The Solar Radiation Climate of Saudi Arabia
Abstract
1. Introduction
- The Saudi Arabian National Centre for Science and Technology initiated the Renewable Resource Atlas of the Kingdom of Saudi Arabia in the early 1980s. In 1999, a new Solar Radiation Atlas for Saudi Arabia was generated in cooperation with The Centre and the U.S. Department of Energy [29,30]. Later in 2013, a new Renewable Resource Atlas for Saudi Arabia was produced [30] without the inclusion of solar maps.
- The first Solar Radiation Atlas for the Arab World was derived in 2004 [31] and included Morocco, Algeria, Tunisia, Egypt, Saudi Arabia, the UAE, Kuwait, Syria, Jordan, and Bahrain; this Atlas depicts the distribution of the monthly and annual mean solar irradiation in the territory. Later, in 2019, the World Bank [32] presented a solar atlas for the world including Saudi Arabia, but not much detail was provided for the country.
2. Materials and Methods

- G expresses the overall solar intensity arriving at the surface of the Earth and corresponds to the total extinction (absorption and scattering) of the solar rays passing through the atmosphere.
- Gd refers to the scattering of the solar rays in the atmosphere.
- ke = Gd/Gb is the atmospheric extinction index, because it denotes the contribution of the scattering (by Gd) and absorption (by Gb) mechanisms in the atmosphere; dividing the ratio by G gives ke = kd/kb. This index is also useful as it denotes the significant fractional amount of each solar component in solar harvesting [36].
3. Results
3.1. Annual Variation
3.2. Monthly Variation
3.3. Seasonal Variation
3.4. Specialized Analysis
- (i)
- the relationship between the direct horizontal irradiance, Gb, and the diffuse fraction, kd;
- (ii)
- the dependence of the global, G, or diffuse, Gd, horizontal irradiance on the geographical latitude, φ, or the diffuse fraction, kd;
- (iii)
- the dependence of the global, G, or diffuse, Gd, horizontal irradiance on the sites’ altitude, z; and
- (iv)
- the use of the diffuse fraction, kd, and the direct-beam fraction, kb, as atmospheric scattering and absorption indices, respectively, as proposed by [19,20]. In all investigations, no distinction was made regarding the SEZ to which the data points belonged, because Saudi Arabia was dealt here as unit.
- (v)
- In order to find any relationship between Gb and kd, a scatter plot of their annual mean values was prepared, which is presented in Figure 6. It is interesting to observe that almost all sites are included in the prediction interval, while very few are included in the confidence interval. The meaning of this observation is as follows: in the short term, the Gb–kd data pairs are expressed by a linear relationship with a confidence interval much less than 95%, and, therefore, their relationship is not significant. Conversely, this relationship becomes significant at the 95% level in the long term (i.e., in the future under a changing global climate). Another interesting feature from Figure 6 is the negative linear dependence of Gb on kd. If one assumes G is constant in the ratio Gd/G, then an increase in Gd (i.e., an increase in kd) results in a decrease in Gb because of the linear relationship G = Gd + Gb or kd = 1 − Gb/G (if both sides of the former equation are divided by G, the ratio Gd/G is replaced with kd, and the equation is solved for kd).
- (vi)
- To investigate the dependence of G or Gd on kd or on φ, Figure 7 and Figure 8 were derived. Figure 7 shows a plot of the annual mean G and Gd values versus the annual mean kd ones, while Figure 8 presents a scatter plot of the annual mean G and Gd values versus φ for all 43 sites. Both scatter plots are fitted with linear regression lines from which the annual global or diffuse horizontal irradiance can be estimated with a known value for kd or φ. The confidence and prediction intervals are shown and have the same meaning as those in Figure 6.
- (i)
- Figure 9a,b show the variation in both G and Gd levels versus the altitude of the sites in Saudi Arabia under all- and clear-sky conditions. It is shown that a variability in the levels of both solar components exists even at very low terrain elevations, i.e., below 50 m amsl (see the vertical dashed lines in Figure 9). In the entire altitude range of 0 m–2173 m amsl, the G levels vary between 422 Wm−2 and 515 Wm−2 (i.e., a difference of 93 Wm−2) under all skies and between 675 Wm−2 and 850 Wm−2 (i.e., a difference of 175 Wm−2) under clear skies, with average values at 459.38 Wm−2 and 763.68 Wm−2, respectively. These figures become 117 Wm−2 to 214 Wm−2 (i.e., a difference of 97 Wm−2) for all skies and 112 Wm−2 to 186 Wm−2 (i.e., a difference of 74 Wm−2) under clear skies for Gd, with average values at 166.59 Wm−2 and 151.70 Wm−2 for all- and clear-skies, respectively. The above results show that the annual Gd levels are dispersed in a much narrower band (74 Wm−2) than those for G (175 Wm−2) across all Saudi Arabia’s territories under clear skies. This implies a dispersion of atmospheric scattering in a narrow range (as a measure of Gd). One finding further related to the average values of G and Gd is that G is mostly composed of Gb (direct horizontal irradiance), because the values in the differences (the over-bar indicates averaging) are high: 292.79 Wm−2 and 611.98 Wm−2, for all- and clear-sky conditions, respectively. This result is also confirmed by the almost-neutral (zero-sloped) linear fits to the (Gd, z) data pairs, especially in Figure 9a,b. In all cases, the wide scatter of the data points is shown by the low R2 values. Moreover, according to Kambezidis [19,20], Gb is a measure of atmospheric absorption and is used below as such. Figure 9c is a combination of Figure 9a,b in the sense that it shows the (positive) differences in ΔG = Gclear skies − Gall skies and ΔGd = Gd,all skies − Gd,clear skies. These ΔG values show a broad variability in the altitude range 0 m–1000 m, a finding that may be attributed to the variations in the weather patterns, which affect solar radiation on this altitude scale. Conversely, the dispersion of the ΔGd values is very low at all altitudes, a finding that implies little or even a negligible effect of weather on atmospheric scattering (expressed as a measure of Gd). The high/low dispersion of the ΔG/ΔGd values is depicted in the corresponding lower/higher R2 values.
