Climate Risk and Vulnerability Assessment in the Province of Almeria (Spain) Under Different Climate Change Scenarios
Abstract
1. Introduction
2. Materials and Methods
2.1. Study Area
2.2. High-Resolution Datasets Under Different Scenarios of Climate Change
2.3. Semi-Quantitative Risk Methodology
2.4. Selection of Indicators for the Risk Components and Data Collection
2.5. Data Processing
2.6. Exposure and Vulnerability Quantification
2.7. Hazard Quantification
2.8. Risk Quantification
- Coastal and Densely Populated areas include municipalities located along the coast and within highly urbanized, densely populated areas with significant economic activity.
- Rainfed Agricultural and Moderately Populated areas comprise inland municipalities characterized by a moderate population density, agricultural land use, and transitional terrain between the coast and mountains.
- Mountainous and Sparsely Populated areas consist of highland or mountainous areas with a low population density, limited infrastructure, and typically rural or natural land use.
2.9. Geolocated Mapping of Exposure and Vulnerability
3. Results
- High-resolution datasets under climate scenarios.
- Hazard exceedance probabilities and coupled probabilities for each scenario.
- Exposure maps for each sector.
- Vulnerability maps for each sector.
- Bar charts of risk levels by municipality group, sector, and scenario, and risk heatmaps for each sector and scenario.
3.1. Future Climate in Almería
3.2. Hazard Results
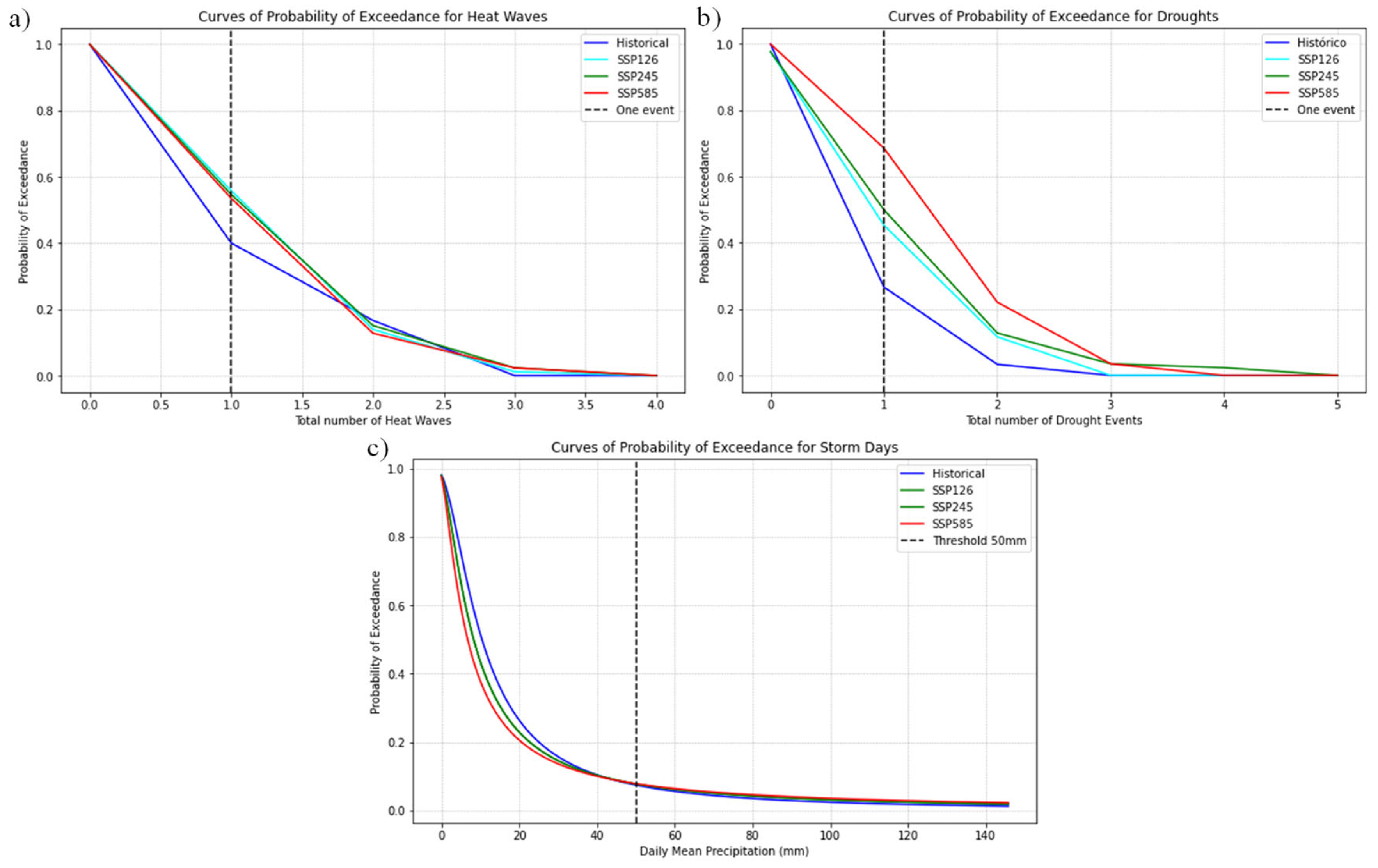
3.2.1. Hazard Exceedance Probability and Coupled Probabilities
3.2.2. Hazard Coupled Probabilities
3.3. Exposure Results
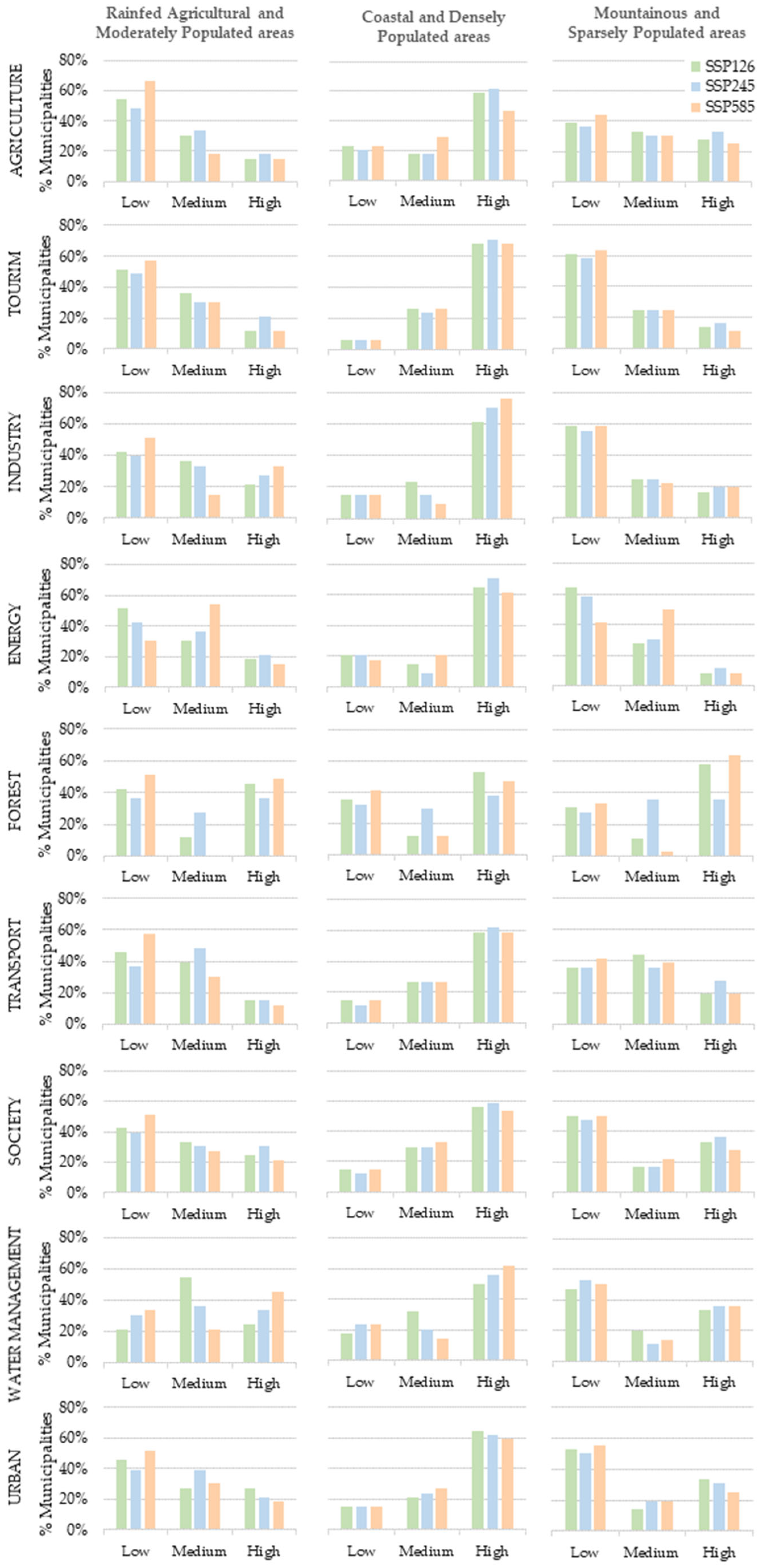
3.4. Vulnerability Results

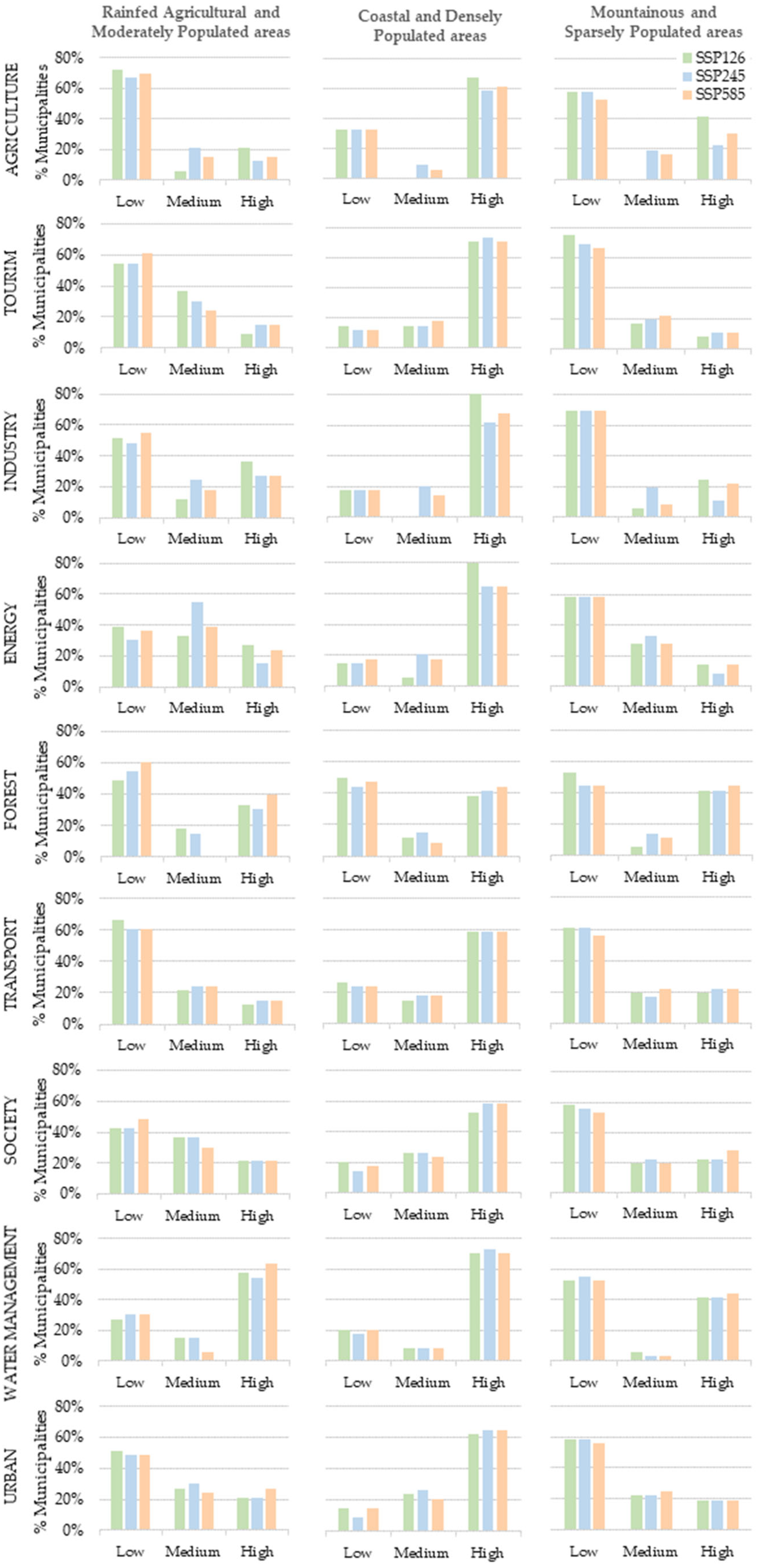
3.5. Risk Results
4. Discussion
4.1. Hazard Result Discussion
4.2. Exposure Result Discussion
4.3. Vulnerability Result Discussion
4.4. Risk Result Discussion
5. Conclusions
Author Contributions
Funding
Data Availability Statement
Acknowledgments
Conflicts of Interest
Abbreviations
| ACCESS-CM2 | Australian Community Climate and Earth System Simulator Coupled Model |
| AR | Assessment Report |
| CERRA | Copernicus European Regional Reanalysis |
| CESM2 | Community Earth System Model v2 |
| CDF | Cumulative Distribution Function |
| CMCC | Euro-Mediterranean Centre on Climate Change |
| CMIP6 | Coupled Model Intercomparison Project |
| CNRM-ESM2-1 | National Centre of Meteorological Research—Earth System model |
| CSV | Comma-Separated Values |
| EC-Earth3-Veg-LR | Earth Consortium—Earth system model |
| ECV | Essential Climate Variables |
| EQM | Empirical Quantile Mapping |
| FC.ID | Association for Research and Development in Sciences |
| GCM | Global Climate Model |
| HadGEM3-GC31LL | Hadley Centre Global Environment Model 3—Global Coupled v3.1 |
