Next Article in Journal
Assessing Crop Yield Variability Using Meteorological Drought Indices for Agricultural Drought Monitoring in Botswana
Previous Article in Journal
The Impact of Temperature Anomalies on Industrial Production
Previous Article in Special Issue
Analysis of Precipitation Climatology Trends over Greece Based on Gridded Observational and Reanalysis Databases
 
 
Font Type:
Arial Georgia Verdana
Font Size:
Aa Aa Aa
Line Spacing:
Column Width:
Background:
Article

Understanding Trends in Near-Surface Air Temperature Lapse Rates in a Southern Mediterranean Region

by
Gaetano Pellicone
1,
Tommaso Caloiero
2,* and
Ilaria Guagliardi
1
1
Institute for Agriculture and Forestry Systems in the Mediterranean (CNR-ISAFOM), National Research Council of Italy, 87036 Rende, Italy
2
Research Institute for Geo-Hydrological Protection (CNR-IRPI), National Research Council of Italy, 87036 Rende, Italy
*
Author to whom correspondence should be addressed.
Climate 2026, 14(4), 76; https://doi.org/10.3390/cli14040076
Submission received: 23 January 2026 / Revised: 13 March 2026 / Accepted: 22 March 2026 / Published: 25 March 2026
(This article belongs to the Special Issue Climate Variability in the Mediterranean Region (Second Edition))

Abstract

This study investigates the spatiotemporal variability of the near-surface air temperature lapse rate (NSATLR) in Calabria, a region representative of typical Mediterranean environmental and climatic conditions. Through the integration of observational datasets and model simulations, a global sensitivity analysis using the Sobol method, and Bayesian linear regression modelling across annual, seasonal, and monthly scales, the primary drivers of near-surface air temperature (NSAT) variability were identified. Results demonstrate that altitude is the dominant factor influencing temperature distribution, with minimal contributions from other geographical parameters such as latitude, longitude, and proximity to the sea. The Bayesian models yielded robust performance for mean and maximum temperatures, while minimum temperature proved more challenging to predict. Lapse rate analyses confirmed a consistent inverse relationship between temperature and elevation, with the steepest gradients observed for Tmin. In particular, a significant long-term decline in lapse rates over the past 70 years, especially during winter and autumn, points to accelerated warming at higher elevations, primarily driven by rising Tmin values. This trend suggests a gradual homogenization of temperature across altitudes, with important implications for ecosystem dynamics, snowpack stability, and climate-sensitive sectors such as agriculture and urban planning.

Graphical Abstract

1. Introduction

The near-surface air temperature (NSAT) is crucial to Earth’s climate system [1] and its changes are frequently used to assess climate change variability [2,3]. NSAT varies with altitude following the environmental lapse rate [4]. Using a linear lapse rate to adjust temperature based on altitude is common practice [5]. However, this approach can affect the accuracy of results, and the uncertainties associated with the lapse rate can sometimes outweigh the impacts of climate change in certain modelling scenarios [6].
As climate change continues to alter atmospheric conditions [7,8], understanding the spatiotemporal variability of near-surface air temperature lapse rates (NSATLR) becomes crucial for the interpretation of the local and regional climate dynamics and their implications for various environmental processes, including weather prediction, energy balance, and ecological patterns [9,10,11]. The relationship between near-surface and free-atmosphere temperatures may change, potentially resulting in lower lapse rates under warming conditions, which could further complicate climate predictions [12]. In addition, the implications of lapse rate variability extend beyond mere temperature measurements; they play a critical role in hydrological modelling and climate change assessments [13,14].
Lapse rates can vary significantly across different geographical regions, seasons, and time scales, influenced by factors such as topography, land use, atmospheric stability, and synoptic weather patterns [15]. Seasonal variations in lapse rates have been documented in various studies, revealing a bi-modal distribution that correlates with changes in atmospheric conditions. Ojha [16] discusses how these variations are predominantly driven by seasonal shifts in sensible heat flux, alongside the contrasting wet and dry atmospheric conditions that prevail in different seasons. This interplay between heat flux and moisture availability is critical for understanding the dynamics of temperature changes with elevation. Lute and Abatzoglou [6] emphasize the importance of spatial corrections in estimating lapse rates, observing that raw station temperatures often lead to increased uncertainty in temperature correlations with elevation, particularly in summer months. Holden and Rose [17] observed that changes in near-surface lapse rates across the UK were influenced by the characteristics of prevailing air masses, suggesting that regional differences in lapse rates are likely to persist under climate change scenarios. Similarly, studies in the Himalayas have shown that lapse rates can vary significantly based on altitude and local climatic conditions, emphasizing the need for region-specific models to accurately capture these dynamics [18,19]. This regional specificity is confirmed in the study of Fitzgerald and Kirkpatrick [20], who explore lapse rates in a hyper-oceanic climate, demonstrating how local environmental factors can produce steep lapse rates that deviate from global averages. Furthermore, the relationship between lapse rates and environmental factors, such as humidity and solar radiation, has been extensively documented. Jobst et al. [21] identified relative humidity as a major driver of spatial variability in maximum temperature lapse rates. Atmospheric conditions, including cloud cover and wind patterns, can also significantly alter the thermal structure of the atmosphere, as noted by Sheridan et al. [22]. Petersen and Pellicciotti [23] discussed how atmospheric controls and extrapolation methods affect temperature variability over glaciers. This connection between lapse rates and hydrological processes is further supported by Li et al. [24], who assert that land surface hydrological modelling is sensitive to NSAT, particularly in cryospheric regions. Zhao et al. [25] illustrate how near-surface lapse rates are fundamental in simulating snowmelt runoff in high-altitude basins, emphasizing that accurate temperature lapse rate estimations are crucial for effective hydrological predictions.
In this scenario, the potential contribution of anthropogenic influences to NSATLR must also be taken into account [26]. Extensive evidence indicates that land use and land cover changes (LULCC) [27,28], driven by rapid global urbanization, exert a significant impact on regional climate dynamics [29]. It is well established that near-surface air and ground temperatures in urban environments are consistently higher than those observed in surrounding rural areas [30].
These findings highlight the complexity of modelling lapse rates, as they are influenced by both microclimatic conditions and broader climatic trends and, consequently, the necessity for localized studies that can capture the variations in lapse rate behaviour in different geographical contexts. To capture the behaviour of the lapse rate more effectively in nature, mathematical models are becoming increasingly complex [31].
Lapse rates are commonly derived through either simple linear regression, which relates temperature directly to elevation, or multiple linear regression, which incorporates elevation along with additional covariates into the analysis, using data from nearby observational sites [32,33]. However, the choice between these methods remains subject to debate, as it is not yet definitively established which method yields more accurate representations. Moreover, both techniques may be affected by confounding variables that are not directly tied to elevation but exhibit collinearity with it, such as topographic context, vegetation cover, soil moisture, and snow presence, potentially biasing lapse rate estimates [34,35,36].
In this context, this study focuses on the investigation of temperature lapse rates in the Calabria region, a climatically sensitive area situated at the core of the Mediterranean basin, increasingly considered one of the region’s most evident climate change hotspots. Before the main analysis, a sensitivity assessment was conducted to evaluate the influence of several geographical predictors, including elevation, distance from the sea, latitude, and longitude. Elevation emerged as the most influential variable in explaining temperature variability, thereby justifying its exclusive use in the subsequent modelling.
The lapse rate was estimated using a Bayesian Linear Regression between air temperature and elevation at monthly, seasonal, and annual scales over the period 1950–2022. To detect long-term variations potentially attributable to climate change, we applied the non-parametric Sen’s slope estimator to the time series of lapse rates. This approach provides new insights into the temporal evolution of the vertical thermal gradient in Calabria, contributing to a deeper understanding of climate dynamics in a Mediterranean hotspot region and at the same time helps to enhance the accuracy of hydrological modelling and snow dynamics simulation, which is especially valuable in regions facing water shortages and advancing desertification, such as Calabria. This study provides one of the most detailed long-term assessments of near-surface air temperature lapse rates (NSATLR) in a Mediterranean mountain region, offering direct benefits for temperature forecasting and numerical modelling in complex terrain. By combining global sensitivity analysis with seven decades of Bayesian regression, it identifies elevation as the dominant control on temperature variability and clarifies the physical basis of temperature–elevation relationships used in weather and climate models. The reconstruction of lapse rates at multiple temporal scales, together with the detection of significant long-term weakening, especially for minimum temperatures, reveals that warming is vertically uneven. These findings improve the parameterization of boundary-layer processes, enhance downscaling of free-atmosphere temperatures, and provide robust constraints for model calibration and hydrological simulations. Overall, the study supports the development of dynamic, region-specific lapse rate formulations essential for accurate environmental forecasting in complex Mediterranean terrain.