- (ii)
- Kambezidis [20] examined the atmospheric scattering in a study on Greece in terms of the diffuse fraction (or else atmospheric scattering index), kd. In the same way, the absorption of solar radiation can be expressed by the direct-beam fraction (or the atmospheric absorption index), kb = Gb/G. By dividing both sides of the basic equation G = Gd + Gb by G, we obtain the expression 1 = kd + kb, if Gd/G and Gb/G are replaced with kd and kb, respectively [20]. Practically, this theoretical result is experimentally confirmed by the summation of the linear regression equations for the same solar radiation component side-by-side (see legend in Figure 10). This equation shows that the scattering and absorption effects (if reflections in the atmosphere are omitted) sum up to one (i.e., to the total extinction of solar rays). To demonstrate this, Figure 10 show the annual mean values of kd and kb over the 43 sites in Saudi Arabia as function of φ under all (Figure 10a) and clear (Figure 10b) skies. It is clearly shown that the absorption mechanism is always stronger over Saudi Arabia, i.e., kb ≈ 2kd and kb ≈ 4kd, under all- and clear-sky conditions, respectively (same conclusion was obtained for Greece [20]). On the other hand, it is quite interesting to observe that either atmospheric mechanism is almost constant over all of Saudi Arabia under clear-sky conditions (the same conclusion was reached for Greece [20]). This observation implies a uniformity of the scattering and absorbing particles over the country because, in fair weather, the extinction of solar light is only due to the atmospheric constituents (excluding reflections from the ground). The extinction comes from the atmospheric particles that scatter (nitrogen, oxygen, and desert dust) and/or absorb (carbon dioxide, water vapor, and ozone) solar light. Under all-sky conditions (Figure 10a), the scatterers/absorbers seem to have an increasing/decreasing effect with increasing geographical latitude. This occurs because the extra particles in the atmosphere in this case are the clouds that unevenly scatter solar light. Therefore, as φ increases from 16° N to 32° N, so does the probability of cloudiness (in terms of cloud cover and cloud texture). These additional particles in the atmosphere cause increased scattering of solar radiation, and, thus, decreased absorption because of the basic equation kd + kb = 1. The verification of this equation is easy if the values of kd and kb for any 16° < φ < 32° are replaced with the corresponding expressions of the best-fit lines shown in the legend of Figure 10a,b. According to the above discussion, the bigger scatter of the kd or kb data points under all-sky conditions (Figure 10a) is due to the presence of clouds. Moreover, the theoretical expression of kd + kb = 1 is shown in Figure 10c, which presents a graph of the annual mean values of kb versus kd; it is shown that all data points lie on the same line, which is expressed by the linear fit of kb = 1 − kd.