| ID | Identification number |
| IPCC | Intergovernmental Panel on Climate Change |
| IPSL-CM6A-LR | Institut Pierre Simon Laplace Climate Model |
| MIROC6 | Model for Interdisciplinary Research on Climate |
| NorESM2-MM | Norwegian Earth System Model |
| QGIS | Quantum Geographic Information System |
| SSP | Shared Socioeconomic Pathways |
| UNU-EHS | United Nations University for Environment and Human Security |
Appendix A
Appendix A.1
| ID | Municipality | ID | Municipality | ID | Municipality |
|---|---|---|---|---|---|
| 1 | Abla | 36 | Chirivel | 70 | Pechina |
| 2 | Abrucena | 37 | Dalías | 71 | Pulpí |
| 3 | Adra | 38 | Enix | 72 | Purchena |
| 4 | Albanchez | 39 | Felix | 73 | Rágol |
| 5 | Alboloduy | 40 | Fines | 74 | Rioja |
| 6 | Albox | 41 | Fiñana | 75 | Roquetas de Mar |
| 7 | Alcolea | 42 | Fondón | 76 | Santa Cruz de Marchena |
| 8 | Alcóntar | 43 | Gádor | 77 | Santa Fe de Mondújar |
| 9 | Alcudia de Monteagud | 44 | Los Gallardos | 78 | Senés |
| 10 | Alhabia | 45 | Garrucha | 79 | Serón |
| 11 | Alhama de Almería | 46 | Gérgal | 80 | Sierro |
| 12 | Alicún | 47 | Huécija | 81 | Somontín |
| 13 | Almería | 48 | Huércal de Almería | 82 | Sorbas |
| 14 | Almócita | 49 | Huércal-Overa | 83 | Suflí |
| 15 | Alsodux | 50 | Íllar | 84 | Tabernas |
| 16 | Antas | 51 | Instinción | 85 | Taberno |
| 17 | Arboleas | 52 | Laroya | 86 | Tahal |
| 18 | Armuña de Almanzora | 53 | Láujar de Andarax | 87 | Terque |
| 19 | Bacares | 54 | Líjar | 88 | Tíjola |
| 20 | Bayárcal | 55 | Lubrín | 89 | Turre |
| 21 | Bayarque | 56 | Lucainena de las Torres | 90 | Turrillas |
| 22 | Bédar | 57 | Lúcar | 91 | Uleila del Campo |
| 23 | Beires | 58 | Macael | 92 | Urrácal |
| 24 | Benahadux | 59 | María | 93 | Velefique |
| 25 | Benitagla | 60 | Mojácar | 94 | Vélez-Blanco |
| 26 | Benizalón | 61 | Nacimiento | 95 | Vélez-Rubio |
| 27 | Bentarique | 62 | Níjar | 96 | Vera |
| 28 | Berja | 63 | Ohanes | 97 | Viator |
| 29 | Canjáyar | 64 | Olula de Castro | 98 | Vícar |
| 30 | Cantoria | 65 | Olula del Río | 99 | Zurgena |
| 31 | Carboneras | 66 | Oria | 100 | Las Tres Villas |
| 32 | Castro de Filabres | 67 | Padules | 101 | El Ejido |
| 33 | Cóbdar | 68 | Partaloa | 102 | La Mojonera |
| 34 | Cuevas del Almanzora | 69 | Paterna del Río | 103 | Balanegra |
| 35 | Chercos | - | - | - | - |
Appendix A.2
| Sector | Risk Component | Indicator | Units |
|---|---|---|---|
| Agriculture | Exposure | Agricultural area | km2 |
| Agriculture | Exposure | People working in agricultural sector | N° of people |
| Tourism | Exposure | Number of overnight stays | N° of stays |
| Tourism | Exposure | Number of accommodations | N° of rooms |
| Industry | Exposure | Number of industrial facilities | N° of facilities |