2. Study Area and Data

The Calabria region, located at the southern tip of the Italian peninsula, can be considered a peculiar case study due to its geographical and climatic characteristics. This region, enveloped by the Tyrrhenian Sea to the west and by the Ionian Sea to the east and south, spans approximately 15,080 km2 with a coastline that stretches roughly 818 km (Figure 1e). The climate of the study area has been classified as a hot-summer Mediterranean climate, according to the Köppen–Geiger classification [37], and thus it is characterized by mild winters and hot, dry summers (Figure 1d). The region’s climate is significantly influenced by its location within the Mediterranean basin and its varied topography, including a central mountainous spine formed by the Apennines, which, extending vertically from north to south with peaks reaching 2000 m, divide the region into contrasting climatic zones [38]. As a result, the Ionian coast experiences high temperatures due to warm African air currents, which also bring short, intense periods of rainfall [39]. In contrast, the Tyrrhenian coast benefits from cooler, milder weather conditions due to the influence of westerly air currents, which favour orographic rainfall [40,41]. The inland areas experience colder winters that may include snowfall and relatively cooler summers with occasional precipitation.
In this study, monthly mean, maximum and minimum temperature data were extracted from the primary temperature database overseen by the Multi Risk Functional Centre of the Regional Agency for Environment Protection in Calabria. After data collection, the dataset was subjected to a quality control process aimed at detecting and correcting any inhomogeneity in the dataset, and at filling in any missing data covering the years from 1950 to 2022. Accordingly, data from 149 meteorological stations, distributed relatively evenly throughout the region and taking into account a wide range of geographical diversity and differences in altitude, were used in this study. In particular, 56% of the total stations are located at the lowest elevation, within the altitude range 0–500 m a.s.l., 27% of the stations fall within the range 500–1000 m a.s.l., 15% are situated between 1000 and 1500 m a.s.l., and only 3 stations, 2% of the total, present an altitude higher than 1500 m a.s.l. (Figure 1b). In addition, considering the distance from the sea, 64% of the total stations fall within 10 km from the sea, 26% within the range 10–20 km m a.s.l., 9% between 20 and 30 km, and only 1% of the stations is far than 30 km from the sea (Figure 1a). The distribution of stations is reflected in the frequency distribution of the annual temperatures evaluated for the 73 years of observations (Figure 1c). As a result, mode values equal to 8.13 °C, 16.94 °C and 26.88 °C, average temperatures equal to 6.6 °C, 15.3 °C, and 25.9 °C and interquartile ranges (IQR) of 4.7 °C, 3.4 °C, and 2.6 °C have been evaluated, respectively, for Tmin, Tmean, and Tmax (Table A1).

3. Methodology

In this study, the spatiotemporal variability of NSATLR in the Calabria region has been evaluated for the period 1950–2022 following the several key steps shown in Figure A1.

3.1. Sensitivity Analysis of Temperature Predictors

A sensitivity analysis was conducted to evaluate the influence of specific topographic and geographic features on temperature. In this study, the second-order Sobol method was employed to quantify both the contribution of individual factors and their interactions to the variability of the model’s output. Specifically, a multiple regression model was used to assess the impact of each input variable through variance decomposition.
By decomposing the output variance into quantifiable components attributable to each input parameter and their interactions, Sobol’s indices offer a comprehensive understanding of how individual inputs affect the overall behaviour of the model.
Consider a scalar model defined as:
Y = f X i ,
where the output Y depends on a set of parameters X i for i = 1… k [42].
To analyze the impact of each parameter, the variance contribution from each X i must be isolated. For any given parameter X i , the variance attributable solely to X i (i.e., ignoring its interactions with other parameters) is denoted as:
V X i ( E X ~ i Y   |   X i ) ,
where E X ~ i represents the matrix of all factors except X i .
The first-order Sobol index ( S i ) quantifies the proportion of the total output variance V ( Y ) that can be directly attributed to variations in X i , while averaging out the effects of all other parameters. It is calculated as:
S i = V X i   E X ~ i Y X i V ( Y ) ,
This index provides a baseline understanding of the individual impact of each input variable on the model output.
To assess the interaction effects between pairs of input variables, the second-order Sobol index ( S i j ) is introduced:
S i j = V X i j   E X ~ i j Y   |   X i , X j   V ( Y ) ,
where V X i j includes all variables except X i and X j . This index measures the portion of the variance in Y explained by the interaction between X i and X j , beyond their individual contributions, thereby revealing potential synergistic or antagonistic relationships.
Furthermore, to account for all interactions involving a specific parameter X i the total Sobol index ( S T i ) is defined as:
S T i = V ( E X ~ i Y X ~ i V ( Y ) ,
This index quantifies the overall contribution of X i to the output variance, including both its direct effects and all higher-order interactions with other parameters.
For this analysis, the number of model evaluations was set to N = 10,000 as part of a Monte Carlo iterative process. This strategy was implemented to uniformly sample the input parameter space, ensuring a robust estimation of the sensitivity indices.
By assessing both first- and second-order effects, this method provides a comprehensive view of how variations in each input contribute to output variability, thereby identifying the variables that significantly influence the model’s predictions. Such an analysis is crucial for understanding the underlying dynamics of the model and for guiding subsequent data collection and model refinement.

3.2. Bayesian Linear Regression Model

Unlike the traditional frequentist approach, which relies solely on observed data, Bayesian analysis combines empirical information with prior knowledge about model parameters. This integration is achieved via Bayes’ theorem, which updates our understanding of the parameters by incorporating both the likelihood of the observed data and prior beliefs. The result is the posterior distribution, a comprehensive measure of uncertainty surrounding the estimated parameters.
Mathematically, Bayes’ theorem is expressed as:
P θ d a t a   L d a t a θ × P ( θ ) ,
where θ denotes the set of model parameters, L d a t a θ is the likelihood function quantifying how probable the observed data are given the parameters, and P ( θ ) represents the prior distribution, encapsulating any pre-existing assumptions. Although this process is analogous to estimating regression coefficients and confidence intervals in frequentist analysis, the Bayesian framework offers a more nuanced perspective on uncertainty by explicitly specifying prior assumptions and combining them with the information in the data to obtain posterior distributions (and associated uncertainty).
In this study, we employ a Bayesian linear regression model specified as:
Y = X β + ε ,
Here, Y is the dependent variable (temperature), X is the matrix of independent variables (e.g., elevation), β is the vector of regression coefficients, and ε represents the residuals, assumed to be normally distributed with mean zero and variance σ2. This formulation aligns with classical linear regression, where temperature is modelled as a linear function of topographic features:
T e m p e r a t u r e =   β 0 + β 1 X 1 + + β k X k ,
with X 1 , X 2 , , X k representing observed geographic variables, such as elevation at different locations.
In this application, we adopt weakly informative priors to reflect minimal pre-conceived assumptions, so that inference is driven primarily by the observed data. Consequently, the posterior distribution is predominantly influenced by the data-derived likelihood, an approach particularly advantageous when modelling complex relationships between environmental factors and climatic outcomes.
The Bayesian framework was implemented using the “brms” package in R-4.5.1 [43,44,45,46], which provides a user-friendly interface to Stan, a powerful probabilistic programming language for advanced Bayesian modelling. Model estimation was performed using Hamiltonian Monte Carlo (HMC), an advanced technique within the broader class of Markov Chain Monte Carlo (MCMC) methods. While traditional MCMC methods sample from the posterior by constructing a Markov chain in which each value depends on the previous one, HMC exploits the gradient of the probability distribution to more efficiently traverse the parameter space, thereby reducing convergence time and enhancing sampling performance in complex models.
Model convergence was assessed using standard diagnostics, including trace plots and the Gelman–Rubin statistic, to ensure that the Markov chains adequately explored the posterior distribution and converged to a stable solution.
The posterior distributions obtained from this Bayesian model provide a probabilistic interpretation of the relationship between terrain elevation and temperature. The results include estimates of Regression Coefficients (R2), Root Mean Square Error (RMSE), Mean Absolute Error (MAE), and Mean Bias Error (MBE), collectively offering a comprehensive view of the uncertainty surrounding these estimates. This approach facilitates more nuanced inferences regarding how elevation influences temperature while accounting for both the observed data and the inherent uncertainty in the model parameters. In particular, model performance was evaluated consistently across all temporal aggregations. Regression models were fitted separately for annual, seasonal (season-by-year) and monthly (month-by-year) datasets, using all stations available in each period after applying the completeness criteria. No forward time-integration simulation was carried out and model adequacy was assessed via posterior predictive checks by generating replicated datasets from the posterior predictive distribution and comparing them with the observed data (distributions and selected summary statistics). Hence, simulation period, initial conditions, and total integration time do not apply.
For each temperature variable (Tmean, Tmin, Tmax), R2, RMSE, MAE and MBE were computed by comparing observed station values with the corresponding in-sample fitted values for the same stations and period (i.e., metrics are not cross-validated). Metrics were calculated by pooling residuals across all stations available in each period and therefore represent overall performance for that period, not station-specific performance. Since the analysis is based on independent regression fits, concepts such as simulation period, initial conditions and integration time are not applicable.

3.3. Temperature Lapse Rate and Trend Estimation

In this analysis, we focused on the regression coefficient associated with elevation, which quantifies the rate of temperature change as a function of altitude. Specifically, minimum (Tmin), maximum (Tmax), and mean (Tmean) temperatures were analyzed across annual, monthly, and seasonal scales to compute the lapse rate at each temporal resolution.
For each year from 1950 to 2022, the lapse rate was estimated by performing a linear regression on temperature observations collected from multiple meteorological stations at various elevations. The slope of the regression line, which is negative given the decrease in temperature with altitude, was extracted as the indicator of the lapse rate. For each temporal aggregation (year, month, and season), the posterior mean of the regression coefficient, along with its 95% credible interval (defined by the 2.5th and 97.5th percentiles of the posterior distribution), was obtained. These credible intervals provide the range within which the true parameter value is estimated to lie with 95% probability.
To facilitate interpretation in standard climatological terms, the regression coefficient was multiplied by 100, yielding an estimate of temperature change per 100 m of elevation. Furthermore, the temporal evolution of these lapse rates was assessed using Sen’s slope estimator—a robust non-parametric method for quantifying trend magnitude—while the statistical significance of the observed trends was evaluated using the Mann–Kendall test.