3.5. Annual Solar Maps
4. Discussion and Conclusions
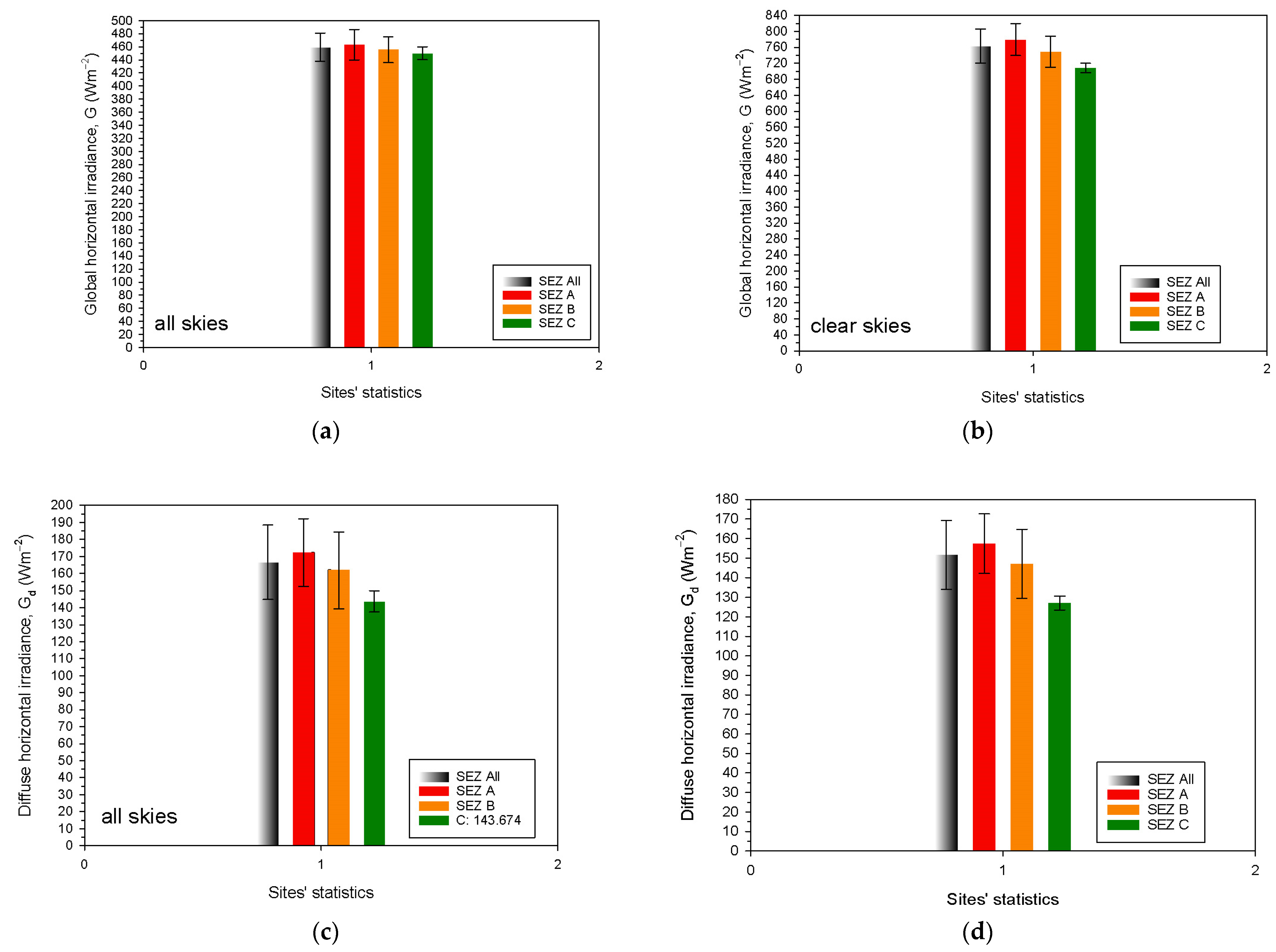
- Under all-sky conditions, the annual mean G radiation values were found to decrease from SEZ-A to SEZ-C (463 Wm−2, 456 Wm−2, and 450 Wm−2, respectively). Additionally, the ±1σ band for the SEZ-A and SEZ-B zones was estimated to be greater than that for SEZ-C; this finding was attributed to the low (just two) number of sites in the SEZ-C zone. The annual G average, regardless of energy zones, was found to be between those for SEZ-A and SEZ-B (i.e., 459 Wm−2). The intra-annual mean G variation reached a maximum in the summer (June), particularly for SEZ-All, SEZ-A, and SEZ-B, and in July for the SEZ-C zone. Sixth-order regression equations were derived for estimating G as a function of the month of the year for all three SEZs and SEZ-All. At the seasonal scale, the G values peaked in the summer and dropped in winter for all SEZs, as expected. Again, third-order polynomial fits were derived to estimate the G value as a function of the season. For the annual, seasonal, and intra-annual Gd variations, they were shown to have a very similar behavior to that of G, and, for this reason, they were not included in the Results section. The annual mean values were estimated at 172 Wm−2, 162 Wm−2, 144 Wm−2, and 166 Wm−2 for SEZ-A, SEZ-B, SEZ-C, and SEZ-All, respectively.
- Under clear skies, the annual mean G radiation values were found to decrease from SEZ-A to SEZ-C (779 Wm−2, 749 Wm−2, and 708 Wm−2, respectively), as much as in the case under all-sky conditions. Additionally, the ±1σ band for the SEZ-A and SEZ-B zones was estimated to be greater than that for SEZ-C. The annual G average regardless of energy zone was found to be between those for SEZ-A and SEZ-B (i.e., 763 Wm−2). The intra-annual mean G variation showed a maximum in June for SEZ-All, and a broad maximum from April to September in the SEZ-A, SEZ-B, and SEZ-C energy zones. Sixth-order regression equations were also derived for estimating G as a function of the month of the year for all three SEZs and SEZ-All. At the seasonal scale, the G values showed an exactly similar behavior to that for the seasonal G variation. Again, third-order polynomial fits were derived to estimate the G value as a function of the season. For the annual, seasonal, and intra-annual Gd variations, they were shown to have very similar behaviors to that for G in the case of all-sky conditions; for this reason, they were not included in the Results section. Nevertheless, the annual mean values were estimated at 157 Wm−2, 147 Wm−2, 127 Wm−2, and 152 Wm−2 for SEZ-A, SEZ-B, SEZ-C, and SEZ-All, respectively.