| Energy | Exposure | Power grid length | m |
| Energy | Exposure | Number of energy production centre | Nº of centres |
| Forest and Biodiversity | Exposure | Protected area | km2 |
| Forest and Biodiversity | Exposure | Forest area | km2 |
| Transport | Exposure | Transport network | m |
| Society | Exposure | Population | Nº of people |
| Society | Exposure | Number of sanitary centres | Nº of centres |
| Society | Exposure | Immigrants exposed | Nº of people |
| Water management | Exposure | Aquifers and water area | km2 |
| Urban | Exposure | Urban area | km2 |
| Urban | Exposure | Infrastructures and assets | Nº of assets |
| Urban | Exposure | Households | Nº of households |
| Agriculture | Sensitivity | Ratio of irrigated area over total area | % |
| Agriculture | Sensitivity | Sensitivity to rivers | m |
| Agriculture | Sensitivity | Ratio of agricultural are over total area | % |
| Agriculture | Sensitivity | Ratio of cereals over total area | % |
| Agriculture | Sensitivity | Ratio of fruit cultivation over total area | % |
| Agriculture | Sensitivity | Ratio of vineyard over total area | % |
| Agriculture | Sensitivity | Ratio of olive cultivation over total area | % |
| Agriculture | Sensitivity | Economic weight of the agricultural sector | % |
| Agriculture | Sensitivity | Propensity to fire | Nº of fires |
| Agriculture | Sensitivity | Risk of soil erosion | t/(ha·y) |
| Agriculture | Sensitivity | Quantity of fertilizers in agriculture | tons |
| Agriculture | Adaptive capacity | Rainfed agricultural area in relation to the total agricultural area | % |
| Agriculture | Adaptive capacity | Zones of High Risk of Fire | - |
| Agriculture | Adaptive capacity | Irrigated area in relation to the total surface area | % |
| Agriculture | Adaptive capacity | Agricultural facilities in the territory | Nº of facilities |
| Agriculture | Adaptive capacity | Ratio of water resources over total area | % |
| Agriculture | Adaptive capacity | Presence of rivers | m |
| Agriculture | Adaptive capacity | Economic weight of the agricultural sector | % |
| Tourism | Sensitivity | Sensitivity to rivers | m |
| Tourism | Sensitivity | Municipal degree of danger of fire in forest combined with the tourist accommodation | Nº of accommodations |
| Tourism | Sensitivity | Tourism weight per municipalities | % |
| Tourism | Sensitivity | Propensity to fire | Nº of fires |
| Tourism | Adaptive capacity | Zones of High Risk of Fire | - |
| Tourism | Adaptive capacity | Tourism weight per municipalities | % |
| Industry | Sensitivity | Sensitivity to rivers | m |
| Industry | Sensitivity | Weight of the industrial sector in the economy | % |
| Industry | Sensitivity | Percentage of workers in industry and services | % |
| Industry | Adaptive capacity | Relationship between energy consumption and average gross income | MWh/€ |