4. Results

In this study, lapse rates are expressed as the regression coefficient between temperature and elevation; therefore, they are reported as negative values, reflecting the decrease in temperature with increasing altitude, rather than as positive magnitudes sometimes used to indicate the rate of temperature decrease.

4.1. Sensitivity Analysis Results (Sobol Analysis)

In this study, the Sobol method has been applied to perform a global sensitivity analysis, aimed at understanding the influence of different input variables on the output of a regression model. The model was developed to explore the relationship between the dependent variable (Temperature) and four predictive variables: Altitude (ALT), Latitude (LAT), Longitude (LON), and distance from the sea (DIST). To conduct the sensitivity analysis, the original dataset was randomly divided into two subsets, each containing 50% of the data points, generating two matrices used to calculate the sensitivity indices for each input variable.
The analysis focused on both first-order indices, measuring the direct effect of each input variable on the model’s output, and second-order indices, capturing interaction effects between pairs of input variables. As a result (Figure A2), among the evaluated factors, ALT showed the highest sensitivity, with a first-order index of 0.79 (95% CI: 0.70–0.90), indicating that it predominantly drives the model’s output variance. All other parameters displayed substantially lower sensitivity indices, with several interaction terms having confidence intervals that span zero, indicating a limited or ambiguous impact on the model’s output variance.

4.2. Bayesian Regression Models’ Performances

Bayesian linear regressions were conducted independently for each year at annual, seasonal, and monthly scales to evaluate temporal variations in Sen’s slope. This approach enabled a comprehensive assessment of the evolving relationship between temperature and elevation, capturing potential shifts across multiple time scales.
The models were implemented using the “brms” package in R, employing four Markov chains with 4000 iterations per chain. The first 2000 iterations were discarded as burn-in. Two computational cores were allocated for the model fitting.
Model performance was assessed through convergence diagnostics, model fit, and predictive accuracy. Convergence was deemed satisfactory, with Rhat values consistently close to 1 across all time scales (annual, seasonal, and monthly), indicating efficient mixing of the MCMC chains. The Effective Sample Size (ESS) always exceeded 1000 for critical parameters, ensuring robust and well-estimated posterior distributions.
To evaluate model accuracy and predictive performance, three key metrics were employed: R2, RMSE, and MAE. These metrics were selected due to their complementary roles in assessing model fit: R2 measures the proportion of variance explained by the model, RMSE captures the average magnitude of prediction errors emphasizing larger deviations, and MAE provides a straightforward interpretation of mean errors in the same units as the predicted variable. This combined evaluation offers a comprehensive understanding of both the explanatory and predictive capabilities of the models. Unless otherwise stated, performance metrics are reported for each aggregation (annual, seasonal, monthly) as in-sample goodness-of-fit, computed by pooling all stations available in the corresponding period.

4.3. Assessment of Bayesian Linear Regression Metrics

4.3.1. Annual Scale

Table 1 presents a detailed analysis of annual regression error metrics for the Bayesian linear regression. The metrics evaluated include R2, RMSE, and MAE for Tmax, Tmean, and Tmin.
The analysis reveals that Bayesian linear regression models perform with varying degrees of accuracy across the different temperature measures. Tmean emerges as the most accurately predicted variable, demonstrated by its low MAE of 0.7 and high R2 value of 0.886. This indicates a strong correlation between the predicted and actual values for mean temperature. Tmax also shows a reasonably good prediction accuracy, with an MAE of 0.99 and an R2 value of 0.723, indicating that the model performs well but not as accurately as for Tmean. In contrast, Tmin presents the greatest challenges for prediction, with a higher MAE of 1.477 and a lower R2 value of 0.697. This suggests larger prediction errors and greater variability in the actual versus predicted values for minimum temperature.
The RMSE values further corroborate these findings. Tmean has the lowest RMSE at 0.887, followed by Tmax at 1.226, both reflecting moderate error levels. However, Tmin again stands out with the highest RMSE of 1.904, underscoring the difficulties in accurately predicting minimum temperatures.
In summary, the Bayesian linear regression models display good predictive capabilities for mean and maximum temperatures. Minimum temperature predictions, however, present greater challenges, as reflected in higher error metrics. The annual lapse rates confirm that temperature consistently decreases with elevation, with the steepest declines observed for minimum temperatures.
Overall, the analysis highlights the higher performance of the model in predicting mean temperature, with significantly lower error rates and higher explanatory power, while predictions for maximum and minimum temperatures showed a slighter lower precision. These results emphasize the importance of incorporating uncertainty measures in regression analyses to provide a comprehensive evaluation of model performance.
The lapse rates provided in Table 2 enhance our understanding of how temperature changes with elevation on an annual basis. Tmean shows a consistent decrease with altitude, evidenced by a lapse rate of −0.67 °C per 100 m. Tmin has the steepest lapse rate at −0.72 °C per 100 m, indicating a significant temperature drop with increasing elevation. Tmax, with a lapse rate of −0.5 °C per 100 m, shows the least steep decline among the three temperature measures but still indicates a notable decrease with altitude.

4.3.2. Seasonal Scale

Table 3 presents a comprehensive analysis of seasonal metrics for Bayesian linear regression errors, along with the corresponding seasonal lapse rates. Also in this case, the key metrics evaluated are the R2, RMSE, and MAE for Tmin, Tmean, and Tmax.
Larger errors at seasonal scale are expected because sub-annual temperature patterns are more affected by non-elevation controls (e.g., local circulation and boundary-layer processes). During autumn and spring, the MAE values for Tmin, Tmean, and Tmax remain relatively low, indicating minimal prediction errors. For instance, the MAE in autumn ranges from 5.59 to 5.67, while in spring, it is slightly higher, varying between 5.54 and 5.8. The R2 values during these seasons show a strong predictive accuracy, particularly for Tmean (0.87 in autumn and 0.89 in spring); nonetheless, Tmin and Tmax exhibit moderate accuracy levels.
However, in summer and winter, the models demonstrate higher error metrics. Summer archives the highest MAE values, especially for Tmax (9.43), suggesting large prediction errors. Similarly, winter shows elevated MAE values, though slightly lower than summer, with Tmin and Tmean both around 8.08. The RMSE values follow a similar pattern, with summer and winter having the highest error values, particularly for Tmax (11.21 in summer and 10.98 in winter). This indicates greater variability and prediction challenges during these seasons. MBE is negligible across all aggregations (typically on the order of 10−2 °C), indicating no systematic bias.
Table 2 outlines the seasonal lapse rates in °C per 100 m for Tmax, Tmean, and Tmin. In particular, during autumn, the lapse rates are −0.53 for Tmax, −0.7 for Tmean, and −0.76 for Tmin, showing a consistent temperature decrease with increasing elevation. Spring lapse rates are slightly less steep, particularly for Tmax (−0.42), while Tmin and Tmean also demonstrate moderate declines. Notably, summer and winter exhibit the steepest lapse rates, with Tmin showing a significant decrease of −0.76 in summer and −0.78 in winter. This highlights a pronounced temperature drop with altitude during these seasons, which is crucial for climate modelling and prediction accuracy.

4.3.3. Monthly Scale

Table 4 summarizes the seasonal performance metrics of the models, reporting MAE, RMSE, MBE and R2 values together with their uncertainty ranges. As a result, the model’s performance exhibits notable variations throughout the year across all metrics. In fact, at monthly scale, elevation alone may have limited predictive skill; therefore, lapse-rate estimates are interpreted through their confidence/credible intervals, which widen when the elevation–temperature association weakens. For instance, MAE values fluctuate significantly, with Tmax ranging from 6.302 to 10.029, Tmean from 6.121 to 9.588, and Tmin from 6.221 to 9.728. The highest errors are consistently observed in August for all temperature metrics. R2 values further highlight these variations, displaying generally positive trends. For Tmax, the R2 values span from 0.488 to 0.811, suggesting a good fit for most months, while Tmean maintains high R2 values between 0.792 and 0.887, indicating strong correlation and predictive accuracy. Tmin, however, shows more variability with R2 values between 0.62 and 0.874, reflecting fluctuations in prediction accuracy. The RMSE values across the metrics reveal similar trends, with Tmax ranging from 7.43 to 11.977, Tmean from 7.274 to 11.452, and Tmin from 7.485 to 11.634. These values indicate that the model’s errors are more pronounced in certain months, particularly in August, while months like May and October demonstrate lower errors and higher predictive accuracy. Also for the monthly scale, MBE is negligible across all aggregations (typically on the order of 10−2 °C), indicating no systematic bias.
Table 2 provides insights into the monthly lapse rates for Tmax, Tmean, and Tmin in °C per 100 m. For Tmax, the lapse rate varies from −0.60 °C/100 m in December to −0.41 °C/100 m in April, showing the steepest decline in winter months. Tmean follows a similar pattern, with lapse rates ranging from −0.72 °C/100 m in January and December to −0.63 °C/100 m in May, reflecting consistent temperature decreases with elevation. Tmin lapse rates, ranging from −0.80 °C/100 m in January to −0.72 °C/100 m in several months, including April and October, further underscore the consistent temperature decline with altitude, with January showing the most significant drop.