- A further specialized analysis was conducted for all the investigated parameters in this study (annual mean values of G, Gd, Gb, kd, kb, and ke) regardless of the solar energy zone. A declining expression was found for Gb vs. kd for all sites in Saudi Arabia under any type of sky condition. As Gd increased in the Gd/G = kd ratio (assuming a constant value of G), Gb decreased because of the expression Gconstant = Gd + Gb. Another outcome was the almost negligible effect of φ on the G and Gd levels across Saudi Arabia under all-sky conditions. This was also the case for the Gd levels as a function of z under any type of sky; conversely, the relationship of G vs. z had an increasing trend under both all and clear skies. A side product of this analysis was the much lower dispersion of the Gd values in comparison with that of the G values for all types of weather.
Author Contributions
Funding
Data Availability Statement
Acknowledgments
Conflicts of Interest
References
- Giesen, R.H.; van den Broeke, M.R.; Oerlemans, J.; Andreassen, L.M. Surface Energy Balance in the Ablation Zone of Midtdalsbreen, a Glacier in Southern Norway: Interannual Variability and the Effect of Clouds. J. Geophys. Res. 2008, 113, D21111. [Google Scholar] [CrossRef]
- Asaf, D.; Rotenberg, E.; Tatarinov, F.; Dicken, U.; Montzka, S.A.; Yakir, D. Ecosystem Photosynthesis Inferred from Measurements of Carbonyl Sulphide Flux. Nat. Geosci. 2013, 6, 186–190. [Google Scholar] [CrossRef]
- Bojinski, S.; Verstraete, M.; Peterson, T.C.; Richter, C.; Simmons, A.; Zemp, M. The Concept of Essential Climate Variables in Support of Climate Research, Applications, and Policy. Bull. Am. Meteorol. Soc. 2014, 95, 1431–1443. [Google Scholar] [CrossRef]
- Kambezidis, H.D. The Solar Resource. Compr. Renew. Energy 2012, 3, 27–84. [Google Scholar] [CrossRef]
- Kambezidis, H.D. The Solar Radiation Climate of Athens: Variations and Tendencies in the Period 1992–2017, the Brightening Era. Sol. Energy 2018, 173, 328–347. [Google Scholar] [CrossRef]
- Forster, P.M. Inference of Climate Sensitivity from Analysis of Earth’s Energy Budget. Annu. Rev. Earth Planet. Sci. 2016, 44, 85–106. [Google Scholar] [CrossRef]
- Haywood, J.; Boucher, O. Estimates of the Direct and Indirect Radiative Forcing Due to Tropospheric Aerosols: A Review. Rev. Geophys. 2000, 38, 513–543. [Google Scholar] [CrossRef]
- Puetz, S.J.; Prokoph, A.; Borchardt, G. Evaluating Alternatives to the Milankovitch Theory. J. Stat. Plan. Inference 2016, 170, 158–165. [Google Scholar] [CrossRef]
- Madhlopa, A. Solar Radiation Climate in Malawi. Sol. Energy 2006, 80, 1055–1057. [Google Scholar] [CrossRef]
- Jiménez, J.I. Solar Radiation Statistic in Barcelona, Spain. Sol. Energy 1981, 27, 271–282. [Google Scholar] [CrossRef]
- Dissing, D.; Wendler, G. Solar Radiation Climatology of Alaska. Theor. Appl. Climatol. 1998, 61, 161–175. [Google Scholar] [CrossRef]
- Petrenz, N.; Sommer, M.; Berger, F.H. Long-Time Global Radiation for Central Europe Derived from ISCCP Dx Data. Atmos. Chem. Phys. 2007, 7, 5021–5032. [Google Scholar] [CrossRef]
- Nottrott, A.; Kleissl, J. Validation of the NSRDB-SUNY Global Horizontal Irradiance in California. Sol. Energy 2010, 84, 1816–1827. [Google Scholar] [CrossRef]
- Persson, T. Solar Radiation Climate in Sweden. Phys. Chem. Earth 1999, 24, 275–279. [Google Scholar] [CrossRef]
- Exell, R.H.B. The Solar Radiation Climate of Thailand. Sol. Energy 1976, 18, 349–354. [Google Scholar] [CrossRef]
- Diabaté, L.; Blanc, P.; Wald, L. Solar Radiation Climate in Africa. Sol. Energy 2004, 76, 733–744. [Google Scholar] [CrossRef]
- Kambezidis, H. A Look at the Solar Radiation Climate in Athens during the Brightening Period. Sci. Trends 2018. [Google Scholar] [CrossRef]