| Industry | Adaptive capacity | Relationship between water consumption and average gross income | L/day/€ |
| Industry | Adaptive capacity | Weight of the industrial sector in the economy | % |
| Energy | Sensitivity | Municipal energy consumption | MWh |
| Energy | Adaptive capacity | Municipal energy production facilities | Nº of facilities |
| Energy | Adaptive capacity | Municipal energy consumption | MWh |
| Energy | Adaptive capacity | Relationship between energy consumption and average gross income | MWh/€ |
| Forest and Biodiversity | Sensitivity | Propensity to fire | Nº of fires |
| Forest and Biodiversity | Sensitivity | Risk of soil erosion | t/(ha·y) |
| Forest and Biodiversity | Sensitivity | Ratio of protected area over total area | % |
| Forest and Biodiversity | Sensitivity | Ratio of area of wetlands and waterbodies over total area | % |
| Forest and Biodiversity | Adaptive capacity | Zones of High Risk of Fire | - |
| Forest and Biodiversity | Adaptive capacity | Presence of rivers | m |
| Forest and Biodiversity | Adaptive capacity | Ratio of protected wetlands and waterbodies over total protected area | % |
| Forest and Biodiversity | Adaptive capacity | Ratio of forest area over agricultural area | % |
| Forest and Biodiversity | Adaptive capacity | Ratio of forest area over total area | % |
| Forest and Biodiversity | Adaptive capacity | Ratio of bare soil over total area | % |
| Forest and Biodiversity | Adaptive capacity | Area protected with management plans and/or protection measures over total area | % |
| Transport | Sensitivity | Sensitivity to rivers | m |
| Transport | Sensitivity | Municipal degree of danger of fire in forest combined with the km of road network that passes through the municipality | km |
| Transport | Sensitivity | Propensity to fire | Nº of fires |
| Transport | Adaptive capacity | Zones of High Risk of Fire | - |
| Society | Sensitivity | Sensitivity to rivers | m |
| Society | Sensitivity | Municipal water consumption | L/day |
| Society | Sensitivity | Ratio of population of children (0–14 years) and older than 65 years, over total population | % |
| Society | Sensitivity | Population density in the urban area of the municipality | Inhab/km2 |
| Society | Sensitivity | Income inequality (GINI index) | - |
| Society | Sensitivity | Ratio of immigrants over total population | % |
| Society | Adaptive capacity | Ratio of green area coverage over total urban area | % |
| Society | Adaptive capacity | Average gross income per person per municipality (INE) | € |
| Society | Adaptive capacity | Dependency index | % |
| Water management | Sensitivity | Economic weight of the agricultural sector | % |
| Water management | Sensitivity | Tourism weight per municipalities | % |
