wang, Z.; Zhang, H.; Xin, X.; Zhang, Y.; Zhang, L.; Li, J.; Wu, F.; et al. An overview of BCC climate system model development and application for climate change studies. J. Meteorol. Res. 2014, 28, 34–56. [Google Scholar] [CrossRef]
- Crowley, T.J.; Unterman, M.B. Technical details concerning development of a 1200 yr proxy index for global volcanism. Earth Syst. Sci. Data 2013, 5, 187–197. [Google Scholar] [CrossRef]
- Gao, C.; Robock, A.; Ammann, C. Volcanic forcing of climate over the past 1500 years: An improved ice core-based index for climate models. J. Geophys. Res. 2008, 113, D23111. [Google Scholar] [CrossRef]
- Timmreck, C.; Pohlmann, H.; Illing, S.; Kadow, C. The impact of stratospheric volcanic aerosol on decadal-scale climate predictions. Geophys. Res. Lett. 2016, 43, 834–842. [Google Scholar] [CrossRef]
- Flückiger, J.; Monnin, E.; Stauffer, B.; Schwander, J.; Stocker, T.F.; Chappellaz, J.; Raynaud, D.; Barnola, J.-M. High resolution Holocene N2O ice core record and its relation-ship with CH4 and CO2. Glob. Biogeochem. Cycles 2002, 16, 1010. [Google Scholar] [CrossRef]
- MacFarling Meure, C.; Etheridge, D.; Trudinger, C.; Steele, P.; Langenfelds, R.; Van Ommen, T.; Smith, A.; Elkins, J. Law Dome CO2, CH4 and N2O ice core records extended to 2000 years BP. Geophys. Res. Lett. 2006, 33, 2000–2003. [Google Scholar] [CrossRef]
- Hansen, J.; Sato, M. Greenhouse gas growth rates. Proc. Natl. Acad. Sci. USA 2004, 101, 16109–16114. [Google Scholar] [CrossRef]
- Lamarque, J.-F.; Bond, T.C.; Eyring, V.; Granier, C.; Heil, A.; Klimont, Z.; Lee, D.; Liousse, C.; Mieville, A.; Owen, B.; et al. Historical (1850–2000) gridded anthropogenic and biomass burning emissions of reactive gases and aerosols: Methodology and application. Atmos. Chem. Phys. 2010, 10, 7017–7039. [Google Scholar] [CrossRef]
- Schmidt, G.A.; Jungclaus, J.H.; Ammann, C.M.; Bard, E.; Bra-connot, P.; Crowley, T.J.; Delaygue, G.; Joos, F.; Krivova, N.A.; Muscheler, R.; et al. Climate forc-ing reconstructions for use in PMIP simulations of the last mil-lennium (v1.0). Geosci. Model Dev. 2011, 4, 33–45. [Google Scholar] [CrossRef]
- Schmidt, G.A.; Jungclaus, J.H.; Ammann, C.M.; Bard, E.; Bra-connot, P.; Crowley, T.J.; Delaygue, G.; Joos, F.; Krivova, N.A.; Muscheler, R.; et al. Cli-mate forcing reconstructions for use in PMIP simulations of the Last Millennium (v1.1). Geosci. Model Dev. 2012, 5, 185–191. [Google Scholar] [CrossRef]
- Klein, F.; Goosse, H.; Graham, N.E.; Verschuren, D. Comparison of simulated andreconstructed variations in East African hydroclimate over the last millennium. Clim. Past 2016, 12, 1499–1518. [Google Scholar] [CrossRef]
- Seager, R.; Liu, H.; Henderson, N.; Simpson, I.; Kelley, C.; Shaw, T.; Kushnir, Y.; Ting, M. Causes of Increasing Aridification of the Mediterranean Region in Response to Rising Greenhouse Gases. J. Clim. 2014, 27, 4655–4676. [Google Scholar] [CrossRef]
- Dai, A.; National Center for Atmospheric Research Staff (Eds.) Last modified 12 Dec 2019. “The Climate Data Guide: Palmer Drought Severity Index (PDSI)”. Available online: https://climatedataguide.ucar.edu/climate-data/palmer-drought-severity-index-pdsi (accessed on 30 April 2020).