- Kambezidis, H.D. The Daylight Climate of Athens: Variations and Tendencies in the Period 1992–2017, the Brightening Era. Light. Res. Technol. 2020, 52, 202–232. [Google Scholar] [CrossRef]
- Kambezidis, H.D. The Sky-Status Climatology of Greece: Emphasis on Sunshine Duration and Atmospheric Scattering. Appl. Sci. 2022, 12, 7969. [Google Scholar] [CrossRef]
- Kambezidis, H.D. The Solar Radiation Climate of Greece. Climate 2021, 9, 183. [Google Scholar] [CrossRef]
- Tarawneh, Q.Y.; Chowdhury, S. Trends of Climate Change in Saudi Arabia: Implications on Water Resources. Climate 2018, 6, 8. [Google Scholar] [CrossRef]
- Marzo, A.; Trigo, M.; Alonso-Montesinos, J.; Martínez-Durbán, M.; López, G.; Ferrada, P.; Fuentealba, E.; Cortés, M.; Batlles, F.J. Daily Global Solar Radiation Estimation in Desert Areas Using Daily Extreme Temperatures and Extraterrestrial Radiation. Renew. Energy 2017, 113, 303–311. [Google Scholar] [CrossRef]
- Behar, O.; Sbarbaro, D.; Marzo, A.; Gonzalez, M.T.; Vidal, E.F.; Moran, L. Critical Analysis and Performance Comparison of Thirty-Eight (38) Clear-Sky Direct Irradiance Models under the Climate of Chilean Atacama Desert. Renew. Energy 2020, 153, 49–60. [Google Scholar] [CrossRef]
- Gairaa, K.; Chellali, F.; Benkaciali, S.; Messlem, Y.; Abdallah, K. Daily Global Solar Radiation Forecasting over a Desert Area Using NAR Neural Networks. In Proceedings of the International Conference on Renewable Energy Research and Applications (ICRERA), Palermo, Italy, 22–25 November 2015; pp. 567–571. [Google Scholar]
- Bahel, V.; Srinivasan, R.; Bakhsh, H. Solar Radiation for Dhahran, Saudi Arabia. Energy 1986, 11, 985–989. [Google Scholar] [CrossRef]
- Aksakal, A.; Rehman, S. Global Solar Radiation in Northeastern Saudi Arabia. Renew. Energy 1999, 17, 461–472. [Google Scholar] [CrossRef]
- Sahin, A.Z.; Aksakal, A.; Kahraman, R. Solar Radiation Availability in the Northeastern Region of Saudi Arabia. Energy Sources 2000, 22, 859–864. [Google Scholar] [CrossRef]
- AlYahya, S.; Irfan, M.A. Analysis from the New Solar Radiation Atlas for Saudi Arabia. Sol. Energy 2016, 130, 116–127. [Google Scholar] [CrossRef]
- National Renewable Energy Laboratory. Kingdom of Saudi Arabia: Solar Radiation Atlas. 1998. Available online: https://digital.library.unt.edu/ark:/67531/metadc690351 (accessed on 1 November 2022).
- Myers, D.R.; Wilcox, S.M.; Marion, W.F.; Al-Abbadi, N.M.; bin Mahfoodh, M.; Al-Otaibi, M. Final Report for Annex II, Assessment of Solar Radiation Resources in Saudi Arabia 1998–2000. 2002. Available online: www.ntis.gov/ordering.htm (accessed on 1 November 2022).
- Alnaser, W.E.; Eliagoubi, B.; Al-Kalak, A.; Trabelsi, H.; Al-Maalej, M.; El-Sayed, H.M.; Alloush, M. First Solar Radiation Atlas for the Arab World. Renew. Energy 2004, 29, 1085–1107. [Google Scholar] [CrossRef]
- ESMAP. Global Solar Atlas 2.0; ESMAP: Washington, DC, USA, 2019; Available online: www.solargis.com (accessed on 1 November 2022).
- Dervishi, S.; Mahdavi, A. Computing Diffuse Fraction of Global Horizontal Solar Radiation: A Model Comparison. Sol. Energy 2012, 86, 1796–1802. [Google Scholar] [CrossRef]
- Babatunde, A.; Vincent, O.O. Estimation of Hourly Clearness Index and Diffuse Fraction Over Coastal and Sahel Regions of Nigeria Using NCEP/NCAR Satellite Data. J. Energy Res. Rev. 2021, 7, 1–18. [Google Scholar] [CrossRef]
- Bailek, N.; Bouchouicha, K.; El-Shimy, M.; Slimani, A.; Chang, K.-C.; Djaafari, A. Improved Mathematical Modeling of the Hourly Solar Diffuse Fraction (HSDF) -Adrar, Algeria Case Study. Int. J. Math. Anal. Appl. 2017, 4, 8–12. [Google Scholar]
- Kafka, J.L.; Miller, M.A. A Climatology of Solar Irradiance and Its Controls across the United States: Implications for Solar Panel Orientation. Renew. Energy 2019, 135, 897–907. [Google Scholar] [CrossRef]
- K.A.CARE. Renewable Resource Atlas. Available online: https://rratlas.kacare.gov.sa (accessed on 20 March 2022).