4.4. Lapse—Rate Trends at Different Time Scales

The following subsections present the results of the trend analysis performed on the lapse rate values evaluated at different timescales at the 0.05 significance level.

4.4.1. Annual Scale

The annual analysis of temperature lapse rates shows a consistent positive trend for all temperature metrics, with the most pronounced increase in Tmin, followed by Tmax and mean Tmean (Figure 2).
Specifically, the Sen’s slope for Tmin reaches 0.0296 °C/100 m/10 years, indicating that lower-bound temperatures have been warming the fastest, while Tmax and Tmean display slightly smaller but still robust slopes of 0.0224 °C/100 m/10 years and 0.0151 °C/100 m/10 years, respectively. All three measures exhibit highly significant Kendall’s p-values, suggesting that these changes are unlikely to result from random variation. Taken together, the results point to a systematic reduction in the vertical temperature gradient, whereby the difference in temperature at different altitudes has decreased over time. This long-term trend toward a warmer and more uniform thermal profile highlights the increasing effects of climatic changes, particularly in the lower range of observed temperatures.

4.4.2. Seasonal Scale

Over the 70 years, the seasonal analysis of temperature lapse rates reveals a broadly consistent warming pattern for Tmean and Tmin, with particularly strong trends in winter (Figure 3). In that season, both Tmin (0.0291 °C/100 m/10 years) and Tmax (0.0288 °C/100 m/10 years) exhibit some of the largest slopes, pointing to a marked reduction in the vertical temperature gradient during colder months. Autumn and spring also show clear positive slopes for all three temperature measures, most notably in Tmin, where values above 0.024 °C/100 m/10 years underscore the persistent rise in lower-bound temperatures. Summer follows a similar pattern for Tmean (0.0129 °C/100 m/10 years) and Tmin (0.0269 °C/100 m/10 years), although the slope for Tmax (0.0077 °C/100 m/10 years) is not statistically significant, suggesting that the warming signal in maximum temperatures is more variable or moderated by other factors during the warm season. Taken together, these findings indicate a long-term trend toward diminished lapse rates year-round, driven especially by rising minimum temperatures, with the strongest effects emerging in winter and a less pronounced but still noteworthy signal in other seasons.

4.4.3. Monthly Scale

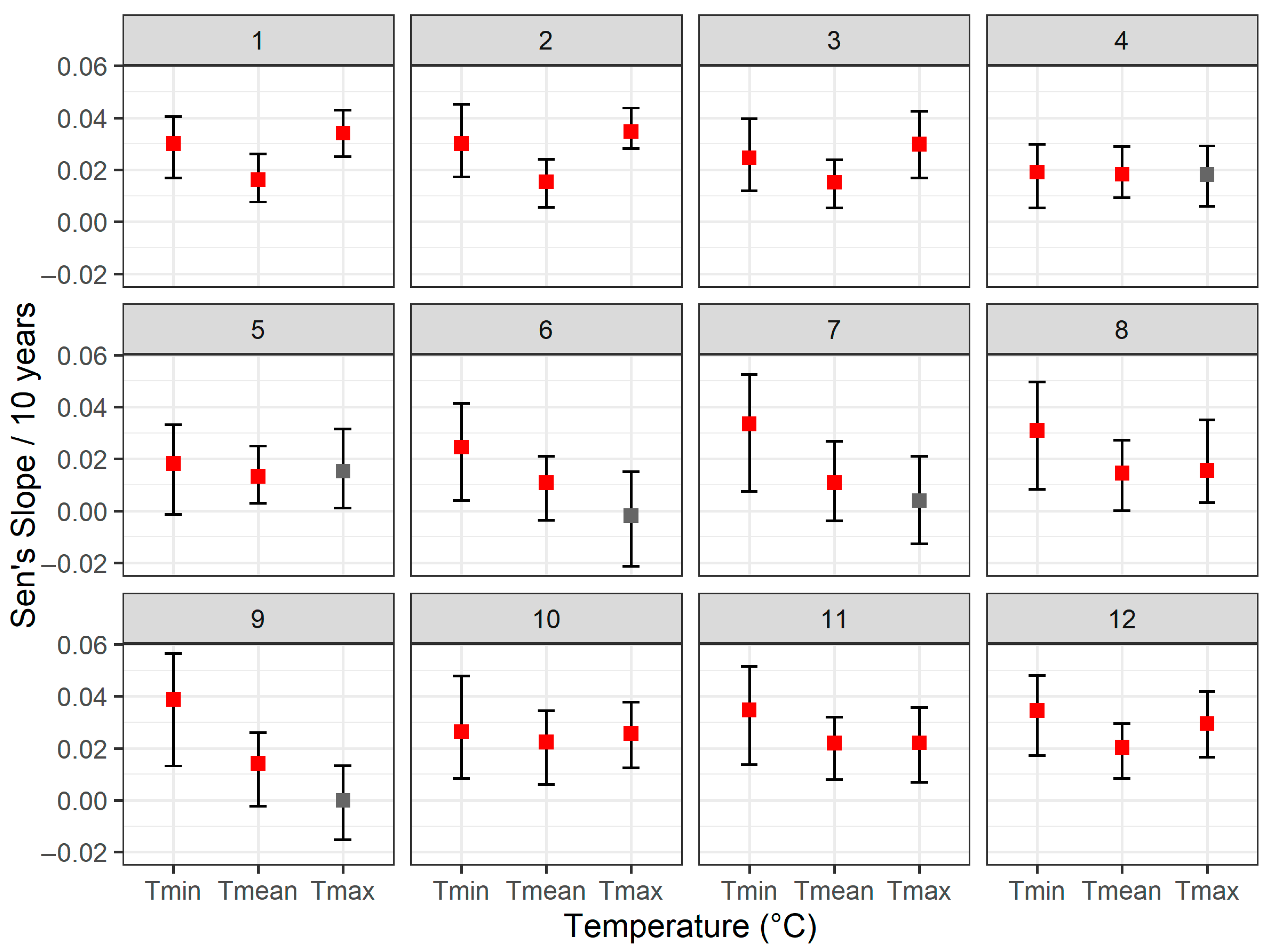
The monthly analysis over 70 years highlights a pervasive warming trend in the lapse rate of all temperature measures, though the magnitude and statistical significance vary by month (Figure 4). Tmin stands out for its consistently positive and highly significant slopes throughout the year, with especially large increases in late summer and early autumn (e.g., 0.0388 °C/100 m/10 years in September), suggesting that minimum temperatures are rising more rapidly than other metrics, and contributing substantially to the overall reduction in vertical temperature differences. In contrast, Tmax displays a more pronounced winter signal, showing robust increases in January through March (0.034–0.035 °C/100 m/10 years) and again in late autumn to early winter (October to December), while exhibiting weaker or non-significant trends during the warmer months (e.g., June, July, and September). Tmean consistently remains positive across all months but tends to register more moderate slopes compared to Tmin, with notably higher values in late autumn (0.022–0.0224 °C/100 m/10 years in October–November). Together, these patterns indicate that minimum temperatures are driving much of the year-round warming, whereas maximum temperatures experience their strongest increases in the colder months. As a result, the vertical temperature gradient appears to be diminishing more consistently and rapidly for Tmin, ultimately showing an overall trend toward narrower thermal differences across elevations.