| Water management | Sensitivity | Municipal water consumption | L/day |
| Water management | Sensitivity | Weight of the industrial sector in the economy | % |
| Water management | Adaptive capacity | Ratio of water resources over total area | % |
| Water management | Adaptive capacity | Presence of rivers | m |
| Water management | Adaptive capacity | Tourism weight per municipalities | % |
| Water management | Adaptive capacity | Ratio of protected wetlands and waterbodies over total protected area | % |
| Water management | Adaptive capacity | Municipal water consumption | L/day |
| Water management | Adaptive capacity | Economic weight of the agricultural sector | % |
| Water management | Adaptive capacity | Weight of the industrial sector in the economy | % |
| Urban | Sensitivity | Sensitivity to rivers | m |
| Urban | Sensitivity | Population density in the urban area of the municipality | Inhab/km2 |
| Urban | Sensitivity | Ratio of green urban area over total urban area | % |
| Urban | Adaptive capacity | Municipal energy consumption | MWh |
| Urban | Adaptive capacity | Municipal water consumption | L/day |
| Urban | Adaptive capacity | Ratio of green area coverage over urban area | % |
Appendix A.3



References
- IPCC. Climate Change 2023: Synthesis Report. Contribution of Working Groups I, II and III to the Sixth Assessment Report of the Intergovernmental Panel on Climate Change; Pirani, A., Matthews, R., Chen, M.B., Goldfarb, L., Gomis, M., Huang, T., Leitzell, K., Lonnoy, E., Matthews, J.B.R., Maycock, T.K., et al., Eds.; IPCC: Geneva, Switzerland, 2023; 85p.
- Lionello, P.; Scarascia, L. The Relation between Climate Change in the Mediterranean Region and Global Warming. Reg. Environ. Change 2018, 18, 1481–1493. [Google Scholar] [CrossRef]
- Caparrós-Martínez, J.L.; Rueda-Lópe, N.; Milán-García, J.; de Pablo Valenciano, J. Public Policies for Sustainability and Water Security: The Case of Almeria (Spain). Glob. Ecol. Conserv. 2020, 23, e01037. [Google Scholar] [CrossRef]
- Oppenheimer, M.; Campos, M.; Warren, R.; Birkmann, J.; Luber, G.; O’Neill, B.; Takahashi, K. Emergent Risks and Key Vulnerabilities. In Climate Change 2014: Impacts, Adaptation, and Vulnerability. Contribution of Working Group II to the Fifth Assessment Report of the Intergovernmental Panel on Climate Change; Field, C.B., Barros, V.R., Dokken, D.J., Mach, K.J., Mastrandrea, M.D., Bilir, T.E., Chatterjee, M., Ebi, K.L., Estrada, Y.O., Genova, R.C., et al., Eds.; Cambridge University Press: Cambridge, UK, 2014. [Google Scholar]
- IPCC. Climate Change 2022: Impacts, Adaptation, and Vulnerability. Contribution of Working Group II to the Sixth Assessment Report of the Intergovernmental Panel on Climate Change; Cambridge University Press: Cambridge, UK, 2022.