- Albalawi, H.; Balasubramaniam, K.; Makram, E. Secure Operation and Optimal Generation Scheduling Considering Battery Life for an Isolated Northwest Grid of Saudi Arabia. J. Power Energy Eng. 2017, 5, 41–62. [Google Scholar] [CrossRef]
- Kambezidis, H.D.; Kampezidou, S.I.; Kampezidou, D. Mathematical Determination of the Upper and Lower Limits of the Diffuse Fraction at Any Site. Appl. Sci. 2021, 11, 8654. [Google Scholar] [CrossRef]
- Farahat, A.; Kambezidis, H.D.; Almazroui, M.; Ramadan, E. Solar Potential in Saudi Arabia for Southward-Inclined Flat-Plate Surfaces. Appl. Sci. 2021, 11, 4101. [Google Scholar] [CrossRef]
- Willmott, C.J. On the Validation of Models. Phys. Geogr. 1981, 2, 184–194. [Google Scholar] [CrossRef]
- Almazroui, M. Simulation of Present and Future Climate of Saudi Arabia Using a Regional Climate Model (PRECIS). Int. J. Climatol. 2013, 33, 2247–2259. [Google Scholar] [CrossRef]
- Bai, J.; Zong, X. Global Solar Radiation Transfer and Its Loss in the Atmosphere. Appl. Sci. 2021, 11, 2651. [Google Scholar] [CrossRef]
- Mohandes, M.A.; Rehman, S. Estimation of Sunshine Duration in Saudi Arabia. J. Renew. Sustain. Energy 2013, 5, 033128. [Google Scholar] [CrossRef]
- Farahat, A.; Kambezidis, H.D.; Almazroui, M.; al Otaibi, M. Solar Potential in Saudi Arabia for Inclined Flat-Plate Surfaces of Constant Tilt Tracking the Sun. Appl. Sci. 2021, 11, 7105. [Google Scholar] [CrossRef]
- Farahat, A.; El-Askary, H.; Al-Shaibani, A. Study of Aerosols’ Characteristics and Dynamics over the Kingdom of Saudi Arabia Using a Multisensor Approach Combined with Ground Observations. Adv. Meteorol. 2015, 2015, 247531. [Google Scholar] [CrossRef]
- Farahat, A. Air Pollution in the Arabian Peninsula (Saudi Arabia, the United Arab Emirates, Kuwait, Qatar, Bahrain, and Oman): Causes, Effects, and Aerosol Categorization. Arab. J. Geosci. 2016, 9, 196. [Google Scholar] [CrossRef]
- Soneye, O.O. Evaluation of Clearness Index and Cloudiness Index Using Measured Global Solar Radiation Data: A Case Study for a Tropical Climatic Region of Nigeria. Atmosfera 2021, 34, 25–39. [Google Scholar] [CrossRef]
- Hepbasli, A.; Alsuhaibani, Z. A Key Review on Present Status and Future Directions of Solar Energy Studies and Applications in Saudi Arabia. Renew. Sustain. Energy Rev. 2011, 15, 5021–5050. [Google Scholar] [CrossRef]

















| Site Number | Site Name/Site Altitude (m amsl) | λ (° E) | φ (° N) |
|---|---|---|---|
| 1 | Abha/2173 | 21.383 | 38.617 |
| 2 | Afif/1060 | 25.933 | 40.850 |
| 3 | Al Aflaaj/567 | 22.800 | 39.067 |
| 4 | Al Ahsa/170 | 21.283 | 37.917 |
| 5 | Al Bada/1680 | 21.417 | 38.133 |
| 6 | Al Dawadmi/955 | 20.988 | 39.158 |
| 7 | Al Dhahran/75 | 26.150 | 38.350 |
| 8 | Al Farshah/1094 | 26.496 | 41.348 |
| 9 | Al Hanakiyah/873 | 22.044 | 40.802 |
| 10 | Al Jouf/680 | 23.750 | 37.900 |
| 11 | Al Jubail/89 | 20.817 | 39.700 |
| 12 | Al Khafji/13 | 25.183 | 35.333 |
| 13 | Al Kharj/438 | 22.000 | 37.067 |
| 14 | Al Qunfudhah/20 | 25.333 | 35.120 |
| 15 | Al Wajh/21 | 29.576 | 36.142 |
| 16 | Arar/583 | 21.283 | 40.450 |
| 17 | Dammam/28 | 19.917 | 39.617 |
| 18 | Duba/45 | 25.407 | 41.122 |
| 19 | Farasan/16 | 21.783 | 40.283 |
| 20 | Hada Al Sham/245 | 23.017 | 36.133 |
| 21 | Hafar Al Batin/383 | 22.400 | 38.850 |