5. Discussion

The sensitivity analysis using the Sobol method underscores the dominant role of altitude (ALT) in explaining near-surface air temperature variability across the southern Mediterranean region. The high first-order Sobol index (0.79) indicates that altitude alone accounts for a substantial proportion of the model output variance, a finding consistent with well-established principles of lapse rate dynamics [47]. At the same time, the lower sensitivity of latitude, longitude, and distance from the sea aligns with previous regional studies in similar Mediterranean climates, which report that vertical positioning exerts a more pronounced effect on temperature gradients than horizontal positioning or proximity to maritime influences [48,49]. The weak or ambiguous interaction terms between predictors further emphasize that temperature variation is primarily governed by altitude, rather than by complex interactions among geographic features. This result highlights the need for elevation-resolved climate models in mountainous and topographically diverse regions such as the Mediterranean, especially when assessing fine-scale temperature dynamics under climate change scenarios [50].
The performance differential across temperature metrics, Tmean outperforming Tmax and Tmin, can be partly attributed to the higher temporal stability of mean temperatures, which are less influenced by short-term meteorological extremes and atmospheric variability [51]. The challenge in modelling Tmin, reflected in lower R2 and higher MAE and RMSE values, is also well-documented in the literature. Minimum temperatures tend to be more sensitive to nocturnal radiative cooling, cloud cover variability, and surface properties (e.g., urbanization or vegetation changes), which can complicate model predictions [52,53]. Significantly, the results emphasize the value of a probabilistic modelling framework. The Bayesian approach, with its explicit treatment of uncertainty and posterior distributions, allows for a more nuanced understanding of model behaviour, particularly in the context of climate variability and long-term projections [54].
The seasonal analysis reveals notable variability in both model accuracy and lapse rate magnitudes. The summer and winter seasons showed the largest prediction errors, especially for Tmax. This aligns with earlier findings that Mediterranean summers are characterized by higher synoptic variability and heatwave events, while winters can be affected by cold air pooling and inversion phenomena, particularly in complex terrains [55]. Lapse rates were steepest in winter and summer, particularly for Tmin. This finding reflects seasonal differences in atmospheric stability: colder seasons often feature stronger temperature inversions, while summer months can exhibit rapid declines in temperature with elevation due to strong surface heating and convection [36]. These patterns have critical implications for the thermal structure of mountain environments and ecosystem boundaries, particularly in the context of changing snowpack dynamics and phenological responses [50,56].
The trend analysis evidences a systematic reduction in near-surface air temperature lapse rates over the past 70 years, most notably for Tmin. These findings are consistent with the broader scientific consensus on elevation-dependent warming, a phenomenon increasingly observed in high-relief regions worldwide [50,57]. The observed trend toward weaker lapse rates indicates that higher elevations are warming faster relative to lower ones, particularly in nocturnal (minimum) temperatures. This could reflect a combination of reduced snow cover, increased cloudiness, changes in longwave radiation fluxes, and altered atmospheric moisture content—key mechanisms proposed for elevation-dependent warming [50]. The disproportionately strong increase in Tmin lapse rates, especially during winter and late summer, may also point to changes in cloud cover and soil moisture feedbacks, which tend to exert a stronger influence on nocturnal temperatures. Such shifts can have substantial consequences for high-elevation hydrology, cryosphere stability, and biodiversity, potentially altering habitat ranges and accelerating species migration [58].
From a climatological perspective, the findings imply a flattening of the vertical temperature gradient, which can influence thermal stratification in the atmosphere, moisture transport, and the regional energy budget [59]. This could have cascading effects on convective processes, precipitation patterns, and climate feedback mechanisms across the region.
While this study provides robust evidence of lapse rate trends in the southern Mediterranean, some limitations should be acknowledged. The meteorological station network is unevenly distributed across elevation ranges, with relatively few stations at the highest altitudes, which may limit the representation of temperature gradients in the upper part of the terrain. In addition, the analysis focuses primarily on geographical predictors and does not explicitly include atmospheric variables such as humidity, cloud cover, or radiation, which may also influence lapse rate variability. Moreover, the regression models are evaluated using in-sample performance metrics and therefore are intended to characterize regional temperature–elevation relationships rather than provide site-specific predictive models. Finally, caution must be exercised when generalizing findings to other climate zones or subregions. Factors such as local land cover changes, anthropogenic heat fluxes, and microclimatic variability can modulate lapse rates in complex ways [60]. For example, it should be noted that additional local factors, such as vegetation cover and slope aspect, may influence near-surface temperature gradients by altering surface energy balance and microclimatic conditions. Anyway, although these variables were not explicitly included in the present regional-scale analysis, their role could be explored in future studies using high-resolution land-cover and terrain exposure datasets. Moreover, although the Bayesian framework effectively captures uncertainties, it is still sensitive to model specifications and prior assumptions, warranting continued scrutiny and validation using multiple data sources and modelling approaches. Future studies could address these limitations by incorporating additional atmospheric variables, high-resolution reanalysis or satellite datasets, and expanded high-elevation observations. Additionally, coupling lapse rate trends with land surface changes, such as vegetation dynamics or urban expansion, could enrich the interpretation of elevation-dependent climate responses.

6. Conclusions

This study offers a comprehensive assessment of near-surface air temperature lapse rates in a southern Mediterranean region, examining their temporal evolution and broader implications in a changing climate. By integrating global sensitivity analysis with Bayesian linear regression across annual, seasonal, and monthly scales, the research highlights the dominant role of altitude in shaping temperature variability, while other geographical factors, such as latitude, longitude, and distance from the sea, exert only marginal direct or interactive effects. The Bayesian regression models showed higher performance for mean temperature, followed by maximum temperature, while minimum temperature posed greater predictive challenges. Across all temporal resolutions, lapse rates consistently confirmed the expected inverse relationship between temperature and elevation, with the steepest gradients observed for minimum temperature, followed by mean and maximum values. Long-term trend analyses further revealed a statistically significant weakening of lapse rates over the past 70 years, most notably for minimum temperature during winter and early autumn, indicating that higher-elevation areas are warming more rapidly than lower-lying zones. Collectively, these findings point to a progressive homogenization of thermal conditions across elevations, driven largely by rising minimum temperatures. Such a shift may have far-reaching consequences for regional ecosystems, snowpack persistence, and agricultural practices. Moreover, the seasonal and monthly detail of these results provides valuable insights for high-resolution climate modelling and for designing effective adaptation strategies in mountainous and Mediterranean environments.

Author Contributions

Conceptualization, G.P. and T.C.; methodology, G.P. and T.C.; software, G.P.; validation, G.P.; formal analysis, G.P.; investigation, G.P.; resources, I.G.; data curation, G.P. and T.C.; writing—original draft preparation, G.P., T.C. and I.G.; writing—review and editing, G.P., T.C. and I.G.; visualization, G.P.; supervision, T.C.; project administration, I.G.; funding acquisition, T.C.; All authors have read and agreed to the published version of the manuscript.

Funding

This research was funded by the Next Generation EU—Italian NRRP, Mission 4, Component 2, Investment 1.5, call for the creation and strengthening of Innovation Ecosystems’, building ‘Territorial R&D Leaders’ (Directorial Decree n. 2021/3277)—project Tech4You—Technologies for climate change adaptation and quality of life improvement, n. ECS0000009. This work reflects only the authors’ views and opinions, neither the Ministry for University and Research nor the European Commission can be considered responsible for them.

Data Availability Statement

Data are available from the corresponding author upon reasonable request.

Conflicts of Interest

The authors declare no conflicts of interest.

Abbreviations

The following abbreviations are used in this manuscript:
NSATLRnear-surface air temperature lapse rate
NSATnear-surface air temperature
HMCHamiltonian Monte Carlo
MCMCMarkov Chain Monte Carlo
R2Regression Coefficients
RMSERoot Mean Square Error
MAEMean Absolute Error
Tminminimum temperature
Tmaxmaximum temperature
Tmeanmean temperature
ALTAltitude
LATLatitude
LONLongitude
DISTdistance from the sea

Appendix A

Figure A1. Flowchart of the different methodological steps.
Figure A1. Flowchart of the different methodological steps.
Climate 14 00076 g0a1
Figure A2. Results of the Sobol global sensitivity analysis.
Figure A2. Results of the Sobol global sensitivity analysis.
Climate 14 00076 g0a2
Table A1. Descriptive statistics of the temperature dataset used in the study.
Table A1. Descriptive statistics of the temperature dataset used in the study.
StatisticsTmin (°C)Tmean (°C)Tmax (°C)
Mean6.615.325.9
Min−7.15.517.2
Max17.022.131.1
Std.3.73.02.4
Skewnness−0.8−1.0−1.2
Pctl 25%4.614.024.8
Pctl 75%9.217.327.4
IQR4.73.42.6