- Jacobi, J.; Perrone, D.; Duncan, L.L.; Hornberger, G. A tool for calculating the Palmer drought indexes. Water Resour. 2013, 49, 6086–6089. [Google Scholar] [CrossRef]
- Quadrelli, R.; Pavan, V.; Molteni, F. Wintertime variability of Mediterranean precipitation and its links with large-scale circulation anomalies. Clim. Dyn. 2011, 17, 457–466. [Google Scholar] [CrossRef]
- Conte, M.; Giuffrida, A.; Tedesco, S. The Mediterranean Oscillation. Impact on precipitation and hydrology in Italy Climate Water; Publications of the Academy of Finland: Helsinki, Finland, 1989. [Google Scholar]
- Palutikof, J.P.; Conte, M.; Casimiro Mendes, J.; Goodess, C.M.; Espirito Santo, F. Climate and climate change. In Mediterranean Desertification and Land Use; Brandt, C.J., Thornes, J.B., Eds.; John Wiley and Sons: London, UK, 1996. [Google Scholar]
- Palutikof, J.P. Analysis of Mediterranean climate data: Measured and modelled. In Mediterranean Climate: Variability and Trends; Springer-Verlag: Berlin, Germany, 2003. [Google Scholar]
- Douguedroit, A. Que peut-on dire d’une Oscillation Mediterraneenne? Clim. Environ. Chang. 1998, 135–136. [Google Scholar]
- Maheras, P.; Xoplaki, E.; Kutiel, H. Wet and dry monthly anomalies across the Mediterranean basin and their relationship with circulation 1860–1990. Theor. Appl. Climatol. 1999, 64, 189–199. [Google Scholar] [CrossRef]
- Ma, J.; Ja, L. The Western Mediterranean Oscillation and Iberian Peninsula Rainfall. Int. J. Climatol. 2006, 26, 1455–1475. [Google Scholar]
- Hoerling, M.; Jon, E.; Judith, P.; Xiaowei, Q.; Tao, Z.; Pegion, P. On the Increased Frequency of Mediterranean Drought. J. Clim. 2012, 6, 2146–2161. [Google Scholar] [CrossRef]
- Kelley, C.; Ting, M.; Seager, R.; Kushnir, Y. The relative contributions of radiative forcing and internal climate variability to the late 20th Century winter drying of the Mediterranean region. Clim. Dyn. 2012, 38, 2001–2015. [Google Scholar] [CrossRef]
- Marvel, K.; Bonfils, C. Identifying external influences on global precipitation. Proc. Natl. Acad. Sci. USA 2013, 110, 19301–19306. [Google Scholar] [CrossRef]
- Sousa, P.M.; Trigo, R.M.; Aizpurua, P.; Nieto, R.; Gimeno, L.; Garcia-Herrera, R. Trendsand extremes of drought indices throughout the 20th century in the Mediterranean. Nat. Hazards Earth Syst. Sci. 2011, 11, 33–51. [Google Scholar] [CrossRef]
- Jungclaus, J.H.; Lorenz, S.; Timmreck, C.; Reick, C.H.; Brovkin, V.; Six, K.; Segschneider, J.; Giorgetta, M.; Crowley, T.J.; Pongratz, J.; et al. Climate and carbon-cycle variability over the last millennium. Clim. Past. 2010, 6, 723–737. [Google Scholar] [CrossRef]
- Frankcombe, L.M.; England, M.H.; Mann, M.E.; Steinman, B.A. Separating internal variability from the externally forced climate response. J. Clim. 2015, 28, 8184–8202. [Google Scholar] [CrossRef]










| Observations and Reanalysis Data | Version and Resolution | Description | Reference |
|---|---|---|---|
| GPCC V7 | 0.5° latitude × 0.5° longitude global grid (720 × 180) | Monthly gridded land-surface precipitation from rain gauges built on GTS-based and historic data from 1901–2013 | [42] |
| Delaware | 0.5° latitude × 0.5° longitude global grid (720 × 360) | Monthly global gridded high-resolution station (land) data for air temperature and precipitation from 1900–2013 | [43] |
| 20th century reanalysis (20cRE) | 2.0° latitude × 2.0° longitude global grid (180 × 91) | Monthly gridded precipitation Geopotential height Zonal wind at 850 hPa (u-wind) from 1901–2013 | [44] |