| 22 | Hagl/36 | 22.450 | 39.650 |
| 23 | Hail/928 | 26.600 | 39.067 |
| 24 | Jeddah/65 | 25.233 | 39.917 |
| 25 | Al Majma’ah/718 | 21.700 | 36.833 |
| 26 | Mecca/295 | 22.967 | 40.517 |
| 27 | Medina/643 | 24.475 | 36.697 |
| 28 | Najran/1187 | 25.533 | 37.100 |
| 29 | Osfan/119 | 26.531 | 41.501 |
| 30 | Al Qassim/688 | 28.117 | 36.400 |
| 31 | Rania/933 | 26.917 | 37.700 |
| 32 | Riyadh1/688 | 23.567 | 41.083 |
| 33 | Riyadh2/779 | 26.100 | 35.120 |
| 34 | Riyadh3/895 | 24.550 | 38.900 |
| 35 | Shaqra/804 | 21.117 | 35.550 |
| 36 | Sharurah/760 | 23.917 | 37.967 |
| 37 | Tabuk/781 | 23.550 | 38.317 |
| 38 | Taif/1518 | 25.433 | 36.417 |
| 39 | Thuwal/5 | 23.320 | 38.322 |
| 40 | Timaa/844 | 21.768 | 39.556 |
| 41 | Umluj/10 | 22.400 | 37.533 |
| 42 | Wadi ad Dawasir/671 | 24.886 | 41.130 |
| 43 | Yanbu/17 | 20.900 | 37.783 |
| Parameter | Regression Equation |
|---|---|
| Sky Type, SEZ | RMSE, MAE, d, r, R2 |
| G | G = 0.0221t6 − 0.8464t5 + 12.5370t4 − 89.9070t3 + 309.3000t2 − 383.7500t + 758.2000 |
| clear, All | 2.9578, 1.7792, 0.9989, 0.9996, 0.9992 |
| Gd | Gd = 0.0075t6 − 0.2889t5 + 4.3297t4 − 31.6383t3 + 113.5537t2 − 162.7976t + 186.5065 |
| clear, All | 2.2509, 1.5970, 0.9914, 0.9966, 0.9931 |
| G | G = 0.0084t6 − 0.3101t5 + 4.3832t4 − 29.8840t3 + 96.3720t2 − 93.9490t + 402.6700 |
| all, All | 5.2575, 4.2085, 0.9871, 0.9957, 0.9913 |
| Gd | Gd = 0.0079t6 − 0.3165t5 + 4.8814t4 − 36.4793t3 + 130.9380t2 − 181.1706t + 212.4184 |
| all, All | 3.3261, 2.3027, 0.9747, 0.9939, 0.9878 |
| G | G = 0.0245t6 − 0.9295t5 + 13.5720t4 − 95.2800t3 + 318.5200t2 − 382.5600t + 773.8200 |
| clear, A | 5.1816, 3.5994, 0.9965, 0.9987, 0.9973 |
| Gd | Gd = 0.0077t6 − 0.2878t5 + 4.1504t4 − 28.9040t3 + 97.4030t2 − 124.2200t + 165.0300 |
| clear, A | 3.2241, 2.4289, 0.9840, 0.9934, 0.9868 |
| G | G = 0.0131t6 − 0.5092t5 + 7.6175t4 − 54.8680t3 + 190.4800t2 − 257.3000t + 513.3900 |
| all, A | 6.3641, 5.2372, 0.9706, 0.9900, 0.9801 |
| Gd | Gd = 0.0053t6 − 0.1956t5 + 2.8309t4 − 20.0390t3 + 67.7030t2 − 74.8020t + 156.0200 |
| all, A | 4.0595, 3.1504, 0.9695, 0.9925, 0.9851 |
| G | G = 0.0189t6 − 0.7367t5 + 11.1440t4 − 82.4150t3 + 294.8200t2 − 381.0600t + 744.7700 |
| clear, B | 2.3660, 1.8718, 0.9994, 0.9998, 0.9996 |
| Gd | Gd = 0.0072t6 − 0.2883t5 + 4.5137t4 − 34.7150t3 + 132.3600t2 − 208.0200t + 213.0800 |
| clear, B | 4.0595, 3.1504, 0.9695, 0.9925, 0.9851 |
| G | G = 0.0020t6 − 0.0417t5 + 0.0660t4 + 3.2729t3 − 28.1860t2 + 120.1600t + 263.1000 |
| all, B | 4.3025, 3.1754, 0.9941, 0.9981, 0.9961 |
| Gd | Gd = 0.0103t6 − 0.4218t5 + 6.7163t4 − 51.4720t3 + 188.9400t2 − 277.0200t + 261.6800 |
| all, B | 3.1533, 2.3580, 0.9735, 0.9943, 0.9887 |
| G | G = 0.0235t6 − 0.9134t5 + 13.7610t4 − 100.7800t3 + 357.3300t2 − 474.6200t + 744.3000 |
| clear, C | 5.9773, 4.6278, 0.9970, 0.9989, 0.9977 |
| Gd | Gd = 0.0077t6 − 0.3070t5 + 4.7357t4 − 35.4010t3 + 130.0300t2 − 199.4400t + 194.3900 |
| clear, C | 5.4664, 4.4533, 0.9207, 0.9668, 0.9347 |
| G | G = 0.0122t6 − 0.4376t5 + 6.0435t4 − 40.9890t3 + 135.1800t2 − 142.4200t + 385.4500 |
| all, C | 5.9642, 4.4655, 0.9908, 0.9976, 0.9952 |
| Gd | Gd = 0.0182t6 − 0.7416t5 + 11.6470t4 − 87.9980t3 + 324.1700t2 − 515.3800t + 395.3900 |
| all, C | 5.7161, 4.6026, 0.6592, 0.9677, 0.9364 |
| Parameter | Regression Equation |
|---|---|