References

  1. Barca, E.; Guagliardi, I.; Caloiero, T. A methodological approach for filling the gap in extreme daily temperature data: An application in the Calabria region (Southern Italy). Theor. Appl. Climatol. 2024, 155, 7447–7461. [Google Scholar] [CrossRef]
  2. IPCC. Climate Change 2013: The Physical Science Basis; Cambridge University Press: Cambridge, UK, 2014. [Google Scholar]
  3. Kattel, D.B.; Salih, H.A.M.; Yao, T.; Ullah, K. Near-surface air temperature dependence on elevation and geographical coordinates. Front. Earth Sci. 2022, 9, 777381. [Google Scholar] [CrossRef]
  4. Dutra, E.; Muñoz-Sabater, J.; Boussetta, S.; Komori, T.; Hirahara, S.; Balsamo, G. Environmental lapse rate for high-resolution land surface downscaling: An application to ERA5. Earth Space Sci. 2020, 7, e2019EA000984. [Google Scholar]
  5. Minder, J.R.; Mote, P.W.; Lundquist, J.D. Surface temperature lapse rates over complex terrain. J. Geophys. Res. Atmos. 2010, 115, D14122. [Google Scholar] [CrossRef]
  6. Lute, A.C.; Abatzoglou, J.T. Best practices for estimating near-surface air temperature lapse rates. Int. J. Climatol. 2021, 41, E1029–E1045. [Google Scholar] [CrossRef]
  7. Caloiero, T.; Guagliardi, I. Climate change assessment: Seasonal and annual temperature analysis trends in the Sardinia region (Italy). Arab. J. Geosci. 2021, 14, 2149. [Google Scholar] [CrossRef]
  8. Caloiero, T.; Guagliardi, I. Temporal variability of temperature extremes in the Sardinia region (Italy). Hydrology 2020, 7, 55. [Google Scholar] [CrossRef]
  9. Jiao, Y.; Tseten, Y.; Yang, Q.; Bai, L. Spatiotemporal variability of near-surface air temperature lapse rates in the Qinghai–Tibet plateau using high-density meteorological observations. Sci. Rep. 2025, 15, 20702. [Google Scholar]
  10. Lv, Q.; Sui, M.; Zhu, S.; Zhang, G.; Li, Y. Preliminary Study on Near-Surface Air Temperature Lapse Rate Estimation and Its Spatiotemporal Distribution Characteristics in Beijing–Tianjin–Hebei Mountainous Region. Remote Sens. 2025, 17, 2205. [Google Scholar]
  11. Noad, N.C.; Bonnaventure, P.P. Spatiotemporal variability of surface-based temperature inversions in high-latitude northcentral Yukon valleys utilizing a dense network of elevation transects. Arct. Antarct. Alp. Res. 2026, 58, 2614790. [Google Scholar]
  12. Hodgkins, R.; Carr, S.; Pálsson, F.; Guðmundsson, S.; Björnsson, H. Sensitivity analysis of temperature-index melt simulations to near-surface lapse rates. Hydrol. Process. 2012, 26, 3736–3748. [Google Scholar] [CrossRef]
  13. Qazaq, A.S.; Abu-Allaban, M.M.; Jaber, S.M. Elevation-dependent warming trends in Jordan over four decades. Spat. Inf. Res. 2026, 34, 14. [Google Scholar] [CrossRef]
  14. Youn, Y.; Kafatos, M.; Kim, S.H.; Lee, Y. Observation-Based Reconstruction of High-Resolution Daily Temperature Field Using Lapse-Rate-Constrained Kriging in Complex Terrain: A Nationwide Dataset for South Korea. Atmosphere 2026, 17, 148. [Google Scholar]
  15. Duan, L.; Tian, H.; Zuo, J.; Yue, C.; Wang, N. A Method for Building the Grid-Based Atmospheric Weighted Mean Temperature Model Considering the Hourly NSTLR. Atmosphere 2025, 16, 1387. [Google Scholar] [CrossRef]
  16. Ojha, R. Assessing seasonal variation of near-surface air temperature lapse rate across India. Int. J. Climatol. 2017, 37, 3413–3426. [Google Scholar] [CrossRef]
  17. Holden, J.; Rose, R. Temperature and surface lapse rate change: A study of the UK’s longest upland instrumental record. Int. J. Climatol. 2011, 31, 907–919. [Google Scholar]
  18. Kattel, D.B.; Yao, T.; Yang, W.; Gao, Y.; Tian, L. Comparison of temperature lapse rates across the Himalayas. Int. J. Climatol. 2015, 35, 4431–4443. [Google Scholar]
  19. Thayyen, R.J.; Dimri, A.P. Slope environmental lapse rate of temperature in the Western Himalaya. Front. Environ. Sci. 2018, 6, 42. [Google Scholar] [CrossRef]
  20. Fitzgerald, N.B.; Kirkpatrick, J.B. Air temperature lapse rates and cloud cover in a hyper-oceanic climate. Antarct. Sci. 2020, 32, 440–453. [Google Scholar] [CrossRef]
  21. Jobst, A.M.; Kingston, D.G.; Cullen, N.J.; Sirguey, P. Combining thin-plate spline interpolation with a lapse rate model to produce daily air temperature estimates. Int. J. Climatol. 2017, 37, 214–229. [Google Scholar] [CrossRef]
  22. Sheridan, P.; Smith, S.; Brown, A.; Vosper, S. A simple height-based correction for temperature downscaling. Meteorol. Appl. 2010, 17, 329–339. [Google Scholar] [CrossRef]
  23. Petersen, L.; Pellicciotti, F. Spatial and temporal variability of air temperature on a melting glacier. J. Geophys. Res. Atmos. 2011, 116, D22114. [Google Scholar] [CrossRef]
  24. Li, X.; Wang, L.; Chen, D.; Yang, K.; Xue, B.; Sun, L. Near-surface air temperature lapse rates in mainland China. J. Geophys. Res. Atmos. 2013, 118, 7505–7515. [Google Scholar] [CrossRef]
  25. Zhao, K.; Peng, D.; Gu, Y.; Luo, X.; Pang, B.; Zhu, Z. Temperature lapse rate estimation and snowmelt runoff simulation. Sci. Rep. 2022, 12, 13638. [Google Scholar] [CrossRef]
  26. Guagliardi, I.; Perna, L.; Caloiero, T.; Infusino, E. Hydrogeochemical assessment and spring water quality modelling along the Upper, Middle, and Lower Tyrrhenian Coast of the Calabria region, southern Italy. Environ. Sustain. Indic. 2026, 29, 101079. [Google Scholar] [CrossRef]
  27. Ricca, N.; Guagliardi, I. Multi-temporal dynamics of land use patterns in a site of community importance in Southern Italy. Appl. Ecol. Environ. Res. 2015, 13, 677–691. [Google Scholar] [CrossRef]
  28. Ricca, N.; Guagliardi, I. Evidences of Soil Consumption Dynamics over Space and Time by Data Analysis in a Southern Italy Urban Sprawling Area. Land 2023, 12, 1056. [Google Scholar] [CrossRef]
  29. Whitesel, D.; Mahmood, R.; Flanagan, P.; Phillips, C.; Pielke, R.A., Sr.; Nair, U.; Rappin, E. Land use land cover change, irrigation and their impacts on Bi-hourly evolution of convective environments during GRAINEX. J. Hydrol. Reg. Stud. 2025, 62, 102884. [Google Scholar] [CrossRef]
  30. Yu, M.; Liu, Y.; Dai, Y.; Yang, A. Impact of urbanization on boundary layer structure in Beijing. Clim. Change 2013, 120, 123–136. [Google Scholar] [CrossRef]
  31. Cannavó, F. Sensitivity analysis for volcanic source modeling quality assessment and model selection. Comput. Geosci. 2012, 44, 52–59. [Google Scholar] [CrossRef]
  32. Kattel, D.B.; Yao, T.; Yang, K.; Tian, L.; Yang, G.; Joswiak, D. Temperature lapse rate in complex mountain terrain. Theor. Appl. Climatol. 2013, 113, 671–682. [Google Scholar] [CrossRef]
  33. Pepin, N.; Benham, D.; Taylor, K. Modeling lapse rates in the maritime uplands of northern England. Arct. Antarct. Alp. Res. 1999, 31, 151–164. [Google Scholar] [CrossRef]
  34. Dobrowski, S.Z.; Abatzoglou, J.T.; Greenberg, J.A.; Schladow, S.G. How much influence does landscape-scale physiography have on air temperature in a mountain environment? Agric. For. Meteorol. 2009, 149, 1751–1758. [Google Scholar] [CrossRef]
  35. Navarro-Serrano, F.; López-Moreno, J.I.; Azorin-Molina, C.; Alonso-González, E.; Tomás-Burguera, M.; Sanmiguel-Vallelado, A.; Revuelto, J.; Vicente-Serrano, S.M. Estimation of near-surface air temperature lapse rates over Spain. Int. J. Climatol. 2018, 38, 3233–3249. [Google Scholar] [CrossRef]
  36. Rolland, C. Spatial and seasonal variations of air temperature lapse rates in alpine regions. J. Clim. 2003, 16, 1032–1046. [Google Scholar] [CrossRef]
  37. Beck, H.E.; Zimmermann, N.E.; McVicar, T.R.; Vergopolan, N.; Berg, A.; Wood, E.F. Present and future Köppen–Geiger climate classification maps at 1-km resolution. Sci. Data 2018, 5, 180214. [Google Scholar] [CrossRef]