| Model name | Institution | Period Covered | Data Availability During the Study | Atmospheric Resolution Horizontal Vertical | Reference | |
|---|---|---|---|---|---|---|
| CCSM4 | National Center for Atmospheric Research (NCAR), USA | Past millennium Past century | 850–2005 | 280 × 200 | 27 | [48] |
| MPI-ESM-P | Max Planck Institute for Meteorology (MPI-M), Germany | 940–2005 | 192 × 96 | 47 | [49] | |
| IPSL-CM5A-LR | Institut Pierre-Simon Laplace | 850–2005 | 96 × 96 | 39 | [50] | |
| GISS-E2-R | NASA Goddard Institute for Space Studies | 850–2005 | 250 × 200 | 40 | [51] | |
| CESM1 | NCAR, USA | 850–2005 | 144 × 96 | 27 | [52] | |
| BCC-CSM1 | Beijing Climate Center, China Meteorological Administration | 850–2005 | 128 × 64 | 26 | [53] | |
| Period | 1800–2005 | ||
|---|---|---|---|
| Region | Time Series | P-Value | Slope (mm/day/year) |
| Western | CCSM4 MPI-ESM-P IPSL-CM5A-LR GISS-E2-R BCC-CSM1 CESM1 | 0.01 0.003 0.0008 0.04 0.1 0.1 | −0.0006 −0.001 −0.0006 −0.0004 |
| Central | CCSM4 MPI-ESM-P IPSL-CM5A-LR GISS-E2-R BCC-CSM1 CESM1 | 0.02 0.007 0.0002 0.2 0.001 0.003 | −0.0002 −0.0006 −0.0004 −0.0004 −0.0005 |
| Eastern | CCSM4 MPI-ESM-P IPSL-CM5A-LR GISS-E2-R BCC-CSM1 CESM1 | 0.04 0.002 0.02 0.007 0.003 0.01 | −0.0002 −0.0008 −0.0005 −0.0009 −0.0006 −0.0004 |
| 1950–2005 | |||
|---|---|---|---|
| Region | Time series | P-value | Slope (mm/day/year) |
| Western | Observation Reanalysis | 0.017 0.003 | −0.008 −0.001 |
| Central | Observation Reanalysis | 0.015 0.003 | −0.003 −0.007 |
| Eastern | Observation Reanalysis | 0.02 0.04 | −0.001 −0.004 |
| Period | 1800–2005 | ||
|---|---|---|---|
| Location | Model Time Series | P-Value | Slope (m/s) |
| North Africa (25–33° N, 10° W–23° E) | CCSM4 MPI-ESM-P IPSL-CM5A-LR GISS-E2-R BCC-CSM1 CESM1 (ensemble mean) | 0.04 0.01 0.8 0.5 0.03 0.01 | −0.001 −0.001 −0.001 −0.001 |
| Period | 1850–2005 | ||
|---|---|---|---|
| Location | PDSI Time series | P-value | Slope |
Algeria | CCSM4 MPI-ESM CESM1 (mean of 10 members) Reconstructed OWDA | 0.007 0.002 1.9 × 10−07 0.002 | −0.006 −0.008 −0.006 −0.006 |
Morocco | CCSM4 MPI-ESM CESM1 (mean of 10 members) Reconstructed OWDA | 0.001 0.0004 1.2 × 10−06 0.003 | −0.008 −0.009 −0.008 −0.005 |
| Period | 1901–2005 | ||
|---|---|---|---|
| Location | PDSI Time Series | P-Value | Slope |
| Algeria | Instrumental data | 0.004 | −0.01 |
| Morocco | Instrumental data | 0.005 | −0.01 |
© 2020 by the authors. Licensee MDPI, Basel, Switzerland. This article is an open access article distributed under the terms and conditions of the Creative Commons Attribution (CC BY) license (http://creativecommons.org/licenses/by/4.0/).
Share and Cite
Djebbar, A.; Goosse, H.; Klein, F. Robustness of the Link between Precipitation in North Africa and Standard Modes of Atmospheric Variability during the Last Millennium. Climate 2020, 8, 62. https://doi.org/10.3390/cli8050062
Djebbar A, Goosse H, Klein F. Robustness of the Link between Precipitation in North Africa and Standard Modes of Atmospheric Variability during the Last Millennium. Climate. 2020; 8(5):62. https://doi.org/10.3390/cli8050062
Chicago/Turabian StyleDjebbar, Arab, Hugues Goosse, and François Klein. 2020. "Robustness of the Link between Precipitation in North Africa and Standard Modes of Atmospheric Variability during the Last Millennium" Climate 8, no. 5: 62. https://doi.org/10.3390/cli8050062
APA StyleDjebbar, A., Goosse, H., & Klein, F. (2020). Robustness of the Link between Precipitation in North Africa and Standard Modes of Atmospheric Variability during the Last Millennium. Climate, 8(5), 62. https://doi.org/10.3390/cli8050062