- Aryal, A.; Bosch, R.; Lakshmi, V. Climate Risk and Vulnerability Assessment of Georgian Hydrology under Future Climate Change Scenarios. Climate 2023, 11, 222. [Google Scholar] [CrossRef]
- Preston, B.L.; Yuen, E.J.; Westaway, R.M. Putting Vulnerability to Climate Change on the Map: A Review of Approaches, Benefits, and Risks. Sustain. Sci. 2011, 6, 177–202. [Google Scholar] [CrossRef]
- Jurgilevich, A.; Räsänen, A.; Groundstroem, F.; Juhola, S. A systematic review of dynamics in climate risk and vulnerability assessments. Environ. Res. Lett. 2017, 12, 013002. [Google Scholar] [CrossRef]
- Cardona, O.D.; van Aalst, M.K.; Birkmann, J.; Fordham, M.; McGregor, G.; Perez, R.; Pulwarty, R.S.; Schipper, E.L.F.; Tan Sinh, B.; Davis, I.; et al. Determinants of Risk: Exposure and Vulnerability. In Managing the Risks of Extreme Events and Disasters to Advance Climate Change Adaptation; Field, C.B., Barros, V., Stocker, T.F., Qin, D., Dokken, D.J., Ebi, K.L., Mastrandrea, M.D., Mach, K.J., Plattner, G.-K., Allen, S.K., et al., Eds.; Cambridge University Press: Cambridge, UK, 2012; pp. 65–108. [Google Scholar]
- KC, B.; Shepherd, J.M.; King, A.W.; Johnson Gaither, C. Multi-hazard climate risk projections for the United States. Nat. Hazards 2021, 105, 1963–1976. [Google Scholar] [CrossRef]
- Füssel, H.M. Vulnerability: A generally applicable conceptual framework for climate change research. Glob. Environ. Change 2007, 17, 155–167. [Google Scholar] [CrossRef]
- Gallina, V.; Torresan, S.; Critto, A.; Sperotto, A.; Glade, T.; Marcomini, A. A Review of Multi-Risk Methodologies for Natural Hazards: Consequences and Challenges for a Climate Change Impact Assessment. J. Environ. Manag. 2016, 168, 123–132. [Google Scholar] [CrossRef]
- Poljanšek, K.; Marín Ferrer, M.; De Groeve, T.; Clark, I. (Eds.) Science for Disaster Risk Management 2017: Knowing Better and Losing Less; EUR 28034 EN; Publications Office of the European Union: Luxembourg, 2017; ISBN 978-92-79-60678-6. [Google Scholar] [CrossRef]
- Aven, T. Risk Assessment and Risk Management: Review of Recent Advances on Their Foundation. Eur. J. Oper. Res. 2016, 253, 1–13. [Google Scholar] [CrossRef]
- IPCC. Climate Change 2014: Impacts, Adaptation, and Vulnerability. Part A: Global and Sectoral Aspects. Contribution of Working Group II to the Fifth Assessment Report of the Intergovernmental Panel on Climate Change; Field, C.B., Barros, V.R., Dokken, D.J., Mach, K.J., Mastrandrea, M.D., Bilir, T.E., Chatterjee, M., Ebi, K.L., Estrada, Y.O., Genova, R.C., et al., Eds.; Cambridge University Press: Cambridge, UK; New York, NY, USA, 2014; 1132p.
- Berman, K.; Kuleshov, Y. Assessing Tropical Cyclone Risk in Australia Using Community Exposure–Vulnerability Indices. Climate 2023, 11, 235. [Google Scholar] [CrossRef]
- Marín-Monroy, E.A.; Hernández-Trejo, V.; Romero-Vadillo, E.; Ivanova-Boncheva, A. Vulnerability and Risk Factors due to Tropical Cyclones in Coastal Cities of Baja California Sur, Mexico. Climate 2020, 8, 144. [Google Scholar] [CrossRef]
- Birkmann, J.; Cardona, O.D.; Carreño, M.L.; Barbat, A.H.; Pelling, M.; Schneiderbauer, S.; Kienberger, S.; Keiler, M.; Alexander, D.; Zeil, P.; et al. Framing vulnerability, risk and societal responses: The MOVE framework. Nat. Hazards 2013, 67, 193–211. [Google Scholar] [CrossRef]
- Westen, C.J. Remote sensing and GIS for natural hazards assessment and disaster risk management. Treatise Geomorphol. 2013, 3, 259–298. [Google Scholar] [CrossRef]
- Hagenlocher, M.; Renaud, F.G.; Haas, S.; Sebesvari, Z. Vulnerability and risk of deltaic social-ecological systems exposed to multiple hazards. Sci. Total Environ. 2018, 631, 71–80. [Google Scholar] [CrossRef]
- Custodio, E.; Andreu-Rodes, J.M.; Aragón, R.; Estrela, T.; Ferrer, J.; García-Aróstegui, J.L.; Manzano, M.; Rodríguez-Hernández, L.; Sahuquillo, A.; del Villar, A. Groundwater Intensive Use and Mining in South-Eastern Peninsular Spain: Hydrogeological, Economic and Social Aspects. Sci. Total Environ. 2016, 559, 302–316. [Google Scholar] [CrossRef]