  38. Pellicone, G.; Caloiero, T.; Guagliardi, I. The De Martonne aridity index in Calabria. J. Maps 2019, 15, 788–796. [Google Scholar] [CrossRef]
  39. Pellicone, G.; Caloiero, T.; Modica, G.; Guagliardi, I. Spatial interpolation techniques for monthly rainfall data. Int. J. Climatol. 2018, 38, 3651–3666. [Google Scholar] [CrossRef]
  40. Buttafuoco, G.; Caloiero, T.; Guagliardi, I.; Ricca, N. Drought assessment using the reconnaissance drought index (RDI) in a southern Italy region. In Proceedings of the 6th IMEKO TC19 Symposium on Environmental Instrumentation and Measurements, Reggio Calabria, Italy, 24–25 June 2016; pp. 52–55. [Google Scholar]
  41. Buttafuoco, G.; Caloiero, T.; Ricca, N.; Guagliardi, I. Assessment of drought and its uncertainty in a southern Italy area (Calabria region). Measurement 2018, 113, 205–210. [Google Scholar] [CrossRef]
  42. Saltelli, A.; Annoni, P.; Azzini, I.; Campolongo, F.; Ratto, M.; Tarantola, S. Variance-based sensitivity analysis of model output. Comput. Phys. Commun. 2010, 181, 259–270. [Google Scholar] [CrossRef]
  43. Bürkner, P.-C. Bayesian item response modeling in R with brms and Stan. J. Stat. Softw. 2021, 100, 1–45. [Google Scholar] [CrossRef]
  44. Bürkner, P.-C. Advanced Bayesian multilevel modeling with the R package brms. R J. 2018, 10, 395–411. [Google Scholar] [CrossRef]
  45. Bürkner, P.-C. brms: An R package for Bayesian multilevel models using Stan. J. Stat. Softw. 2017, 80, 1–28. [Google Scholar] [CrossRef]
  46. Carpenter, B.; Gelman, A.; Hoffman, M.D.; Lee, D.; Goodrich, B.; Betancourt, M.; Brubaker, M.; Guo, J.; Li, P.; Riddell, A. Stan: A probabilistic programming language. J. Stat. Softw. 2017, 76, 1–32. [Google Scholar] [CrossRef]
  47. Barry, R.G. Mountain Weather and Climate, 3rd ed.; Cambridge University Press: Cambridge, UK, 2008. [Google Scholar]
  48. Founda, D.; Giannakopoulos, C. The exceptionally hot summer of 2007 in Athens, Greece—A typical summer in the future climate? Glob. Planet. Change 2009, 67, 227–236. [Google Scholar] [CrossRef]
  49. Tselioudis, G.; Zhang, Y.; Rossow, W.B. Cloud and radiation variations associated with pressure regimes. J. Clim. 2000, 13, 312–327. [Google Scholar] [CrossRef]
  50. Mountain Research Initiative EDW Working Group. Elevation-dependent warming in mountain regions of the world. Nat. Clim. Change 2015, 5, 424–430. [Google Scholar] [CrossRef]
  51. Klein Tank, A.M.G.; Können, G.P. Trends in indices of daily temperature and precipitation extremes in Europe. J. Clim. 2003, 16, 3665–3680. [Google Scholar] [CrossRef]
  52. Fischer, E.M.; Seneviratne, S.I.; Lüthi, D.; Schär, C. Contribution of land–atmosphere coupling to recent European summer heat waves. Geophys. Res. Lett. 2007, 34, L06707. [Google Scholar] [CrossRef]
  53. Vose, R.S.; Easterling, D.R.; Gleason, B. Maximum and minimum temperature trends for the globe. Geophys. Res. Lett. 2005, 32, L23822. [Google Scholar] [CrossRef]
  54. Gelman, A.; Carlin, J.B.; Stern, H.S.; Dunson, D.B.; Vehtari, A.; Rubin, D.B. Bayesian Data Analysis; Chapman and Hall/CRC: Boca Raton, FL, USA, 2013. [Google Scholar]
  55. Founda, D.; Papadopoulos, K.H.; Petrakis, M.; Giannakopoulos, C.; Good, P. Analysis of mean, maximum, and minimum temperature in Athens from 1897 to 2001 with emphasis on the last decade. Glob. Planet. Change 2004, 44, 27–38. [Google Scholar] [CrossRef]
  56. Beniston, M.; Diaz, H.F.; Bradley, R.S. Climatic change at high elevation sites: An overview. Clim. Change 1997, 36, 233–251. [Google Scholar] [CrossRef]
  57. Palazzi, E.; Filippi, L.; von Hardenberg, J. Elevation-dependent warming in the Tibetan Plateau–Himalayas. Clim. Dyn. 2017, 48, 3991–4008. [Google Scholar] [CrossRef]
  58. Lenoir, J.; Gégout, J.C.; Marquet, P.A.; de Ruffray, P.; Brisse, H. A significant upward shift in plant species optimum elevation. Science 2008, 320, 1768–1771. [Google Scholar] [CrossRef]
  59. Diaz, H.F.; Bradley, R.S. Temperature variations during the last century at high elevation sites. Clim. Change 1997, 36, 253–279. [Google Scholar] [CrossRef]
  60. Dobrowski, S.Z.; Abatzoglou, J.; Swanson, A.K.; Greenberg, J.A.; Mynsberge, A.R.; Holden, Z.A.; Schwartz, M.K. The climate velocity of the contiguous United States during the 20th century. Glob. Change Biol. 2013, 19, 241–251. [Google Scholar] [CrossRef] [PubMed]
Figure 1. Distribution of the 149 meteorological stations used in the analysis across different distance from the sea (a) and different elevation ranges (b). Frequency distribution of annual temperature values (Tmin, Tmean, and Tmax) derived from the station dataset for the 1950–2022 period (c). Monthly temperature values in the region (d). Study area and spatial distribution of the meteorological stations used in the analysis (e).
Figure 1. Distribution of the 149 meteorological stations used in the analysis across different distance from the sea (a) and different elevation ranges (b). Frequency distribution of annual temperature values (Tmin, Tmean, and Tmax) derived from the station dataset for the 1950–2022 period (c). Monthly temperature values in the region (d). Study area and spatial distribution of the meteorological stations used in the analysis (e).
Climate 14 00076 g001
Figure 2. Annual trend analysis of near-surface air temperature lapse rates. The trend magnitude is expressed in °C/100 m/10 years. Squares color indicates the significance level of the trend: red squares p < 0.05.
Figure 2. Annual trend analysis of near-surface air temperature lapse rates. The trend magnitude is expressed in °C/100 m/10 years. Squares color indicates the significance level of the trend: red squares p < 0.05.
Climate 14 00076 g002
Figure 3. Seasonal trend analysis of near-surface air temperature lapse rates. The trend magnitude is expressed in °C/100 m/10 years. Squares color indicates the significance level of the trend: red squares p < 0.05, gray squares otherwise.
Figure 3. Seasonal trend analysis of near-surface air temperature lapse rates. The trend magnitude is expressed in °C/100 m/10 years. Squares color indicates the significance level of the trend: red squares p < 0.05, gray squares otherwise.
Climate 14 00076 g003
Figure 4. Monthly trend analysis of near-surface air temperature lapse rates. The trend magnitude is expressed in °C/100 m/10 years. Squares color indicates the significance level of the trend: red squares p < 0.05, gray squares otherwise.
Figure 4. Monthly trend analysis of near-surface air temperature lapse rates. The trend magnitude is expressed in °C/100 m/10 years. Squares color indicates the significance level of the trend: red squares p < 0.05, gray squares otherwise.
Climate 14 00076 g004
Table 1. Annual performance metrics of the Bayesian linear regression models used to estimate temperature lapse rates. The numbers in parentheses next to the main value represents the confidence range (min–max).
Table 1. Annual performance metrics of the Bayesian linear regression models used to estimate temperature lapse rates. The numbers in parentheses next to the main value represents the confidence range (min–max).
MetricsTminTmeanTmax
MAE (°C)1.477 (1.469–1.569)0.700 (0.680–0.727)0.990 (0.984–1.036)
R20.697 (0.567–0.758)0.886 (0.874–0.909)0.723 (0.624–0.776)
RMSE (°C)1.904 (1.876–1.951)0.887 (0.852–0.925)1.226 (1.202–1.289)
MBE (°C)0.017 (−0.825–0.863)0.006 (−0.462–0.478)0.004 (−0.552–0.561)
Table 2. Annual, seasonal and monthly temperature lapse rates estimated for the Calabria region. The numbers in parentheses next to the main value represents the confidence range (min–max).
Table 2. Annual, seasonal and monthly temperature lapse rates estimated for the Calabria region. The numbers in parentheses next to the main value represents the confidence range (min–max).