| Sky Type, SEZ | RMSE, MAE, d, r, R2 |
| G | G = 28.7840t3 − 248.1000t2 + 565.2300t + 490.4100 |
| clear, All | 1.3607 × 10−6, 1.0186 × 10−5, 1.0000, 1.0000, 1.0000 |
| Gd | Gd = 4.9610t3 − 48.6710t2 + 121.6400t + 88.6090 |
| clear, All | 3.3021 × 10−7, 2.6124 × 10−7, 1.0000, 1.0000, 1.0000 |
| G | G = 19.3500t3 − 166.8700t2 + 393.9600t + 242.2300 |
| all, All | 2.5434 × 10−5, 2.2986 × 10−5, 1.0000, 1.0000, 1.0000 |
| Gd | Gd = 8.5589t3 − 64.0850t2 + 118.3500t + 137.3600 |
| all, All | 5.0090 × 10−6, 3.5810 × 10−3, 1.0000, 1.0000, 1.0000 |
| G | G = 19.5050t3 − 167.9200t2 + 373.7600t + 590.3300 |
| clear, A | 2.8695 × 10−5, 2.2848 × 10−5, 1.0000, 1.0000, 1.0000 |
| Gd | Gd = 6.1111t3 − 56.9710t2 + 138.7600t + 84.9750 |
| clear, A | 5.4261 × 10−7, 3.8841 × 10−7, 1.0000, 1.0000, 1.0000 |
| G | G = 2.1681t3 − 31.8100t2 + 83.6600t + 436.9200 |
| all, A | 5.5563 × 10−7, 3.6103 × 10−7, 1.0000, 1.0000, 1.0000 |
| Gd | Gd = 16.4030t3 − 127.2800t2 + 270.5500t + 40.3750 |
| all, A | 1.2900 × 10−7, 1.1500 × 10−7, 1.0000, 1.0000, 1.0000 |
| G | G = 34.9040t3 − 297.3200t2 + 679.4800t + 407.5700 |
| clear, B | 7.0687 × 10−7, 5.1574 × 10−7, 1.0000, 1.0000, 1.0000 |
| Gd | Gd = 4.5135t3 − 45.7360t2 + 116.1200t + 87.0370 |
| clear, B | 1.4091 × 10−6, 1.0569 × 10−6, 1.0000, 1.0000, 1.0000 |
| G | G = 33.0310t3 − 276.4600t2 + 651.8400t + 73.6310 |
| all, B | 6.2775 × 10−7, 4.1945 × 10−7, 1.0000, 1.0000, 1.0000 |
| Gd | Gd = 1.2258t3 − 3.8163t2 − 30.6540t + 236.5500 |
| all, B | 1.2900 × 10−4, 1.2900 × 10−4, 1.0000, 1.0000, 1.0000 |
| G | G = 25.6510t3 − 323.7000t2 + 550.2200t + 436.5100 |
| clear, C | 1.0768 × 10−6, 7.8333 × 10−7, 1.0000, 1.0000, 1.0000 |
| Gd | Gd = −4.2375t3 + 20.3550t2 − 25.6560t + 144.52 |
| clear, C | 1.6750 × 10−6, 1.1708 × 10−6, 1.0000, 1.0000, 1.0000 |
| G | G = 43.0670t3 − 349.3200t2 + 793.1900t + 9.9168 |
| all, C | 1.9157 × 10−6, 1.4250 × 10−5, 1.0000, 1.0000, 1.0000 |
| Gd | Gd = −15.6520t3 + 120.2800t2 − 290.8400t + 359.9700 |
| all, C | 1.1200 × 10−7, 9.1700 × 10−8, 1.0000, 1.0000, 1.0000 |
Disclaimer/Publisher’s Note: The statements, opinions and data contained in all publications are solely those of the individual author(s) and contributor(s) and not of MDPI and/or the editor(s). MDPI and/or the editor(s) disclaim responsibility for any injury to people or property resulting from any ideas, methods, instructions or products referred to in the content. |
© 2023 by the authors. Licensee MDPI, Basel, Switzerland. This article is an open access article distributed under the terms and conditions of the Creative Commons Attribution (CC BY) license (https://creativecommons.org/licenses/by/4.0/).
Share and Cite
Farahat, A.; Kambezidis, H.D.; Labban, A. The Solar Radiation Climate of Saudi Arabia. Climate 2023, 11, 75. https://doi.org/10.3390/cli11040075
Farahat A, Kambezidis HD, Labban A. The Solar Radiation Climate of Saudi Arabia. Climate. 2023; 11(4):75. https://doi.org/10.3390/cli11040075
Chicago/Turabian StyleFarahat, Ashraf, Harry D. Kambezidis, and Abdulhaleem Labban. 2023. "The Solar Radiation Climate of Saudi Arabia" Climate 11, no. 4: 75. https://doi.org/10.3390/cli11040075
APA StyleFarahat, A., Kambezidis, H. D., & Labban, A. (2023). The Solar Radiation Climate of Saudi Arabia. Climate, 11(4), 75. https://doi.org/10.3390/cli11040075