- Aznar-Sánchez, J.A.; Belmonte-Ureña, L.J.; Velasco-Muñoz, J.F.; Valera, D.L. Aquifer Sustainability and the Use of Desalinated Seawater for Greenhouse Irrigation in the Campo de Níjar, Southeast Spain. Int. J. Environ. Res. Public Health 2019, 16, 898. [Google Scholar] [CrossRef]
- Navas González, Á.; Hewitt, R.J.; Martínez-Vega, J. Green Infrastructure Mapping in Almeria Province (Spain) Using Geographical Information Systems and Multi-Criteria Evaluation. Land 2024, 13, 1916. [Google Scholar] [CrossRef]
- Reder, A.; Fedele, G.; Manco, I.; Cionni, I.; Terzi, S.; Mercogliano, P. Estimating Pros and Cons of Statistical Downscaling Based on EQM Bias Adjustment as a Complementary Method to Dynamical Downscaling. Sci. Rep. 2025, 15, 621. [Google Scholar] [CrossRef]
- Eyring, V.; Bony, S.; Meehl, G.A.; Senior, C.A.; Stevens, B.; Stouffer, R.J.; Taylor, K.E. Overview of the Coupled Model Intercomparison Project Phase 6 (CMIP6) Experimental Design and Organization. Geosci. Model Dev. 2016, 9, 1937–1958. [Google Scholar] [CrossRef]
- Ridal, M.; Bazile, E.; Le Moigne, P.; Randriamampianina, R.; Schimanke, S.; Andrae, U.; Berggren, L.; Brousseau, P.; Dahlgren, P.; Edvinsson, L.; et al. CERRA, the Copernicus European Regional Reanalysis System. Q. J. R. Meteorol. Soc. 2024, 150, 3385–3411. [Google Scholar] [CrossRef]
- Piani, C.; Weedon, G.P.; Best, M.; Gomes, S.M.; Viterbo, P.; Hagemann, S.; Haerter, J.O. Statistical Bias Correction of Global Simulated Daily Precipitation and Temperature for the Application of Hydrological Models. J. Hydrol. 2010, 395, 199–215. [Google Scholar] [CrossRef]
- Lafon, T.; Dadson, S.; Buys, G.; Prudhomme, C. Bias Correction of Daily Precipitation Simulated by a Regional Climate Model: A Comparison of Methods. Int. J. Climatol. 2013, 33, 1367–1381. [Google Scholar] [CrossRef]
- Westen, C.J.; Greiving, S. Multi-hazard risk assessment and decision making. In Environmental Hazards Methodologies for Risk Assessment and Management; IWA Publishing: London, UK, 2017; pp. 31–94. [Google Scholar] [CrossRef]
- Weng, X.; Yuan, C.; Li, X.; Li, H. Research on the Construction of a Risk Assessment Indicator System for Transportation Infrastructure Investment under Public–Private Partnership Model. Buildings 2024, 14, 1679. [Google Scholar] [CrossRef]
- Wang, W.-J.; Kim, D.; Han, H.; Kim, K.T.; Kim, S.; Kim, H.S. Flood Risk Assessment Using an Indicator-Based Approach Combined with Flood Risk Maps and Grid Data. J. Hydrol. 2023, 627, 130396. [Google Scholar] [CrossRef]
- Agulles, M.; Melo-Aguilar, C.; Jordà, G. Risk of Loss of Tourism Attractiveness in the Western Mediterranean under Climate Change. Front. Clim. 2022, 4, 1019892. [Google Scholar] [CrossRef]
- Menezes, J.A.; Confalonieri, U.; Madureira, A.P.; Duval, I.B.; dos Santos, R.B.; Margonari, C. Mapping Human Vulnerability to Climate Change in the Brazilian Amazon: The Construction of a Municipal Vulnerability Index. PLoS ONE 2018, 13, e0190808. [Google Scholar] [CrossRef]
- Yu, J.; Castellani, K.; Forysinski, K.; Gustafson, P.; Lu, J.; Peterson, E.; Tran, M.; Yao, A.; Zhao, J.; Brauer, M. Geospatial Indicators of Exposure, Sensitivity, and Adaptive Capacity to Assess Neighbourhood Variation in Vulnerability to Climate Change-Related Health Hazards. Environ. Health 2021, 20, 31. [Google Scholar] [CrossRef]
- Bündnis Entwicklung Hilft; Institute for International Law of Peace and Armed Conflict (IFHV), Ruhr University Bochum. WorldRiskReport 2021: WorldRiskIndex 2021. Focus—Social Protection. 2021. Available online: https://weltrisikobericht.de/wp-content/uploads/2021/09/WorldRiskReport_2021_Online.pdf (accessed on 20 June 2025).
- Field, C.B.; Barros, V.; Stocker, T.F.; Dahe, Q.; Dokken, D.J.; Ebi, K.L.; Mastrandrea, M.D.; Mach, K.J.; Plattner, G.K.; Allen, S.K.; et al. Managing the Risks of Extreme Events and Disasters to Advance Climate Change Adaptation; A Special Report of Working Groups I and II of the Intergovernmental Panel on Climate Change (IPCC); Cambridge University Press: Cambridge, UK, 2012; pp. 1–582. Available online: https://www.ipcc.ch/report/managing-the-risks-of-extreme-events-and-disasters-to-advance-climate-change-adaptation/ (accessed on 2 July 2025).