Time ScaleTmin (°C)Tmean (°C)Tmax (°C)
Annual−0.72 (−0.8–−0.65)−0.67 (−0.71–−0.64)−0.5 (−0.55–−0.45)
Autumn−0.76 (−0.85–−0.66)−0.70 (−0.74–−0.65)−0.53 (−0.58–−0.49)
Spring−0.72 (−0.80–−0.64)−0.65 (−0.69–−0.61)−0.42 (−0.48–−0.35)
Summer−0.76 (−0.85–−0.67)−0.68 (−0.74–−0.62)−0.57 (−0.63–−0.50)
Winter−0.78 (−0.86–−0.69)−0.71 (−0.76–−0.67)−0.54 (−0.60–−0.49)
January−0.80 (−0.89–−0.71)−0.72 (−0.77–−0.67)−0.56 (−0.63–−0.50)
February−0.77 (−0.86–−0.68)−0.70 (−0.75–−0.65)−0.48 (−0.54–−0.42)
March−0.72 (−0.80–−0.64)−0.68 (−0.73–−0.64)−0.45 (−0.51–−0.40)
April−0.72 (−0.80–−0.63)−0.64 (−0.68–−0.60)−0.41 (−0.48–−0.34)
May−0.72 (−0.80–−0.64)−0.63 (−0.67–−0.59)−0.42 (−0.49–−0.35)
June−0.75 (−0.83–−0.66)−0.66 (−0.72–−0.61)−0.56 (−0.63–−0.49)
July−0.77 (−0.86–−0.68)−0.69 (−0.74–−0.63)−0.58 (−0.65–−0.51)
August−0.77 (−0.86–−0.68)−0.69 (−0.74–−0.64)−0.56 (−0.62–−0.49)
September−0.78 (−0.88–−0.69)−0.72 (−0.76–−0.67)−0.56 (−0.61–−0.50)
October−0.75 (−0.85–−0.64)−0.69 (−0.74–−0.65)−0.53 (−0.58–−0.48)
November−0.74 (−0.84–−0.64)−0.69 (−0.74–−0.64)−0.51 (−0.56–−0.46)
December−0.75 (−0.84–−0.66)−0.72 (−0.77–−0.67)−0.60 (−0.65–−0.55)
Table 3. Seasonal performance metrics of the Bayesian linear regression models. The numbers in parentheses next to the main value represents the confidence range (min–max).
Table 3. Seasonal performance metrics of the Bayesian linear regression models. The numbers in parentheses next to the main value represents the confidence range (min–max).
SeasonsMetricsTminTmeanTmax
AutumnMAE (°C)5.67 (5.65–5.72)5.59 (5.58–5.62)5.61 (5.59–5.64)
AutumnR20.62 (0.50–0.70)0.87 (0.82–0.88)0.80 (0.73–0.83)
AutumnRMSE (°C)6.94 (6.9–7.02)6.78 (6.76–6.81)6.90 (6.89–6.93)
AutumnMBE (°C)0.02 (−0.96–0.99)0.008 (−0.57–0.58)0.01 (−0.67–0.68)
SpringMAE (°C)5.80 (5.68–5.93)5.61 (5.55–5.66)5.54 (5.48–5.62)
SpringR20.70 (0.58–0.75)0.89 (0.85–0.90)0.55 (0.38–0.65)
SpringRMSE (°C)7.13 (6.98–7.29)6.95 (6.87–7.03)6.87 (6.79–6.96)
SpringMBE (°C)0.01 (−0.81–0.84)0.01 (−0.51–0.52)0.01 (−0.73–0.74)
SummerMAE (°C)8.51 (8.20–8.85)8.84 (8.63–9.05)9.43 (9.18–9.69)
SummerR20.66 (0.52–0.72)0.80 (0.68–0.83)0.65 (0.50–0.72)
SummerRMSE (°C)10.24 (9.91–10.58)10.49 (10.27–10.71)11.21 (10.95–11.48)
SummerMBE (°C)0.02 (−0.92–0.96)0.01 (−0.57–0.59)0.01 (−0.78–0.79)
WinterMAE (°C)7.85 (7.58–8.14)8.08 (7.93–8.24)9.11 (8.91–9.32)
WinterR20.70 (0.58–0.76)0.88 (0.85–0.89)0.75 (0.67–0.80)
WinterRMSE (°C)9.69 (9.38–10.02)9.94 (9.77–10.12)10.98 (10.76–11.21)
WinterMBE (°C)0.011 (−0.867–0.890)0.007 (−0.502–0.517)0.006 (−0.562–0.574)
Table 4. Monthly performance metrics of the Bayesian linear regression models. The numbers in parentheses next to the main value represents the confidence range (min–max).
Table 4. Monthly performance metrics of the Bayesian linear regression models. The numbers in parentheses next to the main value represents the confidence range (min–max).
MonthsMetricsTminTmeanTmax
1MAE (°C)8.421 (8.088–8.761)8.513 (8.321–8.702)9.694 (9.408–9.993)
1R20.657 (0.523–0.729)0.85 (0.805–0.869)0.641 (0.493–0.717)
1RMSE (°C)10.426 (10.053–10.799)10.512 (10.304–10.717)11.76 (11.471–12.06)
1MBE (°C)0.016 (−0.958–0.991)0.007 (−0.532–0.546)0.007 (−0.691–0.706)
2MAE (°C)8.166 (7.836–8.502)8.358 (8.169–8.553)8.779 (8.542–9.031)
2R20.62 (0.48–0.702)0.824 (0.773–0.849)0.598 (0.459–0.687)
2RMSE (°C)10.1 (9.724–10.475)10.296 (10.084–10.51)10.817 (10.558–11.085)
2MBE (°C)0.011 (−0.952–0.974)0.007 (−0.508–0.524)0.008 (−0.755–0.775)
3MAE (°C)7.302 (7.091–7.541)7.261 (7.141–7.389)7.105 (6.968–7.245)
3R20.68 (0.574–0.744)0.87 (0.83–0.885)0.598 (0.468–0.688)
3RMSE (°C)9.108 (8.842–9.399)9.039 (8.889–9.196)8.787 (8.6–8.977)
3MBE (°C)0.015 (−0.887–0.917)0.007 (−0.488–0.506)0.005 (−0.851–0.864)
4MAE (°C)6.374 (6.248–6.511)6.162 (6.108–6.22)6.247 (6.197–6.308)
4R20.668 (0.518–0.733)0.869 (0.835–0.884)0.488 (0.303–0.602)
4RMSE (°C)7.874 (7.695–8.073)7.564 (7.481–7.654)7.463 (7.37–7.573)
4MBE (°C)0.015 (−0.853–0.884)0.008 (−0.477–0.495)0.005 (−0.832–0.842)
5MAE (°C)6.221 (6.189–6.273)6.121 (6.093–6.152)6.556 (6.479–6.645)
5R20.674 (0.557–0.737)0.864 (0.827–0.881)0.507 (0.34–0.616)
5RMSE (°C)7.485 (7.454–7.546)7.274 (7.243–7.312)7.776 (7.667–7.901)
5MBE (°C)0.019 (−0.904–0.945)0.007 (−0.524–0.538)0.005 (−0.859–0.871)
6MAE (°C)7.393 (7.215–7.593)7.814 (7.666–7.97)8.561 (8.339–8.794)
6R20.667 (0.558–0.73)0.788 (0.703–0.823)0.618 (0.476–0.706)
6RMSE (°C)9.023 (8.8–9.265)9.488 (9.312–9.669)10.383 (10.131–10.645)
6MBE (°C)0.020 (−0.954–0.997)0.008 (−0.559–0.576)0.003 (−0.896–0.904)
7MAE (°C)9.332 (9.004–9.679)9.503 (9.291–9.726)9.987 (9.708–10.267)
7R20.651 (0.521–0.729)0.792 (0.705–0.827)0.639 (0.512–0.712)
7RMSE (°C)11.227 (10.886–11.58)11.364 (11.145–11.59)11.935 (11.645–12.22)
7MBE (°C)0.017 (−1.010–1.040)0.008 (−0.602–0.620)0.006 (−0.914–0.929)
8MAE (°C)9.728 (9.388–10.091)9.588 (9.389–9.795)10.029 (9.777–10.288)
8R20.644 (0.511–0.714)0.814 (0.749–0.842)0.653 (0.532–0.725)
8RMSE (°C)11.634 (11.289–11.999)11.452 (11.248–11.66)11.977 (11.715–12.242)
9MBE (°C)0.024 (−1.010–1.060)0.010 (−0.578–0.598)0.006 (−0.870–0.879)
9MAE (°C)7.412 (7.226–7.625)7.263 (7.167–7.362)7.447 (7.325–7.576)
9R20.656 (0.523–0.727)0.867 (0.821–0.882)0.726 (0.632–0.776)
9RMSE (°C)9.049 (8.814–9.307)8.812 (8.688–8.938)9.028 (8.871–9.19)
9MBE (°C)0.017 (−1.020–1.060)0.008 (−0.530–0.548)0.006 (−0.775–0.787)
10MAE (°C)6.289 (6.24–6.372)6.129 (6.107–6.158)6.302 (6.281–6.331)
10R20.577 (0.426–0.672)0.863 (0.815–0.879)0.715 (0.606–0.766)
10RMSE (°C)7.574 (7.519–7.673)7.302 (7.282–7.334)7.43 (7.406–7.466)
10MBE (°C)0.020 (−1.040–1.080)0.007 (−0.523–0.539)0.003 (−0.770–0.774)
11MAE (°C)6.368 (6.228–6.52)6.241 (6.174–6.315)6.63 (6.559–6.711)
11R20.608 (0.44–0.697)0.846 (0.796–0.865)0.762 (0.667–0.799)
11RMSE (°C)7.856 (7.656–8.079)7.67 (7.568–7.779)8.101 (7.99–8.221)
11MBE (°C)0.013 (−0.975–0.998)0.007 (−0.541–0.557)0.003 (−0.716–0.725)
12MAE (°C)7.472 (7.222–7.753)7.659 (7.511–7.813)8.773 (8.599–8.952)
12R20.642 (0.513–0.713)0.854 (0.807–0.873)0.811 (0.714–0.838)
12RMSE (°C)9.315 (9.005–9.651)9.513 (9.336–9.697)10.821 (10.626–11.019)
12MBE (°C)0.013 (−0.936–0.963)0.007 (−0.530–0.546)0.008 (−0.662–0.681)
Disclaimer/Publisher’s Note: The statements, opinions and data contained in all publications are solely those of the individual author(s) and contributor(s) and not of MDPI and/or the editor(s). MDPI and/or the editor(s) disclaim responsibility for any injury to people or property resulting from any ideas, methods, instructions or products referred to in the content.

Share and Cite

MDPI and ACS Style

Pellicone, G.; Caloiero, T.; Guagliardi, I. Understanding Trends in Near-Surface Air Temperature Lapse Rates in a Southern Mediterranean Region. Climate 2026, 14, 76. https://doi.org/10.3390/cli14040076

AMA Style

Pellicone G, Caloiero T, Guagliardi I. Understanding Trends in Near-Surface Air Temperature Lapse Rates in a Southern Mediterranean Region. Climate. 2026; 14(4):76. https://doi.org/10.3390/cli14040076

Chicago/Turabian Style

Pellicone, Gaetano, Tommaso Caloiero, and Ilaria Guagliardi. 2026. "Understanding Trends in Near-Surface Air Temperature Lapse Rates in a Southern Mediterranean Region" Climate 14, no. 4: 76. https://doi.org/10.3390/cli14040076

APA Style

Pellicone, G., Caloiero, T., & Guagliardi, I. (2026). Understanding Trends in Near-Surface Air Temperature Lapse Rates in a Southern Mediterranean Region. Climate, 14(4), 76. https://doi.org/10.3390/cli14040076

Note that from the first issue of 2016, this journal uses article numbers instead of page numbers. See further details here.

Article Metrics

Back to TopTop