- OECD. National Risk Assessments: A Cross Country Perspective; OECD Publishing: Paris, France, 2018. [CrossRef]
- Kim, Y.-H.; Min, S.-K.; Zhang, X.; Sandstad, M. Evaluation of the CMIP6 Multi-Model Ensemble for Climate Extreme Indices. Weather. Clim. Extrem. 2020, 28, 100269. [Google Scholar] [CrossRef]
- Jebeile, J.; Crucifix, M. Multi-model ensembles in climate science: Mathematical structures and expert judgements. Stud. Hist. Philos. Sci. Part A 2020, 81, 142–157. [Google Scholar] [CrossRef]
- Snyder, A.; Prime, N.; Tebaldi, C.; Dorheim, K. Quantifying uncertainty in climate projections with multi-model ensembles. Earth Syst. Dyn. 2024, 15, 1301–1318. [Google Scholar] [CrossRef]
- Evin, G.; Ribes, A.; Corre, L. Assessing CMIP6 uncertainties at global warming levels. Clim. Dyn. 2024, 62, 123–145. [Google Scholar] [CrossRef]
- Falloon, P.; Challinor, A.; Dessai, S.; Hoang, L.; Johnson, J.; Koehler, A.-K. Ensembles and uncertainty in climate change impacts. Front. Environ. Sci. 2014, 2, 33. [Google Scholar] [CrossRef]
- Ciobotaru, A.-M.; Patel, N.; Pintilii, R.-D. Tree Cover Loss in the Mediterranean Region—An Increasingly Serious Environmental Issue. Forests 2021, 12, 1341. [Google Scholar] [CrossRef]
- Navarro Rodríguez, P. Energías Renovables y Sostenibilidad en la Provincia de Almería: Régimen Jurídico, Infraestructuras y Planes de Optimización Energética; Instituto de estudios Almerienses, Diputación de Almería: Almería, Spain, 2014. [Google Scholar]
- Junquera, V.; Rubenstein, D.I.; Levin, S.A.; Hormaza, J.I.; Vadillo Pérez, I.; Jiménez Gavilán, P. Hydrological Collapse in Southern Spain under Expanding Irrigated Agriculture: Meteorological, Hydrological, and Structural Drought. arXiv 2024. [Google Scholar] [CrossRef]
- Adger, W.N.; Revi, A.; Parnell, S.; Archer van Garderen, E.; Bai, X.; Barau, A.S.; Birkmann, J.; Campos, M.; Chanza, N.; Colenbrander, S.; et al. Urban Systems and Settlements. In Climate Change 2022: Impacts, Adaptation and Vulnerability. Contribution of Working Group II to the Sixth Assessment Report of the Intergovernmental Panel on Climate Change; Pörtner, H.-O., Roberts, D.C., Tignor, M., Poloczanska, E.S., Mintenbeck, K., Alegría, A., Craig, M., Langsdorf, S., Löschke, S., Möller, V., et al., Eds.; Cambridge University Press: Cambridge, UK; New York, NY, USA, 2022; Chapter 4; Available online: https://www.ipcc.ch/report/ar6/wg2/chapter/chapter-4/ (accessed on 2 July 2025).
- Nofal, O.; Lindt, J. Understanding flood risk in the context of community resilience modeling for the built environment: Research needs and trends. Sustain. Resilient Infrastruct. 2020, 7, 171–187. [Google Scholar] [CrossRef]










| Hazard | Description |
|---|---|
| Heatwave | 5 consecutive days with Maximum Temperature higher than the 90th percentile of a reference period |
| Drought | At least 30 consecutive days without precipitation |
| Storm | Number of days with Precipitation higher than 50 mm |
| Scenario | Probability of Exceedance for Heatwaves (%) | Probability of Exceendance for Droughts (%) | Probability of Exceedance for Storms (%) |
|---|---|---|---|
| Historical | 40.0 | 26.7 | 7.4 |
| SSP1-2.6 | 55.8 | 45.4 | 7.7 |
| SSP2-4.5 | 54.7 | 50.0 | 7.7 |
| SSP5-8.5 | 53.5 | 68.6 | 7.8 |
| Multi-Hazards Probability | Heatwave | Drought | Storm |
|---|---|---|---|
| Heatwave | - | SSP126: 25.3 % SSP245: 27.3 % SSP585: 36.7 % | X |
| Drought | SSP126: 25.3 % SSP245: 27.3 % SSP585: 36.7 % | - | X |
| Storm | X | X | - |
Disclaimer/Publisher’s Note: The statements, opinions and data contained in all publications are solely those of the individual author(s) and contributor(s) and not of MDPI and/or the editor(s). MDPI and/or the editor(s) disclaim responsibility for any injury to people or property resulting from any ideas, methods, instructions or products referred to in the content. |
© 2025 by the authors. Licensee MDPI, Basel, Switzerland. This article is an open access article distributed under the terms and conditions of the Creative Commons Attribution (CC BY) license (https://creativecommons.org/licenses/by/4.0/).
Share and Cite
Barilari, S.; Villar-Jiménez, Y.; Fedele, G.; Reder, A.; Ramos-Diez, I. Climate Risk and Vulnerability Assessment in the Province of Almeria (Spain) Under Different Climate Change Scenarios. Climate 2025, 13, 141. https://doi.org/10.3390/cli13070141
Barilari S, Villar-Jiménez Y, Fedele G, Reder A, Ramos-Diez I. Climate Risk and Vulnerability Assessment in the Province of Almeria (Spain) Under Different Climate Change Scenarios. Climate. 2025; 13(7):141. https://doi.org/10.3390/cli13070141
Chicago/Turabian StyleBarilari, Sara, Yaiza Villar-Jiménez, Giusy Fedele, Alfredo Reder, and Iván Ramos-Diez. 2025. "Climate Risk and Vulnerability Assessment in the Province of Almeria (Spain) Under Different Climate Change Scenarios" Climate 13, no. 7: 141. https://doi.org/10.3390/cli13070141
APA StyleBarilari, S., Villar-Jiménez, Y., Fedele, G., Reder, A., & Ramos-Diez, I. (2025). Climate Risk and Vulnerability Assessment in the Province of Almeria (Spain) Under Different Climate Change Scenarios. Climate, 13(7), 141. https://doi.org/10.3390/cli13070141

